Artículos
Pandeo crítico de vigas esbeltas con rigidizadores tipo delta diseñadas con AASHTO sometidas a cargas concentradas
Critical buckling of plate girders with delta stiffeners designed with AASHTO subjected to patch loading
Pandeo crítico de vigas esbeltas con rigidizadores tipo delta diseñadas con AASHTO sometidas a cargas concentradas
Revista UIS ingenierías, vol. 21, núm. 2, pp. 147-154, 2022
Universidad Industrial de Santander
Recepción: 21 Octubre 2021
Aprobación: 15 Marzo 2022
Resumen: En la actualidad existen diferentes opciones para incrementar la resistencia última de vigas esbeltas sujetas a cargas concentradas. Algunas de estas alternativas incluyen el uso de rigidizadores transversales cercanamente espaciados y la utilización de rigidizadores longitudinales. Sin embargo, estudios recientes han demostrado que la resistencia también mejora mediante el uso de rigidizadores tipo delta, los cuales consisten en dos láminas soldadas entre alma de la viga y la aleta cargada. Este trabajo se enfoca en el estudio del comportamiento de pandeo elástico de vigas esbeltas diseñadas con normas AASHTO con rigidizadores tipo delta sometidas a carga concentrada. El estudio se realiza a través del análisis de autovalores usando el método de elementos finitos. Se realiza un análisis paramétrico para determinar la influencia de diferentes variables geométricas sobre el coeficiente de pandeo de la viga. Finalmente, a partir de los resultados obtenidos se sugieren algunas recomendaciones de diseño.
Palabras clave: coeficiente de pandeo, pandeo lineal, vigas esbeltas, rigidizadores delta, carga concentrada, elementos finitos, estructuras de acero, empujes sucesivos, puentes, estabilidad estructural.
Abstract: Currently, there are different options to increase the ultimate resistance of plate girders subjected to patch loading. Some of these alternatives include the use of closely spaced transverse stiffeners and the use of longitudinal stiffeners. Nevertheless, recent investigations have demonstrated that the resistance is also improved by using delta stiffeners, which are obtained by welding two plates between the web plate and the loaded flange. This paper aims at studying the elastic buckling behavior of slender plate girders designed following AASHTO norms with delta stiffeners subjected to patch loading. The research is carried out by means of eigenvalue analysis using the finite element method. A parametric study is performed to evaluate the influence of various geometrical parameters on the buckling coefficient of the girder. Finally, design recommendations are suggested based on the obtained results.
Keywords: buckling coefficient, linear buckling, plate girders, delta stiffeners, patch loading, finite elements, steel structures, incremental launching, bridges, structural stability.
1. Introducción
En la actualidad, el método de los elementos finitos se ha convertido en una herramienta poderosa para el estudio lineal y no lineal de elementos mecánicos y estructuras metálicas [1], [2], [3], [4].
Una forma común de construcción de puentes de acero es el método de empujes sucesivos (incremental launching method), el cual consiste en trasladar el tablero del puente a través de las zapatas de deslizamiento y de las pilas de soporte [5], [6], [7]. Para vigas de acero, se genera una reacción vertical sobre una de las aletas. Este tipo de fuerza se conoce como carga concentrada, y, dependiendo de las propiedades geométricas y de material y de la longitud de la carga, puede ocasionar pandeo localizado sobre el alma de la viga.
Navarro-Manso et al. [8], [9] desarrollaron un nuevo método de lanzamiento de puentes, el cual es una forma económica y efectiva para erigir estas estructuras; sin embargo, encontraron algunos inconvenientes durante el lanzamiento, uno de estos es el fenómeno asociado con las cargas concentradas sobre las aletas comprimidas de las vigas en I que forman parte de los módulos lanzados, que puede inducir a inestabilidad localizada en las almas. Este efecto ha sido ampliamente estudiado; algunos autores han empleado rigidizadores longitudinales para aumentar la resistencia última a cargas concentradas y evitar un posible aumento en el espesor del alma. Graciano y Lagerqvist [10] hallaron expresiones para determinar el coeficiente de pandeo de almas sujetas a carga concentrada para rigidizadores abiertos y cerrados, además, dieron recomendaciones para la posición relativa de los mismos. Maiorana et al. [11] estudiaron la posición óptima de diferentes tipos de rigidizadores, la cual se define como el lugar sobre el alma en el cual el rigidizador genera el mayor aumento sobre el valor del coeficiente de pandeo.
