Artículos
Recepción: 01 Febrero 2021
Aprobación: 22 Diciembre 2021
DOI: https://doi.org/10.18273/revuin.v21n2-2022007
Resumen: En este trabajo se presenta el diseño conceptual y de detalle de una estructura de metal que asemeja un árbol real con ramas, en cuya parte superior se ubican paneles solares fotovoltaicos. La energía generada será usada para cargar baterías de móviles, tabletas y computadoras portátiles de la comunidad universitaria de la seccional del Bajo Cauca de la Universidad de Antioquia, localizada en las coordenadas de latitud 7,990584° y longitud -75,193100°. Para el diseño del árbol, inicialmente, se realizó una estimación del recurso solar en la seccional, por lo que se estableció que el promedio anual de las horas solar pico fue equivalente a 18,74 MJ/m2. Con base en un requerimiento energético diario de 1400 Wh/día, se determinó que el número de paneles a instalarse de 180 Wp es de 2. La estructura del árbol fue analizada numéricamente utilizando un software de elementos finitos con el fin de determinar las tensiones y deformaciones debidas a las cargas externas y a su propio peso para garantizar su integridad estructural. El diseño presentado constituye una estructura portátil que puede producir energía verde y proporcionar un lugar de encuentro en la seccional del Bajo Cauca.
Palabras clave: energía solar, árbol solar, horas solar pico, estructura del árbol solar, diseño de un sistema fotovoltaico.
Abstract: The conceptual and detailed design of a metal structure resembling a real tree with branches, in whose upper part photovoltaic solar panels are located, is presented in this work. The energy generated will be used to charge batteries for mobile phones, tablets and laptops belonging to the university community in Bajo Cauca headquarter of Universidad de Antioquia, located at a latitude of 7.990584° and a longitude of -75.193100°. For the design of the tree, an estimation of the solar resource in the headquarter was initially conducted; it was established that the annual average of peak solar hours was equivalent to 18.74 MJ/m2. Based on a daily energy requirement of 1400 Wh/day, the number of 180 Wp panels to be installed was determined to be 2. The tree structure was numerically analyzed using a finite element software in order to determine the stresses and deformations due to external loads and its own weight to guarantee its structural integrity. The featured design is a portable structure that can produce green energy and provide a meeting place at the Bajo Cauca headquarter.
Keywords: solar energy, solar tree, peak solar hours, solar tree structure, design of photovoltaic systems.
1. Introducción
La demanda de electricidad aumenta día a día para satisfacer el desarrollo económico y social de los países [1]. Esta demanda a nivel mundial se satisface en gran medida a partir del uso de combustibles de origen fósil, tales como el petróleo, gas natural, carbón, etc.; con el uso de la energía nuclear, y con fuentes renovables como la energía hidráulica, solar, eólica, etc. En la actualidad, el aumento de los precios de los combustibles fósiles; las consecuencias ambientales derivadas de las emisiones crecientes de CO2, CH4, N2O, entre otros gases de efecto invernadero, y un escenario de escases están motivando el desarrollo de recursos energéticos alternativos basados en fuentes renovables [2].
En los últimos años, a nivel mundial, la Agencia Internacional de Energía registra un crecimiento de la capacidad instalada de generación de energía eléctrica mediante el aprovechamiento de las energías renovables. Asimismo, según los reportes de la Red de Políticas de Energía Renovables para el sigo XXI (Renewable Energy Policy Network for the 21st Century-REN21), en el año 2019, la capacidad instalada de energía renovable creció alrededor de 200 GW; este crecimiento se debe, principalmente, a la energía obtenida a partir de instalaciones fotovoltaicas. Según la REN21, la electricidad a partir de la energía solar fotovoltaica y la energía eólica es ahora más rentable que la que se podría generar a partir de nuevas centrales térmicas de carbón. En general, la capacidad instalada de energía renovable fue suficiente para proporcionar un 27,3 % de la generación mundial de electricidad, de los cuales 15,9 %, 5,9 %, 2,8 %, 2,2 % y 0,4 % corresponden a la generación hidroeléctrica, energía solar, energía solar fotovoltaica, biomasa y otros (geotérmica y energía del océano), respectivamente. A pesar de estos avances, la electricidad renovable continuó enfrentando desafíos para lograr una mayor participación en la generación de energía, debido en gran medida a la persistente inversión para lograr el aumento de la capacidad de generación instalada a partir de los combustibles fósiles [3].
El aumento de la capacidad instalada de generación de energía eléctrica usando las fuentes de energía renovables puede brindar a la sociedad una seguridad energética, acceso a la energía en lugares que carecen del suministro, incremento del desarrollo social y económico y mitigación de los impactos ambientales [4].
La energía solar es considerada una fuente ilimitada, por lo tanto, puede ser una excelente opción a la hora de generar energía eléctrica en armonía con el medioambiente [1]. Por esto, la demanda de energía solar fotovoltaica se está extendiendo y expandiendo a medida que se convierte en una opción más competitiva para la generación de electricidad en un creciente número de ubicaciones, a lo largo del mundo, tanto en aplicaciones residenciales como comerciales [5].
En la actualidad, la demanda de energía eléctrica en Colombia se estima en 69.121 GWh, valor que ha mostrado en los últimos años una tasa promedio de crecimiento anual del 3 %. Para abastecer esta demanda, se tiene una capacidad instalada de 17 GW, de los cuales 12,1 GW provienen de centrales hidroeléctricas [6]. La alta participación de la hidroelectricidad en la matriz hace que el sistema sea vulnerable ante eventos de variabilidad climática y ante los períodos naturales de sequías y lluvias. Esta variabilidad ya causó una crisis energética en 1992 debido a las sequías originadas por el fenómeno de El Niño [6], [7], [8], por lo tanto, en el país se están haciendo esfuerzos para el desarrollo de una serie de políticas y nuevas regulaciones para diversificar la matriz energética con fuentes no convencionales de energía renovable (FNCER), principalmente solar y eólica, que permitan garantizar la estabilidad del suministro energético del país y, a su vez, contribuyan a la reducción de emisiones de CO2, CH4, N2O y demás gases de efecto invernadero, en busca de mitigar el cambio climático [9], [10].
