Artículos
Cuantificación del error humano en la cadena de suministro: caso de estudio en los servicios de transporte terrestre
Human error assessment in supply chain: case study in road transport services
Cuantificación del error humano en la cadena de suministro: caso de estudio en los servicios de transporte terrestre
Revista UIS Ingenierías, vol. 19, núm. 4, pp. 287-300, 2020
Universidad Industrial de Santander

Recepción: 19 Marzo 2020
Corregido: 16 Julio 2020
Aprobación: 29 Agosto 2020
Resumen: Esta investigación presenta un acercamiento desde la ergonomía cognitiva en la determinación del error humano en el sector logístico, particularmente para el caso del transporte terrestre de carga. Para ello se aplicaron los métodos de Systematic Human Error Reduction and Prediction Approach – SHERPA y Success Likelihood Index Method – SLIM en tres empresas participantes del estudio. Se identificaron errores en la generación del costo del servicio (T1), en el ingreso de datos del servicio (T2), en la notificación a los clientes de las novedades del servicio (T3) y en la preparación de la documentación para los conductores (T4). Se cuantificaron los errores cuya probabilidad de ocurrencia oscilaron entre un 24,8 % y 34,2 %. Se determinó la fiabilidad de cada error como un sistema independiente, en cuyo caso el resultado arrojado para las tareas T1, T2 y T3 fue del 80 % y del 75 % para T4.
Palabras clave: error humano, ergonomía, cadena de suministro, transporte de carga terrestre.
Abstract: This research presents an approach from cognitive ergonomics in human error for logistics sector, particularly in the case of land freight transport. For this, the Systematic Human Error Reduction and Prediction Approach – SHERPA, and Success Likelihood Index Method - SLIM methods were applied in three companies participating. Errors were identified in the generation of the cost of the service (T1), in the entry of service data (T2), in notifying customers of the news of the service (T3) and, preparation of the documentation for the drivers (T4). Errors whose probability of occurrence ranged from 24.8 % to 34.2 % were quantified. The reliability of each error was determined as an independent system in which case the result for tasks T1, T2 and T3 was 80 % and 75 % for T4.
Keywords: human error, ergonomics, supply chain, road transport services.
1. Introducción
El transporte terrestre de carga en Colombia ha representado una fuente de progreso y oportunidad para el desarrollo económico del país convirtiéndose en uno de los medios de transporte con mayor participación en el mercado, permitiendo la movilización de gran variedad de productos de una región a otra, incluyendo productos para exportación e importaciones que permitan contribuir al fortalecimiento de los diferentes niveles de la cadena de abastecimiento; desde los proveedores, pasando por las fábricas, centros de distribución, detallistas, hasta llegar al consumidor final. El transporte de carga terrestre par el 2018, en cifras preliminares del DANE, movilizó cerca del 88% de la carga del país, que equivale a $33.219 billones y aproximadamente proporciona al 3,91% del PIB del 2018 reflejando un aumento del 6.3 % en comparación con el año inmediatamente anterior, ratificando que el transporte de carga terrestre desde el año 2009 tiene un porcentaje de participación cercano al 70 % de la carga que mueve el país cada año [1]. Estas cifras representan la gran importancia y peso económico que tiene este sector en el crecimiento y desarrollo de la economía del país. Así mismo, el DANE en el 2018 reportó que, dentro de los costos asociados al transporte de carga por carreta, se encuentran el combustible con una ponderación del 40,2 %, insumos con un 9,79% costos fijos y peajes con un 45,19 % y el mantenimiento con un 4,81 %; sin embargo, no se ha estimado los costos que están relacionados a los errores dentro del servicio de transporte.
Por otro lado, el error humano es de gran importancia para comprender la desviación que existe entre el comportamiento esperado y el adoptado realmente para así, iniciar la búsqueda de soluciones que reduzcan su probabilidad de ocurrencia. Tradicionalmente, los errores humanos han sido ampliamente estudiados en la cadena de suministro como un factor generador de accidentes [2][3][4], sin embargo, considerando todas las ventajas que posee para el desarrollo logístico, resulta de interés el estudio de las variables que afectan la competitividad de las empresas, desde la caracterización del error humano, hasta su influencia sobre el nivel de servicio [5][6].
El nivel de servicio, por su característica intangible, no se define en una sola idea, sino en las actividades básicas que se realizan para cumplir su objetivo. Ante esta necesidad, las empresas han recurrido al mejoramiento de sus funciones logísticas, la capacitación de sus empleados y la modernización de sus sistemas de información [7]. Un estudio realizado por el Research Institute of America demostró que, el 90 % de los clientes insatisfechos con un servicio no lo vuelven a solicitar, y cada cliente, a su vez, comentará sobre su inconformidad a 9 personas más. Es aquí donde el servicio logístico al cliente cobra real importancia en términos de disponibilidad de productos, calidad, tiempos de entrega y atención al cliente [8].
