Artículos
Consideraciones de diseño de una turbina Michell-Banki
Design considerations for a Michell-Banki turbine
Consideraciones de diseño de una turbina Michell-Banki
Revista UIS Ingenierías, vol. 20, núm. 1, pp. 23-46, 2021
Universidad Industrial de Santander

Recepción: 18 Mayo 2020
Aprobación: 23 Agosto 2020
Publicación: 13 Octubre 2020
Financiamiento
Fuente: Programa Colombia Científica
Nº de contrato: FP44842- 218-2018
Beneficiario: Los autores
Descripción del financiamiento: Programa Colombia Científica como fuente de financiación, en el marco de las convocatorias Ecosistema Científico, contrato n.° FP44842- 218-2018.
Resumen: Las turbinas Michell-Banki, también conocidas como turbinas de flujo cruzado, son maquinas hidráulicas utilizadas para la producción y generación de energía en proyectos hidroeléctricos a pequeña escala. Desde su creación, la turbina de Michell-Banki ha sido objeto de múltiples investigaciones enfocadas a mejorar la eficiencia a fin de obtener el máximo aprovechamiento del recurso hidraúlico disponible. En este trabajo se exponen las características principales de la turbina, sus componentes y su principio de funcionamiento. Posteriormente se hace una descripción de las investigaciones y aportes de mayor relevancia de cada estudio. Luego se hace un análisis del uso y aplicación de la turbina Michell-Banki y las oportunidades de aprovechamiento en el territorio colombiano con el objetivo de proveer el recurso energético a zonas que carecen del servicio y que cuentan con el recurso hídrico. Finalmente se describen las consideraciones más importantes a tener en cuenta para el diseño de este tipo de turbinas.
Palabras clave: turbina de flujo cruzado, turbina Michell-Banki, álabes, inyector, eficiencia, rodete, diseño, energía hidráulica, arco de entrada, simulación computacional, ANSYS.
Abstract: Michell-Banki turbines, also known as cross-flow turbines, are hydraulic machines used for the production and generation of small-scale hydroelectric power. Since its creation, the Michell-Banki turbine has been the subject of multiple investigations focused on improving efficiency in order to obtain the maximum use of the available hydraulic resource. This work presents the main characteristics of the turbine, its components and its operating principle. Subsequently, a description of the most relevant research and contributions of each study. Then an analysis is made of the use and application of the Michell-Banki turbine and the opportunities for use in the Colombian territory with the aim of providing the energy resource to areas that lack the service and that have water resources. Finally, the most important considerations to take into account for the design of this type of turbines are described.
Keywords: cross-flow turbine, Michell-Banki turbine, blades, nozzle, efficiency, design, rotor, hydraulic energy, entrance arch, computational simulation, ANSYS.
1. Introducción
Las turbinas hidraúlicas son máquinas que desarrollan par y potencia en un eje como resultado de la variación de la cantidad de movimiento del fluido que pasa a través de estos dispositivos. Esta energía se puede aprovechar para realizar trabajo o para la producción de energía eléctrica, al acoplar el eje de salida a un generador eléctrico. La turbina Michell-Banki, también conocida como turbina de flujo cruzado o turbina Ossberger; es una turbina de acción, de flujo transversal y admisión parcial, optimizada para trabajar con caudales entre 0,2 y < 10 m3 /s y saltos entre 5 y 150 m [1], como se puede observar en la figura 1, donde se muestran los rangos de operación para diferentes tipos de turbinas.
![Rangos de operación para turbinas Pelton, Francis, Kaplan, flujo cruzado, tornillo de Arquímedes, Turgo y vórtice gravitacional. Modificada de: [1]](../553768365003_gf2.png)
Entre las principales características de la turbina Michell- Banki, se encuentra su diseño sencillo y fácil fabricación, buena eficiencia en modo de operación a cargas parciales y su bajo costo de operación y mantenimiento. Estas particularidades convierten a la turbina Michell-Banki en una alternativa atractiva para la generación a pequeña escala; sin embargo, esto no constituye un impedimento para su utilización en grandes instalaciones. Actualmente existen turbinas de este tipo hasta 6 MW de potencia útil [2]. Desde su creación muchas investigaciones han sido realizadas sobre esta turbina a través del tiempo, las cuales han introducido mejoras sustanciales en la eficiencia de esta.
Este trabajo tiene como objetivo mostrar los avances e investigaciones de carácter numérico y experimental realizadas hasta la fecha en torno al desarrollo de la turbina Michell-Banki, además de describir de acuerdo con los estudios, una serie de consideraciones para su diseño.
2. Turbina Michell-Banki
La turbina de flujo cruzado fue creada en 1903 por el ingeniero australiano Anthony George Maldon Michell, quien se inspiró en la teoría usada por el creador de la rueda hidráulica (Jean-Victor Poncelet), para diseñar teórica y experimentalmente esta máquina.
Posteriormente el profesor húngaro Donat Banki realizó un trabajo extenso y profundo del funcionamiento de esta turbina producto del cual a través de varias publicaciones especificó que para obtener la máxima eficiencia de esta máquina, el ángulo de orientación del chorro con el cual entra en contacto con el álabe debe ser tan pequeño como sea posible, con esta suposición en mente, Banki determinó teóricamente ángulos de entrada y salida del rotor, curvatura del álabe y la forma como el fluido fluye a través de la turbina [3]. La turbina fue perfeccionada mecánica e hidráulicamente y comercializada a escala industrial por la compañía alemana Ossberger, la cual desde 1933 posee una patente de aprovechamiento del diseño desarrollado [4], el cual se puede apreciar en la figura 2.
2.1. Componentes de la Turbina
La turbina Michell-Banki se encuentra compuesta principalmente por 4 elementos: rodete (o rotor), inyector o tobera, tubería de conducción y álabe director o directriz. El rodete es la parte de la turbina encargada de la transformación de energía cinética del fluido en energía mecánica rotacional. El rodete se encuentra compuesto principalmente por 2 discos paralelos los cuales se encuentran unidos entre sí por una serie de álabes curvados con forma de sector circular, generalmente con bordes afilados para lograr una reducción en la resistencia al flujo [3].
El inyector es el componente de la turbina que regula y orienta el agua que ingresa a la turbina, este elemento está diseñado de manera tal que el chorro que sale de este impacte los álabes del rodete con un ángulo denominado ángulo de ataque (α). El inyector posee una pared superior envolvente la cual guía el fluido con la menor pérdida obteniendo el mayor aprovechamiento de la energía de flujo [6]. Actualmente se usan 2 posiciones relativas de instalación del inyector vertical y horizontal [7].
En la mayoría de los casos, la turbina Michell-Banki aloja en el interior del inyector un elemento conocido como álabe director y cuya finalidad principal es regular el caudal en la turbina restringiendo la sección del ducto de entrada.
La tubería de conducción es el componente cuya función es la de transportar el fluido desde la captación hasta el inyector. Su diseño y construcción influyen en el desempeño y durabilidad de la turbina, dado que las pérdidas de cabeza por efecto de la rugosidad del material y la trayectoria pueden llegar a ser considerablemente altas, reduciendo la altura neta 𝐻𝑛, variable de la cual depende la potencia útil del conjunto [8]. El cálculo de la potencia útil está dado por la ecuación 1:
(1)Donde ρ es la densidad del fluido, g es la aceleración de la gravedad y Q es el caudal.
Considerando las pérdidas producto del flujo a través del inyector y el rodete, Banki concluyó que el rendimiento teórico máximo de la turbina está dado por la ecuación 2:
(2)Donde D es el diámetro exterior del rodete.
2.2. Principio de funcionamiento
La turbina Michell-Banki funciona bajo el principio de transformación de la energía potencial (cabeza de altura), en energía cinética justo antes de que el fluido ingrese al rodete el cual opera a presión atmosférica [9].
El agua es transportada por la tubería de conducción desde la captación hasta la casa de máquinas donde llega al inyector; el inyector debido a su forma acelera el fluido y lo dirige hacia el rodete. donde toca una determinada cantidad de álabes (álabes en admisión) [10]. El inyector orienta el fluido para que este haga contacto con los álabes en admisión orientado un ángulo α (ángulo de ataque).
Al ingresar al rodete, el fluido entra en contacto con un primer grupo de álabes y entrega cerca del 70 % de la energía que contiene, posteriormente el fluido abandona esta primera etapa de aprovechamiento de energía y atraviesa el interior del rodete, para hacer contacto nuevamente con un segundo grupo de álabes a los cuales entrega el restante 30 % de energía contenida; es este comportamiento el que le da a la máquina el nombre de turbina de flujo cruzado [11, 12]. Finalmente, el fluido abandona el rodete y se libera nuevamente al afluente hídrico del cual fue tomado aguas arriba.