En relación con la energía solar, Colombia posee un buen recurso que puede usarse para instalar sistemas fotovoltaicos conectados al Sistema de Interconexión Eléctrica Nacional y sistemas fotovoltaicos aislados para la generación distribuida o el abastecimiento de las zonas no interconectadas del país. Una de las desventajas de los sistemas solares es la intermitencia, debido a factores climáticos y a la baja eficiencia de los paneles fotovoltaicos, por lo tanto, en función de la potencia que se desee instalar, se requieren amplias áreas para construir arreglos grandes de paneles para compensar las ineficiencias de los paneles individuales. En muchos casos, los paneles solares se pueden instalar en el techo de edificaciones, en el espacio no utilizado. Sin embargo, en algunas situaciones, un soporte en el suelo puede ser la mejor opción, aunque puede instalarse en un área que podría usarse para otras actividades [11], [12], [13]. La superficie del terreno que se requiere para las instalaciones depende de la ubicación geográfica, las condiciones de insolación y la topología del terreno [13].
En situaciones donde el espacio es una limitación, los árboles solares brindan una opción para instalar múltiples capas de paneles solares optimizando el área disponible. En este sentido, los árboles solares en áreas urbanas pueden concentrar una alta densidad de potencia de generación de electricidad [14]. Las ventajas de los árboles solares es que pueden ayudar a sensibilizar a la ciudadanía sobre el aprovechamiento de las FNCER, mejorar la percepción pública de la tecnología solar fotovoltaica haciéndola estéticamente agradable y reducir el terreno necesario para aprovechar la energía solar [15].
El objetivo de este estudio fue presentar el diseño conceptual y de detalle de un árbol solar para el abastecimiento energético autónomo de puntos de encuentro o de estudio en la seccional del Bajo Cauca de la Universidad de Antioquia. Para la evaluación del recurso solar, se recurrió a la información publicada por la NASA en la base de datos de Prediction of Wordwide Energy Resource. A partir de la potencia de diseño se dimensionó el sistema fotovoltaico requerido. Finalmente, usando un software de elementos finitos, se verificó la integridad estructural del árbol, mediante un análisis numérico. El desarrollo del árbol está estrechamente relacionado con los Objetivos de Desarrollo Sostenibles (ODS) relacionados con la energía asequible y no contaminante (ODS 7), con la innovación e infraestructura (ODS9), con las ciudades y comunidades sostenibles (ODS 11) y con el objetivo de acción por el clima (ODS 13).
2. Materiales y métodos
2.1. Requisitos funcionales
La función principal de un árbol solar es sostener un conjunto de paneles fotovoltaicos que permitan transformar la energía solar en electricidad. Para este propósito, los componentes principales del árbol son la estructura de soporte, los módulos fotovoltaicos, baterías, inversor, puntos de carga, iluminación y cables para conectar los módulos [15]. Para el diseño del árbol solar que será instalado en la seccional del Bajo Cauca de la Universidad de Antioquia, se definieron los siguientes requisitos funcionales:
La capacidad instalada debe ser 220 W o una capacidad de generación de 1400 Wh/día, correspondiente al consumo esperado de 2 portátiles conectados 5 h al día, el consumo de 2 celulares conectados 5 h al día y el consumo de una lámpara de iluminación de 80 W conectada 5 h al día.
En gran medida, los componentes deben de ser de fabricación nacional.
Los componentes deben tener una alta resistencia mecánica.
El árbol estará aislado de la red eléctrica.
Iluminación del sitio alrededor del árbol por las noches o cuando se requiera. El sitio destinado para la instalación será un punto de encuentro o de estudio en la seccional del Bajo Cauca de la Universidad de Antioquia.
Bajos costos de fabricación, de tal manera que sea una opción competitiva frente a otras tecnologías.
El lugar de emplazamiento del árbol está ubicado en las coordenadas latitud 7,990584 longitud -75,193100. Por lo tanto, el sistema fotovoltaico debe ser dimensionado para lograr una óptima transformación de la irradiación solar disponible en el sitio.
Fácil montaje y operación por parte del usuario.
Posibilidad de masificar o estandarizar diseños y productos.
Estructura liviana, resistente, portable y atractiva visualmente.
Durante la etapa de diseño, se definirán los componentes del sistema portadores de las funciones y subfunciones que debe tener el árbol solar.
2.2. Evaluación del recurso solar
El potencial disponible del recurso solar en cualquier localización se puede determinar mediante el parámetro de la irradiación horizontal global (GHI), el cual se compone de la suma de la irradiación tanto difusa como directa que puede llegar a recibir una superficie horizontal. Las unidades de GHI se miden en kWh/m2/día. El valor de GHI permite comparar el potencial de una localización para la generación de energía eléctrica sin antes considerar una configuración técnica y un modo de funcionamiento. No obstante, en una localización determinada, el GHI depende de la temperatura del aire, la velocidad del viento, el polvo y otras sustancias contaminantes de la atmósfera. Los valores de GHI a nivel mundial se muestran en la figura 1, donde es posible identificar los países con mayor potencial para recibir la radicación solar [5]. La irradiación promedio en Colombia es alrededor de 4,5kWh/m2/día, este valor de irradiación supera el promedio mundial que se encuentra en 3,9 kWh/m2/día, y es superior al promedio de 3,0 kWh/m2/día recibido en Alemania, país referente a nivel mundial en el uso de la energía solar fotovoltaica, con una capacidad instalada en su matriz energética de alrededor de 36 GW.

