Artículos
Comparación obras de reducción del riesgo sobre áreas de amenaza alta por inundación sobre un sector de la Quebrada Tonchala en San José de Cúcuta
Comparison of risk reduction works on areas high threat due to flooding over a sector of the Tonchala Quebrada of San José de Cúcuta
Comparación obras de reducción del riesgo sobre áreas de amenaza alta por inundación sobre un sector de la Quebrada Tonchala en San José de Cúcuta
Revista UIS ingenierías, vol. 22, núm. 3, pp. 167-176, 2023
Universidad Industrial de Santander
Recepción: 24 Noviembre 2022
Aprobación: 10 Junio 2023
Publicación: 27 Agosto 2023
Resumen: Las estructuras de protección cumplen un papel importante en relación con la reducción del riesgo en áreas con amenaza alta por inundación. Estas se consideran importantes para identificar deficiencias emergentes y así, intervenir de manera efectiva. La problemática analizada involucra la comparación de obras de reducción enfocadas a proyectos orientados a la protección, es decir, la reducción de la amenaza en áreas de mayor riesgo de inundación. El objetivo de la investigación es comparar tipos de obras de protección en áreas con mayor riesgo de inundación de la Quebrada Tonchalá del municipio de San José de Cúcuta. El método empleado en esta investigación corresponde al tipo aplicada, la cual está relacionada profundamente con la investigación básica, ya que, aunque dependen de conocimientos iniciales adquiridos, se caracteriza por poseer un mayor enfoque de la aplicación de conocimientos a la práctica. Además de esto, se efectúa un análisis multicriterio mediante el método AHP (Analytical Hierarchy Process) para la selección de la obra de protección al sector de estudio, este método se enfoca en evaluar la idoneidad con base a diferentes lineamientos propuestos para una adecuada evaluación de aspectos que inciden directamente en la toma de decisiones. Como resultado, se establece la construcción de un muro de hormigón como estructura de protección para la reducción del riesgo por amenaza alta de inundación, el cual obtuvo una ponderación final del 35 % sobre las demás alternativas, lo cual demuestra que esta es la que mejor se adapta a las condiciones del área de estudio.
Palabras clave: AHP, amenaza por inundación, análisis multicriterio, caracterización de riesgo, consistencia lógica, jerarquía analítica, mitigación de riesgo, obras de reducción, planicies aluviales, reducción del riesgo.
Abstract: Protection structures play an important role in reducing risk in areas with high flood threats. These are considered important to identify emerging deficiencies and thus intervene effectively. The problem analyzed involves the comparison of reduction works focused on protection-oriented projects, that is, the reduction of the threat in areas of greater risk of flooding. The research objective is to compare types of protection works in areas with the highest risk of flooding in the Quebrada Tonchalá in the San José de Cucuta municipality. The method used in this research corresponds to the applied type, which is deeply related to basic research, since, although they depend on initial knowledge acquired, it is characterized by having a greater focus on the application of knowledge to practice. In addition to this, a multi-criteria analysis is carried out using the AHP (Analytical Hierarchy Process) method for the selection of the protection work for the study sector, this method focuses on evaluating the suitability based on different guidelines proposed for an adequate evaluation of aspects that directly affect decision making. As a result, the construction of a concrete wall is established as a protection structure for risk reduction due to high flood threat, which obtained a final weighting of 35% over the other alternatives, which shows that this is the one that best adapted to the conditions of the study area.
Keywords: AHP, Alluvial plains, Analytic hierarchy, Flood threat, Logical consistency, Multicriteria analysis, Reduction works, Risk characterization, Risk mitigation, Risk reduction.
1. Introducción
Actualmente, la pérdida de cobertura del suelo se ha hecho evidente en diversos sectores del país, situación que se ha evidenciado por las comunidades ubicadas en las riberas de ríos y quebradas, las cuales han sido afectadas por procesos erosivos del suelo y aumento de los niveles de caudales, ya sea por cambios morfológicos de los cauces, agentes geológicos, hidrodinámicos o antrópicos; en vista de esto, ha surgido la necesidad de analizar estructuras de protección de riberas de ríos, con el fin de contemplar las condiciones óptimas y la necesidad de los sectores para implementar obras de protección, para la mitigación y reducción de la amenaza alta por inundación [1].