3. Estado del arte
Posterior a los trabajos desarrollados por Banki, los primeros trabajos se fundamentaron en análisis teóricos del funcionamiento de la turbina Michell-Banki. La mayoría de los investigadores en sus trabajos estimaron variación de 2 o más componentes de la turbina para la realización de sus pruebas, por esta razón resulta complejo clasificar las investigaciones de acuerdo con el componente objeto de estudio y se opta por conservar una visión global de los desarrollos realizados en cada una de las investigaciones.
En 1949 Mockmore y Merryfield [13] definieron la eficiencia hidráulica de la turbina Michell-Banki en términos del ángulo de ataque y el ángulo del álabe (β). Concluyeron que el valor adecuado del ángulo de ataque es 16°, logrando un valor de eficiencia máxima de 68 %.
Balje [14] en 1981 llevó a cabo un análisis detallado del funcionamiento de la turbina en sus 2 etapas; como resultado logró demostrar que la transferencia de un 70 % de la producción neta de potencia ocurre en la primera etapa; así mismo demostró que para altas velocidades de giro, las turbinas convencionales (Francis y Pelton) requerían un mayor diámetro específico que la turbina de flujo cruzado.
Por su parte, Nakase et al. [15], en 1982, llevaron a cabo experimentos para estudiar el efecto de la forma del inyector en el rendimiento de la turbina. Durante estos experimentos, Nakase et al. detectaron que el flujo en la salida de la tobera tiene una cierta presión, y por lo tanto, concluyeron que la turbina de flujo cruzado no es una turbina de impulso perfecto; esto implica que la Michell- Banki es un punto intermedio entre las turbinas de acción y las de reacción. También observaron que la disminución de la presión en la salida del inyector no siempre está relacionada con un aumento de la eficiencia máxima. Finalmente concluyeron que existen dos tipos de flujo en la turbina: uno es el flujo cruzado que fluye a través de las dos etapas y el otro es el flujo no cruzado que fluye sólo a través de la primera etapa.
Makansi [16] examinó el efecto de la variación de flujo en situaciones de baja cabeza y alto flujo. En 1983 estableció que la turbina de flujo cruzado requiere grandes dimensiones en comparación con otras turbinas existentes; el tamaño del rodete limita la capacidad y, por lo tanto, puede ser necesaria la instalación de unidades múltiples para obtener un rendimiento equivalente al de otras turbinas.
Las ventajas de las turbinas de flujo cruzado en general y las turbinas de flujo cruzado con rodete seccionado fueron discutidas en 1984 por Hothersall [17]. En el caso de las turbinas de flujo cruzado, la velocidad específica puede cambiar variando únicamente el ancho de la turbina. Hothersall sugirió el uso de rodetes seccionados pues argumentó que pueden manejar las fluctuaciones de flujo de manera efectiva, y afirmó que el costo normalizado por kW en las turbinas de flujo cruzado con una potencia constante de 100 kW es mínimo cuando la cabeza está entre 30 y 40 m.
Uno de los trabajos más importantes y completos para el desarrollo teórico-experimental de la turbina Michell- Banki, fue el realizado en 1984 por Khosrowpanah et al. [18], los investigadores concluyeron que un diseño único puede ser adaptado y construido con procesos simples de corte y soldadura, es decir, la turbina puede ser instalada y puesta en marcha por personal sin grandes conocimientos técnicos en la materia. Además, enumeraron las diversas ventajas de la turbina de flujo cruzado, entre las cuales resalta el efecto positivo de la turbina en la ecología y la ausencia de cavitación. Ese mismo año, de manera independiente Khosrowpanah [19] presentó un estudio sobre el efecto del número de álabes, diámetro del rodete y el ángulo del arco de entrada del inyector, y la incidencia de estos en el rendimiento general de la turbina. Concluyó que la eficiencia de la turbina aumenta con un incremento en el ángulo del arco de entrada (λ) del inyector de 58° a 90°, ver figura 3, y disminuye ligeramente con una disminución en el diámetro del rodete con un ancho constante.
También en 1984 Van Dixhorn et al. [12] en el marco de sus investigaciones realizaron pruebas con una turbina de flujo cruzado para determinar la fuerza que ejerce el fluido sobre los álabes. En sus experimentos Van Dixhorn et al., midieron fuerzas tangenciales, radiales y cantidad de momentum sobre un álabe. Concluyeron que las fuerzas máximas se presentan justo antes que el álabe deje la salida del inyector.
En 1985 Thapar y Albertson [21] encontraron que la turbina Michell-Banki es libre de cavitación, sin embargo, es susceptible al desgaste excesivo producido por las partículas de material mineral (sedimentos) presente en el agua. Así mismo afirmaron que el mantenimiento general es menos complejo que para otros tipos de turbinas ya que los álabes del rotor tienen un funcionamiento que permite auto limpieza. Sin embargo, el único factor que no está a favor de las turbinas de flujo cruzado es su mayor requerimiento de espacio, lo cual se compensa económicamente con su estructura menos compleja y menores costos de fabricación de sus componentes.
En 1987, Panasyuk et al. [23], llevaron a cabo un amplio estudio sobre el uso de los recursos energéticos locales como una alternativa al suministro eléctrico centralizado para las regiones montañosas en Asia Central. Examinaron varias opciones como la energía eólica, energía hidráulica, baterías solares y motores de combustión interna. Mediante la comparación de la energía producida, el funcionamiento y los parámetros económicos de las fuentes de energía autónomas, llegaron a la conclusión que para territorios dispersos y con dificultades económicas, el uso de micro- hidroeléctricas (P < 0,1MW de acuerdo con la clasificación establecida por [22]) es lo más conveniente. Durante las investigaciones, crearon y probaron modelos experimentales de una estación de micro-hidroeléctrica con capacidad de 1, 2, y 30 kW. Concluyeron que las turbinas Banki de alta cabeza, junto con turbinas de hélice de baja cabeza son las más productivas para las condiciones dadas.
Ese mismo año, Patzig [24] enfocó su investigación en el análisis y optimización del recurso energético para condiciones de caudal variante a lo largo del año. En sus estudios encontró que la turbina de flujo cruzado genera la energía equivalente a 100 días adicionales por año a flujos altos y 130 días a flujos bajos. Patzig basó sus conclusiones en el argumento de que, para las plantas a filo de agua, la producción de energía en kWh es el factor crítico en comparación con la producción máxima, para lo cual comparó el rango de producción de una turbina Francis de alta velocidad con una turbina de flujo cruzado de dos celdas de baja velocidad. Finalmente, también concluyó que las turbinas de flujo cruzado con carcasa y el rodete cilíndrico de tambor son mucho más fáciles de dimensionar en comparación con otro tipo de turbinas.
En una investigación adicional de carácter experimental Khosrowpahan et al. [25], en 1988, demostraron que la eficiencia de la turbina incrementa proporcionalmente con el incremento del arco de entrada del fluido al rodete y con la disminución de la relación de diámetros del rodete (diámetro exterior (D) y diámetro interior (Di)). En Adición recomendaron las cantidades que maximizan el desempeño de la turbina, las cuales corresponden a 16 álabes, una relación de diámetros de 0.68 y un ángulo de ataque (α) de 16°.
Fiuzat y Akerkar [26] (1989) realizaron investigaciones sobre el chorro al interior de la turbina. A través de la observación del campo de fluido, llegaron a la conclusión de que el patrón de flujo en el interior del rodete de la turbina de flujo transversal es cóncavo visto desde el centro del eje, adicional a esto encontraron que el ángulo del chorro a la salida de la primera etapa es mayor para la posición vertical del inyector que en posiciones con inclinación o la posición horizontal. Finalmente concluyeron que el flujo transversal es inversamente proporcional a la velocidad, pero, directamente proporcional a la carga sobre el eje de la turbina de flujo cruzado. En trabajos posteriores, Fiuzat [27] en 1991, encontraría que el desempeño de la turbina Michell- Banki depende totalmente del diseño y la geometría de sus componentes, especialmente del ángulo de ataque (α); además encontró que en la primera etapa se transfiere cerca del 55 % de la energía y en la segunda etapa el 45 % restante, obteniendo una eficiencia cercana al 89 %.
En 1994, Desai y Aziz [28] realizaron la evaluación experimental del desempeño de la turbina Michell-Banki, para esto compararon la variación del flujo, con la variación de 6 parámetros geométricos de la turbina: ángulo de ingreso del fluido al rodete, relación de diámetros, número de álabes, ángulo de salida de los álabes y relación de aspecto del rodete (diámetro exterior en relación con el ancho); en total se utilizaron 11 modelos de inyectores y 39 modelos de rodete en 75 combinaciones diferentes. Finalmente, Desai y Aziz concluyeron que la máxima eficiencia alcanzada por la turbina 88 % disminuye a medida que aumenta el ángulo de ataque, para el cual el valor óptimo es 22°. Así mismo encontraron que la eficiencia aumenta a medida que aumenta la cantidad de álabes en el rodete, con una cantidad óptima de 15 álabes.
Costa Pereira y Borges [29], en 1996, llevaron a cabo una investigación de tipo experimental para caracterizar el flujo de agua en el inyector.
