Artículos
Diseño de dispositivo mecánico para determinar el torque de inserción de mini implantes dentales
Mechanical device design for determining mini dental implants insertion torque
Diseño de dispositivo mecánico para determinar el torque de inserción de mini implantes dentales
Revista UIS Ingenierías, vol. 19, núm. 4, pp. 181-197, 2020
Universidad Industrial de Santander

Recepción: 09 Octubre 2019
Corregido: 15 Mayo 2020
Aprobación: 22 Agosto 2020
Resumen: Los mini implantes dentales son tornillo que se insertan temporalmente en el maxilar de un paciente como anclaje para generar una fuerza y mover una pieza dental. Este artículo presenta el diseño de un dispositivo para la determinación del torque de inserción de mini implantes dentales autoperforantes en una probeta de hueso porcino. El mecanismo propuesto no requiere de accionamiento eléctrico. La entrada de potencia se da mediante el torque resultante del efecto del peso actuando sobre una polea a través de una cuerda. El dispositivo está compuesto por tres transmisiones para la transformación de movimiento: transmisión por polea, engranajes cónicos de dientes rectos, y un mecanismo piñón- cremallera. Este último permite el avance longitudinal al tiempo que se da la rotación de la herramienta, haciendo posible el rompimiento del hueso e inserción del mini implante. A partir de la fuerza de inserción y de la velocidad recomendada para la transmisión piñón-cremallera, y teniendo en cuenta la eficiencia de cada estación de transmisión, se estableció la potencia de accionamiento del dispositivo. Para el caso de estudio se diseñó un portaherramientas adecuado para mini implante marca HUBIT Co x 1.4mm. Se consideraron tanto el diseño por fatiga como el diseño estático para el dimensionamiento de los ejes. El análisis de movimiento realizado permitió verificar que no existe interferencia entre ninguna de las piezas en contacto, permitiendo el avance del tornillo mediante la inclusión de un cuñero deslizante.
Palabras clave: torque de inserción, mini implantes, método de elementos finitos, modelo CAD.
Abstract: Mini dental implants are screws that are temporarily inserted into a patient's jaw as an anchor to generate force and move a tooth. The design of a device for the determination of the insertion torque of mini self-drilling dental implants in a porcine bone specimen is presented. The proposed mechanism does not require electric drive. The input power is given by the torque resulting from the effect of weight acting on a pulley through a rope. The device consists of three transmissions for motion transformation: transmission by pulley, bevel gear with straight teeth, and a rack-and-pinion mechanism. The latter allows the longitudinal advance while the rotation of the tool occurs, making possible the bone breaking and the insertion of the mini implant. The insertion force and the recommended speed for rack-and-pinion transmission, in addition to the efficiency of each transmission station were considered for calculating the input drive power of the device. For cae study, a tool holder suitable for mini implant brand HUBIT Co x 1.4mm was designed. Both cumulative fatigue and static desing were considered. A motion analysis for the in-contact moving part allowed verifying that no interference is present in the proposed desing. Liner motion of the screw is achieved by a sliding cotter.
Keywords: insertion torque, mini implants, finite element method, CAD model.
1. Introducción
La aplicación de la ingeniería en el área de la ortodoncia ha llevado a los tratamientos de correcciones de anomalías mandibulares y dentales a un alto nivel de efectividad; gracias a diversas investigaciones que han permitido controlar las variables que intervienen en estos procesos [1, 2, 3]. Una de las técnicas más utilizadas actualmente para la corrección de defectos en la dentadura es el anclaje dental [4]. Este consiste en un dispositivo base que se opone al movimiento no deseado de los dientes [5, 6]. Ha sido tal su relevancia y eficacia en los tratamientos de ortodoncia, que continúan siendo objeto de estudio; involucrando diferentes factores en los análisis, tales como: forma del anclaje, protocolos del proceso, elección del sitio de implantación, tipo de implante, fuerza necesaria para la inserción del anclaje según el lugar de colocación [6, 7, 8, 9] y el rango para el torque de inserción y el torque de remoción [1, 10, 11].
El uso de los mini implantes se ha extendido como resultado de avances en la reducción de tamaño del implante, un proceso quirúrgico más simple, poco dolor postoperatorio, carga inmediata después de la implantación, resistencia a cargas de ortodoncia, fácil remoción, y fácil mantenimiento con higiene oral [12, 13]. Estos mini implantes se pueden clasificar según una serie de características: material de fabricación, método de inserción, dimensiones y tipos de cabeza [14]. Según el método de inserción, los mini implantes se catalogan como autoperforantes o de agujero pretaladrado (agujero piloto). Estos últimos requieren la apertura con taladro de un canal conductor debido al diseño no cortante de su punta, generándole al paciente la percepción de tratamiento invasivo [5].
Los mini implantes autoperforantes presentan ventajas como mayor estabilidad después de la implantación, simplificación y disminución del tiempo durante el proceso de inserción en comparación con los de agujero piloto [7, 15]. Durante la inserción generan un esfuerzo de compresión en el hueso, lo cual produce inconformidad en el paciente y una pequeña desviación del sitio ideal de colocación [5], además aumenta la probabilidad de fractura del mini implante. Por tal razón, los especialistas en la materia han centrado su esfuerzo en garantizar la estabilidad de los mini tornillos, que no solo está directamente relacionada con el diámetro, longitud, diseño de la rosca, grosor y densidad del hueso cortical en el cual se realiza la colocación, sino también con la determinación del torque máximo de inserción y remoción requerido [2, 16, 17, 18].
Las técnicas conocidas para evaluar tanto la estabilidad primaria del mini implante (inmediatamente después de la inserción), como la estabilidad posterior a la integración ósea (estabilidad secundaria), se basan en la medición de los torques de inserción y de remoción del mini tornillo, respectivamente [2, 10]. Se han reportado diversos trabajos que proponen dispositivos para la estimación del torque de implantación y de extracción del mini implante [11, 15, 18, 19, 20]. Dentro de estos, se destaca el desarrollado por Mischkowski (2008) [21], donde los segmentos óseos seleccionados se montan sobre un banco de trabajo entre dos placas de acero estables, la pieza de mano es impulsada por una unidad de implantación quirúrgica Modelo 1051500, y el torque de inserción es estimado por un medidor digital de par. Para garantizar la confiabilidad de la lectura arrojada por este tipo de dispositivos se requiere su calibración. Debido a que generalmente están compuestos por la combinación de elementos mecánicos y electrónicos, ello demanda comprobadores especializados que aumentan el tiempo y el costo de las pruebas requeridas para ser recalibrados [22].
