Artículos
Estudio de pronóstico para la planeación, caso de estudio empresa distribuidora del sector farmacéutico
Forecast in planning, a case of study in a distribution company of the pharmaceutical sector
Estudio de pronóstico para la planeación, caso de estudio empresa distribuidora del sector farmacéutico
Revista UIS ingenierías, vol. 20, núm. 4, pp. 59-78, 2021
Universidad Industrial de Santander
Recepción: 09 Septiembre 2020
Aprobación: 04 Abril 2021
Resumen: Una herramienta fundamental para la planeación operativa, táctica y estratégica de cualquier compañía es el pronóstico de ventas. De la buena capacidad del pronóstico para interpretar la historia de los productos y de su grado de precisión dependerá en gran medida el logro de las metas trazadas por las diferentes áreas de una organización. Actualmente, la compañía objeto de estudio tiene un proceso de pronóstico independiente para cada país en el que opera, pero no realiza un análisis global de ventas; adicionalmente, se cuenta con los datos suficientes para el desarrollo de un estudio de mejoramiento, enmarcado en la gestión de demanda consolidada. Para este estudio se parte de la data histórica de ventas de una empresa distribuidora y comercializadora de medicamentos y productos cosméticos. Después de efectuar una clasificación inicial de referencias, se consolida la información por líneas de producto, cada una de las cuales será tratada como una serie de tiempo para desarrollar el proceso de análisis de patrones, selección y ajuste de los métodos de pronóstico y posterior evaluación de precisión. Se seleccionará la metodología de mayor precisión para calcular el pronóstico de cada una de las líneas de producto para el año 2020, comparándolo gráficamente con la proyección actual de la empresa y con las ventas reales del primer trimestre del año. El presente estudio tiene una alta relevancia en la compañía, dado que mejora la visibilidad en materia de demanda y proporciona una base para la toma de decisiones para el mejoramiento de los procesos a nivel corporativo.
Palabras clave: pronóstico, series de tiempo, precisión del pronóstico, análisis de demanda, clasificación ABC.
Abstract: A fundamental tool for operational, tactical, and strategic planning of any company is the sales forecast. The achievement of the goals set by the different areas of an organization will largely depend on the good ability of the forecast to interpret the history of the sales data of the products and its degree of precision. The company under study has now an independent forecasting process for each country in which it has an operation, but it does not carry out an overall sales analysis and in addition, there is enough information for the development of an improvement study framed into the consolidated demand management. This case of study starts from the historical sales data of the products of a distribution and marketing company of medicines and cosmetic products. After applying an initial classification of the SKUs, the information is consolidated by product lines, each of which will be treated as a time series to execute the process of pattern analysis, selection, and fitted of the forecast methodologies and subsequent evaluation of their accuracy. The most accurate methodology will be selected to forecasting each of the product lines for the year 2020 and also will be graphically compared with the current forecast of the company using the real sales of the first quarter of the year. The present study is highly relevant to the company due to the improvement of the visibility in terms of demand and provides a basis for decision-making in the improvement of processes at the corporate level.
Keywords: forecasting, time series, forecast accuracy, demand analysis, ABC methodology.
1. Introducción
Existen diversas situaciones y aplicaciones en las que pronosticar se convierte en una herramienta útil para disminuir la incertidumbre inherente a sucesos que ocurrirán en un futuro y que tienen un gran impacto en el desempeño y los resultados de una organización [1]. De esta manera, la aplicación de técnicas y modelos de pronósticos puede contribuir a afinar los procesos de planeación en cualquier área de la organización, con la ventaja de que pueden ser aplicados a diferentes horizontes de evaluación: corto, mediano y largo plazo [2]. Trabajar con cifras acertadas de proyección, ya sea de ventas, de demanda, de producción, de necesidad de materiales, etc., puede traducirse en mejoras significativas en diferentes indicadores de las áreas de la organización [3], por ejemplo: reducción de niveles de inventario, optimización de operaciones de almacenamiento y alistamiento de productos, aumento de los niveles de servicio hacia ventas y otras áreas de la empresa y reducción de agotados o ventas perdidas por no contar con la disponibilidad oportuna de inventario, entre otros.
Sin embargo, no es suficiente aplicar alguna técnica de pronóstico, es más importante estar seguros de que la manera en que se definen los valores de las proyecciones sea el resultado de un análisis en el que se ha tenido en cuenta toda la historia disponible de la variable a pronosticar, ya sea a nivel de SKU o a nivel de familias o líneas de productos. También es importante tener seguridad de que las proyecciones resultantes de dicho análisis realmente proporcionan algún grado de precisión sobre lo que ha estado sucediendo con la serie objeto del pronóstico y no sean solo números propuestos sin ninguna base.