Las regiones de Colombia, de acuerdo con la Unidad de Planeación Minero Energética (UPME), con niveles de irradiación superiores al promedio nacional que pueden llegar a valores cercanos a 6,0 kWh/m2/día son la costa Atlántica, principalmente el departamento de La Guajira, entre otras regiones de los departamentos de Vichada, Meta, Arauca y Casanare [6].
Para el diseño del árbol solar, se requiere una estimación del recurso solar en el lugar de instalación del árbol, el cual será ubicado en la seccional del Bajo Cauca de la Universidad de Antioquia. La seccional se encuentra localizada en las coordenadas latitud 7,990584° y longitud -75,193100°, como se muestra en la figura 2.

Para la evaluación del recurso se requieren datos de la irradiación en la seccional, sin embargo, debido a que no existen estaciones meteorológicas instaladas en la seccional, se realizó la evaluación del recurso solar a partir de la base de datos de parámetros meteorológicos (Prediction of Wordwide Energy Resource), publicada por la NASA. En esta base de datos se encuentran parámetros tales como la humedad relativa, la temperatura, la velocidad del viento, irradiación, entre otros.
Los datos de irradiación solar promedio mensual diaria kW h/m2/día en la localización elegida para el montaje de la instalación solar sobre una superficie incidente horizontal se detallan en la tabla 1.

Se emplearon los registros promedios de irradiación solar de los años comprendidos entre 2009 y 2019 para el dimensionamiento del sistema fotovoltaico entre estos años. A partir de la irradiación, es posible determinar las horas solar pico (HSP) en el sitio de instalación del árbol solar. Las HSP representan las horas de sol equivalentes con una intensidad de radiación de 1000 W/m2 que incide sobre el panel fotovoltaico.
Como es ampliamente conocido, la irradiación en cada día y mes del año no es la misma, y para instalaciones en las que su uso es anual es importante estimar el valor más bajo de irradiación con el objetivo de que la instalación fotovoltaica satisfaga los requerimientos de diseño, en especial la potencia instalada. Por lo tanto, el criterio escogido para el dimensionamiento del sistema fotovoltaico fue el mes con menor irradiación en el lugar donde se va a instalar el árbol solar, es decir, el mes en el que baja al mínimo la irradiación solar. En este sentido, el sistema fotovoltaico se va a diseñar para satisfacer la demanda de potencia en el peor mes de un año promedio.
La irradiancia global se puede representar mediante la letra G con uno o dos subíndices. El primer subíndice representa el período de integración de la irradiación solar: horario (h), diario (d), mensual (m) y anual (a). En relación con el segundo subíndice, este representa un valor medio de la irradiación: valor medio mensual (m) y valor medio anual (a). Después de la letra G se suele especificar, entre paréntesis, la posición (α,β) de la superficie sobre la que incide la radiación solar, donde β es la inclinación o elevación de la superficie y α es el ángulo de acimut, como se muestra en la figura 3.

El α es el ángulo entre el meridiano del lugar y la proyección sobre el plano horizontal de la normal a la superficie del panel fotovoltaico. Valores típicos de a son 0° para módulos orientados al sur, -90° para módulos orientados al este y +90° para módulos orientados al oeste. Para el lugar del emplazamiento, el ángulo de acimut será igual a 0, debido a que en el caso de que el emplazamiento esté ubicado en el hemisferio norte, α debería ser igual a 0
Para maximizar la captación de energía solar, los paneles fotovoltaicos se deben orientar al sur.
Para calcular G, es necesario inicialmente determinar la declinación solar (δ), que es el ángulo formado entre el plano ecuatorial celeste (proyección del ecuador terrestre) y la línea sol-tierra; δ se puede determinar empelando la ecuación 1 [17], [18].

Las unidades de δ se expresan en grados; δn es el día entre los 365 días del año considerado para el cálculo. Durante los cálculos se ha elegido un día de cada mes.
Por otra parte, el ángulo de elevación solar (θ) puede ser determinado empleando la ecuación 2 y 3 en el solsticio de invierno y verano, respectivamente [17].

Donde 𝜑 es la latitud del lugar. La capacidad de generación de energía eléctrica de un sistema solar fotovoltaico depende de la orientación del panel solar; esta orientación depende del patrón de irradiación solar de la ubicación geográfica particular. Para determinar la inclinación óptima (β) del panel fotovoltaico, se emplean las ecuaciones 4 y 5 en el solsticio de invierno y verano, respectivamente [19], [20]. En la referencia [20] se recopilan múltiples expresiones para calcular el ángulo de inclinación óptimo de los paneles.

En los equinoccios se considera que β es igual a 𝜑. Para la estimación de la irradiación global óptima se puede emplear la ecuación 6 [19].

Donde Gm(βopt) es el valor medio mensual de la irradiación global sobre una superficie con inclinación óptima (kW h/m2). Gm(0) es la media mensual de la irradiación global sobre una superficie horizontal (kWh/m2). βopt es la inclinación óptima de la superficie.
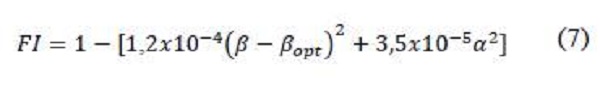
Como es ampliamente conocido, de ser posible, se debe orientar de forma óptima (α = 0°, βopt) la superficie del panel, no obstante, este criterio no siempre es factible. La orientación de los paneles se puede ver afectada por la integración arquitectónica, la resistencia al viento, etc. En este sentido, en los módulos fotovoltaicos se pueden dar pérdidas de irradiación solar, debidas a una orientación e inclinación del módulo fotovoltaico diferente de las condiciones óptimas para el factor de irradiación (FI), y pérdidas debidas a las sombras proyectadas por objetos circundantes sobre el módulo fotovoltaico. FI se puede determinar empleado las ecuaciones 7 y 8 [19].
En el rango de 15° < β < 90° se puede usar la ecuación 7 para determinar FI.

