Resumen: Las discapacidades físicas y motrices que afectan directamente la movilidad de los miembros inferiores generan dependencia del paciente para su movilización y realización de actividades cotidianas, propiciando en algunos casos sobrecarga en el personal de enfermería y cuidadores, manifestada en problemas musculares, además de riesgos al paciente por condiciones inseguras al momento de hacer las movilizaciones. Para aportar una solución al traslado seguro de pacientes parapléjicos y tetrapléjicos en centros de atención médica, surge esta investigación, cuyo objetivo es diseñar un dispositivo mecánico para el traslado de pacientes con discapacidad motriz en centros hospitalarios. Se utilizó una metodología que incluyó la detección de necesidades desde el usuario directo e indirecto, para luego generar los conceptos, seleccionar la mejor propuesta y realizar el diseño de detalle incluyendo el cálculo y la selección de componentes y el análisis estructural de las piezas críticas. El resultado del proyecto fue el diseño de un dispositivo de apoyo que cumplió con la normativa de seguridad y de diseño establecida, y que brinda seguridad y comodidad tanto al paciente como al cuidador, quien se encargará de la manipulación y traslado.
Palabras clave: discapacidad motriz, dispositivo de apoyo, grúa de transferencia, traslado seguro, sistema de polipasto, centro de rehabilitación, Norma ISO 10535, mando giratorio, base porta arnés, estabilidad.
Abstract: Physical and motor disabilities that directly affect the mobility of the lower limbs generate dependence on the patient for their mobility and performance of daily activities, in some cases leading to overload on nursing staff and caregivers, manifested in muscle problems, in addition to risks to the patient due to unsafe conditions at the time they are being moved. To provide a solution to the safe transfer of paraplegic and tetraplegic patients in health care centers, this research arises, having as objective to design a mechanical device for the transfer of patients with motor disabilities in hospitals. The methodology used included the detection of needs from the direct and indirect user. Then generate the concepts, select the best proposal, and carrying out the detailed design including calculation, selection of components, and the structural analysis of critical parts. The result of the project was the design of a support device that complied with the established safety and design regulations, and that provides safety and comfort for both the patient and the caregiver who will be in charge of handling and transfer.
Keywords: motor disability, support device, transfer crane, safe transfer, hoist system, rehabilitation center, ISO 10535 standard, rotary knob, harness holder base, stability.
Artículos
Diseño de dispositivo mecánico para el traslado de pacientes con discapacidad motriz
Design of a mechanical device for the transfer of patients with motor disabilities
Recepción: 03 Marzo 2021
Aprobación: 29 Mayo 2021
La transferencia y traslado en centros de rehabilitación de pacientes con discapacidad motriz, especialmente con paraplejia y tetraplejia, que requieren rehabilitación constante para evitar la pérdida de masa muscular y ósea, debe realizarse considerando la seguridad del paciente y del personal especializado, de allí la importancia de emplear un dispositivo para la movilización con el fin de garantizar que el personal no realice esfuerzo físico, además de brindar seguridad y comodidad al paciente, agilizar el movimiento y facilitar la atención de más pacientes en el mismo intervalo de tiempo. A pesar de que comercialmente existen algunas soluciones, sus costos hacen difícil su adquisición.
El objetivo de este trabajo se centra en diseñar un dispositivo mecánico para el traslado de pacientes con discapacidad motriz en centros hospitalarios del estado Táchira, Venezuela, cuya construcción y puesta en marcha sea factible tanto técnica como económicamente para el mercado venezolano. Para ello se plantea el diseño de detalle de una solución considerando tanto las necesidades directas de los usuarios como las normas y requerimientos técnicos para este tipo de dispositivos; adicionalmente, los planos y manuales de construcción y de operación desarrollados facilitarán la posterior manufactura y operación.
Dentro de las normas por considerar se encuentra la Norma ISO 10535:2006 [1], relacionada con el diseño y construcción de grúas de transferencia de pacientes; en esta norma se generaliza, para la mayoría de grúas, los requisitos y métodos de ensayo que se deben considerar al momento del diseño y construcción, específicamente: requisitos generales, condiciones generales de ensayo, requisitos de seguridad, requisitos para unidades de soporte corporal, punto central de suspensión, barra de separación, funcionamiento, velocidad de elevación y descenso, fuerzas y pares de giro de manejo, durabilidad, componentes hidráulicos, componentes neumáticos e información proporcionada por el fabricante.