Según informes presentados a la Unidad Nacional para la Gestión del Riesgo de Desastres, Cúcuta se encuentra categorizado como el municipio con mayor número de inundaciones presentadas; esta entidad, es definida como una unidad administrativa adscrita al poder ejecutivo, su objetivo radica principalmente en la implementación de estrategias de mitigación de riesgos y desastres, con el fin de atender políticas de desarrollo, estructurando una red de coordinación entre las entidades gubernamentales y las zonas con mayor índice de vulnerabilidad [2].
Adicionalmente, municipios aledaños a Cúcuta, como lo son: los Patios, Puerto Santander, Villa del Rosario, el Zulia y San Cayetano, pertenecientes al área metropolitana, han sido receptores de numerosos eventos, seguidos por Tibú y Ocaña. Entre las razones que se identifican por medio de los estudios realizados por la corporación autónoma regional (CAR), se evidencia que la ubicación es uno de los factores principales. Esto se relaciona con las planicies aluviales que generan este tipo de problemática que afecta a la sociedad [3]. Ante esta situación, las estructuras de protección cumplen un papel importante en relación con la reducción del riesgo en áreas con amenaza alta por inundación, estas se consideran importantes para identificar deficiencias emergentes y así, intervenir de manera efectiva efectuando así, disminuir la amenaza presentada [3].
La evaluación de impacto de riesgo por inundaciones realizada por el plan departamental de cambio climático, deja como evidencia que cuatro municipios se encuentran catalogados con un índice de riesgo Alto (3) correspondiente al 10 %, entre estos se encuentran: Cúcuta, El Zulia, Puerto Santander y San Cayetano; así mismo, cuatro municipios se ubicaron con una puntuación de impacto general promedio (2) siendo de 10 %, en estos se encuentran: Santiago, Sardinata, Tibú y Villa del Rosario, los demás se encuentran caracterizados como riesgo bajo de inundación, los cuales corresponden al 80 % de los municipios restantes de Norte de Santander [3].
Los barrios con mayores reportes por inundaciones corresponden a El Progreso, La Victoria, sectores del barrio Boconó, barrios Guaimaral, Prados del Este, Centro y sectores cercanos al río Pamplonita y canal Bogotá, donde se encuentran expuestos los tramos de las vías, estas ubicaciones corresponden al área metropolitana de la ciudad y parte de la rural ubicada en zonas de inundación.
Infortunadamente se han presentado diferentes desbordamientos en la zona, afectaciones que vulneran la estabilidad de las familias que habitan este lugar. Frente a esto, una de las situaciones más constantes corresponde a las inundaciones, generando un desplazamiento hacia otros lugares que no presentan una estabilidad en su terreno y adicionalmente, la perdida de bienes muebles e inmuebles a las familias [4].
Las obras de reducción del riesgo se caracterizan por ser alternativas adecuadas y pertinentes en función a los casos presentados actualmente, específicamente, en lo relacionado con las inundaciones que infortunadamente están presentes a causa de la temporada invernal, generando afectaciones sociales [5]. La Ley 1523 del 2012 establece la relación que esta tiene con la reducción de los riesgos, para lo cual se plantean estrategias de intervención regulatorias o correctivas, con el fin de minimizar los daños y perjuicios que pueden derivarse, los cuales están contemplados en la norma de seguridad de proyectos de inversión pública o privada, con lo que se espera reducir en gran medida, las condiciones de vulnerabilidad existentes [6].
Teniendo en cuenta las inundaciones que se han presentado a lo largo y ancho de la ciudad de Cúcuta, específicamente en el sector de la Quebrada Tonchalá y ante los diferentes tipos de obras de reducción y mitigación existentes, la investigación tiene como principal objetivo, comparar tipos de obras de protección en áreas con mayor riesgo por amenaza alta de inundación de la Quebrada Tonchalá del municipio de San José de Cúcuta, el cual se desarrolla mediante la aplicación de un análisis multicriterio, implementando el método AHP (Analytic Hierarchy Process), para evaluar alternativas de reducción del riesgo, jerarquizando estas para la toma de decisiones. Para esto, se analizan subcriterios, entre los cuales se tienen en cuenta factores económicos, técnicos, sociopolíticos y ambientales.
2. Metodología
El método empleado en esta investigación corresponde al tipo aplicada, la cual está relacionada profundamente con la investigación básica, ya que, aunque depende de conocimientos iniciales adquiridos, se caracteriza por poseer un mayor enfoque de la aplicación de conocimientos a la práctica [7].