Para alcanzar niveles de servicios satisfactorios es necesario minimizar los errores durante el proceso. La mayoría de los errores se originan en la interacción del hombre con el proceso cuando éste debe realizar numerosos aportes para la transformación y adecuación de una tarea y por tanto para tener control del proceso productivo en general [9]. La investigación presenta un caso de estudio que se realizó a través de una muestra aleatoria de 30 viajes de transporte de carga terrestre realizados en la región del Valle del Cauca, Colombia; los cuales fueron seleccionados en primera medida para identificar los procesos donde existiere la presencia de errores humanos, definir qué elementos cognitivos están relacionados a estos errores, determinar la fiabilidad del sistema y por último, cuantificar el error humano de las tareas críticas observadas en el caso de estudio.
2. Revisión de la literatura
Como se ha mencionado en la introducción del manuscrito, existen numerosas investigaciones que han reconocido al error humano como factor causal predominante en la ocurrencia de muchos accidentes en diferentes industrias [9][10][11][12], y aunque los valores reales son difíciles de obtener debido a su complejidad y subjetividad a la hora de realizar un análisis profundo de las causas de los accidentes, las estimaciones indican que los errores cometidos por el hombre son responsables entre un 60–90 % de los accidentes; el resto de los accidentes son atribuibles a deficiencias técnicas. El porcentaje de incidentes relacionados con errores humanos en varias industrias se enumera en la Tabla 1.

A la hora de analizar las causas de estos incidentes, existen estudios como por ejemplo el de Gemelos y Ventikos, quienes identificaron que el 65 % de los 74 accidentes analizados en embarcaciones marítimas, fueron causados por error humano, de los cuales el 76 % de ellos son causados por negligencia en el puente de la nave, el 17 % se debieron a errores humanos en la sala de máquinas y el restante 7 % en otro lugar estando a bordo de la embarcación [13][12]. Estudios como el de Wang, Liu y Quin, también mencionan que el error humano es reconocido como una de las principales causas de accidentes ferroviarios de alta velocidad y a pesar de que esta industria proporciona ventajas en el ahorro del tiempo, bajo consumo de energía y una alta tasa de puntualidad, persiste la ocurrencia de accidentes que son atribuibles al error humano debido a su complejidad e incorporación de nuevas tecnologías en el sistema de trabajo [14].
Otros autores argumentan que el error humano también afecta otros ámbitos, como el sector hospitalario, donde un error en la cadena de suministro de drogas puede atentar a la seguridad del paciente generando accidentes e inclusive ocasionarle la muerte [15].
En el caso del sector transporte por carretera, el error humano ha sido ampliamente estudiado en diferentes contextos, por ejemplo desde la frecuencia de errores del conductor, los factores contribuyentes a los accidentes de tráfico (infraestructura de la carretera, condiciones del vehículo, características del conductor: entrenamiento, estado psicosocial, etc., otros usuarios de la carretera y condiciones meteorológicas), el comportamiento del conductor (violaciones al código de transito de manera no intencional o de manera deliberada)[16], todo esto como eje fundamental la accidentalidad en carretera.
Sin embargo, es importante mencionar que el error humano no solo se evidencia como un factor de accidentalidad, sino que también tiene un impacto directo en la productividad, dado que los errores afectan las tasas de rechazo de un producto, aumentando así los costos de producción y reduciendo las ventas [17]. Varios investigadores se han centrado en el concepto de error humano para comprender, evaluar e identificar posibles acciones para limitarlo [5][6][9].
Por ejemplo, dentro de la cadena de suministro existe el proceso de preparación de pedidos o Picking, el cual es uno de los procesos que requiere más trabajo y tiempo en logística interna. El ser humano juega un papel clave en el rendimiento de la preparación de las órdenes ya que los preparadores de pedidos pueden elegir un artículo de manera incorrecta o seleccionar el número equivocado de artículos que se registran en la orden, estos errores potencialmente pueden causar retrasos en la entrega o pérdidas financieras e impactan negativamente en la satisfacción del cliente [18][19][20]. Ante ello, se han implementado diferentes tecnologías para minimizar los errores en estos procesos internos, como por ejemplo el uso de identificadores de productos bajo la herramienta de radiofrecuencia [6] o el uso de la tecnología de voz asistida, que le proporciona al seleccionador una retroalimentación inmediata de la orden una vez haya sido seleccionada [21].
Desde la perspectiva del transporte terrestre de carga, se han realizado estudios que han permitido identificar los errores en carreteras, incluyendo errores en la ejecución de la acción (no chequear espejos antes de salir, revisión de frenos, fallas al oprimir el acelerador, etc.) en la percepción (no ver al peatón, distracciones con el celular) memoria (olvido de observar el retrovisor al cambiar de carril) y en la evaluación situacional (Lectura incorrecta de señales de tráfico, percibir la información correctamente pero no entenderla, leer información incorrecta de la señal de tráfico, etc.) [16]. En algunos de estos estudios incluso se han realizado simulaciones para cuantificar el error y determinar su ocurrencia [6], sin embargo, a pesar de que estas simulaciones son una representación muy cercana de la realidad, no cuentan con algunas consideraciones propias de la medición real, o no se ha evaluado el transporte desde la prestación del servicio, aspectos que pretende ahondar esta investigación.
Ante ello, para identificar y cuantificar el error humano, muchos investigadores se han dedicado a desarrollar y facilitar modelos y teorías relacionadas con el análisis de la confiabilidad humana (con sus siglas en inglés HRA). Estos autores mencionaron que las metodologías HRA se pueden dividir en tres generaciones que se muestran en la siguiente tabla (Ver Tabla 2).