Si β < 15°, se puede usar la ecuación 8 para determinar FI.

Los valores FI son adimensional, β es el ángulo de inclinación real del módulo (°) y βopt es el ángulo de inclinación óptima de la superficie (°). Las pérdidas por sombra generalmente se dan cuando existe un gran número de paneles fotovoltaicos por instalar y no se dispone del espacio suficiente, por lo tanto, se requiere juntar las filas de los módulos y esto puede traer como consecuencia que una fila de paneles produzca sombras en las otras. Por lo tanto, de ser necesario, durante el desarrollo del arreglo de los paneles a partir de 𝜑, se determinará la distancia mínima entre fila y fila, para tratar de minimizar estas pérdidas.
Por último, las horas sol pico (HSP) se pueden determinar como el producto entre la irradiación global óptima Gm(βopt) por FI, dividido en 1000 W/m2. Los valores obtenidos del cálculo de HSP se detallan en la tabla 2.
Para fijar un ángulo de inclinación de los módulos fotovoltaicos, se determinó el promedio de los βopt mostrados en la tabla 2 para cada mes. La inclinación óptima está fuertemente influenciada por la latitud del lugar, de hecho, su valor óptimo de inclinación se encuentra entre 𝜑 y una corrección de 5° a 15°. De acuerdo con los valores de βopt reportados en la tabla 2, se calculó un valor fijo para la inclinación de los módulos fotovoltaicos igual a 15,93°. El valor de este ángulo está en el rango de los valores óptimos mostrados en la figura 4, obtenidos con el modelo propuesto por Nicolás-Martín et al. [21]. El modelo de los autores estima el βopt de los paneles fotovoltaicos como una función de las variables locales (latitud, fracción difusa y albedo) basados en datos de irradiación por hora de 14.468 sitios repartidos por todo el mundo a partir de la base de datos de One Building.

2.3. Dimensionamiento de los sistemas fotovoltaicos del árbol solar
El árbol solar se puede diseñar de forma aislada o conectado a la red. Para la seccional de la Universidad de Antioquia se ha decidido diseñar un árbol aislado de la red, por lo tanto, la energía generada se debe almacenar en baterías mediante un controlador de carga. Durante el día, cuando la irradiación solar es suficiente para hacer frente a las cargas, los paneles fotovoltaicos alimentan directamente a las cargas. Cualquier exceso de energía eléctrica después de cumplir con las cargas debe almacenarse en baterías. La energía almacenada en baterías se puede utilizar cuando la generación del sistema fotovoltaico no es suficiente.
Por otro lado, debe usarse un inversor para transformar una corriente continua (DC) en una corriente alterna (AC) a un voltaje y frecuencia determinados, debido a que algunos de los equipos que se van a conectar al árbol funcionan con corriente alterna (AC). El diseño del sistema eléctrico del árbol, compuesto por paneles fotovoltaicos, batería, controlador de carga, inversor, tomacorrientes y cables de conexión, se muestra en la figura 5. El inversor se puede conectar al controlador de carga si el regulador tiene bornes de salida a DC, sin embargo, hay que tener presente que el controlador debe soportar la carga total de potencia de la demanda eléctrica de los conectores en corriente alterna, por lo tanto, la intensidad máxima de carga que soporta el regulador debería ser la misma que soporta el inversor, esto hace que el costo del controlador sea mayor. Para casos de instalaciones de poca potencia, o cuando el consumo sea igual o menor a la carga procedente de los paneles fotovoltaicos, es posible hacer una conexión directa del inversor al regulador [22], [23].

Para determinar el número de paneles fotovoltaicos del árbol, se debe hacer un estimado de las cargas que serán conectadas en un día típico al circuito del árbol solar. En la tabla 3 se muestran las posibles cargas que serán conectadas al circuito eléctrico.

La carga total DC y AC por día son 400 Wh/día y 700 Wh/día, respectivamente. La energía total requerida (𝐸𝑅) es igual a 1100 Wh/día. Considerando una eficiencia del inversor/controlador (𝜂𝑖/𝑐) y del banco de batería (𝜂𝐵) del 90 % y la pérdida de los cables del 3 % (𝜂𝑐=97%) [24], la energía para generar por día (𝐸𝐺) se puede determinar mediante la ecuación 9 [22], [24], [25].

A continuación, se determina el número de paneles solares, partiendo de los resultados de la estimación del recurso solar. En la sección 2.2 se determinó que el mes con menos HSP es abril. El valor de HSP de este mes fue 4,65 h/día y se empleó para el cálculo de la instalación solar. Para calcular el número de paneles fotovoltaicos necesarios se parte de la igualdad entre 𝐸𝐺 y la energía generada por día por el conjunto de módulos Ep. La energía posible generada por día es el resultado del producto entre la potencia nominal del panel, el factor global de pérdidas (𝜂p) el número de horas sol pico del día (HSP) y el número de módulos o paneles fotovoltaicos (N). En consecuencia, la producción de energía del conjunto de módulos se calcula usando la ecuación 10 [22], [26].

Del balance energético planteado, el número de módulos se calcula usando la ecuación 11 [22], [26].