La revisión bibliográfica mostró distintas investigaciones en el campo de grúas de transferencia de pacientes, las cuales son referencias importantes para esta investigación. Destacan entre ellas la de [2], quien desarrolló una grúa de transferencia, con actuador electromecánico y control electrónico, para facilitar el traslado de personas con discapacidad motriz entre la cama y la silla de ruedas. Este trabajo aportó información sobre algunos cálculos de diseño y sobre la posible metodología para el proceso de desarrollo. También, la investigación de [3], donde se desarrolló un dispositivo portátil con actuador eléctrico para el traslado de personas con discapacidad motriz entre silla de ruedas y asiento de automóvil tipo sedán, aunque la configuración y funcionalidad del equipo difiere del objetivo del proyecto, aportó información relevante sobre el programa CAD utilizado y la importancia de considerar factores antropométricos para el diseño.
En el mismo orden de ideas se encuentra la investigación de [4], donde se desarrolló un prototipo (con sistema electromecánico) para el traslado y pesaje de pacientes hospitalizados con sobrepeso o movilidad limitada, lo cual es un aporte importante sobre la información para verificar la estabilidad del dispositivo con carga. El trabajo de [5], donde se desarrolló un dispositivo mecánico auxiliar con sistema de elevación automático para traslado de pacientes con discapacidad física severa, aportó información relevante sobre la metodología empleada para el diseño conceptual y para abordar el diseño de detalle. Finalmente, el trabajo de [6], que consistió en un estudio de factibilidad técnica y económica para el diseño de un sistema motriz (automatizado) para traslado de discapacitados, fue una referencia importante por la información sobre las distintas variables por considerar para el diseño, especialmente el espacio físico donde se utilizará el dispositivo y la antropometría de los usuarios.
Pero a diferencia de estas investigaciones, el diseño propuesto representa un aporte en este campo, especialmente por:
■ El diseño de un dispositivo netamente mecánico con sistema de polipasto y cabrestante, lo que disminuye su costo, además de facilitar la manipulación por una persona.
■ El cálculo detallado y completo de cada componente y su selección de catálogos comerciales.
■ La consideración de la norma [1] para el diseño, específicamente en variables como el peso máximo, el factor de seguridad, la velocidad de funcionamiento y el momento que debe aplicar una persona para usar un mando giratorio.
■ El diseño de bases porta arnés permite el traslado de pacientes tanto en posición sentada como acostada, considerando los casos de pacientes tetrapléjicos, usando para ello arneses disponibles comercialmente.
■ El uso de medidas estándar de puertas de acceso y verificación de la estabilidad del dispositivo para facilitar el uso no solo en centros de salud, sino también en el hogar, así como para garantizar el traslado seguro.
Es importante destacar que tanto las grúas comerciales [7] como las desarrolladas en las investigaciones tomadas como antecedentes son electrónicas. En el diseño propuesto se consideró la variable costo y la posibilidad de adquisición, por lo que se diseñó un dispositivo mecánico.
La metodología de diseño empleada, fundamentada en [8], incluye:
■ Detección de necesidades directamente desde los usuarios del dispositivo en centros de rehabilitación en Venezuela.
■ Diseño conceptual apoyándose en el benchmarking.
■ Análisis cualitativo y cuantitativo de los diseños conceptuales propuestos.
■ Dimensionamiento del diseño conceptual seleccionado.
■ Cálculo y selección de los distintos componentes del dispositivo diseñado.
■ Análisis de esfuerzos de la estructura de soporte empleando el método de elementos finitos (MEF) y el programa SolidWorks.
■ Elaboración de la documentación: planos y manuales de construcción y operación.
Para el diseño se tomó en cuenta el uso de materiales y procesos de manufactura disponibles localmente (en Venezuela), así como la facilidad de uso del dispositivo tanto para el paciente como para el personal que lo trasladará.
La detección de necesidades se realizó directamente en los centros hospitalarios y terapéuticos en el estado Táchira - Venezuela (Unidad Médica San Luis, Centro de Rehabilitación Deportiva, Centro de Rehabilitación Dr. José Gregorio Hernández, Policlínica Táchira) a través de entrevistas estructuradas a personal especializado y de enfermería, a pacientes y familiares.
Las especificaciones de diseño obtenidas a partir de las necesidades detectadas incluyen: versatilidad para movilizar al paciente; que sea cómodo, compacto y se adapte al espacio; que sea funcional, económico; que garantice el traslado seguro; que tenga una capacidad de carga de 100 kg; que sea resistente y liviano, de fácil manejo, movilización, mantenimiento y reparación.
A través del bechmarking se conocieron los dispositivos disponibles en el mercado, donde se destacan los modelos ofrecidos por [7], básicamente dispositivos electrónicos con actuadores hidráulicos. Con la información recolectada y estudiada se procedió a generar cuatro propuestas conceptuales para el diseño, incluyendo un mecanismo de accionamiento netamente mecánico. A continuación se describe cada concepto:
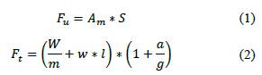
El concepto 1 (figura 1) consiste en un par de cabrestantes, solidarios a dos poleas (1 y 2), donde se sujeta al paciente; la elevación se realiza a través de una manivela (3) que moviliza a las poleas (1 y 2) por medio de un cable, además, el sistema posee un tensor para evitar que el cable desvíe su trayectoria; el paciente previamente tendrá un arnés con dos gachos que se sujetarán a los cabrestantes.