Una de las características principales de las técnicas de la segunda generación es que pueden ser aplicadas para evaluar la probabilidad de error humano en las industrias [22]. El método SHERPA llamado así por sus siglas en inglés Systematic Human Error Reduction and Prediction Approach. Es un método desarrollado por David Embrey en 1986 y es una de las técnicas de identificación de errores humanos más utilizadas y conocidas [23]. Esta técnica se basa en una taxonomía del error humano y en su forma específica, el mecanismo psicológico que subyace al error. Algunas aplicaciones de este método incluye el análisis de errores humanos durante el llenado de cloro en un camión cisterna [24], análisis de errores en el uso de máquinas expendedoras de tickets [25] y máquinas vending [26] la identificación de errores humanos durante una cirugía laparoscópica [27], el análisis de los errores del piloto en el diseñado inducido de un avión civil [28], el análisis de errores en la medicación de un paciente [15] lo que muestra su versatilidad en abordaje de diferentes temas relacionados con la industria de manufactura o de servicios.
Para la cuantificación del error humano, el método SHERPA puede basar su cálculo en el modelo Succes Likelihood Index, una técnica determinística ampliamente utilizada para evaluar la confiabilidad humana. Para aplicar el modelo, es necesario definir los factores de conformación del desempeño (Performance Shaping Factor - PSF) los cuales son aspectos del comportamiento humano y de contexto (o entorno) que pueden afectar el desempeño humano durante la actividad.
Entre algunos casos de estudios relevantes frente a la cuantificación del error se encuentra el realizado por Tu y Lou, donde utilizaron el modelo SLI para analizar operaciones de manipulación de cargas y levantamiento de objetos, en él incluyen factores PSF como la experiencia, el nivel de entrenamiento, la condición de los equipos, las condiciones ambientales y la supervisión [29]. En otro estudio, se involucraron los errores de los conductores mientras conducen, los cuales establecieron PSFs relacionados con la condición física, el estrés de manejar y la condición mental del conductor, sin embargo, no se mencionó el índice como una representación de la no-ocurrencia (éxito) de la situación meta, sino que fue basado en su fallo (Failure Likelihood Index – FLI)[30]. Sin embargo, en el caso particular de la evaluación de la gestión en el servicio de transporte la evidencia científica referente a la cuantificación del error humano es reducida.
3. Metodología
3.1. Procedimiento
Para realizar la identificación de los errores humanos presentados en el caso de estudio, se realizó un registro preliminar a través de una encuesta semiestructurada con las personas a cargo de los procesos en las empresas participantes, todo esto para reconocer las variables que afectan el proceso principal de transporte y nivel de servicio de la empresa. Posteriormente, se corroboraron los resultados obtenidos en dicha identificación, basados en 30 viajes seleccionados aleatoriamente en un mes para las tres empresas participantes. El proceso de análisis consistió en revisar paso a paso el proceso de transporte desde la generación de la oferta comercial al cliente hasta el cumplimiento del servicio (Ver Figura 1). Una vez identificados los tiempos muertos y retrasos en diferentes subprocesos, los cuales tienen un impacto en el nivel de servicio de la empresa, se procedió a realizar un análisis causal de estos tiempos relacionados con los potenciales errores humanos que están presentes durante el proceso.
Para ello se aplicó el método SHERPA que consiste en analizar las tareas e identificar posibles soluciones ante estos errores humanos siguiendo ocho pasos mostrados a continuación:
Paso 1. Análisis jerárquico de las tareas (HTA). En este paso se analiza las metas de cada proceso y se clasifican según su impacto o importancia en la cadena de tareas.
Paso 2. Clasificación de tareas. Cada operación desde el nivel inferior del análisis se toma y se clasifica a partir del tipo de error. Existen cinco tipos de errores. Errores de acción, por ejemplo, presionar un botón, apretar un interruptor, abrir una puerta. Errores de recuperación, por ejemplo, obtener información de una pantalla o manual. Errores de verificación, como verificar un procedimiento. Errores de selección, por ejemplo, elegir una alternativa sobre otra. Errores de comunicación de información, por ejemplo, información incompleta.
Paso 3. Identificación del error humano (con sus siglas en inglés HEI). Tomando la clasificación del paso 2, se identifican los posibles errores asociados a cada actividad usando el criterio de alguien con experiencia en la tarea analizada y categorizando la tarea bajo la siguiente tabla (Ver Tabla 3).
Paso 4. Análisis de consecuencias. En este paso se analiza las consecuencias generadas por los posibles errores identificados en el paso 3.
Paso5. Análisis de recuperación. En este paso se identifican cuáles errores son recuperables.
Paso 6. Análisis de probabilidad ordinal. En este paso se identifica la probabilidad cualitativa de que un error ocurra, si es muy frecuente se cataloga como alto (A), si es poco frecuente que ocurra se cataloga como medio (M) y si nunca ha ocurrido se cataloga como bajo (B).
Paso 7. Análisis crítico. Se identifican los errores graves (usualmente asociados a pérdidas inaceptables, vidas, accidentalidad).
Paso 8. Análisis correctivo. Este paso consiste en proponer estrategias de reducción de error, incluye cambios propuestos en cualquier parte del sistema.