Parte de la investigación consistió en realizar la cuantificación de la distribución de la presión estática en las paredes internas de 2 configuraciones diferentes del inyector (uno con álabe director y otro sin este elemento). Las pruebas realizadas en presencia del rodete incluyeron la medición de la eficiencia para una amplia gama de condiciones de trabajo. Los datos medidos para la eficiencia y distribución de la presión no mostraron ningún efecto significativo con relación a la cabeza; la presencia del rodete indujo algunos cambios en la distribución de la presión que varía considerablemente con cambios en el flujo, se puede decir que el nivel general de presión dentro del inyector tiende a aumentar cuando el caudal disminuye.
El desarrollo de los computadores y los avances en materia de implementación de algoritmos capaces de resolver las ecuaciones que dominan el campo de fluido dio paso a la aplicación de herramientas tecnológicas en investigaciones numéricas aplicadas al estudio y desarrollo de las turbinas hidráulicas. El uso de software de dinámica de fluidos computacional (CFD por sus siglas en inglés), permitió realizar modificaciones en los diferentes componentes de la turbina para analizar las variaciones en el desempeño de esta, sin necesidad de construcción de modelos físicos. En el caso de la turbina Michell-Banki múltiples trabajos numéricos han sido llevados a cabo, con la finalidad de evaluar el comportamiento del fluido y de la turbina ante diversas variaciones en el rodete, inyector y mecanismo de control del fluido.
En un primer trabajo, presentado en el año 2001, Marchiegiani [30] efectuó simulaciones numéricas 2D del flujo sobre el rodete de una turbina de flujo cruzado para investigar numéricamente la eficiencia de la turbina. Para este estudio Marchiegiani utilizó un diseño propuesto por la Organización Latinoamericana de Energía (OLADE).
Los objetivos generales de la simulación numérica del flujo a través de la turbina fueron la determinación de los campos de presión y velocidad, y finalmente la especificación de su rendimiento en diferentes puntos de funcionamiento. Los resultados fueron comparados con datos experimentales a fin de validar el modelo teórico, los resultados se pueden observar en la figura 4.
Marchegiani y Montiveros (2005) [31] realizaron simulaciones numéricas 2D sobre dos modelos básicos de inyector, investigando el efecto de la geometría de este sobre la eficiencia de la turbina. Las geometrías utilizadas corresponden a las desarrolladas por la Organización Latinoamericana de Energía (OLADE) y la Swiss Centre for Development Cooperation in Technology and Management (SKAT), ambos modelos se pueden observar en la figura 5. En las simulaciones se compararon las presiones sobre el álabe regulador y la pared superior del inyector, así como también se analizaron las velocidades a la entrada y presiones y velocidades a la salida de este. Ambas geometrías se comportaron de forma similar desde el punto de vista fluido dinámico: la distribución de presiones fue similar, tanto en distribución como en magnitud. Los resultados de la simulación se encuentran en la figura 6.

En 2005, Cotacallapa [33] para sus investigaciones desarrolló tres modelos teóricos que proponen innovaciones en el diseño de la turbina hidráulica de flujo cruzado: modelo teórico de optimización parcial, modelo teórico de optimización completa y modelo teórico de optimización del comportamiento ideal; estos modelos partiendo de principios y supuestos modificados como la modificación del triángulo de velocidades por el efecto del espesor de los álabes. Cotacallapa desarrolló también una metodología, empleando CFD y simulación numérica directa (DNS), para evaluar y evidenciar el efecto de las innovaciones de sus diseños. La metodología consiste en la parametrización de la geometría en el lenguaje de programación deseado, la discretización del dominio, el procesamiento, validación y post procesamiento de los resultados numéricos obtenidos. Sus resultados indican que la modificación del ángulo del álabe director en su posicionamiento sobre el rodete con respecto a los diseños tradicionales trae consigo implicaciones como la mejora en el aprovechamiento del recurso hídrico lo cual indica una operación relativamente más eficiente.
Durante el año 2007, Goncalves de Mello et al. [34] propusieron alteraciones en la concepción y fabricación del rotor e inyector, dos componentes importantes en el desempeño de la turbina de flujo cruzado. Su objetivo era aumentar el campo de aplicación de estas turbinas para que lleguen a ser una importante ayuda energética en áreas agrícolas desprovistas de energía eléctrica. La modificación del rotor consistía en empalmar dos puntas de eje al rotor por medio de conexiones bridadas, al contrario del eje pasante utilizado comúnmente en las otras máquinas. La modificación en el inyector era la introducción del distribuidor radial, empleado por un tradicional fabricante de turbinas de flujo cruzado, en remplazo al perfil en forma de uña patentado por la firma Ossberger y difundido en América Latina por la OLADE. Sin embargo, los ensayos de la turbina efectuados en el banco de pruebas presentaron aumentos de rendimiento inferiores a los esperados. Por ese motivo, los autores continúan trabajando para lograr un aumento satisfactorio de rendimiento.
También en 2007 Cotacallapa y Gonzáles [35] presentan un análisis CFD, empleando el Método de Elementos Finitos (FEM) para el modelamiento del comportamiento de una turbina hidráulica de flujo cruzado de 50 kW (Q = 120 L/s, H = 50 m y ω = 124.61 rad/s) con el objetivo de explicar de forma numérica, los principios y supuestos clásicos de diseño, así como la búsqueda de su optimización. Como resultado se obtuvieron los campos de presión y velocidad para diferentes condiciones (Q = 0 - 203.61 L/s, H = 9.40 - 580.71 m y ω = 25, 50, 100 y 125 rad/s) y regímenes (laminares, de transición y turbulentos) de operación. A partir de estos se cuantificaron algunos indicadores del funcionamiento de la turbina (distribución de los vectores velocidad en el tramo de admisión, eficiencia y coeficiente del inyector directriz, curvas características de la turbina de 50 kW y de la turbina unidad). Finalmente se proyectaron parámetros de operación de la turbina para las condiciones de diseño bajo una perspectiva teórica utilizando el modelamiento de flujos.
Choi et al. (2010) [36] llevaron a cabo estudios donde analizaron el efecto en el desempeño de la turbina de flujo cruzado producto de una capa de aire. Para este ensayo utilizaron una turbina modificada con entradas de aire regulables demostrando que la capa de aire sobre el rodete genera un efecto significativo sobre el rendimiento y el flujo interno de la turbina pues previene pérdidas debido a choques sobre el eje del rodete y también suprime el flujo de recirculación en este, como se observa en la figura 7.

En 2011, De Andrade et al. [37] analizaron numéricamente el flujo interno de una turbina hidráulica de flujo cruzado mediante simulaciones 3D. La simulación incluía inyector, rodete, eje y carcasa. Los objetivos de este estudio eran analizar los campos de velocidades y de presión del flujo cruzado en el rodete y caracterizar su desempeño a diferentes velocidades. Encontraron que la recirculación de flujo entre los álabes del rodete y los choques del flujo cruzado interno causa pérdidas hidráulicas considerables por lo que la eficiencia de la turbina disminuye significativamente. Los resultados de simulaciones CFD, figura 8 se compararon con los datos experimentales, los cuales resultaron consistentes con los parámetros de rendimiento a nivel mundial.
Camarena et al. [38] en el desarrollo de su investigación, redimensionaron y caracterizaron energéticamente una turbina Michell-Banki de 1 kW de potencia eléctrica. Inicialmente realizaron cálculos cinemáticos y dinámicos del rotor (determinación de triángulos de velocidades, números adimensionales, caudal, altura, potencia y rendimiento) para condiciones nominales y de diseño.
Concluyeron que es posible realizar el diseño de la turbina, tomando como punto de partida datos de potencia, altura, altura neta y el diámetro de la entrada.
En 2013, Nasir [39] diseñó una turbina Michell-Banki para diferentes condiciones de cabeza neta y caudal. El desarrollo contempló la variación de 12 parámetros de la turbina, manteniendo el caudal constante en un primer grupo de experimentos. Posteriormente para la misma variación de parámetros se mantuvo constante la cabeza neta de altura. Los modelos contemplados fueron evaluados numéricamente mediante el programa Matlab; para ambos grupos de experimentos los resultados fueron consistentes para ambos grupos de experimentos en términos de eficiencia. El valor de eficiencia máxima alcanzada fue de 88 % en diferentes combinaciones de las variables objeto de estudio.
Sammartano et al. [40], también en 2013, realizaron investigaciones numéricas para determinar el diseño óptimo de una turbina Michell-Banki. Con las modificaciones propuestas obtuvieron cerca del 86 % de eficiencia máxima con una turbina de 35 álabes, para una relación de diámetros de 0.65 y un valor α de 22°.