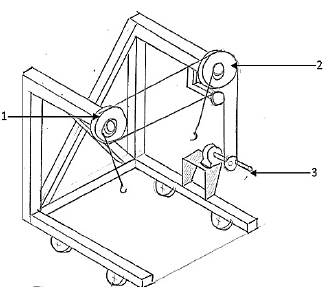
El concepto 2 (figura 2) está conformado por un tornillo sin fin -engrane- (1), al cual se encuentra acoplado un eje (3), y a este, una polea (4); tres poleas (4, 5 y 6) que en conjunto, empleando un cable, producen el ascenso o descenso de la base que sujeta el arnés (7), a través del cual se movilizará al paciente; el accionamiento se produce por medio de una manivela (2).

En el concepto 3 (figura 3), el accionamiento del mecanismo se genera mediante el movimiento de un cabrestante (2) que permite el ascenso o descenso del cable sobre una polea (4), la cual a su vez dirige el cable hasta el arreglo de poleas conocido como aparejo factorial, un sistema conformado por 6 poleas -3 móviles (3) situadas en la parte inferior y 3 fijas (5) situadas en la parte superior-; las 3 poleas móviles son las que por medio de un cable permitirán subir o bajar la base que sujetará el arnés (8) del paciente. Esta parte del cable será direccionada por las poleas 1, 6 y 7.

El concepto 4 (figura 4) está constituido por un mecanismo elevador tipo tijeras (1), que es accionado a través del sistema manivela - tornillo (2), que al girar cerrará o abrirá las tijeras (1); a este mecanismo se encuentra sujeto un cable que pasa a través de dos poleas (3 y 4) por medio del cual se hace ascender o descender la base que soportará el arnés del paciente (5).

Luego de un análisis cualitativo y cuantitativo de los conceptos propuestos a través de matrices de decisión según [8], se seleccionó el concepto 3, que tiene como principal característica que funciona por medio de un polipasto, también conocido como aparejo factorial. En la tabla 1 se muestra la matriz cualitativa, donde se realiza una comparación ordinaria entre los conceptos para descartar los menos viables y dejar los que aporten una mejor solución al problema. Respecto a la puntuación, se coloca una puntuación relativa de 'mejor que' (+), 'igual que' (0), o 'peor que' (-) en cada celda de la matriz para representar cómo cada concepto califica respecto a la satisfacción de la necesidad [8].

Con base en la tabla 1, los conceptos 2 y 3 satisfacen en mayor cantidad las necesidades del cliente en comparación con los conceptos 1 y 4. El análisis cuantitativo se realizó con estos dos conceptos, tal como se muestra en la tabla 2. Considerando la importancia de cada necesidad por satisfacer, se estableció el peso, además, se calificó la efectividad con que cada concepto puede satisfacer la necesidad, donde 5 es la mayor efectividad y 1, la peor. De los resultados obtenidos (tabla 2) se seleccionó el concepto 3.

