Artículos
Modelo predictivo para el cálculo de la fracción volumétrica de un flujo bifásico agua-aceite en la horizontal utilizando una red neuron al artificial
A predictive model to calculate the holdup in horizontal biphasic water-oil flow using an artificial neuronal network
Modelo predictivo para el cálculo de la fracción volumétrica de un flujo bifásico agua-aceite en la horizontal utilizando una red neuron al artificial
Revista UIS ingenierías, vol. 21, núm. 2, pp. 155-164, 2022
Universidad Industrial de Santander
Recepción: 02 Noviembre 2021
Aprobación: 15 Febrero 2022
Resumen: Este artículo presenta la aplicación de una red neuronal artificial (RNA) para el desarrollo de un modelo capaz de predecir la fracción volumétrica de un flujo bifásico compuesto por agua y aceite mineral en una tubería horizontal. Se utilizan las velocidades superficiales de cada fluido y el diferencial de presión en la tubería como parámetros de entrada de la red neuronal artificial multicapa con retropropagación, mientras que la fracción volumétrica de los fluidos se utiliza como parámetro de salida en el entrenamiento de la misma. Los 56 datos experimentales con los que se trabajó se obtuvieron en el laboratorio LabPetro - CEPETRO-UNICAMP. Los resultados que arrojó el modelo predictivo con mejor rendimiento presentan un error absoluto medio porcentual (AAPE) de 3,01 % y un coeficiente de determinación R2 de 0,9964 utilizando 15 neuronas en la capa oculta de la red y la función de transferencia TanSig.
Palabras clave: flujo multifásico, fracción volumétrica, red neuronal artificial, velocidad superficial, industria 4.0.
Abstract: This paper presents the application of an artificial neural network (ANN) to develop a model able to predict the holdup of a two-phase flow composed of water and mineral oil in a horizontal pipe. The surface velocities of each fluid and the pressure differential in the pipe are used as input parameters of the multi-layer artificial neural network with back-propagation, while the volumetric fraction of the fluids is used as an output parameter in the training. The 56 experimental data were obtained in the laboratory LabPetro-CEPETRO-UNICAMP. The results of the predictive model with the best performance show a mean absolute error (AAPE) of 3.01 % and a coefficient of determination RA2 of 0.9964, using 15 neurons in the hidden layer of the network and the TanSig transfer function.
Keywords: artificial neural network, holdup, multiphase flow, surface velocity, Industry 4.0.
1. Introducción
La industria petrolera ha centrado su interés en el desarrollo de tecnologías enfocadas en sistemas actualizados para la medición precisa de flujo multifásico [1]; este se define como un flujo continuo de sustancias en determinados estados termodinámicos (sólido, líquido, gas), los cuales generan una capa de separación con mezcla entre las fases [2] o patrones característicos [3], [4], [5], [6] derivados de los parámetros fluidodinámicos iniciales del flujo en la vertical [7], [8] y en la horizontal [9], [10]. Los parámetros hidrodinámicos son identificados mediante la aplicación de distintas metodologías, tales como la impedancia eléctrica [11], variación de presión [12], ecos ultrasónicos [13] y análisis de imágenes ópticas [14].
Existen técnicas desarrolladas para determinar la fracción volumétrica de flujos multifase [15] con implementación de técnicas intrusivas y no intrusivas [16], con el fin de no modificar temporalmente la condición real del flujo. En [17] se estudió una técnica no intrusiva que cuenta con un sensor basado en la permitividad eléctrica del fluido, tomando como base tomografías de los patrones generados en el interior de la tubería con flujo bifásico aceite-agua. Para medir la presión diferencial y determinar la fracción volumétrica, [18] y [19] aplicaron una técnica de inteligencia artificial para identificar el régimen de flujo utilizando un transductor de presión diferencial de flujo multifásico. Una metodología para desarrollar sistemas VFM (caudalímetro virtual basado en datos) fue desarrollada en [20]; esta es capaz de estimar las tasas de flujo de fase con precisión a partir de los datos obtenidos en pruebas aplicando de manera directa una técnica de aprendizaje automático como las redes neuronales [21], [22].
La aplicación de técnicas computacionales dentro de los procesos industriales es uno de los paradigmas de la industria 4.0, particularmente en el sector de oil & gas [23], [24], [25]. Las técnicas de computación blanda fueron estudiadas en [26] para la medición de flujo multifásico.
