Artículo de investigación
Recepción: 01 Agosto 2022
Aprobación: 13 Noviembre 2022
Publicación: 01 Enero 2023
DOI: https://doi.org/10.18273/revuin.v22n1-2023005
Resumen: El objetivo de este trabajo es la aplicación de una red neuronal artificial para la predicción de la fracción volumétrica (holdup) de flujo bifásico (aceite-agua) en un tubo en posición horizontal. Para este fin, la velocidad superficial del agua y el aceite se utilizaron como parámetros de entrada, entre tanto, la fracción volumétrica de estos dos fluidos se utilizaron como parámetros de salida para el entrenamiento y prueba de la red neuronal multicapa, el método utilizado fue retro propagación. Los datos experimentales (92 datos) se tomaron en el LEMI-EESC-USP y fueron utilizados para desarrollar el modelo de red neuronal artificial. Finalmente, se concluyó que los datos experimentales utilizados en la red neuronal se ajustan muy bien para una función de transferencia tagsig con 10 neuronas en la capa oculta evaluadas a partir del error porcentual absoluto medio de (AAPE= 3,95) y coeficiente de determinación (𝑅2= 0,975).
Palabras clave: Flujo aceite-agua, velocidad superficial, fracción volumétrica, red neuronal artificial.
Abstract: The objective of this work was the application of an artificial neural network in prediction of holdup of two-phase flow (oil-water) in a pipe in horizontal position. To this end, the velocity superficial of water and oil were used as input parameters, meanwhile, the holdups of these two fluids were used as output parameters for the training and testing of the multilayer neural network, the method used was back-propagation. The experimental data (92 data) were taken at LEMI-EESC-USP and were used to develop the artificial neural network model. Finally, it was concluded that the experimental data used in the neural network agreed with the tagsig transfer function with 10 neurons in the hidden layer evaluated from the absolute percentage error of (AAPE= 3,95) and coefficient of determination (𝑅2= 0,975).
Keywords: Oil-water flow, superficial velocity, holdup, artificial neural network.
1. Introducción
Los flujos multifásicos ocurren con frecuencia en diversas aplicaciones industriales como calderas, condensadores, evaporadores, torres de enfriamiento, lechos fluidizados, transporte y producción de petróleo entre otros.
Las fases pueden ser sólidas, líquidas o gaseosas. El flujo bifásico a lo largo de una tubería se puede clasificar como: (1) líquido-líquido, (2) líquido-sólido, (3) gas-líquido y (4) gas-sólido. La mayoría de los trabajos realizados y documentados en la literatura analizan el flujo gas-líquido. La comprensión del flujo líquido-líquido es pequeña en comparación con el flujo gas-líquido. Los flujos de fases iguales, como líquido-líquido, se consideran bifásicos cuando las fases son inmiscibles, esta es una condición que presentan los fluidos cuando no pueden formar mezclas de forma distribuida molecularmente y donde existe una interfaz entre ellos haciendo que se separen en dos fases [1].
Cuando dos fases fluyen por la misma tubería, generan varias configuraciones que dependen de las condiciones de operación (temperatura, presión, flujo), propiedades del fluido (tensión superficial, viscosidad, concentración y densidad) y la geometría del tubo (diámetro, longitud, inclinación), estas características determinan los patrones de flujo.
Una alternativa complementaria al estudio experimental se refiere al uso de técnicas heurísticas, en la búsqueda de la generalización en la estimación de parámetros a partir de una base de datos experimental dada. El modelado de redes neuronales artificiales es una alternativa viable, debido a su capacidad para aprender y generalizar a partir de una gran masa de datos que reflejan el comportamiento del sistema en diversas situaciones. En este contexto, las redes neuronales se presentan como una herramienta reconocida por su capacidad para modelar fenómenos no lineales. La capacidad de las redes neuronales para realizar mapeos no lineales entre sus entradas y salidas ha hecho que estas redes tengan éxito en el modelado de sistemas complejos [2].
En este trabajo se analizó el uso de inteligencia artificial basada en redes neuronales, con el objetivo de caracterizar el flujo aceite-agua en un tubo horizontal, con el fin de proporcionar automáticamente resultados de fracciones volumétricas. La fracción volumétrica es definida como la relación entre el volumen ocupado por una fase especifica por ejemplo agua y/o aceite y el volumen total de la mezcla [3], este parámetro es de gran importancia en el modelamiento de flujos multifásicos y usado para cálculos de caída de presión e identificación de patrones de flujo.