Recientemente, Ruetschi y Chenaux [23] patentaron un instrumento para controlar el torque de apriete de un dispositivo de implante, el cual podría ser usado para un mini implante dental; sin embargo, no es para determinación del torque inicial (inserción) sino por el contrario para determinar el torque final aplicado al mini implante. En el mismo año (2020), Chernovol propone un suplemento (patente) [24] conector entre el aplicador y el tornillo, pero destinado a implantes permanentes tipo espigo de corona. Similarmente, Johnson y Cook [25] patentan un suplemento de agarre manual que pretende proporcionar mayor torque al dentista por medio de una herramienta más gruesa mediante el aumento del radio efectivo. A pesar de relacionarse con inserción de implantes o mini implantes, ninguna de estos reportes ha documentado un dispositivo para pruebas sin requerimiento de fuerza humana.
En otro contexto, Dorsam et al. [26] han definido un protocolo para inserción de mini implantes dentales de acuerdo con las propiedades del hueso y al tamaño del tornillo, pero no usan un banco o dispositivo. También recientemente, se ha evaluado a relación entre el torque de inserción de mini implantes dentales y la integridad de superficie en tornillos de zirconio titanio, pero usando un dinamómetro manual [27]. Es decir, tampoco han usado o propuesto un dispositivo de laboratorio para pruebas fuera de pacientes y sin generación manual de torque.
Lo anterior, sugiere la propuesta de un dispositivo que únicamente incluya partes mecánicas, requiriendo de un proceso de calibración más sencillo y económico. En este artículo se plantea el diseño de un dispositivo mecánico que permita determinar el valor del torque de ruptura para la inserción de un mini implante dental autoperforante. La generación del torque resulta de la combinación del principio fuerza-brazo y el efecto de la gravedad [28]; que a través de un sistema de transmisión de potencia trasferirá el par de torsión al mini implante dispuesto a una pequeña distancia de un segmento de hueso a perforar. Puesto que, para el objeto de la investigación se requiere manipular y controlar variables de manera sistemática, se considera de tipo experimental [29] con un enfoque cuantitativo debido a que se definirán las variables involucradas en el procedimiento de implantación del mini implante según los estudios previos [30], como punto de partida para el dimensionamiento del dispositivo de medición.
El artículo presenta inicialmente el rango de valores de torque de inserción recomendado [1], para dimensionar cada uno de los elementos del sistema de transmisión de potencia escogido. Luego se procede a realizar la selección de materiales, centrándose en la necesidad de disminuir la fuerza de arranque del mecanismo que inicialmente se encontrará en reposo [28]. Los pesos variables generan el torque que accione el sistema de transmisión, y estos permiten además limitar el valor del par de torsión entregado. Puesto que se desea un dispositivo versátil para comparar valores de torque de diferentes casas fabricantes, se hace necesario diseñar un sistema de sujeción intercambiable para cada tipo de mini implante, basándose en las distintas dimensiones (longitud y diámetro) y tipos de cabezas (forma) [4]. Para garantizar la seguridad estructural del dispositivo de prueba, se realiza el modelado CAD con SolidWorks para determinar los factores de seguridad mediante un análisis de elemento finito. Estos factores serán comparados contra los resultados obtenidos aplicando la teoría de fallas para que se generarán los planos de fabricación y montaje del dispositivo.
Adicionalmente, se presenta un análisis de movimiento para determinar con precisión los movimientos de los componentes del dispositivo mecánico, determinando los desplazamientos de piezas, velocidades y aceleraciones; así como un análisis dinámico para establecer las fuerzas generadas por el movimiento. La utilización del hueso porcino permite, según el grosor del corte, tener un modelo de hueso similar al maxilar y mandibular humano [15]. Esto posibilita que las pruebas estén muy cerca a la situación real que se presenta en el momento de la inserción del mini implante en la mandíbula o maxilar de un individuo [10, 16]. También se sugiere el tamaño de probeta de hueso porcino recomendado para futuras pruebas de inserción [16].
2. Movimiento de perforación del mini implante
Es fundamental para el estudio recrear la inserción del mini implante lo más parecido al movimiento real, por lo que se decide mantener el movimiento de perforación vertical. Además, los pesos variables generarán el torque que accione el sistema de transmisión por caída libre. Lo anterior ubica los ejes de la polea y de inserción de manera perpendicular, es decir, el eje para la perforación es vertical y el eje para la polea debe horizontal. En el proceso de inserción del mini implante dental dentro del hueso cortical, no solo se requiere de un movimiento de rotación, que sería producto del movimiento de caída libre del peso que está atado a una cuerda que se encontrará sujeta a una polea acanalada, sino que también es necesario un movimiento axial, para finalmente realizar la perforación e inserción dentro de una pieza de hueso en estado estacionario. La figura 1 ilustra las etapas de transmisión del movimiento.

3. Potencia requerida para la perforación
3.1. Propiedades físico-cerámicas de las probetas
El estudio presentado se realiza para mini implantes de fácil adquisición local, y se centra en aquellos reforzados con titanio que han mostrado mejor rendimiento a torsión y mejoras significativas en sus propiedades mecánicas [31]. En la ciudad de Barranquilla se encuentran disponibles mini implantes de la marca coreana HUBIT Co. Ltda., en los diámetros de 1.2, 1.4 y 1.6 mm, con longitudes de 6, 8 y 10 mm. En la ciudad de Bogotá están disponibles mini implantes de la marca Orthoeasy en 1.7 mm de diámetro, con longitudes de 6, 8 y 10 mm. Estos tornillos dentales requieren valores de par máximo de inserción de 5 a 10 N·cm para 1.6 mm de diámetro, y se asocian a mayores tasas de éxito en comparación con los implantes insertados con valores máximos de par de inserción fuera de estos límites [15, 30, 32]. Para los mini implantes Orthoeasy, el fabricante recomienda que el torque de inserción no se exceda de 20 N·cm; y para inserción con ayuda de dispositivo se sugiere una velocidad entre 30 rpm y 50 rpm [15, 33]. Otros mini implantes como los 3M ESPE MDI tienen valores de inserción entre 35 N·cm a 45 N·cm [34]. Los valores de este rango fueron tomados como referencia para el diseño del dispositivo.