En [27] se muestran los avances desarrollados en medidores de flujo multifase. De manera particular, en [28] se aplicó una metodología basada en el reconocimiento de patrones de distribución de altura de pulso de una red neuronal artificial (RNA), y se propuso un enfoque para la predicción independiente de la fracción volumétrica en flujos multifásicos, al igual que en [29], donde se innovó en el reconocimiento de patrones basados en las distribuciones de altura de los pulsos de rayos gamma (PHDs) por medio de la red neuronal. Cuatro modelos RBF (red neuronal de base radial) fueron desarrollados en [27], en los cuales se identifica de manera acertada cada régimen de flujo trifásico. En [30] se introdujo una red híbrida en la que se emplea un algoritmo de optimización para entrenar la red neuronal y obtener valores de error medio, así como la determinación de las velocidades de los fluidos [31].
El objetivo del presente estudio es investigar la viabilidad de la aplicación de redes neuronales artificiales (RNA) para la predicción de la fracción volumétrica de un flujo bifásico agua-aceite en una tubería horizontal. Para ello, se entrenan varias estructuras de redes neuronales y los resultados obtenidos son comparados, de manera que se pueda establecer la precisión del modelo predictivo generado al aplicar inteligencia artificial en flujos multifase.
2. Metodología experimental
Las pruebas experimentales fueron realizadas en las instalaciones del laboratorio experimental de petróleo Kelsen Valente Serra - LabPetro, localizado dentro del Centro de Estudios en Petróleo - CEPETRO, en la Universidad Estadual de Campinas - UNICAMP; dicha bancada es presentada esquemáticamente en la figura 1. LabPetro cuenta con dispositivos tecnológicos de punta, los cuales permiten desarrollar investigaciones a escala industrial.
![Bancada experimental LabPetro - CEPETRO - UNICAMP [32].](../2145-8456-uisi-21-02-155-gf1.jpg)
Para esta investigación se ajustó una línea horizontal de flujo multifásico. Los fluidos utilizados en la experimentación fueron:
Aceite mineral Luchetti M600 con una viscosidad aproximada de 180 [cP] a temperatura ambiente y una densidad específica de 868 [kg/m3].
Agua con una viscosidad aproximada de 1 [cP] a temperatura ambiente y una densidad específica de 1000 [kg/m3].
La experimentación se desarrolló haciendo uso de una tubería horizontal de acero al carbono NBR 5580 con 15 [m] de longitud, 80 [mm] de diámetro interno y 4,5 [mm] de espesor. Además, la línea experimental cuenta con una sección de visualización de acrílico macizo de 0,5 [m] de longitud y 80 [mm] de diámetro interno, la cual se encuentra unida a la tubería por medio de dos bridas y permite observar el flujo que pasa a través de esta. Una vez los fluidos son direccionados hacia la tubería de experimentación, se proceden a hacer las mediciones necesarias de gradiente de presión, holdup, visualización de patrones de flujo, etc.
Los fluidos de trabajo se almacenan de manera individual en dos tanques, los cuales están instalados junto con un separador que distribuye de manera adecuada cada fluido, para luego ser impulsados al circuito mediante dos bombas helicoidales de desplazamiento positivo (una para cada fluido), un variador de frecuencia, un intercambiador de calor que se encarga de modificar la temperatura del aceite y un compresor; además, se cuenta con transductor de presión, medidores de caudal, válvulas direccionales accionadas por solenoide. También se encuentra instalada una línea auxiliar o bypass que es activada por una válvula automática que entra en acción una vez la presión supera los 5 [bar], con el fin de evitar la ruptura de la sección de visualización.
El análisis y tratamiento de los datos experimentales se llevó a cabo con el software MATLAB® 9.10.0.1710957 (R2021a), tomando como base las velocidades de entrada de los fluidos que fueron controladas y gradualmente modificadas con el software LabView™ 2021, aprovechando el sistema de comunicación con el que cuenta el laboratorio.
2.1. Determinación de la fracción volumétrica
Para determinar la fracción volumétrica se utiliza la técnica de cierre rápido. En la línea experimental se encuentran instaladas dos válvulas que son cerradas para retener un volumen determinado de flujo bifásico aceite-agua y así, después de un proceso de estabilización, se procede a medir la altura de las sustancias al interior de la tubería, suponiendo que se tiene una sección plana de la misma.