El factor global de pérdidas (𝜂p) normalmente se encuentra entre 0,8 y 0,9. En este factor se tienen en cuenta las pérdidas adicionales que pueden ocurrir debido al deterioro y/o a la posible suciedad de los paneles, etc. Se usarán paneles solares policristalinos de 180 W, el número de paneles seleccionado debe ser chequeado dependiendo del tipo de controlador usado. Las especificaciones técnicas del panel fotovoltaico empleado en el diseño del árbol se muestran en la tabla 4.

En la tabla 5 se detalla el cálculo del número de módulos de la instalación solar usando paneles policristalinos de 180 W.


Una comparación entre la energía por generar y la producida a lo largo del año por el árbol solar se presenta en la figura 6.

Los vatios pico (Wpeafc, watt peak) del sistema fotovoltaico puede ser calculados empleado la ecuación 12 [24], [26].

Wpeak es igual a 356,37 Wp. La corriente total del sistema fotovoltaico (IDC ) es calculada dividiendo Wpeak por el voltaje del sistema (VDC ), usando la ecuación 13 [24], [26].
VDC depende del tipo de controlador de carga usado: si es del tipo modulación por anchura de pulsos o PWM por su sigla en inglés (pulse width modulation), el panel solar funciona al mismo voltaje que las baterías (12, 24, 48 V). Esto hace que los paneles fotovoltaicos no funcionen en su punto de máxima potencia, sino que trabajan en el punto que impone la batería en función de su estado de carga, lo cual trae consigo una pérdida de potencia. Por otro lado, si se usa un controlador seguidor del punto de máxima potencia o MPPT por sus siglas en inglés (máximum power point tracking) al igual que los controladores PWM, la energía que entra y sale del regulador es la misma, sin embargo, la corriente y el voltaje son diferentes a un lado y a otro [14], [27], [28], [29]. Con ello se consigue aumentar el voltaje del panel solar y aumentar la producción solar respecto a los reguladores PWM. Cuando se usa un MPPT, VDC es igual a la tensión para máxima potencia a Vmp. El voltaje del panel debe ser superior al voltaje de carga de las baterías.
Una vez definido VDC, se puede determinar el arreglo de los paneles fotovoltaicos. El número de módulos fotovoltaicos en paralelos (Nmp ) se puede estimar empleando la ecuación 14 [24], [26].

Donde Imp es la corriente para máxima potencia. El número de módulos a ser conectados en serie (Nms ) se calcula empleado la ecuación 15 [24], [25].

En la tabla 6 se detalla la estimación del número de paneles fotovoltaicos en función de VDC.

Una vez determinado el número de módulos fotovoltaicos, se procede a dimensionar el banco de baterías. Para este propósito es importante tener en cuenta la máxima profundidad de descarga diaria (𝑃𝐷𝑚𝑎𝑥,𝑑), la eficiencia de la batería (𝜂𝐵) y el número de días de autonomía. Para 𝑃𝐷𝑚𝑎𝑥,𝑑 y 𝜂𝐵 se establece un valor del 80 % y 85 %, respectivamente, y además se fija un número de días de autonomía (𝑁𝐴) de 1. Se calcula la capacidad nominal (𝐶𝑛) necesaria del banco de batería empleando la ecuación 16 [22], [24].

Para un voltaje del sistema de 12 V, se tiene que Cn es igual a 190,64 Ah. Por lo tanto, se seleccionan 2 baterías a 12 V, 100 Ah, conectadas en paralelo para obtener el voltaje y la energía demandada por el sistema. Para el dimensionamiento del controlador de carga o regulador, hay que asegurarse de que pueda soportar la corriente de cortocircuito del sistema fotovoltaico (Iscs), la cual se puede determinar como el producto de la corriente de cortocircuito (Isc) de un módulo por el número de módulos en paralelo, como se muestra en la ecuación 17; 1,3 es un factor de seguridad o de incertidumbre para evitar daños en el regulador [24], [26].
Por lo tanto, para el árbol solar se requiere un controlador de carga que soporte como mínimo 20,70 A. Por último, para el cálculo del inversor, únicamente se contemplan las sumas de las cargas de corriente alterna mostradas en la tabla 4. En este caso, la potencia es igual a 220 W y se aplicó un margen de seguridad del 30 % [24]. Se requerirá un inversor de 286 W, aproximadamente. Comercialmente se selecciona el inversor.
2.4. Diseño estructural del árbol solar
El desarrollo de un árbol solar consta de varios pasos que consisten en el diseño de la base o cimentación de la estructura, diseño de la estructura metálica del árbol, definición de la orientación de los paneles fotovoltaicos y diseño del sistema eléctrico compuesto por paneles fotovoltaicos, batería, controlador de carga, inversor, toma corrientes y cables de conexión [17]. El sistema eléctrico ha sido previamente calculado en la sección previa.
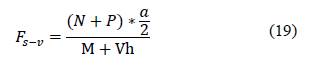
Desde el punto de vista estructural, el tronco del árbol y la cimentación son los elementos críticos que definen la estabilidad del árbol. Dicha estabilidad se ve comprometida por las fuerzas exteriores, principalmente debido al peso propio de la estructura, a la fuerza del viento y al peso de los paneles fotovoltaicos. En consonancia con lo anterior, es importante diseñar una base o cimientos sólidos para sostener el árbol. Debido a que uno de los requerimientos estructurales es la portabilidad del árbol, se determinó diseñar una base de concreto portable a la cual se anclará el árbol. Esta base, además de servir de soporte, va a contener el banco de batería, inversor y controlador de carga. La altura del árbol, el número de paneles y en general las cargas sobre la estructura determinan el tamaño de la base. El esquema de diseño de la base del árbol se muestra en la figura 7. Para evitar el vuelco del árbol, se debe garantizar que los momentos estabilizadores (Me ) sean mayores que los momentos al vuelco (Mv ). Para este propósito se deben calcular las dimensiones principales (a, h) y el peso adecuado de la base (P). Se define el factor de seguridad (Fs_v) al vuelco mediante la ecuación 18.