Yu-yu Su [35] trabajó en la relación lineal entre el torque de inserción, Tins, y la fuerza de perforación, Fpe, de mini implantes auto perforantes, por medio de la inserción de 27 mini implantes de 1.6 mm de diámetro en hueso cortical con un espesor entre 1.0 a 2.8 mm, mismo rango de la mandíbula y maxilar humano. La experimentación presentada en [35] arrojó la regresión lineal presentada en la ecuación (1).
(1)Se utiliza un factor de servicio de 2.5 para corregir el torque, Tins, donde el producto con el torque de inserción máximo encontrado, Tmax, es el torque de inserción de diseño, Tout,a, como se presenta en la ecuación (2).
(2)La potencia se estima como el producto de la fuerza lineal resultante aplicada al sólido, multiplicado por su velocidad lineal. En caso de haber rotación del sólido, y las fuerzas aplicadas están cambiando su velocidad angular, entonces la potencia es el producto del momento o par aplicado multiplicado por la velocidad angular. Para la inserción del mini implante en el hueso, la potencia traslacional del implante Pt, se calculará de acuerdo con la ecuación (3), donde Fins es la fuerza de inserción y Vc es la velocidd lineal del tornillo. La potencia rotatoria en la inserción Pr. se calcula mediante la ecuación (4), donde Tins es el torque de inserción y np1 es la velocidad angular, en radiantes por egunto, del piñón.
(3)
(4)La potencia total de inserción P, es la potencia mínima que el sistema de inserción debe suministrar y está dada por la ecuación (5) por la suma de las ecuaciones (3) y (4).
(5)La razón entre la potencia de entrada y la potencia de salida de un cuerpo se conoce como eficiencia de un sistema de transmisión de potencia. Por ejemplo, en el caso de los engranajes, esta depende la geometría del diente, el tipo de lubricación, los rodamientos, entre otros [36]. En este caso, se asume un valor de eficiencia para cada elemento como se presenta en la tabla 1, de acuerdo con [37].

Para dimensionar el tambor, los ejes, sistema de transmisión, sistema de avance y acople se determina la potencia que transmite cada elemento. Se analiza cada sección de la transmisión del movimiento, iniciando por la entrada hasta la salida de mismo; se estipulan tres secciones, que se describen a continuación. La sección 1, la componen los elementos que le imprimen al mini implante el movimiento rotacional, tales como: tambor, eje 1, sistema de transmisión y eje 2. Para ejes 1 y 2 se incluyen las eficiencias de los rodamientos.
La sección 2 la componen los elementos que le imprimen al mini implante el movimiento axial tales como el eje 4 con sus respectivos rodamientos y el mecanismo de avance. La sección 3, la componen los elementos que integran el movimiento axial y rotacional al mini implante, es decir, el eje 3 y el acople con sus respectivos rodamientos.
Se determina la potencia de salida, Pout, como la eficiencia del elemento, η, por la potencia de entrada, Pin, y en base al análisis de cada una de las secciones, se determina la potencia total de salida del componente, PTout.
(6)Igualando cada factor de la ecuación (6), de acuerdo con las potencias de entrada por el desplazamiento axial y el movimiento rotacional en la ecuación (5), se obtienen las ecuaciones (7) y (8).
(7)
(8)De las ecuaciones (7) y (8) se obtienen las potencias, torques y fuerzas de entrada, agrupadas en la tabla 2.

3.2. Mecanismo de avance del tornillo
El movimiento vertical que se requiere para generar la perforación en la probeta de hueso puede ser producido por mecanismos capaces de convertir el movimiento circular en movimiento lineal. Se selecciona un mecanismo de avance piñón-cremallera para proveer el movimiento lineal requerido para la inserción. Este es un mecanismo reversible de bajo costo, alta precisión y buen ajuste, que transmite potencias elevadas fácilmente.
Para seleccionar el módulo del mecanismo piñón- cremallera es necesario calcular la carga tangencial sobre el diente del piñón-cremallera y considerar la velocidad lineal de desplazamiento que se requiere para el movimiento. Los cálculos de la carga calculada son datos teóricos, válidos para mecanismos en condiciones completamente ideales de funcionamiento, por esto se aplica un factor de seguridad que oscila entre 1.5 y 3, véase tabla 3. La elección del coeficiente de seguridad a utilizar depende del tiempo de utilización, uso y el tipo de carga con que funciona la misma [38].
En la selección de la cremallera se debe tener en cuenta, además de la carga de inserción, el peso que se requiere desplazar. En este caso se consideran los pesos del mini implante, del eje 3, del acople y de la pieza porta mini implante. Así mismo, se debe estimar a aceleración que este conjunto de piezas adquiere. Con el coeficiente de seguridad determinado de la tabla 4, y la velocidad lineal, se obtienen la totalidad los datos para determinar la fuerza tangencial real, FHt, determinada en la ecuación (9), donde m: masa, µ: coeficiente de rozamiento a: aceleración lineal.
(9)

La velocidad lineal de la corredera Vc, que se requiere para determinar la aceleración lineal necesaria para el movimiento del sistema piñón-corredera, se expresa en la ecuación (10), donde A: avance, ω:velocidad angular.
(10)Con el coeficiente de seguridad, Ks, se realiza la corrección necesaria a las fuerzas determinadas en la ecuación (9), y se presenta la fuerza tangencial corregida, Ftc, expresada en la ecuación (11). Se selecciona una cremallera de dientes rectos puesto que el movimiento será generado manualmente [38].