Para la implementación de la red neuronal se usaron las velocidades superficiales del agua y el aceite como variables de entradas, estos datos fueron tomados con medidores de flujo instalados en la línea del circuito experimental del Núcleo de Ingeniería Térmica y Fluidos (NETeF) de la EESC-USP, las fracciones volumétricas para el agua y el aceite se utilizaron como variables de salida, se implementó la técnica de válvulas de cierre rápido, figura 1, que consiste en la retención de los fluidos dentro del tubo de la sección de pruebas, donde las fases son separadas formando una capa de aceite en la parte superior y una capa de agua en la parte inferior.

El método de cálculo del gradiente utilizado en este algoritmo de aprendizaje supervisado fue back-propagation o retro propagación.
Existen diferentes investigaciones que realizan abordajes relacionadas con inteligencia artificial (para el estudio del flujo multifásico agua-aire en una tubería vertical), como las desarrolladas por [4] y [5]. Estas utilizaron la señal de entrada del sensor basada en la impedancia eléctrica para entrenar la red neuronal con el fin de identificar el patrón de flujo.[6] crearon algoritmos inteligentes basados en la máquina de vectores de soporte (SVM) y en la Transformada Wavelet, para identificar el régimen de flujo.
Ya [7] identificaron el régimen de flujo a través de redes neuronales, teniendo como variables de entrada al sistema inteligente: las funciones de densidad de probabilidad (PDF) y la señal en el tiempo de la impedancia eléctrica.
[8] caracterizaron los patrones de flujo utilizando información de imágenes tomográficas (obtenidas por un sensor capacitivo). Estos aportaron las características de un sistema inteligente basado en lógica difusa.
[9] utilizaron la señal de presión del fluido en el tiempo, modelando un sistema inteligente basado en la técnica del algoritmo de mapeo elástico (EMA) para identificar el patrón de flujo.
[10] combinaron los métodos de inteligencia artificial utilizados en [9] junto con el análisis de componentes principales (PCA) para obtener el caudal (basado en la señal eléctrica a lo largo del tiempo de la presión del fluido). Los autores compararon tres algoritmos de inteligencia artificial basados en redes neuronales artificiales (ANN), programación genética (GP) y Support Vector Machine, (SVM) para obtener la fracción volumétrica. Así, lograron el mejor resultado con el algoritmo basado en la SVM (Support Vector Machine) [11].
En los trabajos de [12] mencionaron estudios en el flujo de agua-aire en dos fases (en un tubo horizontal) utilizando inteligencia artificial. Estos utilizaron los espectros de la banda de hidrófonos como variables de entradas una red neuronal para determinar el patrón de flujo. Aplicaron técnicas de inteligencia artificial basadas en redes neuronales, en las que utilizaron la señal de tiempo de la presión del flujo para entrenar la red. Utilizaron el trabajo de [13] para determinar el patrón de flujo.
A partir de la señal eléctrica del sensor capacitivo (ECT), entrenaron la red neuronal multicapa mediante el algoritmo de retro propagación Este procedimiento se utilizó para determinar el régimen de flujo en un tubo horizontal [14].
[15] determinaron el patrón de flujo, a través de seis métodos de inteligencia artificial, utilizaron la señal en el tiempo de un sensor de rayos gamma como características de entrada, para el entrenamiento de modelos inteligentes, los autores concluyen que cinco métodos presentan buenos resultados con la exención del algoritmo basado en un único árbol de decisión (STD).
Utilizando sistemas de inteligencia artificial basados en técnicas difusas y utilizando la fracción de volumen obtenida por el sensor WMS, identificaron los diferentes patrones de flujo [16]
Basado en el SVM (Support Vector Machine) para identificar el patrón de flujo aceite-aire, implementaron un algoritmo que aprovechó los datos obtenidos por un sensor capacitivo eléctrico (ECT), para entrenar el sistema inteligente [17] teniendo en cuenta los parámetros de entrada de una red neuronal, los datos generados por un ultrasonido para el entrenamiento y reconocimiento de patrones de flujo, fueron los trabajos presentados por [18].
En el flujo de aceite-agua bifásico en tubo vertical utilizando inteligencia computacional se encontraron los trabajos realizados por [19] y [20]. utilizaron las características obtenidas del ultrasonido y el sensor soportado por la capacitancia eléctrica como variables de entrada de entrenamiento de la red neuronal para determinar el corte de agua.
Mientras que [20] utilizó los parámetros de velocidades superficiales como entrenamiento de red para calcular la fracción de volumen en un tubo vertical e inclinado.