El presente artículo se estructura de la siguiente forma: en la sección 2 se presenta la revisión de la literatura relevante al tema de estudio, lo que incluye algunos autores sobre el sistema de clasificación ABC que es aplicado como un tratamiento inicial de datos antes de entrar de lleno al tema de pronósticos. En la sección 3 se presenta la metodología empleada en el desarrollo del presente caso de estudio. Luego, en la sección 4 inicia el tratamiento y análisis de los datos recolectados; se incluye específicamente el análisis de patrones, la configuración de las técnicas de pronóstico a emplear, así como el diagnóstico del ajuste de cada técnica y el cálculo de las medidas de precisión para la posterior toma de decisiones, además, se presentan los resultados obtenidos con la aplicación de la técnica de pronóstico seleccionada, incluida la comparación con el pronóstico actual de la compañía. Finalmente, se presentan las conclusiones del estudio de caso en la sección 5.
2. Estado del arte
El tema principal del presente estudio de caso gira en torno al estudio de los modelos de pronóstico de series de tiempo existentes y mayormente aplicados en la tarea de realizar proyecciones de ventas y demanda. Para el cumplimiento de este propósito se utilizó información real de ventas de la compañía objeto de estudio.
2.1. Pronóstico / forecasting
Dada la amplia aplicabilidad que puede tener la implementación de una técnica de forecasting y la gran variedad de técnicas disponibles, es importante determinar cuál es la mejor herramienta de acuerdo con la naturaleza del suceso que se desea pronosticar. Por ejemplo, en [4] se plantean tres factores claves a establecer previos a la selección de alguna técnica de pronósticos: i) el propósito del forecast y cómo será aplicado, pues de ello se desprende la precisión necesaria de la técnica; ii) los componentes y características del sistema para el cual se realizará el pronóstico, este sistema puede incluir, entre otras, funciones de las áreas de distribución, ventas y de producción, y iii) la importancia que pueda tener la información histórica en la estimación del pronóstico (futuro) [5], la cual coincide exactamente con los factores señalados y agrega otros factores como el contexto del pronóstico, el nivel de exactitud que se quiere lograr, el horizonte del pronóstico que se realizará y el costo/beneficio que el pronóstico proporcionará a la compañía. Más aún, el autor enfatiza la importancia de tomar en cuenta “la etapa en el ciclo de vida del producto para el cual se hace el pronóstico”, si se trata de un producto en particular.
Una vez analizados los factores claves previos a la selección de un método de pronóstico, se debe tener claridad sobre la cantidad y el tipo de datos disponibles, así como el grado de predicción de la cantidad a pronosticar, pues de ello dependerá la elección del método adecuado [6]. En general, los métodos de pronósticos se clasifican en dos grandes grupos: i) pronósticos cualitativos, si no hay datos disponibles o si la información disponible no es relevante para el pronóstico, y ii) pronósticos cuantitativos que pueden ser aplicados cuando hay datos históricos disponibles y se puede suponer que algunos aspectos de estos patrones históricos ocurrirán también en el futuro [6]. Dentro de los métodos cualitativos de pronóstico, las técnicas más mencionadas corresponden a composición de la fuerza de ventas, encuestas, juicio de expertos, investigación de mercados y especialmente método Delphi [4], [5], [7].
Por su parte, en lo que concierne a los métodos cuantitativos de pronósticos, los autores coinciden en agruparlos en dos grandes subcategorías, conocidas también como técnicas de pronósticos: análisis de series de tiempo y proyección y modelos causales [4], [5], [8]. Las técnicas de series de tiempo y proyección refieren a valores pasados y presentes y sus cambios a través del tiempo. Los modelos más conocidos corresponden a promedios móviles, suavización exponencial, Box- Jenkins [5]. De otro lado, los modelos causales son más sofisticados y se valen de la relación existente entre la variable a ser pronosticada y los demás elementos del sistema en el que se encuentra. Sus técnicas más conocidas son los modelos econométricos, modelos de regresión y la técnica de indicador líder [4], [5].
Para el caso particular de elaboración de pronósticos de venta de productos o de líneas de producto, la técnica mayormente aplicada corresponde a análisis de series de tiempo y proyección. Aun así, existen diferentes campos en los que esta técnica puede ser aplicada: economía; sociología, por ejemplo, al pronosticar cifras de delitos; meteorología; medicina, por ejemplo, al tomar encefalogramas; física; sismología; oceanografía e incluso astronomía [9]. A grandes rasgos, la técnica consta de tres etapas que están alineadas con cada una de las palabras que la forman: serie de tiempo, análisis y proyección. Una buena y sencilla definición de una serie de tiempo sería “algo que se observe secuencialmente a lo largo del tiempo” [6].