Acharya et al. [41], en 2015, estudiaron numéricamente las características y el flujo de fluido en una turbina hidráulica de flujo cruzado buscando optimizar su rendimiento modificando geométricamente algunos parámetros. Durante el proceso se eligió un modelo base, a partir del cual se modificó el diseño variando la forma del inyector, cambiando el ángulo del álabe director y variando el número de álabes del rodete. Las simulaciones se llevaron a cabo individualmente usando el software comercial ANSYS. Los parámetros de diseño incluyeron una altura de 10 m, una velocidad de flujo de 0.1 m3 /s y una velocidad de rotación de 642 RPM. Los resultados obtenidos mostraron que la mejor eficiencia obtenida del inyector de base fue de 63.67 %, cuando se modificó geométricamente mejoró el rendimiento de la turbina y la eficiencia alcanzó el 76.60 % (modelo modificado con 7° de apertura y 22 álabes).
Adhikari y Wood [42] (2016) realizaron investigaciones de carácter numérico a fin de evaluar la aparición del fenómeno de cavitación en el rodete de una turbina Michell-Banki. Para esto, fueron estimadas variaciones para la cabeza (H), velocidad de giro y Caudal. En las simulaciones, se utilizó un modelo de fluido multifase (Agua líquida - Vapor de agua) a fin de apreciar la formación de las burbujas de vapor en el momento de su aparición y donde se encontraban localizadas. Resultado de simulaciones, se encontró que, en este tipo de turbina, la cavitación se presenta en el lado de succión de los álabes en la segunda etapa. Además se encontró que las burbujas de vapor comienzan a aparecer en los álabes a una velocidad de giro de 450 RPM y que el tamaño de esa región de cavitación incrementa a la par de la velocidad de giro y disminución la cabeza (para una cabeza de 12 m no se presentó aparición de burbujas de vapor), este trabajo contrasta con las conclusiones acerca de la turbina de flujo cruzado realizadas por Thapar y Albertson [21], en 1985, sobre la ausencia del fenómeno de cavitación en este tipo específico de turbinas.
Posterior a este trabajo, en 2017, Adhikari y Wood [43] propusieron una nueva metodología para el diseño del inyector. Los sistemas de energía hidroeléctrica a pequeña escala se utilizan principalmente en lugares remotos para generar electricidad donde se dispone de recursos hidroeléctricos razonables. Muchos sistemas de pequeña escala emplean turbinas de flujo cruzado debido a su simplicidad en el diseño y la fabricación, el bajo costo, la construcción robusta y la vida útil más larga. Pero en comparación con los diseños más avanzados y eficientes, como las turbinas Pelton y Francis, tienen una eficiencia máxima más baja. En una turbina de flujo cruzado, el inyector aumenta la velocidad del flujo y la dirige en un ángulo adecuado al rodete cuyo eje es tangencial al flujo. El rodete extrae el momento angular del flujo. Por lo tanto, el flujo de entrada del rodete es crítico para la eficiencia de la turbina. Sin embargo, no se sabía claramente cómo el flujo de entrada afectaba el rendimiento del rodete y cómo se podía diseñar un mejor inyector.
Este estudio presentó un nuevo método de diseño del inyector; los autores formularon un modelo analítico para convertir la cabeza de altura en energía cinética en la entrada y obtener un ángulo de flujo adecuado. Las simulaciones tridimensionales se realizaron para una turbina de 7 kW, con una eficiencia máxima medida del 69 % y una turbina de 0.53 kW con una eficiencia máxima del 88 %. La capacidad predictiva del modelo computacional se evaluó comparando los valores computacionales con resultados experimentales de la potencia en un rango de condiciones de operación en ambas turbinas. Al rediseñar solo el inyector de la turbina de 7 kW con el nuevo método, la eficiencia máxima aumentó del 69 % al 87 %. Por lo tanto, el diseño del inyector si tiene una influencia significativa en el rendimiento de la turbina, adicional se llegó a la conclusión de que la conversión de la cabeza en energía cinética y la combinación del flujo del inyector con el diseño del rodete son fundamentales en el diseño de la turbina.
Budiarso et al. [44] (2017) analizaron la posibilidad de usar un perfil aerodinámico para los álabes a fin de aprovechar el efecto de la superficie aerodinámica de un perfil NACA en la eficiencia de la turbina. Los álabes con un perfil aerodinámico NACA-6712 se compararon con un perfil ordinario usando simulaciones CFD; en la simulación CFD se encontró que la eficiencia máxima de las turbinas ordinarias (perfil semicircular) fue de 55.3 % con un número de álabes de 25. Mientras que la eficiencia máxima de la turbina con perfiles NACA-6712 fue de 54.7 % también con 25 álabes. Sus resultados permitieron concluir que la turbina ordinaria es mejor que la turbina NACA-6712.
Verma et al. [45] (2017) realizaron investigaciones experimentales de la variación del desempeño de la turbina tipo Michell-Banki de acuerdo con el ángulo de ataque, elevación y distancia horizontal del inyector, respecto al centro del rodete, con un modelo constituido por una turbina sin carcasa, para ser utilizado en instalaciones rurales. Concluyeron que, para un ángulo de ingreso entre el fluido y la periferia del rodete, cercano a los 8°, con una elevación del inyector de 0.13 m y una distancia horizontal de 0.26 m lograron un valor de eficiencia cercano al 93 %.
Zaffa et al. [46] enfocaron sus investigaciones en el efecto que tiene la variación de la forma de la punta de los álabes en la sección de salida del fluido del inyector en el desempeño de la turbina. Para esto compararon 4 perfiles, de punta plana, de punta redonda, puntiagudo y ovalado. Los resultados de las pruebas mostraron que el perfil de álabe de punta redonda produce una mayor eficiencia en la turbina.
Ceballos et al. [47] (2017) estudiaron mediante simulaciones computacionales la influencia del número de álabes en la potencia generada por una turbina tipo Michell-Banki. Para desarrollar el estudio, crearon seis modelos de rodetes utilizando el software Solid Edge ST8 de 16, 20, 23, 25, 28 y 32 álabes. La discretización del volumen de control (agua dentro de la turbina) se realizó en el módulo de mallado de Ansys Workbench V17.0. La configuración de las ecuaciones que gobiernan la dinámica del fluido fue resuelta utilizando Ansys CFX, donde usaron un modelo de turbulencia homogénea para el fluido multifase (agua-aire), también implementaron un modelo de turbulencia que corresponde a k-∈ para ambas fases, estableciendo los siguientes valores como condiciones límite: una velocidad de 3.6 ms¯1 en el inyector, velocidad de rotación de 450 RPM y presión atmosférica en la salida. Los autores encontraron que hubo un incremento del 3.2 % en la potencia generada por la turbina Michell-Banki cuando el número de álabes en el rodete cambia de 16 a 28.
En 2018, Elbatran et al. [48] realizaron investigaciones numéricas y experimentales para mejorar la eficiencia en turbinas de flujo cruzado para uso en áreas rurales. Propusieron una nueva configuración del sistema para capturar la mayor cantidad de energía cinética posible de la corriente de agua del arroyo. Este sistema, conocido como canal de difusor aumentado bidireccional, también llamado BDA (por su nombre en inglés bi-directional diffuser aumented), funciona mediante la utilización de dos turbinas de flujo cruzado con disposición opuesta de sus álabes, como se puede ver en la figura 9. Los autores estudiaron también el efecto de los ángulos de entrada y salida de los álabes, para ellos probaron su sistema de doble rodete con 4 diferentes disposiciones de los álabes, ver figura 10. Encontrar el ángulo apropiado es importante porque este permite guiar el flujo de como que los álabes logren capturar la mayor torsión y potencia posible.
Los resultados numéricos de la investigación se han validado con trabajo experimental y han demostrado ser aceptables con el patrón de flujo y las características de rendimiento. Los resultados del estudio concluyen que los coeficientes de potencia máxima (Cp) de 0.612 y 0.473 para las turbinas inferiores y superiores se registran cuando los álabes en el rodete se encuentran en la posición del caso 3. El sistema presentado en el estudio está previsto para ser utilizado en canales de aguas abiertas y ríos con regiones de baja velocidad para mejorar el flujo de agua y aumentar la potencia hidrocinética extraída [48].
Adanta et al. [49] (2018) estudiaron la influencia de la profundidad de los álabes en la eficiencia de la turbina, como se observa en la figura 11. Fue usado un modelo CFD para representar el patrón de flujo dentro de la máquina. La variación de la profundidad de los álabes en este estudio constó de 0 mm, 3 mm, 6 mm y 9 mm, y las condiciones de los límites de la presión de entrada varían con las cabezas de 2.7m y 5 m. El modelo de turbulencia RNG k-∈ estándar fue el utilizado para predecir el comportamiento del flujo turbulento. Para una altura del álabe de 0 mm la eficiencia fue de 41.9 %, 3 mm es 45.8 %, 6 mm es 34.4 % y 9 mm es 36.7 % para un cabeza constante de 2.7 m. Mientras tanto, para la cabeza de 5 m las variaciones de la eficacia fueron de: 0 mm es 49.8 %, 3 mm es 57.3 %, 6 mm es 53.7 % y 9 mm es 49.6 %. Los autores concluyeron que las diferentes profundidades de los álabes probadas mostraron que la presión tiene un valor alto cuando el agua ataca por primera vez la punta del álabe. Una profundidad de 9 mm también mostró un mayor contorno de presión en la primera etapa.