Estos ocho pasos manejan una secuencialidad, sin embargo, el método presenta la flexibilidad suficiente para determinar cuáles pasos el investigador puede aplicar para su estudio.
Para complementar el paso tres de la identificación del error humano, que ayuda a desarrollar una comprensión común de las incertidumbres futuras que rodean el proceso, utilizamos el Análisis de Trabajo Cognitivo Aplicado (que sus siglas en inglés representan ACWA) para identificar los elementos cognitivos de cada tarea, reconociendo así los riesgos potenciales para gestionar estos escenarios de manera efectiva. Para el caso de estudio presentado, utilizamos solo los primeros cuatro pasos y el paso 6 pues el alcance de la investigación solo contempla la obtención de las probabilidades de ocurrencia de los eventos.
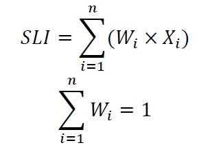
Luego de realizar la identificación de los errores humanos, se procedió a su clasificación basada en el modelo Rasmussen [31], su relación con los elementos cognitivos y finalmente la cuantificación del error incluyendo la fiabilidad del sistema. Para este último paso, se desarrolló el modelo SLI donde espera obtener como resultado los índices de probabilidad de éxito de cada una de las tareas que componen cada actividad estudiada, teniendo como enfoque las actividades críticas definidas por esta investigación. Para este estudio se definieron cinco PSF de cada tarea, esto de acuerdo a la observación de cada actividad por parte del encuestador en conjunto con la experiencia y juicio de los trabajadores del área implicada y ejecutores de las tareas. Estos son capacitación, carga laboral, retroalimentación, presión del tiempo y atención. A continuación, se presenta la fórmula para el cálculo del método SLI mencionado en el procedimiento del presente estudio:
(1)Donde, 𝑥𝑖: es el grado de incidencia que produce el 𝑃𝑆𝐹𝑖 sobre la tarea y se mide en una escala 1 - 9, siendo 9 la calificación óptima que podría obtener un PSF respecto a la tarea analizada. 𝑤𝑖 es el peso relativo del 𝑃𝑆𝐹𝑖 y n es el número de tareas de la actividad (sistema) analizada. Una vez realizada la cuantificación del error humano, se procedió a realizar una encuesta de satisfacción a los clientes para conocer el nivel de servicio a través de la medición del tiempo programado para la prestación del servicio.
3.2. Población
Finalmente, el procedimiento presentado ha sido ilustrado a través de un estudio de caso realizado en tres empresas pequeñas en Colombia. Las empresas se caracterizan por no tener más de 20 empleados, incluyendo conductores, que transportaban todo tipo de productos a diferentes lugares del país.
4. Resultados
4.1. Nivel de servicio
Para establecer el nivel de servicio de este caso, se definieron a partir de los resultados de las entrevistas en profundidad con las empresas participantes, los parámetros que pueden afectar directamente su operación, por ejemplo, el costo total del transporte frente a los kilómetros totales recorridos, las facturas emitidas sin errores con relación al total de facturas generadas, número de pedidos recibido en el plazo previsto y los tiempos de entrega. Para este último indicador, se realizó una revisión de una muestra de 30 viajes seleccionados aleatoriamente y se establecieron los rangos en el tiempo de entrega entre la ciudad de recepción y la ciudad destino de la mercancía (Ver Tabla 4).

Dentro de la cadena de suministro, las empresas de trasporte pueden representarse a través de una red donde pueden intervenir en el movimiento de materia prima a la fábrica, producto terminado a centro de distribución o transportar la minorista. El proceso de transporte consistió en revisar paso a paso las actividades que inician desde la generación de la oferta comercial al cliente hasta el cumplimiento del servicio (Ver Figura 1).
A través del estudio de métodos tiempos y movimientos en las empresas participantes, se lograron identificar tiempos muertos (color negro: actividades 11, 14 y 16 de la Figura 1) y retrasos (color gris actividades 7, 9 y 13 de la figura 1) en diferentes subprocesos, los cuales aumentan los costos de operación e influyen de manera negativa en el número de servicios atendidos.
Halladas las probabilidades del error humano en cada actividad de las tareas identificadas como críticas por parte de los trabajadores y responsables del proceso, se contrastaron estos resultados con la encuesta de satisfacción del cliente, donde se obtuvo como resultado que el 21 % de los clientes se encuentran insatisfechos con el servicio prestado y más del 70 % de los usuarios dieron una valoración menor o igual a 3, en una escala de 1 a 5, en cuanto al tiempo programado para las operaciones dejando en claro que estos resultados son prueba de que cada actividad llevada a cabo en los procesos productivos es importante y afecta el nivel de servicio de las empresas participantes.
4.2. Identificación del error y los elementos cognitivos de las tareas
El estudio de los eventos pretende identificar los errores humanos, causas, escenarios y su relación con los procesos cognitivos de los participantes. Para ello, se aplicó una entrevista semiestructurada basada en la metodología del Análisis aplicado de la tarea cognitiva (En inglés Applied Cognitive Task Analysis - ACTA).
