Artículos
Harvest and Distribution planning model for a fruit supply chain
Modelo de planificación de cosecha y distribución para una cadena de suministro de frutas
Harvest and Distribution planning model for a fruit supply chain
Revista UIS ingenierías, vol. 21, no. 2, pp. 115-130, 2022
Universidad Industrial de Santander
Received: 16 August 2021
Accepted: 16 October 2021
Abstract: A production planning problem related to income is addressed in a fruit supply chain of small producers, who prefer not to harvest if the market price does not allow their costs to be recovered. A mathematical model is proposed to represent the harvest decision where three elements are considered: the product perishability, the market prices behavior, and finally how much to harvest. This paper establishes that the income improvement of small agricultural producers is a strategy to support the socio-economic development of this sector. The model applied in a small citrus producer's case study show that adequate harvest planning allows establishing a relationship between prices and sales to maximize small producer profits.
Keywords: harvest planning, distribution, perishable products, decision making, supply chain.
Resumen: Se aborda un problema de planificación de la producción relacionado con los ingresos en una cadena de abastecimiento de pequeños productores frutícolas, quienes prefieren no cosechar si el precio de mercado no permite recuperar sus costos. Se propone un modelo matemático para representar la toma de la decisión de cosechar considerando tres aspectos: lo perecedero del producto, el comportamiento de los precios del mercado y, por último, la decisión de cuanto cosechar. Este trabajo contribuye al mejoramiento de los ingresos en las cadenas de pequeños productores agrícolas como estrategia para apoyar el desarrollo socioeconómico del sector. Los resultados de la aplicación del modelo en un caso de estudio de pequeños productores citrícolas, evidencian que la adecuada planificación de la cosecha permite establecer una relación de precios y venta que maximizan la utilidad de los pequeños productores.
Palabras clave: planeación de cosecha, distribución, productos perecederos, toma de decisiones, cadena de abastecimiento.
1. Introduction
Food production is originated mostly in small agricultural producers, which according to the United Nations [1], manage 12% of the available area to produce 80% of the world's food. Small farmer producers are located mainly in rural areas of developing countries, managing approximately 500 million small agricultural areas, and where 70% of the poorest people in the world are located. FAO [2] mentions that these lands are worked by the family group that earn around 1 and 6 dollars per day. In Latin America, small farmer producers have had limitations to develop their production and trade activities, due to the lack opportunities to access to the credit system, the low investment capacity that is reflected in their assets and limited access to education.
Authors such as [3] have identified a great weakness in the marketing structure of small producers, where there is no solid link with the distribution channels; in addition, there exists an underdeveloped production and marketing structures. [2] In reference to this region mentions some characteristics as a great dispersion in the supply chain due to the lack articulation of small producers, which finally translates into less commercial opportunities and low access to better price levels. In these countries predominates the trade through intermediaries as the dominant link in the producer-marketer relationship, being the one that defines the price conditions for the purchase of the product.
It is important to study the dominant relationships between the echelons in the chain, understanding the small producer limited trading conditions regarding intermediaries and retailers. No studies applied in the context of decision-making with dominant relationships for this type of supply chains were found in the literature consulted and even less in the context of developing countries. On the other hand, the planning model contributes to the socio-economic development of small agricultural producers based on a model linked to the daily practice of the small producer, considering its importance for food safety discussed previously. The knowledge gained from this study allows the development of design rules for latex-type paint formulations and the implementation of the process by slurry and pigment concentrate.
Small farmer incomes are worked on this document as a harvest and distribution system problem, which seeks to represent the situation in which the sale of fruits to the intermediary and retailer by the small producer operates, understanding the relationships dominant roles occurred in the supply chain.
The fruit supply chain under study is represented by the producer, intermediary and retailer, in which the producer has both options, selling to an intermediary or to a retailer, considering the price conditions offered for each one. In several cases the small farmer prefers not to harvest due to the fact that the price offered does not cover operating expenses. The mathematical model presented in this document illustrates the scenario where a small farmer makes the decision to harvest taking into account the hierarchical dominant relationships exercised by the intermediary along the supply chain. In addition, the distribution system is modeled including alternatives of selling to the intermediary or the retailer simultaneously if it is adequate for the small farmer in price terms. The aim is to establish the level of profit achieved by the small farmer, taking into account different costs incurred in the activity, as well as the income generated by the sale at market prices. Finally, the analysis and interpretation of results are done to conclude about the model proposed.
2. Literature Review
Logistics planning activities is the element that allows the proper management of the supply chain (SC), the latter defined by [4], as the relationships between a series of interconnected entities that may have a high degree of complexity due to the large number of goods and services that companies currently hire. [5] Defines it as the flows of materials, money and information in a concatenated structure of organizations with forward and backward repetitive flows related along the supply chain. In addition, [6] raises the supply chain as the multiple relationships that are required to achieve customer satisfaction.
In general terms, it can be said that the supply chain are all those instances that intervene in the process of adding value or transforming raw materials or services into finished products that are delivered to a final customer, in response to a need and which involve handling of materials, information and financial resources.
The optimal management of these relationships is interpreted as supply chain management. Their study has been classified by [7] according the interest study area as strategic, which involves the decisions that managers must make to achieve the best global performance and involves chain configuration decisions and business models in order to get competitiveness highest levels in the strategic partners; as a design, which involves location decision problems and uses the modeling and simulation strategies to determine the best way to achieve optimization objectives, and finally the operational one, which is related to the daily activities that require decisions about production, planning and programming in warehouses, plants and distribution systems, where mathematical models are developed to achieve better operational performance.
Planning has been defined in [8], as an activity prior to the execution of any task that is of an analytical and prospective nature that goes from the general to the particular and aims to reduce the error risk in the allocation of resources. In programming terms, the same author defines it as the process of specifying planning that seeks to define resources, activities and execution times. It is strategic when long-term is considered, tactical if decisions are medium-term and operational when involve day-to-day decisions.
On the other hand, [9] refers to planning as a highly complex process in manufacturing organizations due to the number of variables involved and which also requires the hierarchical planning of production. In it, the coordination elements between the different echelons in the supply chain or within the companies must be considered. In this sense [10] mentions that from the perspective of functional areas there are dominant relationships that affect decisions within the company.