Una de las alternativas para incrementar la resistencia de la viga y evitar el pandeo localizado es el uso de rigidizadores longitudinales en vigas esbeltas sujetas a carga concentrada. En la actualidad, códigos internacionales como el EC3: Part 1-5 [12] establecen que la resistencia de una viga esbelta sujeta a carga concentrada se obtiene calculando el valor del parámetro de esbeltez, un factor adimensional que depende de la resistencia a fluencia y de la carga crítica de pandeo. En los últimos años, muchos investigadores se han encargado de estudiar el efecto de la rigidez longitudinal.
Graciano y Lagerqvist [10] desarrollaron expresiones para determinar el coeficiente de pandeo (una variable directamente proporcional a la carga crítica) de vigas rigidizadas longitudinalmente sujetas a cargas concentradas. Adicionalmente, a través de un análisis de pandeo elástico por medio de elementos finitos, Maiorana et al. [11], empleando diferentes tipos de rigidizadores longitudinales, establecieron la posición óptima para incrementar el coeficiente de pandeo de vigas esbeltas.
En el método propuesto por Navarro-Manso et al. [8], [9] se utilizan aletas delta para mejorar la rigidez lateral y la resistencia a la flexión de la estructura. Estas aletas consisten en 2 placas soldadas a la aleta comprimida y al alma de la viga en la porción cercana a dicha aleta (ver figura 1). Este tipo de rigidizadores han sido objeto de investigación por diferentes autores. Arabzadeh y Varmazyari [13] analizaron algunos parámetros geométricos para vigas con rigidizadores tipo delta, sometidas a carga concentrada excéntrica, y encontraron los mejores valores de posición y espesor de los rigidizadores para el caso de pandeo de la viga. El Masri y Lui [14], [15], [16] realizaron una investigación numérica y analítica para evaluar el efecto de las propiedades de la sección transversal de los rigidizadores tipo delta sobre el pandeo lateral y torsional de la viga.

Estudios recientes han demostrado que la resistencia última de vigas delta sometidas a cargas concentradas es superior a la de vigas rigidizadas longitudinalmente [17], [18], esto debido a que este tipo de rigidizadores permite un mayor control de las deformaciones del ala sobre la que se aplica la carga. Graciano et al. [19] investigaron el comportamiento crítico de vigas delta sometidas a cargas concentradas utilizando dimensiones idealizadas.
Por lo tanto, en esta investigación se realiza un análisis paramétrico de vigas deltas con gran esbeltez sometidas a cargas concentradas. El principal objetivo es determinar la posición óptima y la geometría de los rigidizadores delta que maximiza el coeficiente de pandeo, y en consecuencia la carga crítica. Las dimensiones de las vigas son determinadas usando el manual de diseño de puentes AASHTO [20]. La investigación se realiza aplicando el método de elementos finitos con el software ANSYS [21]; se determina la carga crítica de pandeo mediante un análisis de autovalores de vigas esbeltas rigidizadas con aletas delta sometidas a carga concentrada. Finalmente, a partir de esto se realiza un análisis comparativo de carga crítica y modo de pandeo para este tipo de rigidizadores. Al final, se realizan algunas recomendaciones para el empleo de este tipo de refuerzo.