Para seguridad del árbol se ha establecido que Fs_v debe ser mayor que 1,5. De acuerdo con el diagrama de carga mostrado en la figura 6, el factor de seguridad se puede determinar en función de las cargas mediante la ecuación 19.

Donde N, V, M son las reacciones que aparecen en la base del árbol debido al peso de los paneles solares y al propio peso de la estructura, las cargas accidentales y el efecto del viento. N es la carga axial; V, la fuerza cortante; y M el momento flector. El peso de la base se define en función de su volumen y de la densidad de concreto, que se asumió igual a 2200 kg/m3.
Para el cálculo de las reacciones se analizará el caso en que el viento actué perpendicular a la estructura y a los paneles solares, ya que es el peor de los casos y donde se generarán más esfuerzos. Para el cálculo de la presión (q) en N/m2 ejercida por el viento, se puede usar la ecuación 20.

Donde p es la densidad del viento, que se tomará como 1,23 kg/m3, y V es la velocidad del viento en m/s. Para efectos de cálculo, se empleará la velocidad de referencia del viento reportada para aerogeneradores clase III en la norma establecida por la Comisión Electrotécnica Internacional (IEC), IEC 61400-1 [30], [31]. En esta norma se establece que la velocidad de referencia es 37,5 m/s. Por lo tanto, q ejercida por el viento será igual a 864,84 N/m2.
Para el diseño del árbol se han usado perfiles tubulares circulares para los elementos principales de la estructura. En la figura 8 se muestra el árbol solar modelado en el software inventor. La forma superior del árbol es similar a la hoja de yarumo o guarumo, que es un árbol muy común en Colombia. Las hojas de yarumo se caracterizan por ser grandes y duras y tiene la forma de una gran mano. Las hojas se fijarán debajo de los paneles.

La integridad estructural del árbol fue verificada usando el software de elementos finitos Cosmo M. Con el software se pueden analizar geometrías complejas ante diversos estados de carga. Para este propósito se asignan las secciones transversales, dimensiones y materiales a los elementos modelados; se definen las cargas (peso de los paneles fotovoltaicos 16,4 kg, presión debido al viento y peso de las hojas de aproximadamente 8 kg cada una) y la gravedad para considerar el peso propio de la estructura; se malla la estructura, y finalmente se realizan los cálculos estructurales que permiten determinar los desplazamientos, deformaciones y los esfuerzos de los elementos de la estructura. Los esfuerzos de la estructura serán comparados con la resistencia de los materiales.
La estructura simplificada del árbol, modelada en el software Cosmo M, se muestra en la figura 9. Las hojas no fueron modeladas en el software de elementos finitos debido a que no son portantes; estas son usadas para dar una mejor apariencia exterior al árbol, sin embargo, su peso si fue considerado para el cálculo de esfuerzo del tronco del árbol y los ramales. En el software, los elementos de la estructura fueron discretizados con elementos tipo Beam 3D. A la mayoría de los elementos se les asignó una sección transversal tubular circular, excepto para la fabricación de la estructura que soporta los paneles, para la cual se usaron perfiles angulares. Las dimensiones de estas secciones variarán dependiendo del comportamiento de la estructura al momento de aplicar las cargas. Se definió la gravedad como 9,81 m/s en la dirección negativa del eje y, para considerar el peso propio de los elementos. Como condición de frontera, se restringieron todos los grados de libertad de la base del árbol. Finalmente, antes de proceder con el análisis de esfuerzo se definieron las propiedades del material de las barras. Las propiedades del material usado para el diseño de la estructura se muestran en la tabla 7.


Con base en la configuración geométrica mostrada en la figura 9, se realizó un análisis estático, de pandeo y frecuencias de la estructura, con el fin de verificar su integridad estructural.
3. Resultados y discusión
El árbol solar diseñado tiene una capacidad de generar 1400 Wh/día en el peor mes de irradiación solar, que es el mes de abril, donde se presenta un valor de la irradiación promedio de 4,37 kW h/m2/día. La tabla 8 muestra las especificaciones técnicas del sistema fotovoltaico que será instalado en el árbol solar.

La integridad estructural del árbol fue verificada mediante el análisis numérico en el software Cosmos M. Para este propósito, inicialmente, se creó la geometría usando un tubo de 3 pulgadas de diámetro nominal y un espesor de pared de 4 mm para el tronco del árbol, tubos de 2,5 pulgadas de diámetro nominal y 4 mm de espesor para los ramales y perfiles angulares L1/4 x 1,5 pulgadas para la estructura de soporte de los paneles. Una vez definidas las secciones transversales, las propiedades de los materiales, la asignación de las cargas, incluido el peso propio de la estructura, se procedió a realizar el análisis estructural del árbol.
En la figura 10 se presenta la distribución de esfuerzo de Von Mises. Los resultados muestran un esfuerzo máximo de 134,81 MPa. El factor de seguridad respecto a la fluencia es aproximadamente 1,78, por lo tanto, se puede concluir que no ocurrirá fluencia en los elementos estructurales por la acción de las cargas. El máximo esfuerzo se presenta en el tronco del árbol.

El desplazamiento máximo de la estructura es 0,069209 m, como se muestra en la figura 11. Este desplazamiento máximo se presenta en la estructura de soporte de los paneles.

A la estructura del árbol se le realizó un análisis de pandeo, donde se obtuvo un factor de seguridad respecto al pandeo de 39,94, como se aprecia en la figura 12.

En la tabla 9 y tabla 10 se presentan las frecuencias naturales y las reacciones en la base de la estructura, respectivamente.