Definiendo técnicamente el tipo de investigación, se puede decir que el problema a resolver está definido y es de amplio conocimiento por parte del investigador; es por esto que, el estudio hace énfasis en la solución de preguntas focalizadas, centrándose en la forma en la cual se puede implementar dicho estudio a la práctica general y, por ende, se induzca una solución a la problemática planteada a lo largo de esta investigación.
Seguidamente, [8] explica que este tipo de estudios también pueden ser conocidos como prácticos o empíricos, los cuales son caracterizados por su orientación a la aplicación de los conocimientos generados, a medida que se genera nuevo conocimiento producto de la misma. La implementación del conocimiento producto de la investigación, conduce a un ciclo de rigurosidad, organización sistemática que permite aprender sobre la realidad de las circunstancias.
Esta metodología seleccionada es importante, pertinente y oportuna para el desarrollo del presente artículo, de acuerdo con el problema planteado junto con las necesidades [9]. Su relación con la problemática identificada es adecuada y es importante que se haga uso de ella de la manera más adecuada con el ánimo de cumplir las metas, entre ellas, la identificación de una obra para la protección de cauces y reducción del riesgo persistente a las familias aledañas de la quebrada Tonchalá [8].
Adicionalmente, entre los procesos utilizados se identifica la implementación del denominado "análisis multicriterio", este se caracteriza porque explica y promedia las diferentes perspectivas de todos los grupos de interés, lo cual facilita a estos últimos a desarrollar un enfoque multidisciplinario, con el cual se planifica y analizan los proyectos de investigación alternativos, así como también, el adecuado desarrollo de escenarios sostenibles, comparando la situación actual de la problemática, con la de los posibles usos futuros a los recursos hídricos [7], [10].
De acuerdo a lo establecido por [11], los análisis multicriterio o AMC, han sido implementados con el fin de reducir la dificultad al momento de plantear soluciones a la amplia gama de problemáticas ambientales. En el estudio realizado por dichos autores, se tiene en cuenta a diversos autores que han implementado esta herramienta como medio de solución de conflictos enfocados al análisis y evaluación de ecosistemas forestales, ya que, estos son de amplio interés para tomar decisiones en relación al desarrollo de la agricultura de países en vía de desarrollo; en vista de esto, se identifica la relación agrícola con la sociedad y el sistema que tiene mayor valor a largo plazo, con el cual se emite un juicio con respecto al índice evaluado en el ámbito económico de un parque natural [7].
Esta metodología es la adecuada para la realización del proceso investigativo, al argumentar que se hace el correspondiente análisis, en relación con las obras de reducción del riesgo conforme a las amenazas que se presentan a causa de las inundaciones en la zona delimitada, específicamente, la quebrada Tonchalá ubicada en el municipio de San José de Cúcuta.
3. Resultados
3.1 Método multicriterio de análisis para la determinación de los respectivos pesos mediante la AHP
La jerarquía de los procesos se puede observar y analizar desde múltiples perspectivas, entre ellas, se puede dar en un enfoque cualitativo, así como también, desde el cuantitativo, los cuales son integrados como un único proceso que facilita la toma de decisiones, donde se relacionan con otras variables como lo son la perspectiva individual y el pensamiento lógico, los cuales son estructurados simultáneamente para un posterior análisis [12]. Es así como el proceso se desarrolla naturalmente como un medio claro, fácil y efectivo, que permite finalmente llegar a una conclusión para tomar decisiones asertivas, basadas en múltiples criterios objetivos y confiables. Este método funciona como una guía de toma de decisiones acertadas y confiables, permitiendo así:
Identificar el problema a resolver.
Definir criterios de decisión.
Analizar múltiples disciplinas en un mismo grupo de trabajo.
Jerarquizar adecuadamente los criterios y subcriterios.
Establecer una relación entre los criterios establecidos, enfatizando en la importancia que tiene cada uno de estos para la síntesis de una decisión en conjunto.
Comparar los resultados obtenidos con los acordados al inicio del estudio [12].
3.2 Implementación del método multicriterio (AHP)
La jerarquía de procesos para el análisis mediante método multicriterio consta de tres principios básicos:
Elaboración de la jerarquía de procesos.
Determinación de importancia para su posterior desarrollo.
Consistencia lógica [12].
A menudo, estos sirven como guía para el desarrollo del proceso de validación. A continuación, se observa el desarrollo de cada uno de ellos para el presente artículo.