En esta etapa se define la serie de tiempo a pronosticar y se recolecta la información histórica, la cual puede estar disponible en cualquier unidad de tiempo: días, semanas, meses (unidad de tiempo ampliamente usada), trimestres, años, etc. La etapa de análisis consiste en el tratamiento de la información disponible. En este análisis de los datos históricos se identifican posibles estacionalidades, patrones cíclicos que se repiten cada cierto tiempo dentro de la serie, tendencias y tasas de crecimiento de esas tendencias [5]. Finalmente, una vez se ha hecho un análisis completo de los datos, se puede proceder con la etapa de proyección o pronóstico de los valores.
La técnica de pronóstico de análisis de series de tiempo y proyección está conformada por diversos modelos que son, en últimas, la herramienta que se aplica para el tratamiento (análisis) de los datos y la elaboración propiamente dicha de los pronósticos. Dependiendo del comportamiento o comportamientos identificados en el análisis de datos y de la complejidad misma del modelo, que puede ser medida por el número de parámetros necesarios a estimar, los modelos de análisis de series de tiempo y proyección disponibles pueden ser considerados bajo cinco clases principales, donde cualquiera de ellas puede ser altamente efectiva [6]: i) modelos simples, que incluyen entre otros al método naive, promedio simple, método drift; ii) modelos de regresión; iii) modelos de descomposición como promedios móviles, descomposición X11 y descomposición STL (estacionalidad y tendencia usando loess, por sus siglas en inglés); iv) modelos de suavización exponencial como suavización exponencial simple, modelos Holt y modelos Holt-Winters, y v) modelos ARIMA, que a diferencia de los anteriores, busca describir autocorrelaciones en los datos.
En la literatura sobre modelos de pronósticos de series de tiempo aplicados a la predicción de ventas, muchos casos se basan en la comparación de dos o más métodos y sus respectivos niveles de precisión para pronosticar el comportamiento histórico de la serie. Por ejemplo, en [10] se analizó el comportamiento mensual de las ventas de los últimos tres años de 12.000 referencias de una distribuidora farmacéutica en Irán. Luego de analizar la serie de tiempos, de identificar los comportamientos de la demanda a través de gráficas de series de tiempo y de agrupar las referencias en grupos con comportamientos similares (demanda agregada), se construyeron tres métodos de pronóstico con diferentes enfoques: ARIMA, red neural híbrida por promedios de datos de cada referencia y red neuronal híbrida por promedios de datos de cada referencia y promedios del grupo al cual pertenecían. El autor concluyó que se obtiene un mejor desempeño del pronóstico al agrupar referencias y al combinar modelos lineales y no lineales, como se hizo en el tercer método. En [11] se recolectó la información de ventas anuales de 2009 a 2012 por línea de negocio de una empresa distribuidora de medicinas, perfumes y regalos.
Se aplicaron dos modelos de regresión (lineal y parabólica) para pronosticar las ventas de los siguientes tres años (2013 a 2015), y a través del método de los mínimos cuadrados se determinó que el modelo que mejor se ajusta al comportamiento de la serie de tiempo, y que por tanto debe ser el empleado en la estimación de las ventas, es el modelo de regresión parabólica. En [12] se analiza la información disponible de ventas y demanda de una tienda online que se desempeña en tres segmentos de producto principales (consumidor final, empresarial, hogar) y con operación en siete mercados a nivel global, con el fin de pronosticar los siguientes seis meses de ventas y de inventario adecuado. Luego de un análisis de selección de los segmentos y mercados a pronosticar, se aplicaron dos modelos de descomposición, clásico y ARIMA, y se evaluaron en términos del menor error porcentual absoluto (MAPE, por sus siglas en inglés). Se concluye que, dependiendo del segmento y el mercado a pronosticar, es válido el uso de los dos métodos de pronóstico evaluados.
2.2. Clasificación ABC
La clasificación ABC de productos se desarrolla con el fin de identificar aquellos que son relevantes para el control del inventario, que representan una gran inversión por su alto costo o que representan un importante ingreso para las empresas, ya sea por su alta rotación o por la buena rentabilidad que aportan. Este sistema de clasificación puede ser aplicado también a otras áreas de la organización, por ejemplo, en el control de calidad y en las operaciones de distribución del área logística [13]. Existen varios criterios que se pueden usar para llevar a cabo la clasificación ABC, y el uso de un criterio u otro dependerá del objetivo que se quiere lograr al implementar la clasificación. Estos criterios pueden incluir clasificación por precio unitario, clasificación por valor total, clasificación por utilización y valor y clasificación por aporte a utilidades [14].