Los caudales de aceite (Q0 ) y agua (Qw ) que se inyectan a la tubería de experimentación son conocidos, dado que el software LabView™ controla este parámetro de entrada. Por lo cual, aplicando ecuaciones matemáticas, se logra determinar la fracción volumétrica in situ con deslizamiento de cada fluido a partir de los caudales iniciales, así:

Donde αw y α0 representan la fracción volumétrica de agua y aceite, respectivamente, al interior de la tubería, ocupando áreas específicas como Aw para el agua y A0 para el aceite a través del área sección transversal total AP.
Considerando que las dos fases fluyen simultáneamente con los caudales establecidos (Q0 y Qw ), las fracciones volumétricas de inyección para cada sustancia se calculan mediante (2) para el agua y (3) para el aceite.

En el caso de las velocidades, al considerarse que de manera específica solo un fluido pasa por el interior de la tubería, ya sea aceite (J0) o agua (Jw ), las velocidades superficiales de cada fluido están definidas por (5) y (6), respectivamente.

J: velocidad de una mezcla de flujo aceite-agua, igual a la suma de las velocidades superficiales de dichos fluidos.
Para determinar la velocidad superficial de los fluidos de trabajo en un flujo multifásico con deslizamiento entre las fases, se procede a calcular la velocidad de cada fase in situ o velocidades reales Vw y V0 en [m/s].

2.2. Diseño de la red neuronal artificial
La inteligencia artificial (IA) permite establecer variedad de aplicaciones en el análisis de datos experimentales. Para este estudio, y con el fin de generar un modelo capaz de predecir la fracción volumétrica de agua y aceite, se usó una red neuronal artificial (RNA), debido a que se basa en aprendizaje automático a partir de unos parámetros de entrada. Su estructura flexible permite establecer variaciones en las entradas y en las salidas, así como en las capas ocultas, las cuales poseen unos pesos sinápticos organizados en una matriz y unos sesgos organizados en un vector, lo cual forma un sistema capaz de almacenar conocimiento.
Uno de los tipos de red neuronal artificial más común es la red neuronal de perceptrón multicapa, la cual se basa en una red neuronal simple. El número de capas ocultas puede ser mayor o igual que uno, por lo que es una red unidireccional (feed-forward) donde las neuronas de la capa oculta utilizan como regla de propagación la suma de las entradas, junto con los pesos sinápticos, con el fin de aplicar una función de transferencia de tipo sigmoide, ya que acota la respuesta generada. Matemáticamente, la entrada neta St a la red neuronal se obtiene mediante la aplicación de la ecuación 10 propuesta en [33]:

j: nodo de la capa oculta en el cual entra St.
Xi: entradas al nodo j (o salidas de la capa inmediatamente anterior).
wij: pesos que representan el grado de relación o conexión entre los nodos i y j.
i: cantidad de nodos.
bj: sesgo que está relacionado con cada nodo j.
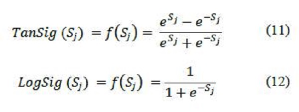
Los términos anteriormente descritos son procesados mediante una función de transferencia, la cual determina de manera precisa la salida que se está buscando. Para este estudio se utilizaron las funciones de activación tangente hiperbólica sigmoidea (TanSig) y logarítmica sigmoidea (LogSig) [34]; estas son las funciones de activación más comunes en el tratamiento de datos, con ecuaciones no lineales definidas por (11) y (12), respectivamente. Dichas funciones generan valores que se incluyen en los intervalos [0,1] y [-1,1]. Otras funciones de activación son la unidad lineal rectificada (ReLU) y la función de base radial, entre otras.

Donde f(Sj) es la salida del nodo j, así como también es el elemento de entrada a los nodos de la siguiente capa. Para que la red neuronal aprenda la relación que existe entre los datos, es necesario desarrollar un entrenamiento en el cual se modifiquen los pesos y se reduzcan los errores entre los valores de entrada y los valores que arroja la red neuronal entrenada. Para desarrollar esta fase del diseño de la red neuronal artificial, se aplicó un algoritmo denominado de retropropagación de errores o backpropagation, a partir de una red multicapa perceptrón obtenida utilizando la caja de herramientas que ofrece MATLAB 2019a ®.