2. Metodología
Para obtener el coeficiente de pandeo de una viga rigidizada con rigidizadores delta, se empleó un modelo paramétrico desarrollado usando el método de los elementos finitos. A continuación, se presenta una breve descripción de la metodología empleada para modelar el pandeo elástico de la viga con rigidizadores tipo delta.
2.1. Geometría
La figura 2 muestra la nomenclatura utilizada para definir las dimensiones geométricas de la viga. La tabla 1 presenta las propiedades geométricas y de material de la viga utilizada durante el modelado por elementos finitos.


Como se puede apreciar, el análisis de pandeo elástico lineal se realizó empleando una viga de sección esbelta. Es importante mencionar que las siguientes dimensiones se mantienen constantes durante todo el análisis: la longitud de la viga α, altura de la viga hw, espesor del alma tw, longitud de la carga concentrada ss, ancho de las aletas bf, espesor de las aletas tf. Esto debido a que las variables que serán objeto de estudio son la posición relativa del rigidizador entre la aleta cargada y el alma d/hw, el ancho relativo b'/bf y la relación de espesores entre los rigidizadores delta y el alma de la viga tst/tw.
Es importante destacar que las dimensiones mostradas previamente fueron seleccionadas con el propósito de cumplir los requisitos de proporciones geométricas descritos en la AASHTO [20] para vigas con rigidización longitudinal. En el caso del alma, se fijó una altura de hw = 3200 mm y un espesor de tw = 20 mm, esto con la finalidad de trabajar con vigas esbeltas de tamaño similar a las empleadas en la construcción de puentes y de satisfacer el requisito de esbeltez mínima hw/tw >150 [20].
Adicionalmente, las aletas fueron diseñadas usando un ancho de bf = 640 mm y un espesor de tf = 32 mm, esto para cumplir los límites de proporción de la aleta (bf /tf <24, tf /tw >1,1, hw/tf <6) sugeridos en la AASHTO [20].
2.2. Condiciones de borde
Las condiciones de borde establecidas para el análisis de pandeo elástico fueron las mismas utilizadas por Graciano y Lagerqvist [10]. El efecto de los rigidizadores verticales en los extremos del panel de la viga se modeló utilizando restricciones cinemáticas. A lo largo de estos extremos -incluidas las aletas, rigidizadores delta y alma- se restringieron los desplazamientos en las direcciones y y z, junto con la rotación fuera del plano en dirección x, permitiendo solo una rotación de cuerpo rígido alrededor del eje z. La viga se encuentra simplemente soportada en los apoyos A y B, y permite el desplazamiento horizontal en B. La carga concentrada se aplicó como una fuerza remota distribuida a lo ancho de toda la aleta superior a una distancia ss, permitiendo un desplazamiento solo en la dirección vertical y, con restricción de desplazamientos en los ejes x y z y todas las rotaciones.
2.3. Modelo numérico y validación
Una vez definidas las propiedades de la viga y sus condiciones de borde, se desarrolló un modelo numérico, en el cual la carga crítica Fcr se obtiene a partir de un análisis de autovalores usando el programa de elementos finitos ANSYS [21]. Adicionalmente, los componentes de la estructura (alma, aletas y rigidizadores delta), fueron modelados como placas de espesor delgado empleando el elemento S181, un elemento de cuatro nodos con seis grados de libertad en cada nodo [21].
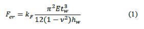
De acuerdo con la teoría clásica de pandeo [10], la carga crítica se define tal como se muestra en la ecuación 1.

Donde kf es el coeficiente de pandeo de una variable directamente proporcional a la carga crítica Fcr, la cual depende de las condiciones de borde, el tipo de esfuerzo y de las proporciones geométricas de alma.
Los resultados de este modelo fueron comparados con los resultados numéricos obtenidos por Graciano y Lagerqvist [10] para vigas sin rigidizadores, y se obtuvo una diferencia máxima de 2 % respecto a los resultados de coeficiente de pandeo kf reportados.