En flujos de aceite-agua bifásicos, en un tubo horizontal guiado por el mapa de flujo obtenido por [21], [22] analizaron mediante redes neuronales los diferentes dos- patrones de fase de deslizamiento, aceite-agua, los datos utilizados en este trabajo fueron fotografía y sonda óptica, técnicas utilizadas por [23].
2. Materiales y métodos
2.1. Equipo experimental
Los fluidos utilizados en este trabajo fueron: aceite mineral con una viscosidad aproximada de 220 mPa.sa 25 ° C con una densidad aproximada de 860 kg / m3 y agua corriente con una densidad adaptada de 988 kg / m3 y una viscosidad de 1 mPa.s.
El núcleo de ingeniería térmica y fluidos (NETeF) de la EESC - USP cuenta con una plataforma móvil (figura 2) compuesta de un tubo de acrílico de 12 m y diámetro interno de 25,4 mm. El agua y el aceite mineral son almacenados en tanques de propileno por separado.

Para el bombeo del agua se utiliza una bomba helicoidal de tipo tornillo de la marca Weatherford con potencia de para el aceite una bomba helicoidal de tipo tornillo también de la marca Weatherford modelo 2WHT 53/F con potencia de 10 CV, accionamiento de 15 CV y potencia absorbida de 10 CV.
Por medio de un mezclador de PVC tipo "Y" y válvulas de cierre rápido de tipo bola NPT-paso total, marca MGA®, con actuadores neumáticos MGA DA20, equipadas con válvulas de acero inoxidable (Parker®) para apertura y cierre, modelo (Parker npvn3-5150-50 (DT 4260)) y Conexiones eléctricas mediante dispositivo Parker (PVN49, 24 Vdc, 2,5 W), con tiempo de cierre y apertura de 0,11 seg, es permitido el ingreso del agua y el aceite mineral a la línea de pruebas, donde la fase líquida menos densa (aceite) ingresa desde la parte superior del tubo y la fase más densa (agua) desde la parte inferior de la tubería.
El aceite y el agua fluyen por las tuberías de PVC hasta la sección de prueba donde se mezclan y finalmente llegan a un tanque separador de placas coalescentes, con una capacidad de 2200 L. Cada líquido se separa y se dirige al depósito respectivo (proceso de decantación).
A través de un microordenador equipado con un sistema de adquisición, donde se integran las señales medidas, tanto para operación como para análisis, así como las señales de comando (variadores de frecuencia) vía protocolo TCP / IP. El sistema de adquisición y control utilizado está formado por una placa modelo NI PCI-6224 de National Instruments instalada en una computadora y reconocida por la plataforma Labview 8.6. La placa de adquisición tiene 48 canales digitales, resolución de 16 bits, 32 canales de voltaje analógico y una capacidad para 250.000 muestras simultáneas por segundo.
2.2. Análisis matemático para flujo bifásico
En un tubo donde el aceite y el agua fluyen simultáneamente, se pueden definir algunos parámetros básicos del flujo bifásico líquido-líquido, términos que se consideraron de gran importancia para el desarrollo de este trabajo y que según [24] describen el comportamiento de flujos bifásicos.
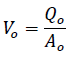
Los más básicos son: el área de la sección transversal del tubo 𝐴 y los flujos volumétricos de aceite y agua, 𝑄𝑜 y 𝑄𝑤, respectivamente. A partir de los flujos volumétricos es posible determinar las proporciones de inyección o fracciones volumétricas de la inyección de aceite 𝐶𝑜 y agua 𝐶𝑤 dadas por las ecuaciones (1) y (2).
(1)
(2)Los flujos volumétricos o velocidades superficiales del aceite 𝑈𝑜𝑠 y el agua 𝑈𝑤𝑠 se calculan como la relación entre el flujo volumétrico de fase y el área de la sección transversal de la tubería ecuaciones (3) y (4), por lo tanto, para el aceite y el agua, tenemos
(3)
(4)Para el flujo de dos fases, cada fase ocupa diferentes partes de la sección transversal del tubo. Así, se define como 𝐴𝑜 el área ocupada por la fase oleosa, y 𝐴𝑤 el área ocupada por la fase acuosa. La velocidad in situ o velocidad promedio real de cada fase es diferente a la velocidad superficial, ya que se obtiene del flujo volumétrico que pasa por un área menor que el área transversal del tubo. Las velocidades in situ o las velocidades promedio reales se calculan mediante las ecuaciones (5) y (6) para las fases aceite y agua, respectivamente.