Dentro de los resultados de las entrevistas para las tres empresas participantes, se identificaron cuatro errores humanos cometidos por los empleados de las áreas comercial y logística (ver Tabla 5)
4.2.1. Clasificación, etapa y nivel de los errores
Existe una alta variedad de clasificaciones de los errores humanos, sin embargo, para este estudio se han sugerido dos clasificaciones: la clasificación por relación de causalidad y por tipo de error basados en el modelo Rasmussen. A continuación, se muestran los errores encontrados en el caso de estudio bajo estas clasificaciones. Asimismo, el modelo de Rasmussen permite corregir errores a través de la identificación de su origen y el nivel o el momento en el que ocurren.

Para ello se determinan ocho etapas (activación, observación, identificación, interpretación, evaluación, selección de objetivo, elección del procedimiento y ejecución) que permiten entender la relación entre el error y las demandas cognitivas propias de la tarea [31](Ver Tabla 6). Asimismo, es necesario tener en cuenta que dentro del modelo de RASMUSSEN existen tres niveles de funcionamiento de la persona basados automatismos, reglas o procedimientos y conocimientos. Dichos niveles corresponden a grados decrecientes de familiaridad con el entorno y la tarea [32].
Como se observa, en las cuatro tareas descritas existieron errores tipo II es decir acciones que, a partir de un error, generan anomalía del sistema, y errores tipo IV el cual permite determinar acciones del operador, con las que puede recuperar el control durante la secuencia de un incidente. Bajo este escenario y siguiendo con el método HTA (Hierarchical Task Analysis) se procede a identificar la etapa a la que pertenece, la tarea 3 se encuentra en la etapa de identificación y su nivel está basada en habilidades mientras que las tareas 2 y 4 están relacionadas a la etapa de ejecución, la primera basada en las habilidades y la segunda basada en las reglas del sistema. La tarea 1 se caracteriza bajo la etapa de interpretación y el nivel de funcionamiento de la persona está basado en reglas o procedimientos que para este caso son las tarifas de los fletes que dependen del tipo de cliente.
4.2.2. Clasificación, etapa y nivel de los errores
Para la identificación de los elementos cognitivos, se realizó un reconocimiento de los requerimientos cognitivos de la tarea (Conitive Work Requeriments) descritos en la metodología ACWA (Applied Cognitive Work Analisys), donde se describe los diferentes tipos de tareas y los elementos cognitivos relacionados. En el caso de los elementos cognitivos de percepción y sensación, las cuatro tareas registraron únicamente requerimientos visuales en su desarrollo, para el caso de los demás elementos (Memoria, Olvido, Inteligencia y Pensamiento), en la siguiente tabla se muestra todos los tipos de requerimientos solicitados por las tareas evaluadas (ver Tabla 7).
Una vez se han identificado los elementos cognitivos que corresponden a cada una de las tareas, se realizó una calificación de participación para cada elemento en las tareas (ver Tabla 8) utilizando un peso relativo (0 – 100%).
Realizado el análisis cruzado de las tareas y los elementos cognitivos podemos observar que la percepción visual es el principal elemento cognitivo presente en todas las tareas, debido a que la identificación visual de los elementos es vital para el inicio, procesamiento y finalización de cada tarea. Adicionalmente, se destacan 4 elementos cognitivos esenciales. Primero, la memoria a corto plazo en la tarea 2, ya que se deben tener presente los datos ingresados para el servicio en todo momento, y en la tarea 4 durante la compilación de los documentos, puesto que se debe tener presente cada documento y su contenido para verificar rápidamente que se encuentren bien diligenciados todos los documentos.



Segundo, el pensamiento analítico, debido a que la tarea 1 requiere de un análisis rápido de las relaciones comerciales con el cliente (número de solicitudes de servicio, fidelidad del cliente, antigüedad, entre otros) para poder determinar el mejor precio de servicio posible.
Tercero, el pensamiento sistémico, ya que en la tarea 2 se requiere capacidad para adaptarse a la repetitividad del sistema para aligerar el ingreso de datos del servicio lo más ágil posible sin perder precisión ni contexto de la tarea que se está realizando.
Cuarto, el pensamiento componencial en la tarea 2, en consecuencia, al amplio sistema que se estructura de múltiples componentes que se relacionan entre sí (hoja de vida de conductor, datos de mercancía, datos del transporte, entre otros).
4.3. Fiabilidad sistema
Para este caso de estudio el sistema será definido como cada actividad realizada por las diferentes áreas de la empresa y estará conformado por las tareas realizadas en cada actividad. Las tareas en negrilla son las tareas identificadas como críticas, reconocidas por los trabajadores y responsables de cada actividad en la encuesta aplicada. Para determinar la fiabilidad del sistema (F(t)) se utiliza la siguiente ecuación [33].
(2)Donde,
𝑁(0)=Número total de tareas de la actividad
𝑁𝑝(𝑡)=Número de tareas que funcionan sin problemas
𝑁𝑓(𝑡)=Número de tareas que han fallado
Cada tarea fue establecida como sistema para establecer su fiabilidad (Ver Tabla 9).
4.4. Cuantificación del error
La cuantificación del error humano se realizó de acuerdo con el método SHERPA y los subcomponentes basados en el método SLIM. A continuación, se presentan los factores necesarios para el cálculo del SLI (Ver Tabla 10).