Finalmente, luego de realizar un análisis de sensibilidad de la malla (ver figura 3), utilizando como geometría base una viga con rigidizadores delta de espesor tst = 20 mm, ancho b'= 160 mm y posición relativa de d/hw = 0,1, se seleccionó una malla de 1484 elementos (ver figura 4).


3. Resultados
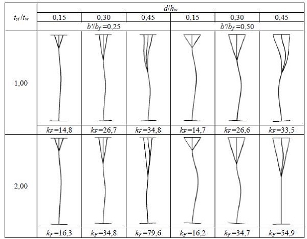
Para determinar la influencia de los parámetros geométricos de los rigidizadores tipo delta sobre el coeficiente de pandeo, se realizó un análisis paramétrico. Como se mencionó anteriormente, las variables consideradas para ejecutar dicho análisis fueron la posición relativa d/hw, el ancho relativo b'/bfy la relación de espesores entre los rigidizadores delta y el alma de la viga tst /tw. Adicionalmente, para efectos prácticos, los resultados fueron separados de acuerdo al ancho relativo b'/bf de los rigidizadores (ver figuras 5 y 6).


La tabla 2 muestra una recopilación de la variación de valores geométricos usados durante el análisis. De igual forma es importante mencionar que para bajos valores de d/hw, se puede descartar la influencia del espesor tst/tw sobre el coeficiente de pandeo kf. Sin embargo, para valores altos de d/hw, existe un incremento considerable de kF a medida que aumenta el espesor tst/tw. Una muestra de esto es que, para posiciones óptimas del rigidizador, el coeficiente de pandeo aumenta aproximadamente entre un 129 % (b'/bf =0.25) y un 77 % (b'/bf =0,50) cuando el espesor se incrementa de tst /tw= 1,00 a 2,00.

Así mismo, se puede apreciar que el incremento del coeficiente de pandeo kF está asociado al ancho de los rigidizadores delta b'/bf, esto se aprecia específicamente cuando d/hw ≥0,40, donde se obtiene que a menor ancho de los rigidizadores b'/bf, mayor será el valor de kF. Un ejemplo de esto, es que para tst ltw= 2,00 y d/hw = 0,45, el valor de kF es 1,5 veces más alto si el ancho se reduce de b'lbf = 0,50 a 0,25.
Un comportamiento claramente afectado por las propiedades geométricas de los rigidizadores delta es el modo de pandeo de la viga sujeta a carga concentrada. En la figura 7 se muestra una vista de corte del modo de pandeo en la mitad de la viga para diferentes valores de espesor, posición y ancho de los rigidizadores.

Para rigidizadores de bajo espesor tst/tw= 1,00, el modo de pandeo se ve visiblemente afectado cuando aumenta la posición relativa d/hw, en este caso se genera pandeo en la región superior entre la aleta cargada y los rigidizadores delta. Mientras que para valores bajos de tst/tw y d/hw se puede observar en la figura 7 que existe un mayor control del pandeo en la región superior del alma, obteniendo solo una abolladura en la región inferior del alma.
Para el caso de tst/tw= 2,00 y d/hw= 0,15 y 0,30, los resultados demuestran que el pandeo solo ocurre en la parte baja de la viga, mientras que los rigidizadores delta permanecen sin ninguna deformación. Sin embargo, para tst/tw= 2,00 y d/hw= 0,45, se puede observar que existen dos regiones de pandeo, una abolladura entre la aleta superior y los rigidizadores y otra en la región inferior.
También es importante mencionar que, para cualquier valor de espesor y posición relativa, el modo de pandeo no se encuentra visiblemente afectado por el ancho b'/bf de los rigidizadores.
Para finalizar, vale la pena destacar que soldar dos láminas de acero para generar el rigidizador delta aumenta los costos del material y del proceso de manufactura asociados a la fabricación de estas vigas. En la práctica, Navarro-Manso et al. [8], [9] utilizaron rigidizadores tipo delta colocados en una posición d/hw≈0,10. Además, un rigidizador colocado a una distancia d/hw= 0,45 aumentaría considerablemente tanto el peso de la estructura como los costos de material.