(5)
(6)En una determinada sección de tubería, la fracción volumétrica in situ o vertical de la fase se considera una cantidad local, es decir, asume un diferencial en la longitud de la tubería. Con base en este diferencial, la fracción de volumen se puede definir como la relación entre el área ocupada por cada una de las fases y el área de la sección transversal del tubo, ecuaciones (7) y (8).
(7)
(8)Si una de las fases es gaseosa, la fracción volumétrica in situ se denomina fracción vacía. La velocidad in situ y la velocidad superficial de cada fase están relacionadas con la fracción de volumen in situ como, ecuaciones (9) y (10).
(9)
(10)La velocidad de mezcla se define dividiendo el caudal volumétrico total por la sección transversal del tubo, ecuación (11).
(11)Esto es equivalente a la suma de las velocidades superficiales, ecuación (12).
(12)Cabe señalar que la fracción volumétrica in situ no es la misma que la fracción de volumen de inyección. El fenómeno se define como "relación de deslizamiento entre fases", diferente de la condición de no deslizamiento en el estudio de la mecánica de fluidos. Ocasionalmente, una de las fases fluye con una velocidad promedio menor a través del tubo en comparación con la otra que ocurre más rápidamente. La fracción de volumen de inyección es igual a la fracción de volumen cuando no hay deslizamiento entre fases. El deslizamiento se define como la relación entre las fracciones volumétricas in situ y la relación entre las relaciones de inyección, ecuación (13).
(13)Por tanto, se puede decir que la variable principal del flujo de dos fases es la fracción volumétrica in situ.
2.3. Diseño del modelo de red neuronal artificial
La red neuronal artificial diseñada está constituida por una capa de entrada, unas capas ocultas y una capa de salida. Las capas ocultas presentan un vector de sesgo 𝑏 y una matriz de peso 𝑤. Para este trabajo se modelo una red neuronal perceptrón multicapa (MLP), la cual genera números aleatorios establecidos por cada uno de los pesos presentes. Los valores correspondientes a los pesos son multiplicados, lo que hace que se debiliten o fortalezcan las variables de entrada a cada neurona de la red. La red modifica y va combinando las entradas para las neuronas pertenecientes a la capa anterior, por medio de la ecuación (14).
(14)𝑆𝑖 entrada neta que recibe una neurona 𝑖
𝑖 número de nodos
𝑗 valor de entrada a la neurona
𝑥𝑖 entradas al nodo 𝑗 (o las salidas de la capa anterior)
𝑤𝑖𝑗 determina la fuerza de la conexión entre el 𝑖-ésimo nodo y el 𝑗-ésimo nodo
𝑏𝑗 es el sesgo asociado con el nodo 𝑗
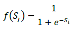
Las entradas ponderadas y la suma del sesgo pasan por una función de activación, esta es la relación entre la respuesta de un sistema con una señal de excitación o, de entrada, para esta investigación se tomaron la función tangente-logarítmica y tangente-hiperbólica representadas en las ecuaciones (15) y (16).
Función tangente-hiperbólica
(15)Función tangente-hiperbólica
(16)𝑆𝑗 salida del nodo 𝑗
La red neuronal usa un algoritmo de retro-propagación para aprender con los datos suministrados y poder entrenarse. El entrenamiento consiste en modificar los pesos a través del error de los datos reales y los datos de la predicción, este entrenamiento termina cuando se encuentra la mejor relación entre la capa de entrada y la capa de salida.
La capa de salida de la red neuronal artificial está compuesta por las velocidades superficiales del agua y el aceite, para la capa de salida se usaron las fracciones volumétricas de estos dos fluidos, figura 3, en total se tomaron 92 datos, estos datos fueron divididos así: 64 para entrenamiento, 14 para validación y 14 para prueba. La caja de herramientas de Matlab 2019a ® se empleó para el diseño de la red neuronal.

El procedimiento para la predicción del rendimiento de la red consistió en variar el número de neuronas, esto para evitar una posible selección errada de los pesos iniciales.
El número de neuronas entre a la capa de entrada y salida define la complejidad del problema. Se estimó el error cuadrático medio (MSE) del conjunto de datos, determinado por la siguiente expresión, ecuación (17):
(17)𝑛 Número de datos
𝑌𝑃𝑟𝑒𝑑 valor predicho obtenido del modelo de red neuronal
𝑌𝐸𝑥𝑝 valor experimental
El desempeño del modelo de la red neuronal aplicada se evaluó calculando el error porcentual absoluto medio AAPE, ecuación (18) y el coeficiente de determinación 𝑅2, ecuación (19).