Para el diseño de detalle del concepto seleccionado se realizaron las acciones señaladas en la tabla 3.

En la figura 5 se muestran las dimensiones principales del dispositivo, establecidas considerando los equipos analizados en el benchmarking, los estudios de antropometría consultados, las medidas estándar de puertas de acceso y la estabilidad del dispositivo. Para la estructura se utilizó tubo estructural cuadrado según la norma UNE-EN 10219 [10], de la serie S235 (Sy = 235 MPa); para establecer las dimensiones del perfil se realizó un cálculo preliminar empleando el criterio de von Mises, con un factor de diseño de 1,5 (según [1]) y una carga estática (Ft) de 1766,598 N a la que estará sometido el cable (apartado 2.2.2.), ubicada en el extremo de la viga de soporte.

Luego de un proceso iterativo [11], el perfil que cumple con el mínimo factor de diseño requerido es el de 50 mm x 50 mm con 2,5 mm de espesor. Este perfil se tomó como referencia para iniciar el análisis estructural empleando el MEF y así dimensionar correctamente el perfil. En las figuras 6 y 7 se muestra el dispositivo con todos sus compenentes.


Para la selección del cable metálico se consideró a [1], quien señala que la grúa debe ser capaz de levantar 120 kg con un factor de diseño de 1,5 veces la carga máxima; esto indica que el factor de seguridad mínimo del dispositivo (ns) debe ser 1,5. Se trabaja con las variables Fu (carga última del cable) y Ft (carga estática sobre el cable), a través de las ecuaciones (1) y (2) [9].

Donde:
Am es el área metálica del cable en plg2
S es la resistencia del cable en ksi
W es el peso al final del cable en lbf
m es el número de cables que soporta la carga
w es el peso por longitud de cable metálico en lbf/pie
l es la longitud del cable en pie
a es la aceleración máxima en pie/s2
g es la gravedad en pie/s2
El peso al final del cable W = 1765,8 N = 396,969 lbf, el número de cables a soportar la carga m = 1, y la longitud que soporta la carga (según diseño) l = 1 m = 3,28 pie.
Se tomó como referencia [12], y se seleccionó de la sección de elevadores y grúas el cable con menor diámetro disponible, el Halcón clase 6 x 19, alma de fibra de arado mejorado, con las siguientes especificaciones:
Diámetro, d = 0,125 plg
Peso por pie, w = 0,0242 lb/pie
Máxima fuerza a soportar, Fmax = 6180,3 N
Diámetro mínimo de polea que se debe usar con
dicho cable, D = 34 d.
Además, según [9], el área metálica para un cable 6 x 19 es Am= 0,40 * d2, la aceleración (a) del cable se relaciona con la velocidad mínima que debe poseer la grúa, que según [1] es 0,15 m/s.
El factor de seguridad (ns) se calcula con la ecuación (3).

Los resultados obtenidos son:
Fu= 1315,76 lbf; Ft= 397,149 lbf (1766,598 N); ns= 3,31.
El factor de seguridad de 3,31 es aceptable, puesto que es superior al requerido, con ello se confirma la selección del cable "Halcón clase 6 x 19, alma de fibra de arado mejorado".
Para que el cable trabaje de manera eficiente se debe considerar el diámetro mínimo de polea para el cual fue diseñado, que corresponde a D = 108,12 mm (D =34 d, siendo d el diámetro del cable). En relación al rodamiento, el catálogo empleado especifica el tipo que se debe usar para el trabajo adecuado de la polea.
Se tomó como referencia [13], seleccionando una polea de 140 mm de diámetro (figura 8a) con las siguientes especificaciones (código 295103):
Máximo diámetro del cable = 6 mm
Cojinete tipo 6300
Diámetro interior = 17 mm
Diámetro exterior = 140 mm
Carga estática máxima = 3250 N
Reducción para llevar el diámetro interno de
17 mm a 10 mm = anillo con código 295105
Es el sistema encargado de disminuir la fuerza que aplicará quien manipule el dispositivo al momento de elevar al paciente. Está compuesto por 'n' poleas fijas (fijas entre sí en una misma armadura) y 'n' poleas móviles (también fijas entre sí en otra armadura); la tensión de equilibrio es igual al peso que se desea elevar dividido entre 2n, siendo n la cantidad de poleas móviles.
Se diseñó con el mayor número de poleas posibles: 16 en total, 8 poleas fijas y 8 poleas móviles (figura 8b). Se trabajó con la ecuación (4), donde 'F' es la fuerza que ejerce el cable sobre el sistema polipasto (equivalente a Ft) y 'n' el número de poleas móviles del sistema.