Esto significa que una profundidad de 9 mm convierte la energía cinética máxima en la primera etapa. Sin embargo, cuando el agua entra en la segunda etapa, la energía del agua se reduce drásticamente; esto también ocurrió con una profundidad de 6 mm. Mientras tanto, las profundidades de 0 y 3 mm mostraron que la energía del agua no se disipa en la segunda etapa. Este resultado indicó que el cambio en el momento debido a las profundidades de 0 y 3 mm fue mejor que las profundidades de 6 y 9 mm [49].
En un estudio más reciente Adhikari y Wood [50], en 2018, se enfocaron en entender el campo de flujo del fluido al pasar a través del inyector, mediante simulación computacional.
Posteriormente, partiendo del conocimiento obtenido, rediseñaron la geometría del inyector buscando que, al pasar por este, la totalidad de la energía por cabeza de altura se transformara en energía cinética, buscando obtener mayor transferencia de momentum lineal en la entrada del rodete y reduciendo la separación del fluido en los álabes de la primera etapa, con este nuevo diseño se logró un aumento porcentual de eficiencia en 3 puntos porcentuales pasando de 88 % a 91 % a plena carga [50].
En una investigación adicional, ese mismo año, Adhikari y Wood [51] propusieron un mecanismo de control para la operación a carga parcial de la turbina, consistente en una lámina deslizante ubicada en la pared inferior del inyector, como se puede observar en la figura 12.

Esta lámina (denominada slider), actúa como una válvula que regula el flujo a través de la zona de ingreso del fluido al rodete modificando el arco de entrada. Entre las ventajas de esta lámina deslizante, resalta que esta no divide el fluido en 2, como es el caso del álabe directriz, el cual causa un flujo no uniforme al ingreso del rodete y afecta la eficiencia de la turbina. De acuerdo con lo planteado, el objetivo de esta lámina es poder modificar su posición de acuerdo con el flujo requerido, regulando con esto la carga y manteniendo la eficiencia de la turbina en el máximo valor, independiente de la operación en cargas parciales. Se realizaron varias simulaciones con caudales parciales diferentes, manteniendo la velocidad de rotación constante, concluyendo que, mediante el uso de la slider, se logra la operación parcial de la turbina, manteniendo la eficiencia en un intervalo entre 86 – 88 %, tal como se observa en la gráfica de la figura 13, en la cual se compara el desempeño entre la turbina en diferentes condiciones de carga con el slider y sin este.
Además, Adhikari y Woods [52] diseñaron y evaluaron mediante simulación numérica el efecto de un inyector adicional en una turbina Michell-Banki. Dado que en los trabajos previos lograron identificar que el flujo a través del rodete está confinado a menos de la mitad de este; concluyeron que la porción restante del rodete se podría aprovechar con la instalación de un nuevo inyector, direccionado en sentido contrario al convencional, tal como se observa en la figura 14.

Para la configuración propuesta, se llevaron a cabo simulaciones con el diseño de rodete e inyector optimizados en los trabajos anteriores, además del sistema de control con slider, implementado para ambos inyectores. Resultado de las simulaciones se encontró que la turbina con los 2 inyectores mostró una mejora en eficiencia del 1.12 % respecto a la turbina con un solo inyector (88 % para la turbina con un solo inyector, 89.12 % para la turbina con doble inyector), sumado a lo anterior encontraron que, al sumar un inyector adicional, las fluctuaciones en el flujo al interior del rodete se atenúan.
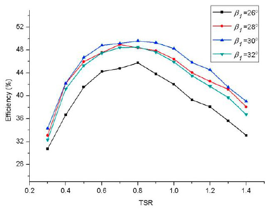
En 2019, Jiyun et al. estudiaron numérica y experimentalmente el efecto del ángulo del álabe (β) sobre el rendimiento de la turbina. Fabricaron y probaron cuatro prototipos con diferentes ángulos β: 26°, 28°, 30° y 32°. Los resultados experimentales indicaron que cuando β es igual a 30°, la turbina tiene la máxima eficiencia, la figura 15 muestra la Influencia del ángulo de los álabes en la eficiencia de la turbina. Después los autores realizaron un estudio numérico para investigar los efectos del ángulo de los álabes en la potencia de salida de la turbina en su primera y segunda etapa. Se encontró que, con el aumento del ángulo de salida, la relación de potencia de salida de la primera etapa del rodete aumenta mientras que la de la segunda etapa se reduce. Además, encontraron que, de la potencia total generada por la turbina, cerca del 50 % es generada en la primera etapa, figura 16 [53].
Ahmad et al. [54] también estudiaron el efecto en el rendimiento de la turbina de flujo cruzado del ángulo de los álabes. Durante el 2019, el diseño propuesto de la turbina se probó para ángulos entre 20.5 ° a 40.5° con intervalos de 5°. La configuración experimental produjo una potencia de salida máxima de 8,9 KW con una cabeza de 6 m, un caudal de 0,21 m3 /s y una eficiencia máxima de 89 % para un ángulo de 30.5°
Sutikno et al. [55] estudiaron experimentalmente tres modelos de turbina de flujo cruzado con diferentes ángulos para el arco de entrada: 75°, 90° y 120°. La plataforma de prueba experimental consistió en los tres modelos de turbina, bomba, sistemas de tuberías, medidor de flujo magnético y tacómetro. Los caudales, que ingresaron a la turbina, suministrados por la bomba, fueron medidos por el medidor de flujo magnético. La potencia generada en el eje de la turbina se determinó midiendo las fuerzas de torsión detectadas usando un balance de resorte y las velocidades de la turbina se detectaron mediante un tacómetro de mano. Los resultados del estudio, presentados en el año 2019, indicaron que la eficiencia aumenta a medida que el arco de entrada disminuye. Los modelos de 75° y 90° proporcionaron una eficiencia y potencia mayor que la de la turbina con un arco de entrada de 120°
También en 2019, Ranjan et al. [56] llevaron a cabo una investigación numérica multífisica en ANSYS FLUENT para estudiar la influencia tanto del ángulo de los álabes como del ángulo del arco de entrada al rodete en la eficiencia de la turbina. Cambiaron el ángulo de los álabes 5° a 40°, el ángulo del arco de entrada entre 65° y 85°, y dejaron constante en 20 el número de álabes del rodete. La velocidad de rotación de la turbina varió de 200 rpm a 800 rpm. A partir de los resultados, han encontrado que la máxima eficiencia, de 97.8 %, se alcanza cuando el ángulo de entrada es de 5° y el ángulo del arco de 65°, con una velocidad de rotación de 600 rpm (ver figura 17 y Figura 18).
En 2020, Leguizamón y Avellan [57] presentan los resultados de su investigación, los investigadores estudiaron como el diseño de la turbina de flujo cruzado puede ser afectado por las dimensiones disponibles para tuberías de acero comerciales, suponiendo que los álabes se fabricaran con este material. Realizaron también un estudio paramétrico para comprender la importancia relativa de las variables de diseño y su valor óptimo con respecto a la eficiencia de la turbina. Los parámetros de estudio fueron el número de álabes del rodete y su espesor w, el ángulo del arco y el ángulo de los álabes y la relación entre el diámetro exterior e interior del rodete. De acuerdo con los principales hallazgos del análisis paramétrico, los autores recomiendan un número de álabes de 32, con un espesor relativo w/D inferior al 1 %, aunque su integridad estructural debe ser verificada; una relación de diámetros Di/D de 0,66 ± 0,01; y un arco de 95°±5°. Basado en las pautas de diseño derivadas del análisis paramétrico, los autores presentan un diseño de turbina de flujo cruzado con una eficiencia de 75 %, demostrando que es posible diseñar una turbina de eficiencia competitiva a partir de tuberías de acero comerciales.

Estas pautas pueden fomentar el uso de turbinas de flujo cruzado como una tecnología apropiada para regiones fuera de la red.

Recientemente la turbina Michell-Banki ha sido utilizada para la reducción de presión en tuberías de suministro de agua potable en redes de distribución del fluido de grandes ciudades. Ejemplo de esto son los trabajos desarrollados por Sammartano et al., en 2017, para lo cual realizaron modificaciones en la geometría convencional de la carcasa en una turbina Michell-Banki, el diseño propuesto se puede observar en la figura 19, los resultados experimentales arrojaron un rendimiento estable para un amplio rango de caudales. La forma de la descarga diseñada permitió mantener la velocidad en la sección constante, evitando así la pérdida de energía debida a la turbulencia en esa zona. Además, encontraron que la máxima eficiencia es lograda cuando la componente tangencial de la velocidad absoluta es el doble de la velocidad tangencial del rodete. Experimentalmente durante la misma investigación, se encontró que la turbina diseñada, funcionó de mejor manera cuando la velocidad de giro fue regulada de acuerdo con la carga conectada al generador, a fin de maximizar la eficiencia de acuerdo con el caudal que se tenía [20].