Coordination becomes, according to this author, a key element for the efficient development of operations, mentioning that there is integration in decision making when, despite being taken in decentralized units, coordination between the areas is achieved, resulting in the integration of the decisions. It also interprets the context of decision making as elements of dominance where one area determines the behavior of another and proposes modeling strategies to represent these asymmetric relationships. There are two kinds of mathematical models: explicit hierarchical models, where mathematical models are represented as sub-problems that require first the solution of one hierarchically dominant to subsequently solve the next; or implicit hierarchical models where hierarchical decisions are integrated or coordinated within a model, which supposes a greater computational complexity. It is of great interest in this work to establish the dominant relationships in the supply chain due to their determinant role in the behavior of small producer's incomes.
The authors consider that it is a fundamental problem that is detrimental to the sector's socioeconomic development. In the literature consulted, it is not evidenced the treatment of this problem in the small agricultural producers supply chain.
Planning models applied to perishable product processes have an additional complexity, because there should be defined strategies to represent the product deterioration behavior, in order to know impacts on the final results in the objective function. Authors such as [11] developed and optimized a management green supply chain model where deterioration is represented using game theory.
The planning applied to agricultural problems, has been addressed by authors such as [12], who raise a harvest planning problem proposing a mathematical model that involves elements as labor costs, product deterioration over time and transportation cost, to improve the revenue performance in the supply chain. According to their findings the most sensitive operational decisions to make for small farmers are about harvest production, activities programming, storage, packaging and transport, due to product short useful life. According with [13], fruit supply chains share characteristics that allow presenting a generic model in order to represent the complexity of harvest planning, inventory and transport precisely because these are perishable products. In their review, they present the contributions made by [14] who model problems related with distribution centers administration for fruits, additionally reference to [15], who study the problem of fruit storage, and finally [16] who formulated a model for the planning of weekly fruit export flows considering a single fruit or a set of them, where they also take into account some elements of infrastructure that would allow them to maximize the general flow.
Regarding the mathematical modeling techniques applied to logistics processes, [17] address the problems of crop planning that arise in the production of sugar and alcohol from sugarcane in Brazil, using models of mixed whole programming to plan the harvest in two periods of time. On the other hand, [18] proposes a mathematical programming model to help in the olive harvest planning decision-making process. The objective proposed was to find a harvest program that maximizes the total amount of oil extracted in the plant. A harvest plan must guarantee quality standards, respect technological limitations, coordinate operations between the field and the plant and meet a budget associated with harvesting operations.
Regarding operational planning, [19] presents a mixed whole programming model for collection and transport, which involves the assignment of harvesting and transport equipment to the fields, while a constant supply in the plants must be guaranteed given a set of harvest resources.
[12] assure in spite of operational planning is very significant in the food supply chain; there are few planning models worked in this scenario, referring to the literature review made in [12] y [13]. Importance about this topic is unquestionable, even more so when it comes to harvest planning applied to small agricultural producers located in a developing country.
3. Problem description
A model for planning production and distribution in an agricultural fruit supply chain is addressed. [20] defines a characteristic that distinguishes agricultural chains from other supply chains; it is perishability, which occurs along different links in the chain [21], [22].
On the other hand, different authors point characteristics that generate a high complexity in agricultural supply chains management. In the same way, [23] and [24] point to the seasonality of agricultural production as one of those critical characteristics, and the uncertainty in crop yield due to unpredictable climatic conditions [22], [25].
In addition to the aforementioned special characteristics, for the case of this specific study, it must be taken into account that it is a decentralized, non-collaborative chain, where each echelon seeks to optimize the individual profits. The objective is to solve a production-distribution problem allowing an adequate flow of operations in order to guarantee the bets distribution of resources and the highest possible profit, in the producer echelon. The fruit supply chain in this study is made up of three echelons; the first one represents the producers, who grow meanly mandarin, orange and lemon, among other fruits. Producers are not associated with companies or cooperatives and in general their production practices are empirical, in trading process the prices are defined in most of the times by the intermediary echelon. In addition, the producer delivers products in the intermediary and / or retailer's facilities.
The second echelon is intermediaries, who are dedicated to buying the product from small farmers, providing the necessary quantity that allows them to meet the product demanded in the market. Intermediaries buy the product at the price they consider appropriate in relation to the demand and supply component in the market places or in other retail centers.
Third echelon is retailers or open market, which are the places of commerce where the fruit is bought from intermediaries or producers, to sell it at retail or for the consumption of the households. Price paid to the producer increases according the chain reach the final customer. Finally, the retailer sets a sale price that is also given by the supply-demand relationship and the expected profit-margin, until product reaches households.
In addition, it exists a deterioration period identified between the time when fruit is harvested and the time when it is delivered to the customer, which affects the product price. In this case the fruit storage time in the producer's facilities is one day, which reduces the deterioration risk. The small producer empirically selects the good quality fruit at the time of harvest. However, the final classification products are not in an optimum harvest point. There is a probability that the product is not accepted as a premium by the customer (intermediary or retailer) according to quality of the product, and based on its appearance which is an empirical practice accepted by producers, intermediaries and retailers. Perishability is included in the model as a deterioration occurrence probability in two instances: the first one in the producer-intermediary flow, and the second one in the intermediary-retail flow. It defined in the model with parameters PROBjk and PROBJd respectively. These parameters are calculated based on the occurrence historical behavior in a defined period of time. They are included in affecting the incomes in the objective function proposed in the mathematical model.
On the other hand, the sale price determines the decision to harvest or not. If the price in the market meets the expectations or target price expected by the producer, the decision to harvest is made; on the contrary, if the price is lower than the target, the small farmer decides not harvest.
Figure 1 shows the distribution flows that occur in this supply chain. Producer can reach the intermediary and / or retailer and the intermediary to the retailer.