También se han desarrollado trabajos de clasificación ABC multicriterio en los cuales, a raíz de la necesidad de realizar una clasificación más específica y acertada de la realidad de una empresa, se incluyen dos o más criterios en la clasificación de cierto tipo de inventario. En este caso se asigna un peso a cada criterio considerado; esta ponderación puede ser asignada de forma objetiva a través de la aplicación de modelos matemáticos o, de forma subjetiva a partir del conocimiento y experiencia de las personas involucradas en la administración de los inventarios [15]. En todo caso, la metodología a seguir es similar independientemente del criterio que se utilice. Para profundizar sobre la manera de implementar un sistema de clasificación ABC se puede consultar a [13], [14], [16]. Este sistema de clasificación se fundamenta en el principio de Pareto del que se desprende que solo una pequeña parte del total de referencias son responsables de la mayor parte del criterio analizado. En ese sentido, los productos clasificados como tipo A corresponden a las referencias más importantes de la organización, “son los artículos de mayor valor” [14]. Corresponden al 15 % o 25 % del total de referencias, pero arrastran entre el 60 % y el 80 % del valor total del inventario, del valor de las utilidades o del criterio que se esté aplicando. Los productos tipo B tienen una importancia secundaria y corresponden al 20 % o 30 % de las referencias, y representan entre el 15 % y el 25 % del valor del inventario o del criterio seleccionado. Por último, los productos tipo C son poco importantes, pueden representar alrededor del 50 % de las referencias, pero solo representan el 5 % o menos del valor del inventario. Cabe anotar que los porcentajes indicados “son orientativos, y variarán en cada caso, según el sector del negocio, características del almacén, niveles de rotación, etc.” [16].
Es común que en la literatura sobre clasificación ABC este sistema de clasificación se combine con otras técnicas y metodologías para poder resolver un problema puntual evidenciado en una organización. Por ejemplo, en [17], luego de la recolección de información de las ventas históricas de una empresa distribuidora de pinturas, el autor realiza una clasificación ABC de las más de 1.500 referencias del portafolio. Como resultado de la clasificación, decide tomar solo las 56 referencias tipo A para realizar un trabajo de mejoramiento del método actual de pronóstico de demanda.
3. Metodología
El caso de estudio se realizó en una empresa norteamericana distribuidora y comercializadora de medicamentos y productos cosméticos con operación en cinco países de Centro y Suramérica que agrupa sus referencias en 6 líneas de producto (en adelante LP) según la procedencia del suplidor. Se tomó la data histórica mensual de venta consolidada por referencia hasta diciembre del 2019. Luego de un tratamiento inicial en el que se seleccionaron las referencias a analizar, se consolidó la información por LP para el desarrollo del presente artículo.
El análisis y obtención de resultados se ejecutó por medio de un software de programación para análisis estadístico de datos, a través de un código de programación adaptado de [6].
Se aplicó una metodología lineal en la que, en términos generales, se identificaron patrones en las series de tiempo que proporcionaron una base para la selección de tres a seis métodos de pronóstico; se ejecutó el diagnóstico de residuos para comprobar que los métodos capturasen adecuadamente la información de los datos; se midió la precisión de los métodos y se seleccionó el de mayor precisión para el cálculo del pronóstico para el año 2020. Este proceso se desarrolló para cada LP seleccionada en el tratamiento de datos inicial. En la Figura 1 se presentan las etapas generales por la metodología implementada.
4. Resultados
4.1. Análisis
A continuación, se describe la manera en que se desarrolló la metodología para el estudio de caso a partir de la recolección de datos efectuada.
4.1.1. Aplicación de la clasificación ABC para el caso de estudio
En un primer tratamiento de los datos se realizó una clasificación ABC con base en las ventas del 2019 y el valor del inventario (costo de adquisición). A continuación, los rangos definidos para cada categoría, teniendo en cuenta que la compañía maneja menos de 100 referencias:
Clase A: 75 % del valor del inventario.
Clase B: 20 % del valor del inventario.
Clase C: 5 % del valor del inventario.
El resultado de la clasificación ABC se muestra en la Figura 2.


El 37 % de las referencias representan el 75 % del inventario (tipo A, en verde); el 36 % de las referencias corresponden al 20 % del inventario (tipo B, en azul), y el 27 % de las referencias representan el 5 % del valor de inventario (tipo C, en naranja).
Para el estudio de series de tiempo y aplicación de un método de pronóstico, se trabajó solamente con las referencias tipo A. En esta categoría quedaron clasificadas 19 referencias, que representan 5 de las 6 LP de la compañía. Se consolidó la demanda de estas referencias por LP, cada una de las cuales representa una serie de tiempo por analizar.