4. Conclusiones
En este trabajo de investigación se estudió el comportamiento de pandeo elástico de vigas esbeltas con rigidizadores tipo delta sometidas a carga concentrada. A partir de los resultados obtenidos de se presentan las siguientes conclusiones:
Dos tipos de arreglos rigidizadores tipo delta fueron evaluados. Un primer arreglo con rigidizadores soldados con ancho de b'/bf =0,25 y otro arreglo con rigidizadores soldados a los extremos de la aleta cargada b'/bf =0,50. Los resultados demuestran que, para posiciones bajas de d/hw<0,40, ambos rigidizadores presentan resultados similares de coeficiente de pandeo kF.
La magnitud del coeficiente de pandeo kF se ve influenciada por la posición del rigidizador d/hw; para configuraciones de ancho b'/bf = 0,25, la mejor posición es d/hw = 0,40, mientras que para rigidizadores de ancho b'/bf = 0,50, la posición óptima es d/hw = 0,45. Aunque estos valores sean los mejores para cada configuración, su aplicación es impráctica a nivel constructivo, ya que estos están cerca de superar la mitad del alma; no obstante, se puede observar que el incremento del coeficiente de pandeo es lo suficientemente significativo para valores de d/hw = 0,10 a 0,30.
La relación de espesores tst/tw tiene gran influencia sobre el coeficiente de pandeo kF, para valores superiores de d/hw>0,30.
El modo de pandeo de las vigas esbeltas se encuentra influenciado por las propiedades geométricas de los rigidizadores tipo delta. Esto se puede observar dado que, a mayor espesor de los rigidizadores tst/tw y a menor ancho relativo b'/bf, existe un mejor control de pandeo en la región superior del panel de la viga.
Referencias
A. Ayestarán, C. Graciano, O. González-Estrada, “Resistencia de vigas esbeltas de acero inoxidable bajo cargas concentradas mediante elementos finitos,” Revista UIS Ingenierías, vol. 16, no. 2, pp. 61-70, 2017, doi: https://doi.org/10.18273/revuin.v16n2-2017006
O. A González-Estrada, S. Natarajan, C. Graciano, “Reconstrucción de tensiones para el método de elementos finitos con mallas poligonales,” Revista UIS Ingenierías, 2017, vol. 16, no. 1, pp. 23-34, 2017, doi: https://doi.org/10.18273/revuin.v16n1-2017003
O. González-Parra, G. Martínez-Bordes, C. A. Graciano-Gallego, “Evaluación paramétrica de las principales variables geométricas en el diseño de un tren de aterrizaje para un avión no tripulado utilizando el método de los elementos finitos,” Revista UIS Ingenierías, vol. 19, no. 2, pp. 149-160, 2020, doi: https://doi.org/10.18273/revuin.v19n2-2020017
E. Araque, C. Graciano, D. Zapata-Medina, O. A. González-Estrada, “Compressive strength of partially stiffened cylinders at elevated temperatures,” Revista UIS Ingenierías, vol. 19, no.1, pp. 131-142, 2020, doi: https://doi.org/10.18273/revuin.v19n1-2020013
M. Rosignoli. Bridge launching. 2nd Ed. London, U.K.: Thomas Telford Books, 2002.
M. E Ponton., A. F Robalino, T. A. Sánchez, “Stability considerations for the construction of steel I-girder bridges using the incremental launching method,” InAnnual Stability Conference, Structural Stability Research Council, Orlando, Florida, April 12-15, 2016, pp. 1-19.
T. A. Sánchez, A. F. Robalino, C. Graciano, “Interaction between patch loading, bending, and shear in steel girder bridges erected with the incremental launching method,” InProceedings, Annual Stability Conference, Structural Stability Conference, Structural Stability Research Council, Baltimore, Maryland, April 10-13, 2018, pp. 1-15.