(11)4. Diseño de transmisión de potencia
El dispositivo para la medición del torque de ruptura de un mini implante dental auto perforante en una probeta de hueso porcino estará compuesto por un tambor acanalado acoplado a un eje. Este irá conectado a un sistema de transmisión de potencia de engranajes cónicos, los cuales transmiten el torque a un mini implante autoperforante, acoplado por un sistema de sujeción intercambiable. El movimiento vertical necesario para la inserción es generado por un sistema piñón-cremallera acoplado a el eje que sostiene el mini implante. La polea acanalada estará conectada a pesos variables para la entrada de movimiento al sistema; los engranajes cónicos cambian el movimiento perpendicularmente. El hueso porcino se sujeta por medio de mordazas. El esquema de mecanismos del dispositivo se representa en la figura 2, donde (a) Polea acanalada, (b) Eje 1, (c) Piñón 1, (d) Engranaje, (e) Eje 2, (f) Eje 3, (g) Cremallera, (h) Piñón 2, (i) Eje 4.
Se seleccionan los engranajes cónicos rectos para la transmisión de engranajes (c) y (d), figura 2, puesto que se manejan velocidades perimetrales de 5 m/s. Los engranajes espirales (zerol e hypoides) se aconsejan cerca de los 40 m/s. Se asume una vida menor de 10 millones de ciclos dado que no habrá motor eléctrico accionante y se diseña con la carga máxima aplicada [39]. Para el dimensionamiento de los engranajes cónicos, se utilizan las normas ANSI-AGMA 2005-D03 y ANSI- AGMA 2003-B97 [39, 40]- Se hacen consideraciones de operación, cargas y ambiente de trabajo para el diseño de estos. Las dimensiones obtenidas se especifican en la tabla 4.

4.1. Dimensionamiento de ejes
Se realizan los diagramas de cuerpo libres para cada eje, donde se presenta una combinación de momentos de torsión, momentos flectores y cargas axiales por efecto de los engranajes cónicos. La figura 3 muestra el diagrama del cuerpo libre (DCL) del eje 2, para el cual se ilustra el proceso de diseño. Se realiza el análisis estático para cada eje y se determinan las ecuaciones para una de las reacciones. Las cargas Fx, Fy y Fz son las reacciones en el apoyo (rodamiento) del punto F a lo largo de los ejes x, y y z, respectivamente. Las cargas Gx y Gz son las reacciones en el rodamiento en el punto G a lo largo de los ejes x y z, respectivamente. La carga Ff en la fuerza de fricción ejercida en el chavetero al descender el eje 4 durante la inserción para romper el hueso. La fuerza WG representa el peso del engranaje cónico. La fuerza WS2 es el peso propio del eje que no es considerado en el análisis inicial de cargas. La distancia RMG1 es el radio primitivo del engranaje cónico (d) en la figura 2. Las cargas en el punto de contacto de los rodamientos cónicos son WRG: fuerza radial del engranaje, ecuación (12), WXG: fuerza axial del engranaje, ecuación (13), y WTG: fuerza tangencial del engranaje, ecuación (14), donde ϕ: ángulo de presión (tabla 4) y Γ: ángulo de paso, tabla 4, de acuerdo con [41, 42].
(12)
(13)
(14)


La sumatoria de fuerzas en los ejes x, y y z para el DCL del eje de la figura 3 genera las ecuaciones (15), (16) y (17), respectivamente. La suma de momentos en el punto F, plano xz, permite hallar la reacción GX, ecuación (18). Similarmente, con la sumatoria en el mismo punto para el plano yz se determina la reacción GZ, ecuación (19).
(15)
(16)
(17)
(18)
(19)Al ser considerados los mini implantes dentales como como tornillos, se calcula la fuerza resistiva de inserción, Ff, como la razón entre el torque de salida del acople, Tout,a, y el paso de la rosca, p, como se muestra en la ecuación (20), donde por sumatoria de fuerzas se obtiene que la fuerza de inserción está dada por el mismo valor de Ff.
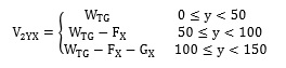
(20)A continuación, se establecen las ecuaciones de fuerza cortante, en las ecuaciones (21) y (22) para la fuerza cortante en el plano yz, V2YZ, y el cortante en el plano YZ del mismo eje, V2YZ. Con estas ecuaciones se grafican los diagramas de la figura 4.
(21)
(22)Las ecuaciones (23) y (24) presentan el momento flector en los planos yx y yz, para generar los diagramas de momento en la figura 5. El cortante resultante, V2, se obtiene con la ecuación (25), y el momento flector resultante M2 con la ecuación (26). El diagrama de momento torsor T2 se muestra en la figura 6, generado a partir de la ecuación (27), donde Y: distancia a lo largo del eje en milímetros, Tins2: torque de entrada al eje 2, Tins3: torque de entrada al eje 3.
(23)
(24)Todos los diagramas fueron generados con Matlab. A continuación, se identifican los concentradores de esfuerzos. Se identifican 4 diferentes zonas o tamaños ti, en el eje 2: t1 a 25 mm, t2 a 50 mm, t3 a 100 mm y t4 a 125 mm. Se utilizarán factores de concentración de esfuerzos por flexión y torsión con D/d=1.5, r/d=0.02 y sensibilidad a la muesca q=1, para ser conservativos. La concentración de esfuerzos se resume en la tabla 5 para esfuerzo axial con concentrador kta, ktf es el concentrador para esfuerzo de flexión y kts para esfuerzo por torsión [41, 43].
(25)
(26)
(27)



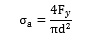
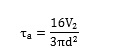
El esfuerzo normal alternantes, σa, es efecto de la fuerza de compresión en el eje 2, Fy, y está expresado en la ecuación (28) [41, 42], donde d es el diámetro del eje, a ser determinado. σaM es el esfuerzo axial alternante derivado del momento flector M y se halla con la ecuación (29). El esfuerzo cortante medio, τm, aparece debido al torque T2, determinado con la ecuación (30). El esfuerzo cortante alterno, τa, se da debido al acción de la fuerza cortante, hallado con la ecuación (31).
(28)
(29)
(30)
(31)A pesar de que el momento flector permanezca constante, las fibras pasan de compresión a tracción por cada revolución se puede asumir que el esfuerzo medio por el flector es σaM=0. Para el torque se tiene que su magnitud se mantiene constante, es decir la componente alterna es nula [42, 43]. Se calculan los esfuerzos de Von Mises alternante, σa ′, y medio, σm ′ , con las ecuaciones (32) y (33), respectivamente. Hay tracción, flexión y torsión combinadas para un estado de esfuerzo biaxial [41,42].