4.1.2. Configuración de las series de tiempo
De acuerdo con el número de observaciones disponibles por LP, se segmentó cada serie de tiempo en dos conjuntos de datos: set de entrenamiento (training data) para ajuste de los modelos y set de prueba (test data) para la medición de la precisión del pronóstico. En la Tabla 1 se muestra la información de cada serie de tiempo.

La configuración anteriormente descrita fue introducida en el software mencionado para el análisis de datos y posterior obtención de resultados.
4.1.3. Análisis de patrones de series de tiempo
En la Figura 3 se presentan las gráficas de demanda de las cinco LP, con periodo mensual y finalizando en diciembre del 2019. A continuación, se describen los comportamientos observados en cada una de ellas:
Estacionalidad: a simple vista se observa una aparente estacionalidad en la línea 1 de frecuencia anual y en la línea 5 cada cuatro o cinco meses. También se considera que puede haber algo de estacionalidad en los datos en las líneas 2 y 3.
Tendencia: se observa una marcada tendencia positiva en la serie de tiempo de la línea 5. La línea 2 también parece presentar tendencia, especialmente en las observaciones más recientes de la serie.
Estacionariedad: en la línea 4 no se observa un comportamiento especial; esto puede deberse a que no existe una longitud suficiente de datos (solo 26 observaciones) que permita evidenciar la presencia de algún patrón.
Para confirmar la presencia de patrones estacionales en las series de tiempo, se elaboraron las gráficas polares estacionales, presentadas en la Figura 4. Con este tipo de gráfica se logra captar, de manera más fácil y clara, la presencia de patrones estacionales en una serie de tiempos, al sobreponer en las mismas coordenadas el comportamiento presentado mes a mes, año tras año. Así, se confirma estacionalidad en las líneas 1 y 5, pues se observa que en estas dos gráficas se repite el trazado de las líneas en cada año, y se descarta este comportamiento en la línea 3, pues cada año esta gráfica presenta un trazado completamente diferente. En cuanto a la línea 2, sigue sin ser del todo claro la presencia de estacionalidad, sin embargo, esto no impide aplicar un método de pronóstico que contenga parámetros de estacionalidad. Por último, como se estableció en primera instancia, no existe estacionalidad en la serie de tiempo de la línea 4.
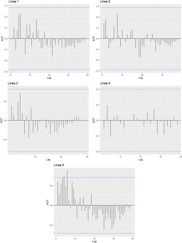
Por otro lado, a través de la gráfica de las funciones de autocorrelación (ACF por sus siglas en inglés), presentada en la Figura 5, se confirma tendencia en la serie de tiempo de la línea 5 y se descarta este comportamiento para las otras cuatro LP. Esto debido a que solo en la línea 5 se observa una clara disminución en la longitud de las líneas dibujadas en el eje horizontal a medida que aumenta el número de observaciones (lag). No obstante, no estaría de más incluir un método de tendencia para la línea 2, pues en las observaciones más recientes se empieza a evidenciar este patrón. También se puede apreciar que más del 5 % de las observaciones de la línea 5 sobrepasan la línea horizontal azul, lo que significa que existe una relación lineal en los datos de la serie [6].



En la Tabla 2 se presenta el resumen del análisis desarrollado. La X representa el comportamiento encontrado; el asterisco (*) significa que el resultado del análisis de patrones no fue contundente para descartar la presencia del comportamiento.

4.1.4. Selección del modelo de pronóstico
Con base en los comportamientos identificados, se seleccionaron entre tres y seis métodos por cada LP, de los cuatro modelos de pronóstico de series de tiempo disponibles (modelos simples, modelos de regresión, modelos de suavización exponencial y modelos ARIMA); se incluyó al menos un método simple. Para las LP con estacionalidad se trabajaron los métodos Holt- Winters aditivo o multiplicativo (HWa, HWm, respectivamente), modelo ETS [6] y ARIMA. A las LP con tendencia se les aplicó el método de regresión lineal y Holt amortiguado [18], mientras que las LP estacionarias se trabajaron con suavización exponencial simple (SES) y ARIMA.
En la Tabla 3 se detallan los métodos seleccionados por modelo de pronóstico por LP.
Los componentes de los modelos ETS y el orden de los modelos ARIMA fueron automáticamente calculados por el software a través de las funciones ets() y auto.arima(), con base en el criterio AICc, teniendo en cuenta que “el modelo con el menor valor de AICc es a menudo el mejor modelo para pronosticar” [6].