Siendo la fuerza final reducida Ff= 110,43 N, la cual deberá ser provista a través del cabrestante.
Se seleccionó, al igual que para el apartado 2.2.2, la polea de 140 mm (código 295103) de [13].
Es el elemento giratorio que acciona el operario (figura 8b) para alimentar el sistema con la fuerza requerida que permitirá ascender o descender al paciente (junto con el sistema polipasto, cable y demás poleas). La norma [1] establece que al usar un mando giratorio, el momento que debe aplicar la persona al accionarlo (Mf) no debe ser mayor a 1,90 N m. Con base a este dato se obtiene el valor del radio donde se enrolla el cable en el cabrestante (rf), mediante la ecuación (5), obteniendo rf = 17,21 mm.

Se tomó como referencia [14], que en su sección equipos de elevación - cabrestantes manuales presenta el modelo LB-350 VZ versión galvanizada, que ofrece el valor de radio (rf) más cercano al requerido, de 18 mm, además, tiene capacidad máxima de 350 kg y un radio del mando giratorio, rp, de 320 mm.
Finalmente, para conocer la fuerza que ejercerá el cuidador (Fp) se aplicaron las ecuaciones (5) y (6).

Obteniéndose Mf = 1,98 Nm y Fp = 6,18 N (0,63 kg).
Son las encargadas de permitir el desplazamiento del dispositivo de un sitio a otro para movilizar al paciente. Para la selección se trabajó con la ecuación (7), donde 'A' es el valor con el que se selecciona la rueda; 'B' es el peso del dispositivo (60 kg, correspondientes a todos los componentes que conforman el dispositivo); 'C', la carga máxima que soporta la estructura (180 kg, producto de los 120 kg por el factor de seguridad de 1,5); 'D', el número de ruedas a usar (4); y 'F', el factor de seguridad mínimo (1,5).

La capacidad de carga requerida, A, es de 90 kg, considerando también que las ruedas tuviesen sistema de frenos, se tomó como referencia [15], seleccionando el modelo FDA-GN con código 01967.
La base principal superior se diseñó para sostener el sistema de elevación del dispositivo (figuras 6 y 9a) y la base principal inferior se modeló para alojar el sistema de accionamiento manual o cabrestante (figuras 6 y 9b). El material seleccionado para ambas bases fue lámina de acero ASTM A36 con 8 mm de espesor. El soporte principal (figuras 6 y 9c), que sirve como refuerzo entre la viga y la columna principal, los dos soportes que sostienen la base principal superior del sistema polipasto y los dos que sostienen la base inferior donde se encuentra el mecanismo de accionamiento (figuras 6 y 9d) se diseñaron de acero ASTM A36 de espesor 5 mm.

La función de este accesorio es actuar como punto de sujeción en las bases porta arnés tanto para el cable de la grúa como para el arnés, para ejecutar la elevación o traslado del paciente una vez colocado el arnés (figura 10).