(18)
(19)𝑌̅𝑃𝑟𝑒𝑑 Promedio de los valores experimentales
3. Resultados y discusión
Los resultados obtenidos para la red neuronal artificial aplicada son presentados en la tabla 1, donde se muestra que el mejor entrenamiento se da para 10 neuronas en la capa oculta, la precisión para la predicción de la red neuronal se alcanza con un error porcentual absoluto medio AAPE= 3,95 y un coeficiente de determinación de 𝑅2= 0,975. Para el ciclo de corrección de propagación hacia atrás se considera las mejores ponderaciones y sesgos de entrada 43 épocas como se muestra en la figura 4.


4. Conclusiones
Se aplico un modelo de red neural artificial que permite predecir las fracciones volumétricas (holdups) de un flujo bifásico (aceite-agua) en un tubo horizontal. Se utilizaron las velocidades superficiales de los fluidos como variables de entrada y las fracciones volumétricas como variables de salida. Se uso la técnica de válvulas de cierre rápido para tomar los datos de las fracciones volumétricas. El modelo desarrollado presentó una precisión en la predicción con un error porcentual absoluto promedio AAPE= 3.95 y un coeficiente de determinación de 𝑅2= 0.975. Este modelo de red neuronal implementado puede predecir la fracción volumétrica para el aceite y el agua, parámetros importantes del flujo bifásico y conectados directamente al comportamiento del flujo liquido-liquido dentro de las tuberías, lo que permitiría mejorar la eficiencia y seguridad de las operaciones de equipos e instalaciones industriales.
Financiación
Unicamp Development Foundation (FUNCAMP - Fundação de Desenvolvimento da Unicamp) and Escola de Engenharia de São Carlos da Universidade de São Paulo (Laboratorio de Escoamentos Industriales -LEMI)
Referencias
F. K. Suguimoto, “Análise experimental do escoamento líquido-líquido,” tesis doctoral, Universidade Estadual de Campinas, 2016.
I. N. Silva, D. H. Spatti, R. A. Flauzino, Redes Neurais Artificiais Para Engenharia e Ciências Aplicadas. São Paulo, 2010.
G. . Wallis, One-Dimensional Two-Phase Flow. McGraw-Hill, 1969.
Y. Mi, M. Ishii, and L. H. Tsoukalas, “Vertical two-phase flow identification using advanced instrumentation and neural networks,” Nucl. Eng. Des., vol. 184, no. 2-3, pp. 409-420, 1998, doi: https://doi.org/10.1016/S0029-5493(98)00212-X
Y. Mi , , L. H. Tsoukalas, “Flow regime identification methodology with neural networks and two-phase flow models,” Nucl. Eng. Des. , vol. 204, no. 1-3, pp. 87-100, 2001, doi: https://doi.org/10.1016/S0029-5493(00)00325-3
C. Tan, F. Dong, and M. Wu, “Identification of gas/liquid two-phase flow regime through ERT-based measurement and feature extraction,” Flow Meas. Instrum., vol. 18, no. 5-6, pp. 255-261, 2007, doi: https://doi.org/10.1016/j.flowmeasinst.2007.08.003
E. S. Rosa, R. M. Salgado, T. Ohishi, N. Mastelari, “Performance comparison of artificial neural networks and expert systems applied to flow pattern identification in vertical ascendant gas-liquid flows,” Int. J. Multiph. Flow, vol. 36, no. 9, pp. 738-754, 2010, doi: https://doi.org/10.1016/j.ijmultiphaseflow.2010.05.001
R. Banasiak et al., “Study on two-phase flow regime visualization and identification using 3D electrical capacitance tomography and fuzzy-logic classification,” Int. J. Multiph. Flow, vol. 58, pp. 1-14, 2014, doi: https://doi.org/10.1016/j.ijmultiphaseflow.2013.07.003
H. Shaban, S. Tavoularis, “Identification of flow regime in vertical upward air-water pipe flow using differential pressure signals and elastic maps,” Int. J. Multiph. Flow, vol. 61, pp. 62-72, 2014, doi: https://doi.org/10.1016/j.ijmultiphaseflow.2014.01.009