4.1.5. Diagnóstico de residuos
Se generaron los valores de ajuste para cada técnica de pronóstico, esto es, el valor del “pronóstico” para cada observación del set de entrenamiento de la serie de tiempo, según lo definido en la Tabla 1. Con estos valores de ajuste se calcularon y graficaron los residuos de la serie, información útil para comprobar si el método captura adecuadamente la información de la data histórica y, por lo tanto, no necesita ser mejorado, teniendo en cuenta que, de acuerdo con la literatura, los residuos de un buen método de pronóstico se caracterizan esencialmente por no estar correlacionados y tener media cero. También es útil, aunque no estrictamente necesario, que los residuos tengan varianza constante y se distribuyan de manera normal [6].
En las Figuras 6 a 10 se presenta el resultado gráfico del diagnóstico de los residuos generados por cada método de pronóstico por LP. Estas gráficas se obtuvieron a través de la función checkresiduals() del software. Si la variación en las gráficas de tiempo es parecida a lo largo del tiempo, entonces la varianza de los residuos puede ser considerada constante. También, en esta gráfica, se puede comprobar si los residuos se distribuyen alrededor de cero. En las gráficas ACF se comprueba si los residuos no están correlacionados, lo cual sucede cuando al menos el 95 % de las líneas del diagrama (lags) no sobrepasan los límites de correlación (líneas azules). De los histogramas se puede hacer una idea de si los residuos se distribuyen de manera normal, aunque no es necesario que esto se cumpla de forma estricta.

Los cuatro métodos de pronóstico seleccionados para la línea 1 capturan adecuadamente las dinámicas de la serie identificadas en el análisis de comportamiento (véase Figura 6].
El método Holt-Winters presenta los valores de residuos más cercanos a cero, sin embargo, esto no implica que sea el método con la mayor precisión de pronóstico, pues esto último debe ser medido a través de los errores (test set) del pronóstico y no con los residuos. Los residuos solo comprueban que el método aplicado replique adecuadamente los patrones de la serie de tiempos.
En la línea 2, aparte del punto atípico a inicios del 2017 en las gráficas de tiempo, podría decirse que las varianzas de los métodos tienen un comportamiento parecido (véase Figura 7].
Los residuos del método ETS y ARIMA parecen no distribuirse de manera normal, sin embargo, esta no es una característica esencial, sino deseada, por lo que no implica que los métodos deban ser descartados. Por lo demás, se cumplen las propiedades de media cero y no correlación.


Para las líneas 3 y 4 que presentan un comportamiento estacionario, los cuatro métodos seleccionados verifican la no correlación de los residuos, así como su distribución alrededor de cero (véase Figura 8 y Figura 9]. Especialmente, en la línea 3, los residuos de los cuatro métodos se distribuyen de manera normal. Para la línea 4, esto último no es tan evidente, sin embargo, se debe recordar que es la serie de tiempos con menos observaciones disponibles, por lo que es muy difícil asegurar que se presenten o no ciertos comportamientos.
Finalmente, los seis métodos seleccionados para la línea 5 capturan adecuadamente las dos propiedades esenciales de los residuos y también las dos propiedades deseadas, esto es, varianza constante y distribución normal (véase Figura 10].
4.1.6. Evaluación de la precisión (accuracy) del pronóstico
La evaluación de la precisión del método de pronóstico se realiza con base en la medición de los errores. Para ello, se calcularon los valores del error para cada técnica de pronóstico, esto es, la diferencia entre el valor del “pronóstico” arrojado por cada método para el set de prueba y la observación de la serie de tiempo.


Para las LP con menos de 40 observaciones se usó la técnica de validación cruzada de series de tiempo recomendada en [6], lo cual implica que el set de pruebas consiste en una sola observación, que se calcula a través de la función tsCV() del software. Para las demás LP se usó la técnica de set de prueba de acuerdo con el número de observaciones definido en la Tabla 1.
Con los valores del error se calcularon las medidas de error para cada método aplicado. Las medidas de error seleccionadas para el presente análisis correspondieron al error medio absoluto (MAE por sus siglas en inglés), raíz del error cuadrático medio (RMSE por sus siglas en inglés) y error porcentual medio absoluto (MAPE por sus siglas en inglés), siempre y cuando no existan ceros en la data histórica.
En las Tablas 4 a 8 se presentan los valores de las medidas de error por método por LP. Para la línea 4, dado que existen ceros en la serie de tiempos, no fue posible calcular el MAPE.





4.2. Resultados de los métodos de pronóstico
Una vez se han verificado los residuos, el mejor método de pronóstico es aquel que proporciona la menor medida de error; este resultado se puede observar resaltado en negrita en las Tablas de medidas de error del título anterior. Con el método seleccionado, se calculó el pronóstico de cada LP para el año 2020, horizonte de 12 meses (enero a diciembre).