A partir de las reacciones reportadas en la tabla 10 y empleando la ecuación 19, se determinan las dimensiones de la base estabilizadora que se muestra en la figura 13. Donde a, h, p son iguales a 2,8 m, 0,4 m y 594 kg, respectivamente, para obtener un Fs_v igual a 3,48. En el interior de la base se ubicarán las baterías, el inversor y el controlador del sistema fotovoltaico.

Un breve análisis de costos de fabricación del árbol se muestra en la tabla 11. Los costos de los elementos necesarios para el correcto funcionamiento del árbol han sido consultados con proveedores locales de la ciudad de Medellín. El precio en pesos colombianos sería igual a $15.694.799, que equivalen aproximadamente a 3.924 dólares.

4. Conclusiones
Durante el diseño del árbol solar es importante estimar las horas solares pico (HSP) en el sitio de instalación, para seleccionar los componentes adecuados que garanticen la demanda de energía requerida. En el punto de instalación del árbol se determinó que el mes con menos HSP es el mes de abril. El valor de HSP de este mes fue 4,65 h/día y se empleó para el cálculo de la instalación solar. El árbol solar fue diseñado para satisfacer un consumo de energía estimado de 1400Wh/día.
El árbol solar soporta 2 paneles solares policristalinos de 180 W que generan la energía requerida. El tamaño del banco de batería está compuesto por 2 baterías a 12 V, 100 Ah, conectadas en paralelo. El árbol puede ser una opción para minimizar la dependencia de la red eléctrica en puntos de encuentro exteriores de la comunidad académica de la seccional de la Universidad de Antioquia. Mediante simulación numérica se ha garantizado la integridad estructural del árbol al verificar que en ningún punto de la estructura el esfuerzo de Von Mises supere el esfuerzo de cedencia del material.
El árbol, al ser portátil debido a que va montado sobre una base estabilizadora, se puede instalar en cualquier lugar exterior de la seccional. El costo estimado para el desarrollo del árbol es de alrededor de 3.924 dólares.
Agradecimiento
Los autores agradecen al proyecto "Diseño de una metodología de valoración de proyectos de generación de energía eléctrica renovable", financiado por el concurso de proyectos de investigación para estudiantes de pregrado de las Facultades de Ingeniería y Ciencias Económicas de la Universidad de Antioquia.
Referencias
J. Ajayan, D. Nirmal, P. Mohankumar, M. Saravanan, M. Jagadesh, L Arivazhagan, “A review of photovoltaic performance of organic/inorganic solar cells for future renewable and sustainable energy technologies”, Superlattices and Microstructures, 106549, 2020, doi: https://doi.org/10.1016/j.spmi.2020.106549
l. Hernández-Callejo, S. Gallardo-Saavedra, V. Alonso-Gómez, “A review of photovoltaic systems: Design, operation and maintenance”, Solar Energy, vol. 188, pp. 426-440, 2019, doi: https://doi.org/10.1016/j.solener.2019.06.017
B.N. Stram, “Key challenges to expanding renewable energy”, Energy Policy, vol. 96, pp. 728-734, 2016, doi: https://doi.org/10.1016/j.enpol.2016.05.034
P. A. Owusu, S. Asumadu-Sarkodie, “A review of renewable energy sources, sustainability issues and climate change mitigation”, Cogent Engineering, vol. 3, no. 1, pp. 1167990, 2016, doi: https://doi.org/10.1080/23311916.2016.1167990
N. Kannan, D. Vakeesan, “Solar energy for future world:-A review”, Renewable and Sustainable Energy Reviews, vol. 62, pp.1092-1105, 2016, doi: https://doi.org/10.1016/j.rser.2016.05.022
F. Henao, I. Dyner, “Renewables in the optimal expansion of colombian power considering the Hidroituango crisis”, Renewable Energy, vol. 158, pp. pp. 612-627, 2020, doi: https://doi.org/10.1016/j.renene.2020.05.055
O. Pupo-Roncallo, J. Campillo, D. Ingham, K. Hughes, M. Pourkashanian, “Renewable energy production and demand dataset for the energy system of Colombia”, Data in Brief, vol. 28, 105084, 2020, doi: https://doi.org/10.1016/j.dib.2019.105084
J. Arias-Gaviria, S. X. Carvajal-Quintero, S. Arango-Aramburo, “Understanding dynamics and policy for renewable energy diffusion in Colombia”, Renewable Energy, vol. 139, pp. 1111-1119, 2019, doi: https://doi.org/10.1016/j.renene.2019.02.138
D. Rodríguez-Urrego, L. Rodríguez-Urrego, “Photovoltaic energy in Colombia: current status, inventory, policies and future prospects”, Renewable and Sustainable Energy Reviews, vol. 92, pp. 160-170, 2018, doi: https://doi.org/10.1016/j.rser.2018.04.065
T. Gómez-Navarro, D. Ribó-Pérez, “Assessing the obstacles to the participation of renewable energy sources in the electricity market of Colombia”, Renewable and Sustainable Energy Reviews, vol. 90, pp. 131-141, 2018, doi: https://doi.org/10.1016/j.rser.2018.03.015
T. Schunder, D. Yin, S. Bagchi-Sen, K. Rajan, “A spatial analysis of the development potential of rooftop and community solar energy”, Remote Sensing Applications: Society and Environment, vol. 19, pp. 100355, 2020, https://doi.org/10.1016/j.rsase.2020.100355