The model's purpose is to optimize flows from producers to intermediaries and retailers, as well as flows from intermediaries to retailers.
However, it is important to understand the decision process making by producers to harvest or not. It can be seen in Figure 2.

Following general conditions are defined in the harvest making decision process:
Plots with trees in productive stage
Harvest frequency depends primarily on the price condition in the market, that is, whether the price is accepted or not by the small producer.
There is a price for the intermediary and a different price for the retailer.
Price can change day by day
Producer decides the amount to be harvested according to the price convenience.
Supply and demand are equal
It is important to take in account that the harvest operation carried out by small producers is low in volume. It allows them to activate the harvest according to the price behavior. In practice term, labor is readily available, and many times it corresponds to the family members. In addition, the price behavior is easily known on a daily basis in reality terms, from the direct consultation with the buyer. The small farmers informally decide to harvest or not according to their criteria: whether the price covers their costs or not. It is also necessary to clarify that the costs are estimated empirically and their calculation does not have a rigorous system.
Logical representation to describe the decision-making process is shown below:
PREIjkl = Producer's sale price to intermediary k of product j on day 1.
PREOBk = Producer expected target price to sell to the intermediary k
PREDjdi = Producer's sale price to the retailer d of the product j on the day 1.
PREOBd = Producer expected target price to sell to the retailer d.
QCji = Quantity to be harvested from product j in plot 1.
DEMINjkl = Product demand j by the intermediary k the day 1.
DEMDEjdl= Product demand j by the retailer d the day 1.
CAPil =Production capacity in the plot i in the day 1.
Following logical relations can be formulated:

4. Mathematical Model
4.1. Sets

4.2. Parameters
Table 2 and Table 3 lists the parameters used by the model and variables used by the model.


4.3. Objective function
Maximize the producer profit

4.4. Constraints
Production capacity constraint: The amount harvested Yjil is dependent on the area of the plots harvested in the day (APiji) and the expected harvest (CEij).

Harvesting capacity constraint: The amount of product harvested from each plot on day l, must be less or equal to the capacity of daily harvest of each plot.

Dispatch capacity constraint: The dispatch capacity CAPDil of plot i on day l, must be greater or equal to the quantity of quality product q dispatched on the day 1, from each plot i to the intermediary k and to the retailer

Harvest balance and dispatch constraints: Harvest capacity Yjil of product j in the plot i in the day 1, must be greater or equal to the quantity of product j of quality q dispatched on day l, from each plot to the intermediary and to the retailer.

Quantity packed constraint: The quantity of lumps packages is limited by the amount of labor hours available to harvest and pack on the day.

Demand satisfaction of each client Intermediary: If price is accepted, all the dispatches to the intermediary must be greater or equal to the demand of the intermediary clients.

Satisfaction of the demand of each retailer: If price is accepted, all shipments to the retailer must be greater or equal to the demand of retail customers.

Area sown balance constraint: The harvested area of each plot i in the planning horizon, is limited by the total area planted.

Restrictions of inventory balance: It is assumed that the producer at the time of the start of the planning period in 1= 1 does not have inventory (The harvest in period 1 is equal to the inventory at the end of that period plus the shipments to intermediaries and wholesalers during the period); and subsequently 1> 1 (The initial inventory of the period, plus the harvested in the period is equal to the final inventory of the period plus the brokers and retailers made in that period).
The inventory balance is expressed as follows:
Balance for L=1:

Balance for L>1:

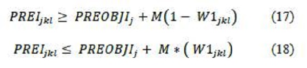
Restrictions of sale decision to the intermediary: It defines if the expected price is accepted in relation to a target price of the intermediary:

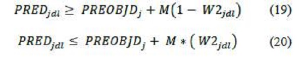
Restrictions of sale decision to the retailer: It defines if the expected price is accepted in relation to a target price of the retailer:

Harvest decision restrictions and shipping to the broker: Defines if it is harvested to deliver to the broker:

Restrictions of harvest and shipment decision to the retailer: It defines if it is harvested to deliver to the retailer.