(32)
(33)Sí se utiliza la teoría de Goodman modificada en la ecuación (34) y se reemplazan los esfuerzos de Von Mises (ecuaciones (32) y (33), puede se obtiene la ecuación (35) para el diámetro del eje, donde n es el factor de seguridad, Se, es el límite de resistencia a la fatiga -Se=171.3 MPa, ecuación (36)-, y Sut es la resistencia última del acero (Sut=625 MPa). Se ha utilizado un factor de seguridad de 2 y en el primer ajuste no se considera el efecto de la carga axial [41, 42]. El límite de resistencia a la fatiga, Se, se halla con la ecuación (36) dado que para este material Sut<1400 MPa [41, 42]. Los factores de modificación son [41,42] superficial Ka=0.817, tamaño Kb=0.816, modificación de carga Kc=1, temperatura Kd=1.002, confiabilidad Ke=0.814, efectos misceláneos Kf=1
(34)
(35)
(36)Después de aplicar la ecuación (35) se resumen los resultados en la tabla 6 y se obtiene que el diámetro mínimo para el eje 2 es 9.5 mm, ubicado en t2 a 50 mm sobre el eje y. Luego de aplicar sistemáticamente el análisis a los otros ejes, se hallan los diámetros mínimos para cada uno en la tabla 7. Los resultados de la primera iteración se reajustan a diámetros comerciales o estandarizados y se recalculan los concentradores [42].


4.2. Selección de rodamientos
Las dimensiones de los rodamientos dependerán principalmente del diámetro del eje y de las cargas a soportar [44]. Se han escogido para el diámetro de los ejes y las cargas soportadas, rodamiento rígido de bolas marca SKF 61801 con anillo de retención FRB 12-360 con capacidad de carga axial y radial [44, 45].
4.3. Selección de rodamientos
El dimensionamiento del tambor se realiza mediante una iteración para seleccionar el diámetro apropiado, teniendo en cuenta que el tambor es la entrada de movimiento con un torque aproximado de 588.63 N·mm. Con el diagrama de cuerpo libre en la figura 7 se visualizan las fuerzas que actúan el tambor, donde Wd: peso del tambor, R: reacción, Tin,d: torque de entrada del tambor, r: radio del tambor, m: masa del contra peso, y g: gravedad. Para la iteración se despeja de la ecuación básica del torque, ecuación (37).
(37)En la figura 8 se muestra la variación del diámetro como función de la masa máxima a utilizar para generar el movimiento. Para mantener la estética del diseño de los ejes y engranajes se selecciona un valor de 20 mm de radio de la polea para una masa máxima de 4 kg. Con el diámetro seleccionado se calculan los valores mínimos de masa requeridos para generar el torque de inserción que se requiere. Los pesos patrones se utilizan teniendo en cuenta los valores recomendados en [46]. Para determinar las dimensiones de del sistema de ranuras del tambor se tiene el modelo presentado en la figura 9, sugerido en [47], donde D: diámetro del círculo de paso del tambor de la cuerda, h: profundidad de la ranura, r: radio de la ranura, d: diámetro nominal de la cuerda, y p: paso de la ranura. Se selecciona una cuerda de 3 mm de diámetro de nylon, diámetro y material adecuados para la carga [48].

El radio de la ranura, r, queda expresado en la ecuación (38). Se tiene el diámetro de paso, p, expresado en la ecuación (39), y la profundidad de la ranura, h, en la ecuación (40). A continuación, se determina la longitud de la cuerda totalmente extendida, Lp, considerando que se deben dejar dos vueltas de cuerda cuando el tambor este vacío y una libre para el tambor lleno [47], mediante la ecuación (41), donde, Lrope, es la longitud o ancho del tambor y, D, es el diámetro del tambor

(38)
(39)
(40)
(41)4.4. Selección de rodamientos
Se requiere proporcionar un acoplamiento rígido entre el eje y el mini implante ya que se necesita asegurar alineamiento y transmisión precisa del movimiento entre los mismos [42, 49]. Se acoplará el eje del mecanismo de avance con una pieza mecanizada en acero que en un extremo cuenta con un agujero donde se insertará el mini implante, el agujero cumple con las medidas exactas de la cabeza del mini implante con una tolerancia para asegurar correcto ajuste entre los mismos. En este caso se utilizará un mini implante HUBIT [50] para la realización del agujero. Este varía según la marca del mini implante y dimensiones del mini implante, es decir, que se debe tener un elemento de agarre para cada marca), como se muestra en la figura 10, donde (a) Eje 3, (b) Conexión en bayoneta, (c) Elemento de agarre, (d) Mini implante.

5. Resultados
5.1. Selección de rodamientos
Se elaboraron las piezas CAD de cada elemento. Se inicia con el adecuado formado y dimensionamiento de los ejes, dado que estos elementos son la base para dimensionar los otros componentes mediante combinación de diseño y selección. El software utiliza el método de elemento finito (FEM por las siglas en inglés de Finite Element Analysis), que consiste en una simulación numérica con discretización del dominio en numerosas piezas pequeñas de formas simples llamadas "elementos". Los elementos comparten puntos comunes denominados nodos. El proceso de división del modelo en pequeñas piezas se denomina mallado [51].
En el análisis estático realizado a los ejes se calculan los desplazamientos, fuerzas de reacción, deformaciones unitarias, tensiones y la distribución del factor de seguridad. Las propiedades mecánicas de interés para el material de los ejes son resumidas en la tabla 8. La información de mallado para las simulaciones se resume en la tabla 9. Las especificaciones y restricciones de cargas estuvieron dadas de la misma forma como se analizaron usando ecuaciones de teoría de falla.