F. Hyder, P. Baredar, K. Sudhakar, R. Mamat, “Performance and land footprint analysis of a solar photovoltaic tree”, Journal of Cleaner Production, vol. 187, pp. 432-448, 2018, doi: https://doi.org/10.1016/j.jclepro.2018.03.249
S. Dey, B. Pesala, “Solar tree design framework for maximized power generation with minimized structural cost”, Renewable Energy, vol. 162, pp. 1747-1762, 2020, doi: https://doi.org/10.1016/j.renene.2020.07.035
S. Dey, M. Lakshmanan, B. Pesala, “Optimal solar tree design for increased flexibility in seasonal energy extraction”, Renewable Energy, vol 125, pp. 1038-1048, 2018, doi: https://doi.org/10.1016/j.renene.2018.02.017
F. Hyder, K. Sudhakar, R. Mamat, “Solar PV tree design: A review”, Renewable and Sustainable Energy Reviews, vol. 82, pp. 1079-1096, 2018, doi: https://doi.org/10.1016/j.rser.2017.09.025
Global Photovoltaic Power Potential by Country, Global Solar Atlas, 2020. [En línea]. Disponible en: https://globalsolaratlas.info/global-pv-potential-study
S. A. Kalogirou, “Environmental Characteristics”, en Solar Energy Engineering. USA: Academic Press, 2013, pp. 49-762, doi: https://doi.org/10.1016/C2011-0-07038-2
C. Stanciu, D. Stanciu, “Optimum tilt angle for flat plate collectors all over the World-A declination dependence formula and comparisons of three solar radiation models”, Energy Conversion and Management, vol. 81, pp. 133-143, 2014, doi: https://doi.org/10.1016/j.enconman.2014.02.016
A. Rubio-Clemente, E. Chica, G. A. Penuela, “Photovoltaic array for powering advanced oxidation processes: Sizing, application and investment costs for the degradation of a mixture of anthracene and benzo [a] pyrene in natural water by the UV/H2O2 system”, Journal of Environmental Chemical Engineering, vol. 6, no. 2, pp. 2751-2761, 2018, doi: https://doi.org/10.1016/j.jece.2018.03.046
A. Z. Hafez, A. Soliman, K. A. El-Metwally, I. M. Ismail, “Tilt and azimuth angles in solar energy applications-A review”, Renewable and Sustainable Energy Reviews, vol. 77, pp. 147-168, 2017, doi: https://doi.org/10.1016/j.rser.2017.03.131
C. Nicolás-Martín, D. Santos-Martín, M. Chinchilla-Sánchez, S. Lemon, “A global annual optimum tilt angle model for photovoltaic generation to use in the absence of local meteorological data”, Renewable Energy, vol. 161, pp. 722-735, 2020, doi: https://doi.org/10.1016/j.renene.2020.07.098
T. Khatib, A. Ibrahim, M Azah, “A review on sizing methodologies of photovoltaic array and storage battery in a standalone photovoltaic system”, Energy Conversion and Management, vol. 120, pp. 430-448, 2016, doi: https://doi.org/10.1016/j.enconman.2016.05.011
Khan, Faizan A., Nitai Pal, and Syed H. Saeed, “Review of solar photovoltaic and wind hybrid energy systems for sizing strategies optimization techniques and cost analysis methodologies”, Renewable and Sustainable Energy Reviews, vol. 92, pp. 937-947, 2018, doi: https://doi.org/10.1016/j.rser.2018.04.107
D. M. Patil, S. R. Madiwal, “Design and development of solar tree for domestic applications”, International Journal of Engineering Sciences & Research Technology, vol. 5, no. 8, pp. 102-111, 2016, doi: https://doi.org/10.5281/zenodo.59963
P. G. Nikhil, D. Subhakar, “An improved algorithm for photovoltaic system sizing”, Energy Procedia, vol. 14, pp. 1134-1142, 2012, doi: https://doi.org/10.1016/j.egypro.2011.12.1066
S. S. Awaze, K. N. Bhamburkar, A. P. Babare, A. R. Asode, S. P. Bargat, “Design and Fabrication of Solar Tree”, International Journal of Latest Engineering Research and Applications (IJLERA), vol. 03, no. 05, pp. 24-29, 2016.
A. Awasthi, A. Kumar Shukla, M. Manohar S.R., C. Dondariya, K. N. Shukla, D. Porwal, G. Richhariya, “Review on sun tracking technology in solar PV system”, Energy Reports, vol. 6, pp. 392-405, 2020, doi: https://doi.org/10.1016/j.egyr.2020.02.004
Y. E. Abu Eldahab, N. H. Saad, A. Zekry, “Enhancing the design of battery charging controllers for photovoltaic systems”, Renewable and Sustainable Energy Reviews, vol. 58, pp. 646-655, 2016, doi: https://doi.org/10.1016/j.rser.2015.12.061
S. Qazi, “Fundamentals of Standalone Photovoltaic Systems”, Standalone Photovoltaic (PV) Systems for Disaster Relief and Remote Areas. Editorial: Elsevier, pp. 31-82, 2017.
S. Sirnivas, W. Musial, B. Bailey, M. Filippelli, “Assessment of offshore wind system design, safety, and operation standards”, National Renewable Energy Laboratory, United States, NREL/TP-5000-60573, 2014.
S.l Roach, S. Myung Park, E. Gaertner, J. Manwell, M. Lackner, “Application of the New IEC International Design Standard for Offshore Wind Turbines to a Reference Site in the Massachusetts Offshore Wind Energy Area”, In Journal of Physics: Conference Series, vol. 1452, pp. 012038, 2020, doi: https://doi.org/10.1088/1742-6596/1452/1/012038
Notas
Notas de autor
a Correo electrónico: juan.castano16@udea.edu.cobsergio.agudelo@udea.edu.cocedwin.chica@udea.edu.co.dvalentina.bolanos@udea.edu.coeluis.garnica@udea.edu.cofleidy.delaossa@udea.edu.co