En investigaciones realizadas por Jiyun et al. (2018), fueron propuestos modelos de bloques para alojar toda la estructura de una turbina Michell-Banki, al interior de tubos principales de una red de distribución, como se observa en la figura 20. El objetivo de la investigación consistió en proponer un modelo de turbina que se encontrara embebido en la tubería y que a su vez supliese la demanda energética de los sistemas electrónicos usados para supervisar las fugas en el circuito de agua potable de la ciudad de Hong Kong [58]. En una investigación complementaria Jiyun et al. (2019), analizaron el efecto en el desempeño de la turbina de los ángulos de salida en los álabes mediante simulación numérica, estableciendo valores entre 26° y 32°, con variaciones cada 2°. Encontraron un aumento cercano al 4 % en la eficiencia para un ángulo de salida en los álabes de 30° [59].
4. Turbina Michell-Banki en el contexto colombiano
De acuerdo con la Ley 1715 de 2014, el país debe trabajar en la integración de las Fuentes de Energía Renovables No Convenionales (FERNC) al sistema energético nacional, que se encuentra compuesto por el Sistema Interconectado Nacional (SIN), las Zonas No interconectadas (ZNI), las fuentes, los mecanismos y los medios de transformación que hacen posible el uso de la energía para fines útiles dentro de todas las actividades realizadas a nivel nacional [60].

Al interior del territorio colombiano diversas zonas presentan inconvenientes con el suministro de energía eléctrica por medio de líneas convencionales de transmisión y distribución, este hecho se debe a que las mismas poseen un alto costo, y se agrava por el hecho de que estas zonas poseen una baja densidad de carga. Todo ello conduce a la privación de estas comunidades de los beneficios que provee la electricidad: iluminación, refrigeración, radio, televisión, comunicaciones, computadoras, generación de fuentes de trabajo, etc. En algunos casos el servicio de energía eléctrica en estas regiones se caracteriza por la baja cobertura, un reducido número de horas de servicio (8 horas en promedio), baja calidad (confiabilidad y disponibilidad), altas pérdidas técnicas y precios altos, cultura del “no pago” y usuarios con muy bajo nivel de ingresos. Generalmente la capacidad instalada en las ZNI se suple con el uso de combustibles fósiles, los cuales constituyen un recurso oneroso, no renovable y altamente contaminante [61].
En el país la mayoría de las ZNI están surcadas por gran cantidad de pequeños ríos y arroyos, que presentan un potencial hidráulico interesante desde el punto de vista de la generación de energía eléctrica con microturbinas, aun escasamente explotado. Teniendo en cuenta las condiciones antes descritas en estas regiones y las ventajas que caracterizan a la turbina Michell-Banki, son diversas las razones por las cuales la turbina Michell- Banki constituye una alternativa atractiva para aprovechar los recursos existentes. Inicialmente el diseño de la turbina Michell-Banki no presenta variaciones significativas de acuerdo con su capacidad, es decir que a partir de un mismo diseño las dimensiones pueden ser escaladas de acuerdo con los requerimientos y necesidades [18].
En segundo lugar, la sencillez del proceso de fabricación de la turbina hace de ella la opción idónea para su utilización en proyectos de generación a pequeña escala [18, 16]. Para tener una idea, el proceso es tan simple que de un tramo tubo en acero pueden obtenerse 4 álabes, incluso existen modelos funcionales construidos en tubería de PVC como el utilizado en los experimentos de Keawsuntia [62] en 2011. Además, dado que en términos generales la turbina Michell-Banki no presenta efectos significativos de cavitación y erosión, el material utilizado para su fabricación no requiere calidades especiales, de manera que con un acero AISI 1030 o AISI 1040 sería suficiente. Sin embargo, si lo deseado es un rodete con mínimas intervenciones se puede optar por usar un acero inoxidable AISI 304 [63], materiales de carácter comercial en el país.
En tercer lugar, se tiene la facilidad de instalación, operación y mantenimiento de este tipo de turbina [18], lo cual permitiría la vinculación de personas pertenecientes a la comunidad en el proceso de construcción y posteriormente con la debida capacitación en el proceso de operación y mantenimiento, generando con esto a su vez oportunidades de empleo y desarrollo en la región. Finalmente se tiene el alto desempeño mostrado por la turbina para condiciones de operación en carga parcial [40]; lo cual es una ventaja para estas zonas donde la densidad de carga es pequeña y se requiere regulación constante de la demanda. En síntesis, las microturbinas tipo Michell-Banki, resultan una opción verde, eficiente, confiable y de bajo costo para la generación de energía en el país. En Colombia son pocos los proyectos hidroeléctricos que utilizan este tipo de turbina, de los cuales ninguno excede los 300 kW, como se puede observar en la tabla 1.
5. Consideraciones de diseño
Entre los estudios iniciales que deben realizarse para la generación de energía eléctrica, están los estudios que permiten determinar los datos hidroenergéticos del río o de cualquier otro aprovechamiento hidráulico como los son el caudal y altura disponible. Para obtener la altura neta, necesaria para el cálculo de la potencia útil (1), se deberá plantear la ecuación de la energía entre el embalse y la salida de la tubería de conducción, considerando las pérdidas de energía. Una vez que se determina la capacidad por instalar en un aprovechamiento hidroeléctrico, es necesario definir las geometrías y las dimensiones de cada uno de los elementos que componen la turbina.
El objetivo es seleccionar combinaciones de geometrías y dimensiones que permitan maximizar la eficiencia de conversión del sistema, garantizando así el máximo aprovechamiento de los recursos hidráulicos disponibles. La tabla 2 resume los valores óptimos obtenidos para cada una de las dimensiones de los componentes principales de la turbina Michell-Banki obtenidos en las diferentes investigaciones numéricas y experimentales reportadas hasta la fecha.
También se pueden consultar las recomendaciones de los fabricantes y empresas de diseño y consultoría. Es importante mencionar que los valores indicados en la tabla 2 para cada variable geométrica pueden tener variaciones de acuerdo con cada investigación, por eso lo que se recomienda es ejecutar un diseño de experimentos que posibilite realizar cálculos y/o simulaciones para diferentes condiciones de diseño. Las figuras 21 y 22 muestran las dimensiones principales de dos de los elementos que componen la turbina Michell-Banki: inyector y rodete
Un diseño de experimentos bien ejecutado permite conocer la influencia de los factores (variables geométricas) sobre una respuesta (eficiencia de conversión del sistema); además posibilita la generación de un modelo matemático a partir del cual se encuentran los valores de los factores que proporcionan la respuesta de mayor calidad [64]. La figura 23 presenta un diagrama de flujo de como se determinan las dimensiones correspondientes a la turbina, empleando la metodología de superficie de respuesta para optimizar el diseño.




Para la realización de los experimentos que permiten la construcción del modelo matemático, se pueden emplear experimentos de laboratorio y/o simulaciones fluidodinámicas. En el caso de seleccionar simulaciones es necesario realizar los siguientes pasos:
Creación de la geometría 2D o 3D en software CAD o importación de la geometría al software de simulación seleccionado. En el caso de emplear ANSYS FLUENT se debe crear el volumen negativo de la geometría de la turbina, manteniendo solamente el volumen de control que va a ser simulado.
Generación de la malla computacional. El número y tipo de volúmenes de control a ser usado para el análisis debe ser establecido por medio del estudio de convergencia de malla, o sea, se analiza el mismo caso con mallas de refinamientos diferentes y se comparan los resultados.
Cuando el resultado entre dos refinamientos de malla no sufre una gran alteración (o cambia muy poco), se dice que la convergencia de malla fue alcanzada. Con la malla generada, se pasa a la configuración de la física del modelo, de las condiciones de contorno y del solucionador. Luego se resuelve el sistema de ecuaciones a través de un proceso iterativo, hasta la convergencia, o sea, cuando la variación de los resultados entre dos iteraciones consecutivas queda dentro de los límites en un criterio establecido por el usuario.
El modelo matemático obtenido con los resultados de las simulaciones debe ser evaluado antes de proceder al cálculo de los valores de los factores que proporcionan la respuesta de mayor calidad. Para evaluar el modelo se usan análisis estadísticos como el análisis de varianza ANOVA. Con el modelo validado se establecen los valores de los factores que optimizan el valor de la variable respuesta, lo que se traduce en establecer las dimensiones de los diferentes componentes de la turbina y así obtener el diseño óptimo.
6. Conclusiones
La turbina de flujo cruzado es una máquina hidráulica versátil que permite el aprovechamiento de pequeños afluentes hídricos. Dado su amplio rango de condiciones de operación (cabeza y caudal), y de acuerdo con lo reportado en la literatura, este tipo de máquinas puede considerarse como el eslabón intermedio entre las turbinas hidráulicas de acción y reacción y pueden ser aprovechadas para pequeños proyectos de autoabastecimiento.