Types of variables

5. Hierarchical decomposition by Dominant Areas
There are dominant relationships in organizations that should be considered in modeling. That is, hierarchized decisions should be included in the model. Therefore, it is necessary establish coordination mechanism between different areas and determine the dominant area or higher hierarchy. According to [10], in a hierarchical dominant relationship a total or obligatory coordination is reached, given that the dominated has no possible interference in the other area. It also identifies strict dominance when there is no possibility of negotiation and weak dominance if there is one. In the modeled study case, it is a strict dominance of the price because determines the harvest decision. The restrictions of the model include these conditions of dominance that determine the decision to harvest by the small product.
In Figure 3 the price dominance process is schematized to achieve supply chain optimization. In this sense, prices determine the optimization of harvest planning. Prices are given by the market, in this case defined by intermediaries and retailers.
The optimization of the model is achieved according to the utility obtained when the producer decides to harvest according to the prices offered by the market. Based on this scenario, the following aspects are defined:
The harvest depends directly on the recurrent price.
The price parameter is the one that dominates the decision to harvest and the price depends on the dominant variable, demand.
In this case the harvest of fruits (small producer) depends on the market price conditions (Intermediary -retailer) to make the decision to harvest.
Product availability in this case is not a sufficient condition to harvest, but it is necessary to make the decision to do so. The model is considered implicitly hierarchical, because they are not formulated as separate models, in the deterministic version, but rather the price is linked as a restriction that dominates the availability restriction.
In this case, the dominance of the intermediary-retailer, which adjusts to the fact of the optimal solution of the harvest planning model, is subject to the dominance of the intermediary and retailer over price fixing.
6. Results
Data used in the mathematical model correspond to a sample of information obtained through direct consultation with 99 small producers, 5 intermediaries and 7 retailers belonging to a fruit chain located in the Center of Valle de Cauca in Colombia.
The model is developed in a mathematical programming language AMPL and solved with CPLEX. The Solver reports 5 670 variables: 420 binary variables, 5250 linear variables. 5782 constraints, all linear; 28500 non-zeros, 1281 equality constraints, 4501 inequality constraints and 1 linear objective; 4 830 non-zero. It is observed that in the 7-days planning horizon, 16600 kilos of lemon, 39430,4 kilos of orange and 1369,6 kilos of tangerine are dispatched, for a total of 57 400 kilos of product during the seven days of planning (Figure 4). The price behavior in the analyzed period was better for the orange, followed by the price of the lemon and finally the tangerine. With this distribution of shipments per product and plots, the profit shown by the maximization model is USD $57.032,09 during the 7 days of planning.

Global production distributed by plots and product is shown below in Figure 5.

Fruit production as previously described, can be destined to the retailer or the intermediary according to the price convenience offered to the small producer. The producer makes the decision to serve the most convenient market in terms of price. Figure 6 shows the product distribution for each destination according to the accepted price by the small producer. For the planning period studied, the model allocates to the intermediaries 1200 kilos and to the retailers 56200 kilos of fruit.

According to the model results, it is observed that due to the price acceptance or rejection, it was not necessary to harvest in each of the ten available plots. The prices offered by the intermediaries and retailers do not reach the expected by the producers. In consequence, the model decides not to harvest in some plots.
Figures 7 and 8 show the plots to be harvested to meet the accepted prices of the retailer, and the plots to be harvested to serve the intermediaries requirements.


A more detailed prices analysis indicates that both for the the highest offered by retailers (See Figures 11, 12 and intermediary and retailer, a higher price is maintained, in 13). most of the planning horizon for the orange, followed by the lemon and finally tangerine, as can be seen in Figures 9 and 10.


Regarding model results on price acceptance level, it is possible to observe how the accepted price correspond to the highest offered by retailers (See Figures 11, 12 and 13).



As previously mentioned, it is possible to observe that the best prices are offered by the retailer 6, so that their requirements are supplied during five days of the seven days of the planning horizon. Retailer 5 is attended on days 6 and 7 of the planning horizon and it is observed that it is the second best offer. In the case of orange, model attend retailer 7, during every day of the week. It can be seen that this retailer has the best offer in the market.
With the tangerine, the model defines meet the request of the retailer 1. The higher prices are offered by the retailer 1 and 2, then the model attend to the retailer 1 due to the higher profitability obtained according to the costs reported. On the other hand, when performing the same analysis with intermediaries, it can be observed that this price acceptance relationship is maintained. As reference, see Figure 14.

In this case, intermediary 1 is attended on day 5 and intermediary 2 on days 1, 2, 3, 4 and 7. Price offer during these days for each of these intermediaries are the best price for the lemon in this case.
Three types of fruit were dispatched from the 10 plots with available products during different days in the planning period. The quantities shipped respond to the availability of the product, and to the acceptance of the price offered by the intermediary and the retailer. (See Figures 15 and 16).