H. Shaban , S. Tavoularis, “Measurement of gas and liquid flow rates in two-phase pipe flows by the application of machine learning techniques to differential pressure signals,” Int. J. Multiph. Flow, vol. 67, pp. 106-117, 2014, doi: https://doi.org/10.1016/j.ijmultiphaseflow.2014.08.012
L. Wang, J. Liu, Y. Yan, X. Wang, T. Wang, “Gas-Liquid Two-Phase Flow Measurement Using Coriolis Flowmeters Incorporating Artificial Neural Network, Support Vector Machine, and Genetic Programming Algorithms,” IEEE Trans. Instrum. Meas., vol. 66, no. 5, pp. 852-868, 2017, doi: https://doi.org/10.1109/TIM.2016.2634630
A. Van Der Spek, A. Thomas, “Neural-net identification of flow regime with band spectra of flow-generated sound,” SPE Reserv. Eval. Eng., vol. 2, no. 6, pp. 489-498, 1999, doi: https://doi.org/10.2118/59067-PA
S. Cai, H. Toral, J. Qiu, J. S. Archer, “Neural network based objective flow regime identification in air‐water two phase flow,” Can. J. Chem. Eng., vol. 72, no. 3, pp. 440-445, 1994, doi: https://doi.org/10.1002/cjce.5450720308
H. Yan, Y. H. Liu, C. T. Liu, “Identification of flow regimes using back-propagation networks trained on simulated data based on a capacitance tomography sensor,” Meas. Sci. Technol., vol. 15, no. 2, pp. 432-436, 2004, doi: https://doi.org/10.1088/0957-0233/15/2/017
R. Hanus, M. Zych, M. Kusy, M. Jaszczur, L. Petryka, “Identification of liquid-gas flow regime in a pipeline using gamma-ray absorption technique and computational intelligence methods,” Flow Meas. Instrum., vol. 60, no. September 2017, pp. 17-23, 2018, doi: https://doi.org/10.1016/j.flowmeasinst.2018.02.008
P. Wiedemann, A. Döß, E. Schleicher, U. Hampel, “Fuzzy flow pattern identification in horizontal air-water two-phase flow based on wire-mesh sensor data,” Int. J. Multiph. Flow, vol. 117, pp. 153-162, 2019, doi: https://doi.org/10.1016/j.ijmultiphaseflow.2019.05.004
L. Zhang and H. Wang, “Identification of oil-gas two-phase flow pattern based on SVM and electrical capacitance tomography technique,” Flow Meas. Instrum., vol. 21, no. 1, pp. 20-24, 2010, doi: https://doi.org/10.1016/j.flowmeasinst.2009.08.006
M. M. F. Figueiredo, J. L. Goncalves, A. M. V. Nakashima, A. M. F. Fileti, R. D. M. Carvalho, “The use of an ultrasonic technique and neural networks for identification of the flow pattern and measurement of the gas volume fraction in multiphase flows,” Exp. Therm. Fluid Sci., vol. 70, pp. 29-50, 2016, doi: https://doi.org/10.1016/j.expthermflusci.2015.08.010
M. Meribout, N. Al-Rawahi, A. Al-Naamany, A. Al-Bimani, K. Al-Busaidi, A. Meribout, “Integration of impedance measurements with acoustic measurements for accurate two phase flow metering in case of high water-cut,” Flow Meas. Instrum., vol. 21, no. 1, pp. 8-19, 2010, doi: https://doi.org/10.1016/j.flowmeasinst.2009.09.002
S. Azizi, M. M. Awad, E. Ahmadloo, “Prediction of water holdup in vertical and inclined oil-water two-phase flow using artificial neural network,” Int. J. Multiph. Flow, vol. 80, pp. 181-187, 2016, doi: https://doi.org/10.1016/j.ijmultiphaseflow.2015.12.010
T. Sunder Raj, D. P. Chakrabarti, G. Das, “Liquid-liquid stratified flow through horizontal conduits,” Chem. Eng. Technol., vol. 28, no. 8, pp. 899-907, 2005, doi: https://doi.org/10.1002/ceat.200500067
R. Shirley, , G. Das, “Artificial Neural Networks in Liquid-Liquid Two-Phase Flow,” Chem. Eng. Commun., vol. 199, no. 12, pp. 1520-1542, 2012, doi: https://doi.org/10.1080/00986445.2012.682323
D. P. Chakrabarti, G. Das, S. Ray, “Pressure drop in liquid-liquid two phase horizontal flow: Experiment and prediction,” Chem. Eng. Technol., vol. 28, no. 9, pp. 1003-1009, 2005, doi: https://doi.org/10.1002/ceat.200500143
Shoham O, Mechanistic Modeling of Gas-Liquid Two-Phase Flow in Pipes. 2006.
Notas
Declaración de intereses