Se obtuvo como resultado para el primer eje un factor de seguridad mínimo de 4.7 (figura 11). Un análisis para los otros 3 ejes, arrojó factores de seguridad de 7, 515.4 y 8.2, para los ejes 2, 3 y 4 respectivamente, figuras 12, 13 y 14. Los resultados de le tensión de Von Mises (sin dirección, únicamente magnitud) es utilizada por el criterio de fallos para evaluar los errores en los materiales dúctiles [51]. La tensión más alta obtenida fue para el eje 1, con 111.718 MPa (figura 15), inferior a 530 MPa del material escogido, por lo cual no hay falla de los ejes. El desplazamiento máximo es de 0.001 mm para el eje 1, aceptable sin interferir el funcionamiento del elemento. La tabla 10 resume las tensiones de Von Mises, los desplazamientos y la deformación unitaria máxima para cada eje. Los valores de deformación unitaria están en el orden de cienmilésimas, sin suponer problemas para la operación de los elementos.








5.2. Verificación funcional con animación
Una validación de movimiento de piezas se hace mediante análisis de movimiento ejecutado en SolidWorks. El dispositivo no presenta interferencia de movimiento y muestra compatibilidad entre cada uno de los componentes. La figura 16 muestra una secuencia de la entrada de movimiento, con visualización de la volanta. Tal secuencia es: (A) Posición inicial del dispositivo antes la caída del peso, (B) Posición de avance con 50 mm de cuenta extendida, (C) Posición final del dispositivo (cuerda totalmente extendida y avance completo de inserción). Similarmente, la figura 17 presenta la secuencia de inserción.
5.3. Exploding del diseño
La figura 18 presenta la vista explosionada de todos los elementos del dispositivo para medición del torque de inserción de mini implantes dentales en hueso porcino. En total se requieren de 24 piezas diferentes, con el listado relacionado en la tabla 11.
El costo estimado de materiales y fabricación del dispositivo es de aproximadamente 4.700.000 COP (precio año 2020). Este costo no incluye ensamble, puesta a punto ni el kit de pesas patrones de 500 g a 1000 g. El dispositivo cuenta con 37 piezas en total, 6 haceng. El dispositivo cuenta con 37 piezas en total, 6 hacen parte del bastidor o carcasa, 1 empaque para ajuste de la porta mini implante, 1 porta mini implante y 30 piezas componen toda la transmisión de potencia. Según el presupuesto realizado, se estableció que los elementos de mayor costo en la fabricación del dispositivo serían, la carcasa y el acople, ya que los procesos para la generación de estos elementos son de alto costo, debido a que deben ser fabricados con procesos especializados por la precisión y complejidad de los cortes.




6. Conclusiones y recomendaciones
En este artículo se propone un dispositivo de inserción de mini implantes dentales autoperforantes, los cuales son usados como anclajes dentales para tratamientos de ortodoncia.
El desarrollo inició con una revisión bibliográfica de estudios relacionados con el uso de mini implantes dentales para determinar el torque de trabajo. Este es el torque mínimo que debe ser generado al momento de la inserción por el odontólogo, o dispositivo utilizado por el mismo, con el fin de romper el hueso cortical buscando un mínimo trauma para el paciente, encontrando reportes que establecen este torque mínimo en 450 N·mm.
Debido a que los mini implantes cuentan con diferente geometría en la cabeza o dado de sujeción de acuerdo con la marca, se debe diseñar un portaherramientas diferente para cada fabricante. En el estudio realizado se consideró un mini implante marca HUBIT Co., y en base a su geometría fue dimensionado la porta herramienta o porta mini implantes. Se escogió un sistema de sujeción tipo bayoneta entre el eje y el dado intercambiable, puesto que esta sujeción, además de permitir que el cambio de la porta mini implante se haga de manera muy rápida, proporciona un acoplamiento rígido que no permite desajuste con el movimiento rotacional generado durante el proceso de inserción.
Se diseñaron tres secciones de transmisión a lo largo del sistema, las cuales afectan la potencia de accionamiento requerida. La entrada de movimiento se estableció por medio de una polea acanalada sobre la que actúa un peso mínimo de 1.5 kg atado a una cuerda, con lo cual se genera el torque por efecto de la gravedad. La transmisión de potencia entre ejes se realiza por medio de engranajes cónicos de diente recto. El avance está dado por un mecanismo tipo piñón-cremallera. Conjuntamente, se determinaron los valores de torque con las eficiencias de las secciones, donde se perdía la mayor cantidad de potencia en el tambor con una eficiencia del 90%, mientras que en las demás secciones estas variaban entre el 95% y 98%. Se logró una eficiencia teórica del dispositivo del 76%, estableciendo la potencia de entrada en 588.63 N·mm.
El dispositivo, en general, no debería alcanzar las condiciones de trabajo repetitivo para daño acumulativo por fatiga, a menos que sea usado para generar muchos datos para experimentos con alta confiabilidad. Por lo anterior, se realizó el diseño de los ejes por fatiga y carga estática. Se garantiza la integridad del dispositivo por cuanto los demás elementos de transmisión y estructurales fueron diseñados y/o seleccionados con base en las dimensiones primarias de los ejes. El análisis de movimiento realizado permitió verificar que no existe interferencia entre ninguna de las piezas en contacto. Se generó un video donde se visualizan los movimientos de rotación y avance del dispositivo.
Para un adecuado uso del dispositivo diseñado, se recomienda la utilización de espesor compacto de segmentos de hueso porcino de ±0,5 mm del lado lateral hacia la articulación sacroilíaca y de ±2,5 mm hacia la articulación de la cadera. Estos valores son comparables al espesor y densidad ósea que se encuentran en el maxilar y mandíbula humano. Por último, sería recomendable implementar un mecanismo husillo de bolas que permita la generación del movimiento de avance utilizando la velocidad uniforme de un motor eléctrico, esto se puede lograr con la realización de un nuevo diseño del sistema de transmisión que permita el aprovechamiento de la potencia para que el avance sea automático. Una ventaja del diseño propuesto es que, al no tener motores o actuadores eléctricos, se facilita el cálculo matemático del torque y podría servir como patrón para otros dispositivos.