Adicional, se muestra en la misma gráfica el pronóstico actual de la compañía y el valor real de las ventas de los primeros tres meses del año.

Para la línea 1, el mejor método de pronóstico es el Holt-Winters multiplicativo (HWm), con un MAPE de 9,34 %, lo cual es una muy buena medida teniendo en cuenta que lo recomendado es tener valores de MAPE de hasta 20 % [19]. Comparado con las ventas reales del primer trimestre 2020 (véase Figura 11], se ve que el método presenta un muy buen desempeño, y que si la compañía siguiera con sus pronósticos actuales, podría empezar a experimentar problemas de sobrecostos por altos niveles de inventario. En todo caso, dado el comportamiento decreciente del pronóstico propuesto, la compañía debería evaluar las estrategias de venta, en aras de mejorar el comportamiento de la línea y poder llegar a las metas de venta inicialmente establecidas.

En la línea 2 el mejor método de pronóstico es el método simple S Naive con un MAPE de 30,49 % que, aunque es un valor alto, es el mejor método que se pudo encontrar. La poca precisión del método puede deberse a la alta volatilidad de la historia de la serie, en donde apenas en las observaciones más recientes se empieza a notar una consistencia en el comportamiento. En este caso, dados los valores reales de ventas del primer trimestre (véase Figura 12], podría decirse que el pronóstico actual de la compañía se desempeña mejor, y que si se adoptara el método seleccionado se correría el riesgo de pérdidas de venta por no disponibilidad de inventario.

El mejor método para la línea 3 es el método de promedio simple, con un MAPE de 42,26 %. El valor tan alto puede deberse a la poca disponibilidad de data histórica y se esperaría que, al actualizar el pronóstico con más información, las medidas de error empiecen a mejorar. En este caso, el pronóstico de la compañía parece estar desfasado de la realidad (véase Figura 13] y se sugeriría reevaluar sus cifras, aunque al mismo tiempo se sugeriría, al igual que en el caso anterior, evaluar las estrategias de venta para poder acercarse más al promedio de la serie.
Para la línea 4, el método con mejor medida de error también es el promedio simple. En este caso, que no se pudo calcular el MAPE, la mejor medida de precisión es el MAE con un valor de 6,67, muy cercano a cero y que significa que presenta un muy buen desempeño. Dada la poca disponibilidad de información (solo dos años de data histórica), parece conveniente que el mejor pronóstico consista en el promedio de los datos. En cuanto al pronóstico actual de la compañía (véase Figura 14], pareciera corresponder con una estrategia agresiva para impulsar la tendencia aparentemente creciente en los datos. En todo caso, esto podría ocasionar sobrecostos por altos niveles de inventario.


Por último, en la línea 5 el método de pronóstico con la mejor precisión es ARIMA de orden (0,1,3) (sugerido de forma automática por R Studio) con un MAPE de 16,47 %, que se encuentra en el rango de 20 % recomendado en la literatura. En este caso, tanto el pronóstico actual de la compañía como el pronóstico del método encontrado en el presente trabajo son en promedio parecidos, según se ve en la Figura 15.
Además, el comportamiento de la venta real del primer trimestre, en la misma Figura, parece ajustarse a los valores de los dos pronósticos.

5. Conclusiones
El primer paso en el desarrollo de un buen método de pronóstico consiste en el análisis gráfico del comportamiento histórico de la demanda. Dada la amplia variedad de técnicas de pronóstico disponibles en la actualidad, es esencial realizar una correcta identificación de patrones, que proporcione una guía en la búsqueda de un método de pronóstico adecuado. No siempre el mejor modelo de pronóstico es el de mayor complejidad. A veces, los modelos simples presentan la misma o una mejor precisión que aquellos modelos de naturaleza más sofisticada.
Es importante verificar el ajuste del modelo de pronóstico que se quiera aplicar, entendido como la capacidad del modelo para capturar adecuadamente la información de la data histórica del elemento a pronosticar, pues cualquier modelo de pronóstico arrojará valores, pero ello no implica, de ninguna manera, que corresponda a un buen modelo de pronóstico, pues sus resultados podrían estar sesgados.
Así como todo modelo de pronóstico es capaz de arrojar valores sobre alguna serie de tiempo, se debe efectuar la evaluación de la precisión del pronóstico, calculando las medidas de error correspondientes. Esta es la mejor manera de comparar diferentes técnicas de pronóstico aplicadas a una misma serie de datos.
Se debe tener clara la diferencia entre los residuos y los errores de un modelo de pronóstico. Los residuos se usan para evaluar el ajuste de una técnica de pronóstico al comportamiento de la historia de los datos, mientras que los errores miden el desempeño o la precisión del modelo en la pronosticación de los datos futuros. Si esta diferencia no es clara al momento de computar ambos valores (residuos y errores), se podrían cometer errores en la selección de la mejor técnica de pronóstico.