Para este estudio se definieron cinco factores que influyen en el desempeño operacional: capacitación (PSF1), carga laboral (PSF2), retroalimentación (PSF3), presión del tiempo (PSF4) y atención (PSF5) y se calculó la probabilidad de error para cada tarea según la siguiente ecuación:
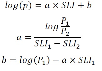
(3)Donde,
SLI1 es el mínimo valor de SLI en todos los sistemas.
SLI2 es el máximo valor de SLI en todos los sistemas.
P1 es la probabilidad en el peor de los casos (para este caso es 0.4 que equivale a 1-Probabilidad de éxito que es de 0.6).

P2 es la probabilidad en el mejor de los casos (para este caso es 0.1 que equivale a 1-Probabilidad de éxito que es de 0.9).
Como se puede observar, en cada tarea mencionada, la probabilidad que uno de sus componentes se realice de manera errónea sobrepasa el 20 %. En el caso de la tarea referente al ingreso de datos del servicio (T2), la mayor probabilidad de ocurrencia está relacionada con abrir el sistema y su principal factor de rendimiento es el PFS1 (capacitación), sin embargo, esta tarea no ha sido definida como crítica. En el caso particular de la generación de la propuesta comercial (T1), el componente relacionado a la generación del precio del servicio tiene una probabilidad de error debido a que no se genera un costo actualizado una vez se realiza la contraoferta al cliente omitiendo los estándares relacionados a los fletes de transporte y al tipo de cliente.


Finalmente, se procede a la documentación de resultados, donde se adjuntan la fase cualitativa y cuantitativa de la investigación (Ver Figura 2).
5. Discusión
Dentro de la discusión del estudio, se corroboró que existen algunas actividades críticas que no habían sido evidenciadas de manera explícita ni calculadas en su potencial impacto, por ejemplo, el generar de manera inadecuada el costo de servicio, desencadena en un reproceso para el cliente pues se debe recalcular el servicio dando una mala experiencia al cliente.
Esta situación con una probabilidad de ocurrencia de un 34 % para este estudio, puede provocar un fuerte impacto en el nivel de servicio de las empresas participantes que hasta el momento no habían evidenciado la frecuencia y severidad de esta de este tipo de error. En cuanto a la fiabilidad del sistema, como ya se mencionó cada tarea fue evocada como un sistema, mostrando que las tareas 1, 2 y 3 tienen una probabilidad del 80 % de que funcionen bien, mientras que la tarea 4 tiene una probabilidad del 75 % lo que permite dar una explicación del origen funcional del error dado los criterios establecidos por el método SHERPA.
Los resultados obtenidos del estudio muestran el escenario más pesimista donde la probabilidad de ocurrencia de los eventos es 0.4, arrojando resultados de probabilidad de errores en tareas que puede llegar hasta un 40 %. Sin embargo, al realizar comparaciones con otros estudios [29][34], se muestra que este valor es parametrizado al 0.1. Al establecer un escenario bajo dicho parámetro, se obtuvieron probabilidades semejantes (Ver Tabla 11).

Como se puede observar, los valores del SLI del estudio de Tu y Lou oscila 4.37 y 5.98, y los del presente estudio oscilan entre 4.54 y 7.44, sin embargo, los componentes de mayor probabilidad de ocurrencia oscilan entre 4.54 y 4.96, rango que se encuentra inmerso en el rango de otros estudios.
6. Conclusiones
Una conclusión del estudio es que el error humano ha sido ampliamente estudiado desde la perspectiva de accidentalidad y existe mucha información basada en técnicas de análisis de fallas y modo de errores, es decir, de un carácter correctivo del sistema; sin embargo, se presenta una nueva perspectiva desde el mejoramiento de los procesos productivos con un enfoque preventivo para revisar la probabilidad de ocurrencia de un error y potencialmente su relación con el nivel de servicio.
El estudio permitió entender que el error humano es un tema donde hay mucho por explorar desde la perspectiva de la ingeniería (Análisis de causas, Modelación, Simulación, etc.) y que fácilmente se puede extrapolar a todos los eslabones de la cadena de suministro. En el caso del transporte de carga, se evidenciaron situaciones que potencialmente influyen en el nivel de servicio y en la fiabilidad del sistema, esto ahonda la necesidad de medir todos los errores para conocer mejor el comportamiento general del sistema y empezar a establecer acciones encaminadas a minimizar la ocurrencia de estas desviaciones. Ante ello, se asociaron elementos de la ergonomía cognitiva presentes en el proceso de transporte de carga para las empresas participantes, y se identificaron los elementos cognitivos y los pesos relativos de los mismos para cada uno de los procedimientos reconocidos como críticos, teniendo en cuenta las exigencias cognitivas de las tareas de cada uno de ellos. Se observa en las tareas estudiadas que los elementos cognitivos de mayor demanda son la memoria y el pensamiento
.El estudio presentó una secuencia metodológica que permitió identificar, clasificar y caracterizar los errores humanos para cada uno de los procedimientos identificados como críticos teniendo como base principal, las clasificaciones y análisis de los errores humanos propuestos por los autores Jens Rasmussen y James Reason para cuantificar la probabilidad de error humano presente en el proceso de transporte de carga, considerando que los cinco factores escogidos para evaluar el desempeño operacional fueron la capacitación, la carga laboral, la retroalimentación, la presión del tiempo y el nivel de atención.