Agradecimientos
Los autores agradecen el apoyo recibido por parte de la Vicerrectoría de Investigaciones, Extensión y Proyección Social de la Universidad del Atlántico
Referencias
[1] O. Dilek, E. Tezulas, M. Dincel, “Required minimum primary stability and torque values for immediate loading of mini dental implants: an experimental study in nonviable bovine femoral bone”, Oral Surg. Oral Med. Oral Pathol. Oral Radiol. Endod., vol. 105, no. 2, pp. 20- 27, Feb. 2008, doi: 10.1016/j.tripleo.2007.10.003
[2] R. Meursinge, L. Ronchi, L. Ladu, F. van Etten- Jamaludin, S. Bipat, “Insertion torque and success of orthodontic mini-implants: a systematic review”, Am. J. Orthod. Dentofac. Orthop., vol. 142, no. 5, pp. 596-614, 2012, doi: 10.1016/j.ajodo.2012.06.013
[3] G. Serra, et al., “Sequential bone healing of immediately loaded mini-implants”, Am. J. Orthod. Dentofac. Orthop., vol. 134, no. 1, pp. 44-52, 2008, doi: 10.1016/j.ajodo.2006.09.057
[4] MDI Mini Dental Implants, 3M ESPE Product Catalog, 2016 [En línea]. Disponible en: https://multimedia.3m.com/mws/media/669937O/3m-espe-mdi-catalog-us.pdf
[5] S. Baumgaertel, M. Razavi, M. Hans, “Mini-implant anchorage for the orthodontic practitioner”, Am. J. Orthod. Dentofac. Orthop., vol. 133, no. 4, pp. 621-627, May 2008, doi: 10.1016/j.ajodo.2007.03.022
[6] K. Singh, D. Kumar, R. Jaiswal, A. Bansal, “Temporary anchorage devices - Mini-implants”, Natl J Maxillofac Surg., vol.1, no. 1, pp. 30-34, 2010, doi: 10.4103/0975-5950.69160
[7] D. Ballard, et al., “Orthodontics & Mini-screws”, Australian Society of Orthodontists, Sydney, 2007 [En línea]. Disponible en: https://www.aso.org.au/sites/default/files/uploaded-content/field_f_content_file/orthodontics_and_mini-screws.pdf.
[8] L. Jiang, L. Kong, T. Li, Z. Gu, R. Hou, Y. Duan, “Optimal selections of orthodontic mini-implant diameter and length by biomechanical consideration: A three-dimensional finite element analysis”, Adv. Eng. Softw., vol. 40, no. 11, pp. 1124-1130, 2009, doi: 10.1016/j.advengsoft.2009.05.008
[9] T. Bardyn, P. Gédet, W. Hallermann, P. Büchler, “Prediction of dental implant torque with a fast and automatic finite element analysis: a pilot study”, Oral Surgery, Oral Med. Oral Pathol. Oral Radiol. Endodontology, vol. 109, no. 4, pp. 594-603, 2010, doi: 10.1016/j.tripleo.2009.11.010
[10] M. Pithon, M. Nojima, L.Nojima, “In vitro evaluation of insertion and removal torques of orthodontic mini-implants”, Int. J. Oral Maxillofac. Surg., vol. 40, no. 1, pp. 80-85, 2011, doi: 10.1016/j.ijom.2010.09.013
[11] E. Yugo, B. Suzuki, “Placement and removal torque values of orthodontic miniscrew implants”, Am. J. Orthod. Dentofac. Orthop., vol. 139, no. 5, pp. 669-678, 2011, doi: 10.1016/j.ajodo.2010.11.017
[12] T. Martins, M. Andrade, F. Bezerra, M. Costa, “Ancoragem esquelética em Ortodontia com miniimplantes”, Rev. Dent. Press Ortod. e Ortop. Facial, vol. 11, no. 4, pp. 126-156, 2006, doi: 10.1590/s1415- 54192006000400014
[13] Y. Tseng, C. Hsieh, C. Chen, Y. Shen, I. Huang, C. Chen, “The application of mini-implants for orthodontic anchorage”, Int. J. Oral Maxillofac. Surg., vol. 35, no. 8, pp. 704-707, 2006, doi: 10.1016/j.ijom.2006.02.018
[14] L. Péreza, Y. Garmas, “Mini implantes, una opción para el anclaje en Ortodoncia”, Gaceta Médica Espirituana, vol. 13, no. 3, 2011.
[15] R. Tachibana, M. Motoyoshi, A. Shinohara, T. Shigeeda, N. Shimizu, “Safe placement techniques for self-drilling orthodontic mini-implants”, Int. J. Oral Maxillofac. Surg., vol. 41, no. 11, pp. 1439-1444, 2012, doi: 10.1016/j.ijom.2012.05.031
[16] B. Wilmes, D. Drescher, “Impact of bone quality, implant type, and implantation site preparation on insertion torques of mini-implants used for orthodontic anchorage”, Int. J. Oral Maxillofac. Surg., vol. 40, no. 7, pp. 697-703, 2011, doi: 10.1016/j.ijom.2010.08.008
[17] M. Motoyoshi, M. Inaba, A. Ono, S. Ueno, N. Shimizu, “The effect of cortical bone thickness on the stability of orthodontic mini-implants and on the stress distribution in surrounding bone”, Int. J. Oral Maxillofac. Surg., vol. 38, no. 1, pp. 13-18, 2009, doi: 10.1016/j.ijom.2008.09.006
[18] K. Kimak, O. Motohiro, O. Guariza, E. Souza, L. Teixeira, H. Maruo, “Insertional torque and axial pull-out strength of mini-implants in mandibles of dogs”, Am. J. Orthod. Dentofac. Orthop., vol. 133, no. 6, pp. 79015– 79022, 2007, doi: 10.1016/j.ajodo.2007.12.020
[19] J. Okazaki, Y. Komasa, D. Sakai, A. Kamada, T. Ikeo, I. Toda, F. Suwa, M. Inoue, T. Etoh, “A torque removal study on the primary stability of orthodontic titanium screw mini-implants in the cortical bone of dog femurs”, Int. J. Oral Maxillofac. Surg., vol. 37, no. 7, pp. 647-650, 2008, doi: 10.1016/j.ijom.2008.04.007
[20] S. Wu, C. Lee, P. Fu, S. Lin, “The effects of flute shape and thread profile on the insertion torque and primary stability of dental implants”, Med. Eng. Phys., vol. 34, no. 7, pp. 797-805, 2012, doi: 10.1016/j.medengphy.2011.09.021
[21] R. Mischkowski, P. Kneuertz, B. Florvaag, F. Lazar, J. Koebke, J. E. Zöller, “Biomechanical comparison of four different miniscrew types for skeletal anchorage in the mandibulo-maxillary area”, Int. J. Oral Maxillofac. Surg., vol. 37, no. 10, pp. 948-954, 2008, doi: 10.1016/j.ijom.2008.07.017
[22] D. W. Braudaway, “The costs of calibration”, IEEE Trans. Instrum. Meas., vol. 52, no. 3, pp. 738-741, 2003, doi: 10.1109/TIM.2003.814704
[23] C. Ruetschi, D. Chenaux, “A medical instrument for torque control tightening threaded impant device and packaging of the same”, U.S. Patent 2020/0060791 A1, Feb. 27, 2020 [En línea]. Disponible en: https://patentimages.storage.googleapis.com/09/8b/99/a6254ac6813afb/US20200060791A1.pdf.