Son diversas las investigaciones realizadas en torno al desempeño y funcionamiento de la turbina Michell- Banki. Como es evidente en el texto, las investigaciones hasta hoy realizadas se pueden dividir en 2 grandes periodos. El primero de estos comprendido entre 1949 - 1996. Caracterizado por las investigaciones de carácter experimental y por estudios enfocados en el análisis del comportamiento del flujo al interior de la turbina y la variación de la eficiencia de esta de acuerdo con modificaciones de las características geométricas de sus componentes.
El segundo periodo, comprendido entre 1996 hasta la fecha, coincide con el desarrollo de la computación e implementación de algoritmos de cálculo para conocer los campos de presión y velocidad en el dominio del fluido, lo cual permite optimizar el diseño de gran cantidad de máquinas. Este periodo se ha caracterizado por investigaciones de carácter numérico, a través de las cuales ha sido posible modificar todos los parámetros de la turbina y evaluar el desempeño de esta mediante simulación computacional, lo cual facilita considerablemente establecer comparaciones en el desempeño de la turbina ante los cambios de los parámetros objeto de variación, sin incurrir en la fabricación de prototipos. Pese a esto, la experimentación sigue siendo una parte importante para la validación de los resultados numéricos obtenidos.
Dada la simplicidad en la fabricación y diseño, la turbina Michell-Banki no requiere de mano de obra especializada para su fabricación, operación o mantenimiento, razón por la cual este tipo de máquinas constituyen una alternativa para la generación de energía, principalmente en zonas donde se carece del recurso eléctrico y se cuenta con el recurso hídrico. Como ejemplo de esto puede tomarse las poco más de 20 turbinas de este tipo que han sido instaladas en Colombia hasta la fecha y que han sido utilizadas para generación a pequeña escala; sin embargo, son muchas más las zonas al interior del territorio nacional, que podrían beneficiarse de esta tecnología para la generación de energía eléctrica, lo cual supondría el desarrollo de nuevos proyectos productivos y el mejoramiento de las condiciones de vida de sus habitantes.
Finalmente, la metodología de diseño propuesta, inicialmente, sienta las bases de una ruta de diseño para establecer un consenso en los valores de los parámetros que optimizan el desempeño de la turbina Michell-Banki. Esta metodología tiene en cuenta todas las consideraciones posibles que deben tenerse previo al diseño de los componentes de la turbina; posteriormente estima la evaluación computacional del campo de fluido y el comportamiento de la turbina, lo cual permitirá realizar las correcciones necesarias para lograr un diseño que cumpla las condiciones de operación establecidas. Por último, el diseño de experimentos permitirá encontrar los valores óptimos de los parámetros que maximizan la eficiencia de la turbina.
A futuro se espera abordar el diseño de una turbina para unas condiciones dadas haciendo uso del procedimiento de optimización mencionado.
Agradecimientos
Los autores agradecen al Programa Colombia Científica como fuente de financiación, en el marco de las convocatorias Ecosistema Científico, contrato n.° FP44842- 218-2018.
Referencias
[1] M. Rahman, J. Tan, M. Fadzlita, A. W. K. Muzammil, “A review on the development of gravitational water vortex power plant as alternative renewable energy resources”, IOP Conference Series: Materials Science and Engineering, vol. 217, p. 012007, 2017, doi: 10.1088/1757-899X/217/1/012007
[2] A. Marchegiani, “Metodología de diseño y cálculo de una turbina de flujo transversal”, Universidad Nacional de Comahue, Neuquén, Argentina, 1992.
[3] F. Zarate, C. Aguerre, R. Aguerre, “Turbina mitchell- banki: Criterios de diseño, selección y utilización”, Universidad Nacional de La Plata, Argentina, 1987.
[4] C. Staniscia, “Selección y diseño de una turbina de flujo transversal mitchell-banki”, Universidad Nacional de Comahue, Neuquén, Argentina, 1990.
[5] “Turbinas ossberger de flujo cruzado”, 2020. [En línea], Disponible en: http://www.hnsa.com.co
[6] H. G. Totapally, N. M. Aziz, “Refinement of cross- flow turbine design parameters”, Journal of energy engineering, vol. 120, no. 3, pp. 133-147, 1994, doi: 10.1061/(ASCE)0733-9402(1994)120:3(133)
[7] OLADE, “Apuntes para un manual de diseño, estandarización y fabricación de equipos para pequeñas centrales hidroeléctricas”, Universidad Nacional de La Plata, Argentina, 1988.
[8] P. F. Díez, “Turbinas hidráulicas”, Universidad de Cantabria, España, 1996.
[9] R. Adhikari, D. Wood, “Computational analysis of a double-nozzle crossflow hydroturbine”, Energies, vol. 11, no. 12, pp. 3380, 2018, doi: 10.3390/en11123380.
[10] A. F. Coz Pancorbo, “Diseño de una turbina michell–banki”, tesis doctoral, Universidad Nacional de Ingeniería, Lima, 1961.
[11] W. Durgin, W. Fay, “Some fluid flow characteristics of a cross-flow type hydraulic turbine”, Small Hydro Power Fluid Machinery, pp. p77-83, 1984.
[12] L. R. Van Dixhorn, “Experimental determination of blade forces in a cross-flow turbine”, tesis de grado, Virginia Polytechnic Institute and State University, 1984.
[13] C. A. Mockmore, F. Merryfield et al., “Dielectric Properties of Ponderosa Pine at High Frequencies”, en Engineering Experiment Station, USA: Oregon State System of Higher Education, 1949, pp. 25-40.
[14] O. Balje, Turbomachines-A guide to design, selection, and theory. USA: John Wiley & Sons, 1981.
[15] Y. Nakase, J. Fukutomi, T. Watanabe, T. Suetsugu, T. Kubota, “A study of crossflow turbine (effects of nozzle shape on its performance)”, Small Hydro Power Fluid Machinery, pp. 13-18, 1982.
[16] J. Makansi, “Equipment options multiply for small- scale hydro”, Power, vol. 127, no. 5, pp. 33, 1983.
[17] R. Hothersall, “Micro-hydro, turbine selection criteria”, International Water Power and Dam Construction, pp. 26-29, 1984.
[18] S. Khosrowpanah, M. Albertson, A. Fiuzat, “Historical overview of crossflow turbine”, International Water Power and Dam Construction, pp. 38-43, 1984.
[19] S. Khosrowpanah, “Experimental study of the crossflow turbine”, Universidad del estado de Colorado, 1984.
[20] P. Filianoti, V. Sammartano, M. Sinagra, T. Tucciarelli, “A banki–michell turbine for in-line water supply systems”, Journal of Hydraulic Research, vol. 55, no. 5, pp. 686-694, 2017, doi: 10.1080/00221686.2017.1335246
[21] O. Thapar, L. Albertson, “Ultra low head small hydro power system technology for economic development”, Water Power, vol. 3, pp. 1919, 1985.
[22] S. Morales, L. Corredor, J. Paba, L. Pacheco, “Etapas de desarrollo de un proyecto de pequeñas centrales hidroeléctricas: Contexto y criterios básicos de implementacion”, Dyna, vol. 81, no. 184, pp. 178-185, 2014.
[23] A. Panasyuk, K. Tokombaev, G. Shainova, “Small hydroelectric stations and prospects of their development”, Hydrotechnical construction, vol. 21, pp. 366-373, 1987, doi: 10.1007/BF01427663
[24] A. Patzig, “Optimizing fluctuating flows”, Alternative Sources Energy, vol. 95, 1987.
[25] S. Khosrowpanah, A. Fiuzat, M. L. Albertson, “Experimental study of cross-flow turbine”, Journal of Hydraulic Engineering, vol. 114, no. 3, pp. 299-314, 1988, doi: 10.1061/(ASCE)0733-9429(1988)114:3(299)
[26] A. Fiuzat, B. Arkerkar, “The use of interior guide tube in crossflow turbines”, Water Power, 1989.
[27] A. Fiuzat, B. Akerkar, “Power outputs of two stages of cross-flow turbine”, Journal of energy engineering, vol. 117, no. 2, pp. 57-70, 1991, doi: 10.1061/(ASCE)0733-9402(1991)117:2(57)
[28] V. Desai, N. Aziz, “Parametric evaluation of cross- flow turbine performance”, Journal of energy engineering, vol. 120, no. 1, pp. 17-34, 1994, doi: 10.1061/(ASCE)0733-9402(1994)120:1(17)
[29] N. Costa Pereira, J. Borges, “Study of the nozzle flow in a cross flow turbine”, International journal of mechanicals sciences, vol. 38, pp. 283-302, 1996, doi: 10.1016/0020-7403(95)00055-0
[30] A. Marchegiani, “Simulación numérica de flujo en una turbina tipo banki”, PCH Noticias & SPH News, vol. 31, pp. 18-23, 2001.