Como trabajos futuros se contempla elevar el número de empresas participantes del estudio cuya finalidad permita conocer toda la variedad de errores humanos que se presentan en el transporte de carga para generar alternativas que permitan mejorar las condiciones del sector.
Referencias
[1] Min. de Transporte, “Transporte en Cifras Estadísticas,” Bogotá, 2018.
[2] D. Wiegmann, T. Faaborg, A. Boquet, C. Detwiler, K. Holcomb, S. Shappell, “Human Error and General Aviation Accidents: A Comprehensive, Fine-Grained Analysis Using HFACS”, Office of Aerospace Medicine, Washington, DC, USA, 20591 DOT/FAA/AM-05/24, 2005.
[3] A. Noroozi, N. Khakzad, F. Khan, S. MacKinnon, R. Abbassi, “The role of human error in risk analysis: Application to pre- and post-maintenance procedures of process facilities”, Reliab. Eng. Syst. Saf., vol. 119, pp. 251-258, nov. 2013, doi: 10.1016/j.ress.2013.06.038
[4] A. J. Erjavac, R. Iammartino, J. M. Fossaceca, “Evaluation of preconditions affecting symptomatic human error in general aviation and air carrier aviation accidents”, Reliab. Eng. Syst. Saf., vol. 178, pp. 156-163, oct. 2018, doi: 10.1016/j.ress.2018.05.021
[5] P. K. Dewa, I. N. Pujawan, I. Vanany, “Human errors in warehouse operations: an improvement model”, Int. J. Logist. Syst. Manag., vol. 27, no. 3, pp. 298-317, ene. 2017.
[6] I. Giusti, E. M. Cepolina, E. Cangialosi, D. Aquaro, G. Caroti, y A. Piemonte, “Mitigation of human error consequences in general cargo handler logistics: Impact of RFID implementation”, Comput. Ind. Eng., vol. 137, pp. 106038, nov. 2019, doi: 10.1016/j.cie.2019.106038
[7] M. D. Arango Serna, S. Ruiz Moreno, L. F. Ortiz Vásquez, J. A. Zapata Cortes, “Indicadores de desempeño para empresas del sector logístico: Un enfoque desde el transporte de carga terrestre”, Ingeniare. Revista chilena de ingeniería, vol. 25, pp. 707-720, 2017, doi: 10.4067/S0718- 33052017000400707
[8] M. C. Gómez, G. A. Aragón, M. J. Moschner, “Servicio Logístico al Cliente Generador de Ventajas Competitivas Ingeniería y competitividad”, Rev. científica y tecnológica, vol. 1, no. 2, 1998, doi: 10.25100/iyc.v1i2.2355
[9] Y. A. Báez, M. A. Rodríguez, E. J. De la Vega, D. A. Tlapa, “Factores que influyen en el error humano de los trabajadores en líneas de montaje manual”, Información tecnológica , vol. 24, pp. 67-78, 2013, doi: 10.4067/S0718-07642013000600010
[10] K. Jeong et al., “Risk assessment on abnormal accidents from human errors during decommissioning of nuclear facilities”, Ann. Nucl. Energy, vol. 87, pp. 1-6, ene. 2016, doi: 10.1016/j.anucene.2015.08.009
[11] H. Kharoufah, J. Murray, G. Baxter, G. Wild, “A review of human factors causations in commercial air transport accidents and incidents: From to 2000–2016”, Prog. Aerosp. Sci., vol. 99, pp. 1-13, may 2018, doi: 10.1016/j.paerosci.2018.03.002
[12] P. Antão, C. G. Soares, “Analysis of the influence of human errors on the occurrence of coastal ship accidents in different wave conditions using Bayesian Belief Networks”, Accid. Anal. Prev., vol. 133, pp. 105262, dic. 2019, doi: 10.1016/j.aap.2019.105262
[13] I. C. Gemelos, N. P. Ventikos, “Accidents in Greek Coastal Shipping:Human Factor and Old Ships…or maybe Small Ships?,” en International Symposium on Maritime Safety, Security and Environmental Protection, 2007.
[14] W. Wang, X. Liu, Y. Qin, “A modified HEART method with FANP for human error assessment in high- speed railway dispatching tasks”, Int. J. Ind. Ergon., vol. 67, pp. 242-258, sep. 2018, doi: 10.1016/j.ergon.2018.06.002
[15] R. Lane, N. A. Stanton, D. Harrison, “Applying hierarchical task analysis to medication administration errors”, Appl. Ergon., vol. 37, no. 5, pp. 669-679, sep. 2006, doi: 10.1016/j.apergo.2005.08.001
[16] P. M. Salmon, M. G. Lenné, N. A. Stanton, D. P. Jenkins, G. H. Walker, “Managing error on the open road: The contribution of human error models and methods”, Saf. Sci., vol. 48, no. 10, pp. 1225-1235, Dec. 2010, doi: 10.1016/j.ssci.2010.04.004
[17] S. Miranda, S. Riemma, R. Iannone, V. Di Pasquale, "An Overview of Human Reliability Analysis Techniques in Manufacturing Operations". Ed. Rijeka, Croacia: IntechOpen, 2013, pp. 221, doi: 10.5772 / 55065
[18] E. H. Grosse, C. H. Glock, M. Y. Jaber, “The effect of worker learning and forgetting on storage reassignment decisions in order picking systems”, Comput. Ind. Eng., vol. 66, no. 4, pp. 653-662, dic. 2013, doi: 10.1016/j.cie.2013.09.013
[19] D. Battini, M. Calzavara, A. Persona, F. Sgarbossa, “A comparative analysis of different paperless picking systems,” Ind. Manag. Data Syst., vol. 115, no. 3, pp. 483-503, 2015.