Es importante realizar verificaciones periódicas de la técnica de pronóstico seleccionada, pues conforme se cuenta con más datos reales de la serie objeto del pronóstico, podrían identificarse o confirmarse nuevos patrones que pueden cambiar sustancialmente el conjunto de técnicas disponibles a aplicar. Adicional, se podrían obtener mejores medidas de error en técnicas que inicialmente no mostraban un buen desempeño.
Referencias
G. Rubio Guerrero, “Perspectiva multivariante de los pronósticos en las PYMES industriales de Ibagué (Colombia)”, Facultad de Ciencias Económicas: Investigación y Reflexión, vol. 25, no. 2, pp. 25-40, 2017, doi: 10.18359/rfce.3067.
D. Cueva Reyes, “Importancia de la Planificación estratégica en el flujo de entradas de efectivo por ventas en la compañía Nestle S.A.”, trabajo de grado, Universidad Técnica de Machala, Ecuador, 2018.
G. Boronat Ombuena, R. Leotescu, J. Navarro Enguídanos, “Forecast: pronóstico, análisis, estimación y anticipación”, Técnica contable y financiera, vol. 4, pp. 8-18, 2018.
Conexión ESAN, “ESAN Graduate School of Business”, 2019, (En línea). Disponible: https://www.esan.edu.pe/apuntes-empresariales/2019/08/como-elegir-la-mejor-tecnica-de-forecasting/
J. Chambers, S. Mullick, D. Smith, “How to Choose the Right Forecasting Technique”, Harvard Business Review, 1971, (En línea). Disponible: https://hbr.org/1971/07/how-to-choose-the-right-forecasting-technique#comment-section.
R. Hyndman, G. Athanasopoulos, Forecasting: Principles and Practice, Segunda edición ed. Melbourne, Australia: Otexts, 2018.
J. Frausto Enríquez, “Pronósticos de ventas para la administración estratégica de los recursos en una empresa del sector automotriz”, trabajo de grado, Instituto Tecnológico y de Estudios Superiores de Monterrey, 2009.
C. Chatfield, Time-series Forecasting. USA: Chapman & Hall/CRC, 2000.
C. W. Granger, P. Newbold, Forecasting Economic Time series, Segunda edición ed. San Diego, CA, USA: Academic Pres INC, 1986.
N. Khalil Zadeh, M. Mehdi Sepehri, H. Farvaresh, “Intelligent Sales Prediction for Pharmaceutical Distribution Companies: a data mining based approach”, Mathematical Problems in Engineering, vol. 2014, pp. 1-15, 2014, doi: 10.1155/2014/420310.
M. A. Chagolla Farías, J. C. Chagolla Farías, “La utilización de las herramientas estadísticas en los pronósticos”, Ciencias Empresariales, no. 20, pp. 111-128, 2012.
B. Ashwini Rekha, B. Vijaykumar, “Retail Giant Sales Forecasting using Machine Learning”, International Journal of Recent Technology and Engineering, vol. 8, no. 2S11, pp. 2408-2411, 2019.
B. Salazar, “Ingeniería Industrial On line”, 2019, (En línea). Disponible: http://www.ingenieriaindustrialonline.com/gestion-de-inventarios/clasificacion-de-inventarios/
Ingenio Empresa, “Análisis ABC”, 2019, (En línea). Disponible: https://ingenioempresa.com/analisis-abc/
C. Castro Zuluaga, M. Vélez Gallego, J. Castro Urrego, “Clasificación ABC Multicriterio: Tipos de Criterios y Efectos en la Asignación de Pesos”, ITECKNE: Innovación e Investigación en Ingeniería, vol. 8, no- 2, pp. 163-170, 2011.
ATOX Sistemas de almacenaje, “Clasificación de inventarios ABC”, 2017, (En línea). Disponible: http://www.atoxgrupo.com/website/noticias/clasificacion-inventarios-abc.
H. Briseño Oliveros, L. A. Guzmán García, P. Cano Olivos, D. Sánchez Partida, “Forecasting Demand Improvement for replenishment in a Retail painting Company”, Acta Logística, vol. 6, no. 4, pp. 155-164, 2019, doi: 10.22306/al.v6i4.143.
E. S. Gardner, E. McKenzie, “Note-Seasonal Exponential Smoothing with Damped”, Management Science, vol. 35, no. 3, pp. 372-376, 1989, doi: 10.1287/mnsc.35.3.372.
S. Nahmias, Análisis de la Producción y de las Operaciones, Quinta edición ed. México DF: Mc Graw Hill, 2007.