La figura 2 representa la estructura básica de la RNA utilizada, en la cual la capa de entrada está conformada por las velocidades superficiales de los fluidos aceite-agua y el diferencial de presión medido con un sensor de presión Emerson modelo Rosemount 2051-C con un nivel de incertidumbre de +/-0,064 %, que genera como salida las fracciones volumétricas de cada uno de ellos. La estructura de la RNA se conforma a partir de 3 entradas en su capa inicial, 1 capa oculta compuesta por 15 neuronas y 1 capa de salida que incluye las fracciones volumétricas de cada fluido.

2.3. Tratamiento para minimizar los errores
Con el propósito de minimizar los errores, se selecciona el número adecuado de neuronas. La red neuronal fue entrenada con 56 datos; este conjunto de elementos fue utilizado para desarrollar y ajustar tanto los pesos como los sesgos, y así lograr un modelo preciso. La complejidad del problema está directamente relacionada con el número de neuronas que conforman tanto las capas de entrada como las de salida, al ser iguales al número de parámetros que se incluyen en cada fase. El parámetro que se utiliza como determinante inicial para establecer la proximidad del modelo es la minimización del error cuadrático medio (MSE), el cual se calcula como:

n: número total de datos de entrada.
Y(Pred) : valor de salida obtenido por la RNA.
Y(Exp) : valor experimental de la salida.
Asimismo, se incluyen dos parámetros que minimizan el error generado en la selección del número de neuronas que conforman la red.
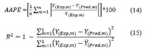
El primero se denomina error absoluto medio porcentual (𝐴𝐴𝑃𝐸), expresado en (14), debido a que es el valor descriptivo del rendimiento de las RNA desarrolladas durante el estudio, e incluye el valor promedio de los datos de salida 𝑌̅(𝑃𝑟𝑒𝑑,𝑚). El segundo parámetro es el coeficiente de determinación 𝑅2, el cual se calcula mediante (15).

3. Resultados y discusión
Las tablas 1 y 2 muestran el entrenamiento que se realizó a las RNA con 56 datos experimentales en LabPetro; se asume una variedad en el número de neuronas que integran la capa oculta (siguiendo la secuencia 1, 2, 3, 5, 8, 10, 12, 15 y 20) con sus respectivos pesos y sesgos aplicando las funciones LogSig y TanSig. La tabla 1 integra los resultados obtenidos del entrenamiento y validación de la RNA con la función de transferencia LogSig. A partir de la información allí recopilada se lograron determinar los valores mínimos del AAPE, estos son 7,58, 7,23 y 6,56, para un número de neuronas en la capa oculta de 15, 2 y 8, respectivamente; así mismo, se establecieron coeficientes de determinación de 0,9897, 0,9936 y 0,9952.


La tabla 2 presenta los resultados obtenidos al entrenar la RNA con la función de transferencia TanSig; se determinaron valores mínimos del AAPE en 6,6, 5,03 y 3,01, y coeficiente de determinación de 0,9955, 0,9963 y 0,9964 para 8, 10 y 15 neuronas, respectivamente.
Analizando esta información, se logró determinar que la RNA óptima para desarrollar el modelo predictivo de fracción volumétrica para los fluidos agua y aceite es aquella que integra la función de transferencia TanSig con dos capas ocultas, una de ellas oculta y la otra de salida. La capa oculta está compuesta por 15 neuronas y logra un AAPE de 3,01 % calculado con (14), un coeficiente de determinación R2 igual a 0,9964 calculado con (15) y un error cuadrático medio (MSE) de 0,00077, lo cual permite concluir que, de manera comparativa, dicho modelo predictivo es el mejor de los 18 que se modelaron, al presentar los mejores resultados en los cálculos y en la simulación.
La figura 3 muestra el comportamiento del error cuadrático medio (MSE) en cada una de las fases de diseño y prueba de la RNA seleccionada que sigue la secuencia [3-1-2] con 15 neuronas en la capa oculta, con un valor mínimo de 0,00077 para 15 neuronas en la capa oculta.