[20] E. H. Grosse, C. H. Glock, W. P. Neumann, “Human factors in order picking: a content analysis of the literature”, Int. J. Prod. Res., vol. 55, no. 5, pp. 1260- 1276, mar. 2017, doi: 10.1080/00207543.2016.1186296
[21] S. M. Berger, T. D. Ludwig, “Reducing Warehouse Employee Errors Using Voice-Assisted Technology That Provided Immediate Feedback”, J. Organ. Behav. Manage., vol. 27, no. 1, pp. 1-31, jun. 2007, doi: 10.1300/J075v27n01_01
[22] A. Maniram Kumar, S. Rajakarunakaran, V. Arumuga Prabhu, “Application of Fuzzy HEART and expert elicitation for quantifying human error probabilities in LPG refuelling station”, J. Loss Prev. Process Ind., vol. 48, pp. 186-198, jul. 2017, doi: 10.1016/j.jlp.2017.04.021
[23] S. Mandal, K. Singh, R. K. Behera, S. K. Sahu, N. Raj, J. Maiti, “Human error identification and risk prioritization in overhead crane operations using HTA, SHERPA and fuzzy VIKOR method”, Expert Syst. Appl., vol. 42, no. 20, pp. 7195-7206, nov. 2015, doi: 10.1016/j.eswa.2015.05.033
[24] B. Kirwan, “Human error identification in human reliability assessment. Part 2: Detailed comparison of techniques”, Appl. Ergon., vol. 23, no. 6, pp. 371-381, dec. 1992, doi: 10.1016/0003-6870(92)90368-6
[25] C. Baber, N. A. Stanton, “Human error identification techniques applied to public technology: predictions compared with observed use”, Appl. Ergon., vol. 27, no. 2, pp. 119-131, abr. 1996, doi: 10.1016/0003- 6870(95)00067-4
[26] N. A. Stanton, S. V Stevenage, “Learning to predict human error: issues of acceptability, reliability and validity”, Ergonomics, vol. 41, no. 11, pp. 1737- 1756, nov. 1998, doi: 10.1080/001401398186162
[27] P. Joice, G. Hanna, A. Cuschieri, “Errors enacted during endoscopic surgery—a human reliability analysis”, Appl. Ergon., vol. 29, no. 6, pp. 409-414, dic. 1998, doi: 10.1016/S0003-6870(98)00016-7
[28] D. Harris, N. A. Stanton, A. Marshall, M. S. Young, J. Demagalski, P. Salmon, “Using SHERPA to predict design-induced error on the flight deck”, Aerosp. Sci. Technol., vol. 9, no. 6, pp. 525-532, sep. 2005, doi: 10.1016/j.ast.2005.04.002
[29] J. Tu, Y. Lou, “A SLIM based methodology for human reliability analysis of lifting operations”, en Proceedings 2013 International Conference on Mechatronic Sciences, Electric Engineering and Computer (MEC), 2013, pp. 322-325.
[30] K. S. Park, J. in Lee, “A new method for estimating human error probabilities: AHP–SLIM”, Reliab. Eng. Syst. Saf., vol. 93, no. 4, pp. 578-587, abr. 2008, 10.1016/j.ress.2007.02.003
[31] L. Cruz, L. Jiménez, “Diseño de una metodología que integra la ergonomía cognitiva con el desempeño de los procesos logísticos de empresas de servicios”, trabajo de grado, Pontificia Universidad Javeriana, 2013.
[32] J. Rasmussen, “Human error and the problem of causality in analysis of accidents.”, Philos. Trans. R. Soc. Lond. B. Biol. Sci., vol. 327, no. 1241, pp. 442-449, abr. 1990, doi: 10.1098/rstb.1990.0088
[33] J. M. Ruiz-Moreno, H. M. Trujillo, “Modelos para la evaluación del error humano en estudios de fiabilidad de sistemas”, An. Psicol., vol. 28, no. 3, pp. 963-977, 2012, doi: 10.6018/analesps.28.3.148941
[34] R. Islam, H. Yu, R. Abbassi, V. Garaniya, F. Khan, “Development of a monograph for human error likelihood assessment in marine operations”, Saf. Sci., vol. 91, pp. 33-39, ene. 2017, doi: 10.1016/j.ssci.2016.07.008
Información adicional
Como citar: L. A. Saavedra-Robinson, S. Páez, J. Ramírez, “Cuantificación del error humano en la cadena de suministro: caso de estudio en los servicios de transporte terrestre,” Rev. UIS Ing., vol. 19, no. 4, pp. 287-300, 2020, doi: https://doi.org/10.18273/revuin.v19n4-2020024