Dispatches were made from each plot during the seven days to reach an optimal profit considering the different restrictions.
In general terms, it is observed that during the 7 days of the planning period all the plots meet the customers' requirements. Although, it is not possible to do it for all the products because the price does not adjust to the one expected by the small producers.
7. Conclusions
The planning model proposed allows assigning in an appropriate way the dispatch from different plots to the intermediaries and retailers that offer the most profitability to the supply chain studied.
During the planning period of 7 days, the 10 plots studied serve different intermediaries and retail customers.
Regarding the quantity shipped during the planning period, the model assigns 2,09% to the commercialization through the intermediary and 97,91% to the retailer. This is due to the best price offer that the retailer regularly makes for the purchase of the product.
Regarding the plots assigned for dispatch during the seven days of planning, it is observed that the ratio of dominance of the price to the decision to harvest is fulfilled.
In general, it can be said that the model allows to plan the harvesting operations taking into account the best price conditions. In effect, the sale can be determined in consideration of the best price offered by the marketing channels.
A question not solved in this article refers to what may happen to the producer when the decision is not to attend to an order because the price is not as expected. In this case, the total production capacity expected is 70000 kilos, however only 57400 kilos can be dispatched, corresponding to 82% of the estimated capacity. Although it is an acceptable share, small producers in this case would lose 18% of their production. This analysis should be the subject of future reach because this situation may discourage fruit production among small farmers.
The model application implies developing a practical and even instrumental instance through software, so that it is easy to use by the small producer. This also implies the need to break down cultural barriers to make the leap to this way of working. This should be considered as a future work.
In any case, this work allows to show the benefits that harvest planning can offer to small producers to meet the demands of products at the best prices.
References
“Commodities and Development Report 2015 - Smallholder Farmers and Sustainable Commodity Development,” United Nations Conference on Trade and Development, Tech. Rep.UNCTAD/SUC/2014/5, 2015 [Online]. Available: https://unctad.org/system/files/official-document/suc2014d5_en.pdf
G. Rapsomanikis, “The economic lives of smallholder farmers: An analysis based on household data from nine countries,” Food and Agriculture Organization of the United Nations, Roma, FAO Tech. Rep, 2015 [Online]. Available: https://www.fao.org/3/i5251e/i5251e.pdf
R. Christen, J. Anderson, “Segmentación de hogares de pequeños agricultores: Cómo satisfacer el abanico de necesidades financieras de las familias agricultoras”, Enfoques, no. 85, 2013[Online]. Available: https://www.cgap.org/sites/default/files/Focus-Note-Segmentation-of-Smallholder-Households-April-2013-Spanish.pdf
R. Young, P. Esqueda, “Vulnerabilidad de la cadena de suministro: consideraciones para el caso de América Latina,” Academia. Revista Latinoamericana de administración, no. 34, 63-78, 2005.
R. Ballou, Logística, administración de la cadena de suministro. USA: Pearson. Prentice-Hall, 2004.
S. Chopra, P. Meindl, Administración de la cadena de suministro. México: Pearson Education, Inc, 2013.
S. H. Huan, S. K. Sheoran, G. Wang, “A review and analysis of supply chain operations reference (SCOR) model,” Supply Chain Management, vol. 9 no. 1, pp. 23-29, 2004, doi: https://doi.org/10.1108/13598540410517557
R. Terrazas Pastor, “Planificación y programación de operaciones,” Revista Perspectivas, vol. 28, pp. 7-32, 2011.