![Variación del error cuadrático medio (MSE) a partir del cambio de iteración en la RNA de configuración [3-1-2].](../2145-8456-uisi-21-02-155-gf3.jpg)
La figura 4 muestra de manera secuencial los resultados obtenidos en las fases de entrenamiento, validación, prueba y general, así como también sus respectivos R y regresión.

4. Conclusiones
Se implementó un modelo de RNA para predecir la fracción volumétrica de agua y aceite que forman un flujo bifásico en una tubería horizontal. Se estudió el reconocimiento de las velocidades superficiales de los fluidos y el diferencial de presión en las entradas de la RNA, la cual tuvo en su mejor desempeño un error absoluto medio porcentual (AAPE) de 3,01 % y un coeficiente de determinación R2 de 0,9964 para todos los datos experimentales medidos en LabPetro.
El modelo de red neuronal óptimo para los datos experimentales utilizados es aquel que tiene una capa de entrada, una capa oculta conformada por 15 neuronas con su respectivo vector de pesos y de sesgos y una capa de salida compuesta por los resultados de las fracciones volumétricas de la predicción.
Conociendo los valores de las velocidades superficiales y del diferencial de presión en la tubería, se puede predecir con precisión la fracción volumétrica de un flujo bifásico haciendo uso de redes neuronales.
Referencias
G. Valle-Tamayo, L. Valbuena-Luna, C. Rojas-Beltrán, M. Cabarcas-Simancas, “Modelo numérico para el análisis y el diseño de redes de tubería para flujo bifásico,” Rev. UIS Ing., vol. 17, no. 2, pp. 201-214, Oct. 2017, doi: https://doi.org/10.18273/revuin.v17n2-2018018
M. Süßer, “Flow Measurement Handbook: Industrial Designs, Operating Principles, Performance and Applications,” Cryogenics (Guildf)., vol. 40, no. 6, p. 421, 2000, doi: https://doi.org/10.18273/10.1016/S0011-2275(00)00051-5
M. de M. F. Figueiredo, F. de C. T. Carvalho, A. M. F. Fileti, A. L. Serpa, “Flow pattern classification in water-air vertical flows using a single ultrasonic transducer,” Exp. Therm. Fluid Sci., vol. 119, no. January, 2020, doi: https://doi.org/10.18273/10.1016/j.expthermflusci.2020.110189
W. Tang, Z. chuan Sun, W. Li, “Visualization of flow patterns during condensation in dimpled surface tubes of different materials,” Int. J. Heat Mass Transf., vol. 161, 2020, doi: https://doi.org/10.18273/10.1016/j.ijheatmasstransfer.2020.120251
Z. Lin, X. Liu, L. Lao, H. Liu, “Prediction of two-phase flow patterns in upward inclined pipes via deep learning,” Energy, vol. 210, p. 118541, 2020, doi: https://doi.org/10.18273/10.1016/j.energy.2020.118541
S. Zeguai, S. Chikh, L. Tadrist, “Experimental study of air-water two-phase flow pattern evolution in a mini tube: Influence of tube orientation with respect to gravity,” Int. J. Multiph. Flow, vol. 132, 2020, doi: https://doi.org/10.18273/10.1016/j.ijmultiphaseflow.2020.103413
M. Descamps, R. V. A. Oliemans, G. Ooms, R. F. Mudde, R. Kusters, “Influence of gas injection on phase inversion in an oil-water flow through a vertical tube,” Int. J. Multiph. Flow, vol. 32, no. 3, pp. 311-322, 2006, doi: https://doi.org/10.18273/10.1016/j.ijmultiphaseflow.2005.10.006
D. M. Rocha, C. H. M. de Carvalho, V. Estevam, O. M. H. Rodríguez, “Effects of water and gas injection and viscosity on volumetric fraction, pressure gradient and phase inversion in upward-vertical three-phase pipe flow,” J. Pet. Sci. Eng., vol. 157, pp. 519-529, 2017, doi: https://doi.org/10.18273/10.1016/j.petrol.2017.07.055