[24] N. Chernovol, “Dental implant, connecting screw and kit for implantation”, U.S. Patent 2020/0038147 A1, Feb. 6, 2020 [En línea]. Disponible en: https://patentimages.storage.googleapis.com/44/65/14/68faba6c24f7de/US20200038147A1.pdf.
[25] J. Johnson, E. Cook, “Driver tool and method of use”, U.S. Patent 10,569,391 B2, Feb. 25, 2020 [En línea]. Disponible en: https://patentimages.storage.googleapis.com/5e/a2/22/346ecb2147fe85/US10569391.pdf.
[26] I. Dorsam, et al., “Definition of a drilling protocol for mini dental implants in different bone qualities”, Annals of Anatomy - Anatomischer Anzeiger, vol. 231, pp. 151511, 2020, doi: 10.1016/j.aanat.2020.151511.
[27] M. Giri, K. Sabapathyb, B. Govindasamy, H. Rajamurugana, “Evaluation of insertion torque and surface integrity of zirconia-coated titanium mini screw implants”, J. of the World Federation of Orthodontists, vol. 9, no. 1, pp. 13-17, 2020, doi: 10.1016/j.ejwf.2020.01.002
[28] V. M. González Cabrera, Física Fundamental, México D.F., México: Editorial Progreso, 2004.
[29] J. Cegarra Sánchez, Metodología de la investigación científica y técnológica. Madrid, España: Ediciones Díaz de Santos, 2004.
[30] R. Hernández, C. Fernández, P. Baptista, Metodología de la investigación, 5ta. ed. México D.F.: McGraw Hill, 2010.
[31] M. Iijima, et al., “Torsional properties and microstructures of miniscrew implants”, American J. of Orthodontics and Dentofacial Orthopedics, vol. 134, no. 3, pp. 3331–3336, 2008, doi: 10.1016/j.ajodo.2008.03.012
[32] M. Motoyoshi, et al., “Recommended placement torque when tightening an orthodontic mini-implant”, Clinical Oral Implants Eesearch, vol. 17, no. 1, pp. 109- 114, 2006.
[33] Forestadent, Orthoeasy Pin System Intrctions for use, warnings and precautions, Pforzheim, Alemania, 2015.
[34] 3M ESPE Technical Staff, Dentals mini implants, 3M ESPE MDI, 2013.
[35] Y. Su, B. Wilmes, R. Honscheid, D. Drescher. “Pre- drilling force and insertion torques during orthodontic mini-implant insertion in relation to root contact”, J. of Orofacial Orthopedics, vol. 69, pp. 51-58, 2008, doi: 10.1007/s00056-008-0726-5
[36] H. Müller, “Optimizing Operating Efficiency”, Gear Solutions, vol. 8, no. 87, pp. 32-34, 2010.
[37] R. L. Norton, Diseño de máquinas. Mexico D.F., México: Pearson Education, 2011.
[38] KOOM Thecnical Staff, Transmissions by pinion rack, Pinion Rack Manufacturer, 2016.
[39] Design Manual for Bevel Gears, ANSI-AGMA, D03, 2005.
[40] Rating the Pitting Resistance and Bending Strength of Generated Straight Bevel, Zerol Bevel and Spiral Bevel Gear Teeth, ANSI- AGMA, B97, 2003.
[41] R. Mott, Diseño de elementos de máquinas. México D.F.,México: Pearson Education, 2013
[42] R. Budynas, J. K. Nisbett, Diseño en Ingeniería de Shigley. México D.F., Mexico: McGraw-Hill Interamericana, 2008.
[43] W. Pilkey, D. Pilkey, Peterson´s stress concentration factors. New Jersey, USA: Jhon Wiley & Son, Inc., 2008.
[44] SKF Corporation, "Criterios de selección de rodamientos", Septiembre 2018.
[45] Rolling bearings-dynamic load ratings and rating life, ISO Std, 281, 2007.
[46] Weights of classes E1, E2, F1, F2, M1, M1–2, M2, M2–3 and M3 Part 1: Metrological and technical requirements, OIML, R 111-1, 2004.
[47] Cranes and Lifting Appliances Selection of Wire Ropes Part 1: General, ISO Std, 4308-1, 2008.
[48] Trenzacol, "Productos: Cuerdas nylon alta tenacidad", Septiembre 2018.
[49] Ruland Manufactring Co., Inc, "Rigid Couplings", Septiembre 2018 [En línea]. Disponible en: https://www.ruland.com/rigid-couplings.html.
[50] Hubit Medical Expo, “Miniimplante cónico H- series”, Marzo 2020. [En línea]. Disponible en: https://www.medicalexpo.es/prod/hubit-co-ltd/product-72746-801305.html.
[51] SolidWorks Simulation, "Ayuda de Solidworks: Simulation", Septiembre 2018 [En línea]. Disponible en: http://help.solidworks.com/2018/spanish/SolidWorks/SWHelp_List.html?id=4922de217cla49eb8995bc329cb96d2b=Pg0
Información adicional
Como citar: K. Polo-Cano, C. Rodríguez-Heilbron, J. Roldán-Mckinley, “Diseño de dispositivo mecánico para determinar el torque de inserción de mini implantes dentales,” Rev. UIS Ing., vol. 19, no. 4, pp. 181-198, 2020, doi: https://doi.org/10.18273/revuin.v19n4-2020016