A. Navarro-Manso, J. del Coz, M. Alonso, E. Blanco, D. Castro, “New launching method for steel bridges based on a self-supporting deck system: FEM and DOE analyses,” Automation in Construction, vol. 44, pp. 183-196, 2014, doi: https://doi.org/10.1016/j.autcon.2014.04.008
A. Navarro-Manso , J. J. del Coz Díaz, M. Alonso-Martínez, D. Castro-Fresno, F. P. A. Rabanal, “Patch loading in slender and high depth steel panels: FEM-DOE analyses and bridge launching application,” Engineering Structures, vol. 83, pp. 74-85, 2015, doi: https://doi.org/10.1016/j.engstruct.2014.10.051
C. Graciano, O. Lagerqvist, “Critical buckling of longitudinally stiffened webs subjected to compressive edge loads,” Journal of Constructional Steel Research, vol. 59, no. 9, pp. 1119-1146, 2003, doi: https://doi.org/10.1016/S0143-974X(03)00055-5
E. Maiorana, C. Pellegrino, C. Modena, “Influence of longitudinal stiffeners on elastic stability of girder webs,” Journal of Constructional Steel Research, vol. 67, n.° 1, pp. 51-64, 2011, doi: https://doi.org/10.1016/j.jcsr.2010.07.005
Eurocode 3: Design of steel structures, Part 1-5: General rules, Supplementary rules for planar plated structures without transverse loading, ENV 1993-1-5, 2006.
A. Arabzadeh, M. Varmazyari, “Strength of I-girders with Delta stiffeners subjected to eccentric patch loading,” Journal of Constructional Steel Research, vol. 65, n.° 6, pp. 1385-1391, 2009, doi: https://doi.org/10.1016/j.jcsr.2009.01.009
O. Y. El Masri, E. M. Lui, “Cross section properties and elastic lateral-torsional buckling capacity of steel delta girders,” International Journal of Steel Structures, pp. 1-18, 2018, doi: https://doi.org/10.1007/s13296-018-0175-y
O. Y. El Masri , E. M. Lui, “Influence of imperfections on the flexural resistance of steel delta girders,” Advanced Steel Construction, vol. 15, no. 2, pp. 157-164, 2019, doi: http://dx.doi.org/10.18057/IJASC.2019.15.2.5
O. Y. El Masri , E. M. Lui, “Behavior and design of steel delta girders for flexure and shear,” Journal of Structural Engineering ASCE, vol. 147, no. 9, 04021141, 2021, doi: https://doi.org/10.1061/(ASCE)ST.1943-541X.0003107
N. Loaiza, C. Graciano, E. Casanova, “Nonlinear finite element analysis of delta hollow flange girders subjected to patch loading,” InStability and Ductility of Steel Structures 2019: Proceedings of the International Colloquia on Stability and Ductility of Steel Structures (SDSS 2019), Prague, Czech Republic, 2019, pp. 708-716, doi: https://doi.org/10.1201/9780429320248
T. Ripa-Alonso, L. López-de-Abajo, “The bottom triangular cell: A significant improvement for patch loading resistance in launched bridges,” ce/papers, vol. 4, pp. 237-242, 2021 https://doi.org/10.1002/cepa.1287
C. Graciano, M. González-Goés, D. Orozco, “Elastic buckling analysis of plate girders stiffened with triangular cell flanges under patch loading,” Structures, vol. 29, pp. 979-992, 2020, doi: https://doi.org/10.1016/j.istruc.2020.11.076
ASHTO LRFD Bridge Design Specifications, AASHTO. 7th ed., 2015.
Ansys Release 19 Elements Reference, ANSYS, 2018.
Notas
Notas de autor
a Correo electrónico: cagracianog@unal.edu.cobjudorozcoso@unal.edu.co.