Y. Ma, W. Liu, H. Wu, Y. Liu, J. Lyu, Z. Cai, “Visualization experiment of gas-liquid flow pattern downstream of single-orifice plates in horizontal pipes under an intermittent upstream flow,” Exp. Therm. Fluid Sci., vol. 119, 2019, p. 110206, 2020, doi: https://doi.org/10.18273/10.1016/j.expthermflusci.2020.110206
M. W. Yaqub, R. Rusli, R. Pendyala, “Experimental study on gas-liquid-liquid three-phase flow patterns and the resultant pressure drop in a horizontal pipe upstream of the 90° bend,” Chem. Eng. Sci., vol. 226, p. 115848, 2020, doi: https://doi.org/10.18273/10.1016/j.ces.2020.115848
E. S. Rosa, R. M. Salgado, T. Ohishi, N. Mastelari, “Performance comparison of artificial neural networks and expert systems applied to flow pattern identification in vertical ascendant gas-liquid flows,” Int. J. Multiph. Flow, vol. 36, no. 9, pp. 738-754, 2010, doi: https://doi.org/10.18273/10.1016/j.ijmultiphaseflow.2010.05.001
V. S. Chalgeri, J. H. Jeong, “Flow regime identification and classification based on void fraction and differential pressure of vertical two-phase flow in rectangular channel,” Int. J. Heat Mass Transf., vol. 132, pp. 802-816, 2019, doi: https://doi.org/10.18273/10.1016/j.ijheatmasstransfer.2018.12.015
F. Liang, H. Zheng, H. Yu, Y. Sun, “Gas-liquid two-phase flow pattern identification by ultrasonic echoes reflected from the inner wall of a pipe,” Meas. Sci. Technol., vol. 27, no. 3, 2016, doi: https://doi.org/10.18273/10.1088/0957-0233/27/3/035304
C. Sunde, S. Avdic, I. Pázsit, “Classification of two-phase flow regimes via image analysis and a neuro-wavelet approach,” Prog. Nucl. Energy, vol. 46, no. 3-4, pp. 348-358, 2005, doi: https://doi.org/10.18273/10.1016/j.pnucene.2005.03.015
L. S. Zhai, N. De Jin, Z. K. Gao, Z. Y. Wang, D. M. Li, “The ultrasonic measurement of high water volume fraction in dispersed oil-in-water flows,” Chem. Eng. Sci., vol. 94, pp. 271-283, 2013, doi: https://doi.org/10.18273/10.1016/j.ces.2013.02.049
K. J. Albion, L. Briens, C. Briens, F. Berruti, “Multiphase Flow Measurement Techniques for Slurry Transport,” Int. J. Chem. React. Eng., vol. 9, no. 1, pp. 1-4, Sep. 2011, doi: https://doi.org/10.18273/10.2202/1542-6580.1726
M. M. Hernández-Cely, C. Ruiz-Díaz, “Estudio de los fluidos aceite-agua a través del sensor basado en la permitividad eléctrica del patrón de fluido,” Rev. UIS Ing., vol. 19, no. 3, pp. 177-186, 2020, doi: https://doi.org/10.18273/revuin.v19n3-2020017
M. M. F. Figueiredo, J. L. Goncalves, A. M. V. Nakashima, A. M. F. Fileti , R. D. M. Carvalho, “The use of an ultrasonic technique and neural networks for identification of the flow pattern and measurement of the gas volume fraction in multiphase flows,” Exp. Therm. Fluid Sci., vol. 70, pp. 29-50, 2016, doi: https://doi.org/10.18273/10.1016/j.expthermflusci.2015.08.010
H. Wu, F. Zhou, Y. Wu, “Intelligent identification system of flow regime of oil-gas-water multiphase flow,” Int. J. Multiph. Flow, vol. 27, no. 3, pp. 459-475, 2001, doi: https://doi.org/10.18273/10.1016/S0301-9322(00)00022-7
T. A. AL-Qutami, R. Ibrahim, I. Ismail, M. A. Ishak, “Virtual multiphase flow metering using diverse neural network ensemble and adaptive simulated annealing,” Expert Syst. Appl., vol. 93, pp. 72-85, 2018, doi: https://doi.org/10.18273/10.1016/j.eswa.2017.10.014
M. R. G. Meireles, P. E. M. Almeida, M. G. Simões, “A comprehensive review for industrial applicability of artificial neural networks,” IEEE Trans. Ind. Electron., vol. 50, no. 3, pp. 585-601, 2003, doi: https://doi.org/10.1109/TIE.2003.812470