Se utilizó [16], y se fijaron como variables de selección la máxima carga a la que estará sometido el mosquetón (el mosquetón que sujetará el cable soportará hasta una carga máxima de 180 kg), el diámetro del cable y el diámetro de la horquilla del mosquetón. Se seleccionó el modelo asimétrico W2327 para un diámetro del cable de hasta 24 mm y un diámetro de la horquilla de hasta 16 mm.
En la figura 10 se puede observar un dibujo esquemático de la base porta arnés de dos puntos de sujeción, con los mosquetones y cáncamos.
la parte superior de las bases porta arnés para sujetar el extremo del cable del dispositivo tipo grúa. Se utilizó [17] seleccionando el modelo G-6240, de acero de alta resistencia, considerando el diámetro del cable que debe adaptarse a la horquilla del mosquetón.
La función básica de los ejes es sostener las poleas, tanto las del polispasto como cada una de las que transmitirán la potencia. El diámetro de los ejes es de 10 mm, que corresponde directamente al diámetro interno de los rodamientos que trabajarán en las poleas. El material seleccionado, considerando aplicaciones similares, es una barra redonda de acero SAE 1045 laminado en caliente, que presenta apropiadas caraterísticas mecánicas, entre ellas un resistencia a la tracción de 655 MPa y un punto de fluencia de 413 MPa.
La pieza crítica para el análisis es la estructura principal (incluyendo las bases y soportes), mostrada en la figura 6; debido a su comportamiento ante la carga de trabajo, también se analizaron las bases porta arnés. El material empleado fue acero estructural S235JR para la estructura principal y acero ASTM A36 para las bases y soportes. Para realizar el estudio se establecieron las condiciones de borde, tomando la base mostrada en la figura 11a como una restricción de tipo fija, ya que debe permanecer estática al momento de manipular al paciente. Para el análisis de la estructura se asignó como tipo de conexión unión rígida, ya que no existe movimiento relativo entre sus partes.

Se aplicaron tres cargas a la estructura principal: la de la viga debido a la carga que se elevará (Ft = 1766,598N), mostrada en la figura 11b, y las dos cargas que se reflejan en las bases principales tanto superior (F=93,19N) como inferior (F=47,09N), por el peso de las poleas, ejes, cable y cabrestante, respectivamente (figura 11c). Se utilizó una malla basada en curvatura conformada por elementos tetraédricos de 10 nodos, considerando la geometría del dispositivo; además, se configuró el tamaño máximo y mínimo de elemento con una relación de 5:1. En la figura 12 se puede observar la estructura con la malla.

Se inició el análisis con el MEF empleando el perfil de la estructura de 50 x 50 x 2,5 [mm] (según lo establecido en el apartado 2.2.1), realizando una serie de iteraciones variando el tamaño del elemento hasta llegar a la convergencia; el criterio de convergencia fue de máximo 5 % de error entre una iteración y otra en el valor del esfuerzo de von Mises.
Las dos bases porta arnés se diseñaron con tubo cuadrado de 25 x 25 x 2 [mm], de acero estructural S235JR; se consideró en el diseño la facilidad de manipulación por parte del operario debido a que es un elemento desmontable. Una base posee dos puntos de sujeción (base 1), figura 13a, para el traslado de pacientes que puedan sentarse; la otra, cuatro puntos de sujeción (base 2), figura 13b, para el traslado de pacientes que se deban movilizar acostados.

En la figura 14 se muestran imágenes referenciales de los implementos adicionales que se conectan a las bases porta arnés.

La convergencia se alcanzó con 12.211 elementos, obteniéndose un esfuerzo de von Mises de 182,012 MPa y un factor de seguridad de 1,2, menor al requerido de 1,5, por lo cual este perfil se descartó y se procedió a trabajar con otro; este proceso iterativo se realizó con los perfiles de 50 x 50 x 3 y 50 x 50 x 4 (considerando [10]).
El perfil seleccionado fue el de 50 x 50 x 4 (la convergencia ocurrió con 15.392 elementos), como se puede observar en la figura 15, el factor de seguridad mínimo fue de 1,79, superior al 1,5 requerido; el esfuerzo de von Mises máximo fue de 131,37 MPa (figura 16) y tuvo lugar en la unión de la columna principal con las bases de apoyo. El desplazamiento máximo producido, de 34,75 mm, tuvo lugar en el extremo en voladizo de la viga.


Para la base 1, tal como se observa en la figura 17, el esfuerzo máximo de von Mises fue 90,305 MPa (factor de seguridad mínimo de 2,47) en la sujeción de la base porta arnés con el cable metálico. El desplazamiento máximo, de 0,251 mm, se presentó en los puntos donde se aplican las cargas (puntos de sujeción). Para la base 2, de acuerdo con la figura 18, el esfuerzo máximo fue de 133,812 MPa (factor de seguridad mínimo de 1,81), también en la sujeción de la base porta arnés con el cable metálico; el desplazamiento máximo fue de 1,593 mm y tuvo lugar en los puntos donde se aplican las cargas.