J. C. Osorio, T. G. Motoa, “Planificación jerárquica de la producción en un job shop flexible”, Revista Facultad de Ingeniería, vol. 44, pp.158-171, 2014.
J. J. Bastidas, Optimización de decisiones empresa-riales: principios de descomposición, jerarquización y dualidad. Col: Editorial Universidad del Valle, (2013).
C. T. Zhang, L. P. Liu, “Research on coordination mechanism in three-level green supply chain under non-cooperative game,” Applied Mathematical Modelling, vo. 37, no. 5, 3369-3379, 2013, doi: https://doi.org/10.1016/j.apm.2012.08.006
O. Ahumada, J. R. & Villalobos, “Operational model for planning the harvest and distribution of perishable agricultural products,” International Journal of Production Economics, vol. 133, no. 2, pp. 677-687, 2011, doi: https://doi.org/10.1016/j.ijpe.2011.05.015
W. Zhang, W. E. Wilhelm, “OR/MS decision support models for the specialty crops industry: a literature review,” Annals of Operations Research, vol. 190, no. 1, pp. 131-148, 2009, doi: https://doi.org/10.1007/s10479-009-0626-0
R. A. Broekmeulen, “Operations management of distribution centers for vegetables and fruits,” International Transactions in Operational Research, vol. 5, no. 6, pp. 501-508, 2006, doi: https://doi.org/10.1111/j.1475-3995.1998.tb00132.x
M. Blanco, G. Masini, N. Petracci, J. A. Bandoni, “Operations management of a packaging plant in the fruit industry,” Journal of Food Engineering, vol. 70, pp. 299-307, 2005, doi: https://doi.org/10.1016/j.jfoodeng.2004.05.075
F. G. Ortmann, J. H. Van Vuuren, F. E. Van Dyk, “Modelling the South African fruit export infrastructure: A case study,” ORION, vol. 22, no. 1, pp.35-57, 2006, doi: https://doi.org/10.5784/22-1-32
S. Jena, M. Poggi, “Harvest planning in the Brazilian sugar cane industry via mixed integer programming,” European Journal of Operational Research, vol. 230, no. 2, pp. 374-384, doi: https://doi.org/10.1016/j.ejor.2013.04.011
C. Herrera-Cáceres, F. Pérez-Galarce, E. Álvarez-Miranda, A. Candia-Véjar, “Optimization of the harvest planning in the olive oil production: A case study in Chile,” Computers and Electronics in Agriculture, vol. 141, pp. 147-159, 2017, doi: https://doi.org/10.1016/j.compag.2017.07.017
E. López Milán, S, M, Fernández, L. M. Aragonés, “Sugar cane transportation in Cuba, a case study,” European Journal of Operational Research, vol. 174, no. 1, pp. 374-386, 2006, doi: https://doi.org/10.1016/j.ejor.2005.01.028
J. K. Gigler, E. M. T. Hendrix R. A. Heesen, V. G. W. van den Hazelkamp, G. Meerdink, “On optimization of agri chains by dynamic programming,” Eur. J. Oper. Res., vol. 139, no. 3, pp. 613-625, 2002, doi: https://doi.org/10.1016/S0377-2217(01)00191-6
Z. Viancha, “Modelos y configuraciones de cadenas de suministro en productos perecederos,” Ingeniería y desarrollo, vol. 32, no. 1, 2014, doi: https://doi.org/10.14482/inde.32.1.4577
B. H. Nagaratnam, M. E. Rahman, A. K. Mirasa, M. A. Mannan, S. O. Lame, “ Workability and heat of hydration of self-compacting concrete incorporating agro-industrial waste,” Journal of Cleaner Production, vol. 112, pp. 882-894, 2016, doi: https://doi.org/10.1016/j.jclepro.2015.05.112
V. Salin, “Information technology in agri-food supply chains,” Int. Food Agribus. Manag. Rev., vol. 1, no. 3, pp. 329-334, 1998, doi: https://doi.org/10.1016/S1096-7508(99)80003-2
H. Tsubone, R. Muramatsu, M. Soshiroda, “Designing an effective production system for processing agricultural products,” Int. J. Prod. Res., vol. 21, no. 1, pp. 17-30, 1983, doi: https://doi.org/10.1080/00207548308942333
J. H. Dorfman, A. Havenner, “State-space modeling of cyclical supply, seasonal demand, and agricultural inventories,” American Journal of Agricultural Economics, vol. 73, no. 3, pp. 829-840, 1991, doi: https://doi.org/10.2307/1242835
Notes
Author notes
a Email: leonardo.rivera.c@correounivalle.edu.cobjuan.bravo@correounivalle.edu.cocandres.puertas@correounivalle.edu.codyenny.falla@correounivalle.edu.co