F. A. Gomide, “Redes neurais artificiais para engenharia e ciências aplicadas: curso prático,” Sba Control. Automação Soc. Bras. Autom., vol. 23, no. 5, pp. 649-652, 2012, doi: https://doi.org/10.1590/s0103-17592012000500011
F. Rozo-García, “Revisión de las tecnologías presentes en la industria 4.0,” Rev. UIS Ing., vol. 19, no. 2, pp. 177-191, 2020, doi: https://doi.org/10.18273/revuin.v19n2-2020019
C. M. Ruiz-Díaz, M. M. Hernández-Cely , O. A. González-Estrada, “Modelo predictivo para la identificación de la fracción volumétrica en flujo bifásico,” Cienc. en Desarro., vol. 12, no. 2, pp. 49-55, Sep. 2021, doi: https://doi.org/10.19053/01217488.v12.n2.2021.13417
R. Quiroga, O. A. González-Estrada, G. González Silva, “Efecto de la temperatura en la fracción de vapor del crudo pesado en el reactor Vortex de cavitación hidrodinámica mediante CFD,” Cienc. en Desarro., vol. 12, no. 2, pp. 57-65, Sep. 2021, doi: https://doi.org/10.19053/01217488.v12.n2.2021.13418
Y. Yan, L. Wang, T. Wang, X. Wang, Y. Hu, Q. Duan, “Application of soft computing techniques to multiphase flow measurement: A review,” Flow Meas. Instrum., vol. 60, pp. 30-43, 2018, doi: https://doi.org/10.1016/j.flowmeasinst.2018.02.017
G. H. Roshani, E. Nazemi, M. M. Roshani, “Intelligent recognition of gas-oil-water three-phase flow regime and determination of volume fraction using radial basis function,” Flow Meas. Instrum., vol. 54, no. October 2016, pp. 39-45, 2017, doi: https://doi.org/10.1016/j.flowmeasinst.2016.10.001
C. M. Salgado, L. E. B. Brandão, C. M. N. A. Pereira, W. L. Salgado, “Salinity independent volume fraction prediction in annular and stratified (water-gas-oil) multiphase flows using artificial neural networks,” Prog. Nucl. Energy, vol. 76, pp. 17-23, 2014, doi: https://doi.org/10.1016/j.pnucene.2014.05.004
C. M. Salgado, C. M. N. A. Pereira, R. Schirru, L. E. B. Brandão, “Flow regime identification and volume fraction prediction in multiphase flows by means of gamma-ray attenuation and artificial neural networks,” Prog. Nucl. Energy, vol. 52, no. 6, pp. 555-562, 2010, doi: https://doi.org/10.1016/j.pnucene.2010.02.001
A. Karami, G.H. Roshani, E. Nazemi, S. Roshani, “Enhancing the performance of a dual-energy gamma ray based three-phase flow meter with the help of grey wolf optimization algorithm,” Flow Meas. Instrum., vol. 64, pp. 164-172, 2018, doi: https://doi.org/10.1016/j.flowmeasinst.2018.10.015
G. H. Roshani, R. Hanus, A. Khazaei, M. Zych, E. Nazemi, V. Mosorov, “Density and velocity determination for single-phase flow based on radiotracer technique and neural networks,” Flow Meas. Instrum., vol. 61, pp. 9-14, 2018, doi: https://doi.org/10.1016/j.flowmeasinst.2018.03.006
R. H. Ruschel, “Proposição de modelo de fluxo de deslizamento para escoamento líquido-líquido horizontal,” University of Campinas, Campinas, Brasil, 2020.
E. Jorjani, S. Chehreh Chelgani, S. Mesroghli, “Application of artificial neural networks to predict chemical desulfurization of Tabas coal,” Fuel, vol. 87, no. 12, pp. 2727-2734, 2008, doi: https://doi.org/10.1016/j.fuel.2008.01.029
H. M. H. Al-rikabi, M. A. M. Al-ja, A.H. Ali, S. H. Abdulwahed, “Microprocessors and Microsystems Generic model implementation of deep neural network activation functions using GWO-optimized SCPWL model on FPGA,” Microprocessors and Microsystems, vol. 77, 2020, doi: https://doi.org/10.1016/j.micpro.2020.103141
Notas
Notas de autor
a Correos electrónicos: carlosruiz978@usp.brbmarlonhc@usp.br.