Para garantizar la seguridad del dispositivo se verificó su estabilidad, para lo cual fue necesario comprobar que el centro de masa total (conjunto dispositivo y carga) estuviera dentro del área proyectada de la base.
La carga se simuló como un sólido de 180 kg (condición crítica); en la figura 19 se puede apreciar la posición del centro de masa en la base proyectada del dispositivo. Estos resultados permiten verificar la estabilidad del equipo, lo que asegura que no ocurrirá un accidente por volcamiento.

El dispositivo diseñado cumple con los requerimientos y especificaciones de diseño planteadas, así como con lo establecido por la norma ISO 10535 [1]. El análisis de la estructura mostró que el perfil de 50 x 50 x 4 [mm] soporta las cargas a las que estará sometido con un factor de seguridad de 1,81, superior al establecido por la norma. De igual forma, las bases porta arnés diseñadas de tubo cuadrado de 25 x 25 x 2 [mm] mostraron factores de seguridad de 2,47 (base 1) y de 1,8 (base 2).
En el caso de los distintos componentes que van colocados sobre la estructura, aquellos que sujetan las bases porta arnés y los perfiles para la estructura fueron seleccionados de catálogos comerciales, lo cual facilita la posibilidad de adquisición y otorga mayor factibilidad para la fabricación del dispositivo. El trabajo futuro contempla la fabricación de un prototipo para realizar las pruebas siguiendo los protocolos correspondientes para este tipo de dispositivos, con el objeto de que luego se puedan emplear en centros hospitalarios y de rehabilitación.
La verificación de la estabilidad del dispositivo permite garantizar la seguridad durante su uso, ya que se tiene la certeza de que no ocurrirá un accidente por volcamiento cuando el paciente se encuentre en proceso de elevación o traslado.
La detección de necesidades respecto al dispositivo para movilizar pacientes, directamente en centros hospitalarios, garantizó un diseño funcional y ajustado a las especificaciones requeridas, representando una solución viable. El dispositivo, netamente mecánico, incluye un sistema polipasto para la elevación y descenso del paciente; cada componente fue estudiado, calculado y debidamente seleccionado de catálogos comerciales, asegurando el cumplimiento de normas y requerimientos para el diseño de estos equipos.
El componente crítico de la grúa resultó ser la estructura principal; se seleccionó un perfil de 50 x 50 x 4 [mm] a través del análisis estructural con el MEF, que aportó un factor de seguridad de 1,8, con un máximo esfuerzo de 129,47 MPa y máximo desplazamiento de 37,71 mm en la viga principal. La documentación desarrollada, que incluye planos, manual de construcción y de operación [11], permitirá y facilitará la construcción del prototipo.
La estabilidad del dispositivo diseñado garantiza la seguridad del paciente al momento de la elevación y traslado, y su fácil uso proporciona seguridad al enfermero o cuidador que lo manipulará. De igual forma, debido a su diseño netamente mecánico, es una alternativa de menor costo, lo que facilita el acceso para los centros de salud.
Se recomienda llevar a cabo la construcción del prototipo del dispositivo para realizar las pruebas correspondientes y posteriormente colocarlo a disposición de centros hospitalarios y de rehabilitación (para los cuales es muy difícil adquirir los productos comerciales), y con ello garantizar la movilización segura de los pacientes que lo requieran así como el bienestar del cuidador. Se debe emplear para las pruebas los protocolos indicados en la norma ISO 10535 [1], así como aquellas recomendaciones relacionadas con elevación de carga.
Además, se sugiere implementar con el dispositivo de traslado el uso del arnés universal estándar y del arnés tipo araña para tablero espinal, elementos que están diseñados considerando la ergonomía y bienestar del paciente.
Si bien la alternativa propuesta es netamente mecánica, lo que disminuye significativamente los costos, es importante realizar un estudio detallado de costos, específicamente, un análisis económico que facilite la comparación con otros dispositivos disponibles en el mercado.
Al Decanto de Investigación de la UNET por el apoyo en el desarrollo del proyecto n.o 01-011-2018 y a los distintos centros de atención médica y de rehabilitación del estado Táchira, Venezuela, por su colaboración en el proceso de detección de necesidades y desarrollo de propuestas de diseño.
a Correos electrónicos: leandroa.moralesp@unet.edu.vebjhon.caro@unet.edu.vecjmgarcia@unet.edu.ve.




