[31] A. Marchegiani, M. Montiveros, “Efecto de la geometría del inyector en una turbina tipo banki”, en IX Encuentro latino Americano y del caribe sobre Pequeños Aprovechamientos Hidroenergéticos, 2005.
[32] A. R. Marchegiani, N. M. Nigro, M. A. Storti, “Modelación numérica del flujo en el inyector de una turbina hidráulica de flujo transversal”, Mecánica computacional, vol. 21, pp. 683-699, 2002.
[33] R. Cotacallapa, “Influencia y validación de la modelación de la modificación de principios que rigen el diseño de una turbina hidraúlica de flujo cruzado”, Universidad nacional de ingeniería de Perú, 2005.
[34] J. Goncalves de Mello, M. Fagá, F. Raia, G. Crisi, “Optimización del rendimiento de una turbina de flujo cruzado”, en VIII Congreso iberoamericano de Ingeniería mecánica, 2007.
[35] R. Cotacallapa, S. Gonzáles, “Modelamiento de los parámetros de funcionamiento de la turbina hidráulica de flujo cruzado aplicando el método de elementos finitos”, en VIII Congreso iberoamericano de Ingeniería mecánica, 2007.
[36] Y. Choi, H. Yoon, S. Ooike, Y. Kim, Y. Lee, “Performance improvement of a cross flow hydro turbine by air layer effect”, Earth and Environmental Science, vol. 12, pp. 12-30, 2010, doi: 10.1088/1755-1315/12/1/012030
[37] J. De Andrade, C. Curiel, F. Kenyery, O. Aguillón, A. Vásques, M. Asuaje, “Numerical investigation of the internal flow in a banki turbine”, International Journal of rotating Machinery, vol. 2011, pp. 17-29, 2011, doi: 10.1155/2011/841214
[38] J. Camarena, B. Hinostroza, B. Gamboa, y J. Ramos, “Redimensionado y caracterización energética de una turbina Michell-Banki de 1kw”, tesis de grado, Universidad señor de Sipán, Perú, 2011.
[39] B. A. Nasir, “Design of high efficiency cross-flow turbine for hydro-power plant”, International Journal of Engineering and Advanced Technology (IJEAT) ISSN, vol.c2, no. 3, pp. 2249-8958, 2013.
[40] V. Sammartano, C. Aricò, A. Carravetta, O. Fecarotta, T. Tucciarelli, “Banki-michell optimal design by computational fluid dynamics testing and hydrodynamic analysis”, Energies, vol. 6, no. 5, pp. 2362-2385, 2013, doi: 10.3390/en6052362
[41] N. Acharya, C.-G. Kim, B. Thapa, Y.-H. Lee, “Numerical analysis and performance enhancement of a cross-flow hydro turbine”, Renewable energy, vol. 80, pp. 819-826, 2015, doi: 10.1016/j.renene.2015.01.064
[42] J. Adhikari, Ram, Vaz y D. Wood, “Cavitation inception in crossflow hydro turbines”, Energies, vol. 9, no. 4, p. 237, 2016, doi: 10.3390/en9040237
[43] R. Adhikari, D. Wood, “A new nozzle design methodology for high efficiency crossflow hydro turbines”, Energy for Sustainable Development, vol. 41, pp. 139-148, 2017, doi: 10.1016/j.esd.2017.09.004
[44] B. Budiarso, D. Adanta, A. Prakoso, A. I. Siswantara, R. Dianofitra, Warjito, “Effect of air foil profile in cross- flow banki turbine blade using numerical simulation”, en 15th International Conference on Quality in Research, 2017.
[45] V. Verma, V. K. Gaba, S. Bhowmick, “An experimental investigation of the performance of cross- flow hydro turbines”, Energy Procedia, vol. 141, pp. 630-634, 2017, doi: 10.1016/j.egypro.2017.11.084
[46] B. I. A. Zaffa, M. A. Sarwan, J. A. Chat, M. Asif, "Optimization of Blade Profiles of Cross Flow (CFM)", en International Journal of Power and Energy Conversion, 2017.
[47] Y. C. Ceballos, M. C. Valencia, D. H. Zuluaga, J. Del Rio, S. García, “Influence of the number of blades in the power generated by a Michell-Banki turbine”, International Journal Of Renewable Energy Research IJRER, vol. 7, no. 4, pp. 1989-1997, 2017.
[48] A. Elbatran, O. Yaakob, Y. M. Ahmed, A. S. Shehata, “Numerical and experimental investigations on efficient design and performance of hydrokinetic banki cross flow turbine for rural areas”, Ocean Engineering, vol. 159, pp. 437-456, 2018, doi: 10.1016/j.oceaneng.2018.04.042
[49] D. Adanta, R. Hindami, A. I. Siswantara et al., “Blade depth investigation on cross-flow turbine by numerical method”, en 2018 4th International Conference on Science and Technology (ICST). IEEE, 2018, pp. 1-6.
[50] R. C. Adhikari, D. Wood, “The design of high efficiency crossflow hydro turbines: A review and extension”, Energies, vol. 11, no. 2, pp. 267, 2018, doi: 10.3390/en11020267
[51] R. C. Adhikari, D. Wood, “Computational analysis of part-load flow control for crossflow hydro-turbines”, Energy for Sustainable Development, vol. 45, pp. 38-45, 2018, doi: 10.1016/j.esd.2018.04.003
[52] R. C. Adhikari, D. Wood, “Computational analysis of a double-nozzle crossflow hydroturbine”, Energies, vol. 11, no. 12, pp. 33-80, 2018, doi: 10.3390/en11123380
[53] D. Jiyun, S. Zhicheng, Y. Hongxing, “Study on the effects of blades outer angle on the performance of inline cross-flow turbines”, Energy Procedia, vol. 158, pp. 1039-1045, 2019, doi: 10.1016/j.egypro.2019.01.252
[54] S. Ahmad, S. Ali, N. Alsaadi, M. H. Tahir, M. Shahid, S. Razzaq, M. A. Sabri, M. A. Asghar, M. W. Saeed, “Experimental evaluation on performance of novel cross-flow impulse turbine for water stream in hilly areas of pakistan”, International Journal of Renewable Energy Research (IJRER), vol. 9, no. 4, pp. 1782-1789, 2019.
[55] D. Sutikno, R. Soenoko, S. Soeparman, S. Wahyudi, M. A. Azmi, “The performance characteristics of the low head cross flow turbine using nozzle roof curvature radius centered on shaft axis”, International Journal of Integrated Engineering, vol. 11, no. 5, pp. 12-22, 2019.
[56] R. K. Ranjan, N. Alom, J. Singh, B. K. Sarkar, “Performance investigations of cross flow hydro turbine with the variation of blade and nozzle entry arc angle”, Energy conversion and management, vol. 182, pp. 41-50, 2019, doi: 10.1016/j.enconman.2018.12.075
[57] S. Leguizamón, F. Avellan, “Computational parametric analysis of the design of cross-flow turbines under constraints”, Renewable Energy, 2020, vol. 159, pp. 300-311, doi: 10.1016/j.renene.2020.03.187
[58] D. Jiyun, Z. Shen, H. Yang, “Effects of different block designs on the performance of inline cross-flow turbines in urban water mains”, Applied energy, vol. 228, pp. 97-107, 2018, doi: 10.1016/j.apenergy.2018.06.079
[59] D. Jiyun, S. Zhicheng, y Y. Hongxing, “Study on the effects of blades outer angle on the performance of inline cross-flow turbines”, Energy Procedia, vol. 158, pp. 1039-1045, 2019, doi: 10.1016/j.egypro.2019.01.252
[60] Congreso de Colombia, “Ley 1715 de 2014”, 2019 [En línea]. Disponible en: http://www.secretariasenado.gov.co/senado/basedoc/ley_1715_2014.html.
[61] F. Barbir, T. Veziroǧlu, H. Plass Jr, “Environmental damage due to fossil fuels use”, International journal of hydrogen energy, vol. 15, no. 10, pp. 739-749, 1990, doi: 10.1016/0360-3199(90)90005-J
[62] Y. Keawsuntia, “Electricity generation from micro hydro turbine: A case study of crossflow turbine”, en 2011 International Conference & Utility Exhibition on Power and Energy Systems: Issues and Prospects for Asia (ICUE). IEEE, 2011, pp. 1–4.
[63] J. I. G. Gómez, E. A. P. Higuita, C. A. P. Gutiérrez, “La turbina Michell-Banki y su presencia en Colombia”, Avances en recursos hidráulicos, no. 17, pp. 33-42, 2008.
[64] D. C. Montgomery, Diseño y análisis de experimentos. Arizona, USA: Limusa Wiley, 2005.
Información adicional
Como citar: F. Romero, L. Velásquez, E. Chica, “Consideraciones de diseño de una Turbina Michell-Banki,” Rev. UIS Ing., vol. 20, no. 1, pp. 23-46, 2021, doi: 10.18273/revuin.v20n1-2021003