3.2.1 Principio de elaboración de la jerarquía
Según las respuestas dadas en la realización de encuestas a expertos, se realiza la identificación de las alternativas, los criterios y los objetivos para plantear un árbol de jerarquía. Lo anterior, se efectúa mediante el planteamiento de una relación jerárquica, teniendo en cuanta cuatro niveles diferentes como se observa en la Figura 1.

El primero define el propósito de análisis; el segundo permite la identificación de aspectos de importancia como lo son variables económicas, comerciales, institucionales y ambientales; el tercer y cuarto subcriterio tienen en cuenta aspectos alternos, los cuales pueden ser adecuados para dar cumplimiento al objetivo planteado inicialmente.
3.2.2 Principio de determinación de la importancia
En segunda instancia, el método AHP originalmente propone realizar comparaciones por cada par de subcriterios, por lo cual, se proporcionan valores a cada uno de los subcriterios analizados, de acuerdo a la escala de relación de importancia de Saaty (ver Tabla 1), con el fin de conocer en qué medida de importancia se encuentra cada subcriterio. Para el desarrollo de lo anterior, se genera una matriz determinística, en la cual se valora si un subcriterio se sobrepone a otro criterio. Para dicha comparación entre subcriterios, se evalúa entre filas y columnas, en este sentido, cuando un subcriterio presenta mayor importancia que otro, se le adiciona un valor contemplado entre 1 y 9, dependiendo de la importancia presentada en relación a la escala de Saaty [13].
Para la construcción de la matriz de comparación, se tienen en cuenta los criterios base; en vista de esto, el método sugiere que, si se adiciona un determinado valor "x", al realizar la comparación entre un subcriterio 1 vs subcriterio 2, su comparación inversa tendrá un valor estándar, determinado como 1/x [14].
Para identificar el nivel de importancia de los subcriterios se obtuvo del conocimiento de expertos en ingeniería hidráulica, constructores y docentes, todos estos con amplia experiencia en la materia, que dieron una perspectiva más amplia en el momento de evaluar las alternativas.
También se consultaron proyectos nacionales e internacionales concernientes al diseño y elaboración de obras que permiten llevar a cabo una reducción a los daños ocasionados, así como también, efectuar una disminución en el índice de vulnerabilidad frente a amenazas por inundación [15]. Seguidamente, se observa la comparación realizada por pares de subcriterios (ver Tabla 2), tal como se observa en la diagonal de la matriz, se presentan valores equivalentes a 1, esto hace referencia a que, se está analizando el subcriterio en función de él mismo, lo cual representa la equivalencia de igualdad en la escala de Saaty.
3.2.3 Principio de consistencia lógica
El análisis multicriterio implementado, permite medir las inconsistencias generales de los ensayos mediante la implementación de la tasa de consistencia y el índice de aleatoriedad.
El primero identifica una desviación de una matriz de comparación en términos de las inconsistencias presentadas en ella, la segunda, hace referencia a la inversa aleatoria, con restricciones basados en rango de escala de uno a nueve. El valor determinado anteriormente, no puede ser superior al 10%, con el fin de que esta sea una medida de evaluación razonable, este porcentaje de aceptabilidad se encuentra estandarizado en función a la cantidad de subcriterios que conforman la matriz de valoración, siendo diferente para cada tipo de matriz [12].
Haciendo uso de una matriz en Excel programada, se involucran las operaciones que se tienen en cuenta en el desarrollo del método AHP, se compararon los criterios mediante la elaboración de escala de importancia de Saaty (Tabla 1). Con la información obtenida, se lleva a cabo la elaboración de la matriz en la cual se establece la comparación anteriormente planteada por cada par de elementos n y en cada uno de los niveles establecidos, mediante la estimación del valor aproximado de cada uno e implementando la relación aij = wi/wj como medio de apoyo para la determinación del peso adecuado de cada uno de los elementos i en función de j (Tabla 2).

Luego de esto, se realiza el cálculo ponderado de la suma total por columna. Seguido a esto, a cada columna de la matriz de comparación por pares realizada, se desglosa el peso total de la columna obtenido para cada subcriterio; a su vez, se divide cada uno de los pesos de la matriz de comparación por pares, entre el total del peso de la misma columna, de esta forma, obtenemos una matriz normalizada, tal como se observa en la Tabla 3.

Seguidamente, de la matriz de la Tabla 3 se calculó la media estándar de cada una de las filas, con el valor obtenido anteriormente, se determinan los subcriterios ponderados y, de esta forma, encontramos el vector de prioridades inicial. El vector de preferencia obtenido anteriormente, para llevar a cabo una adecuada comparación de los subcriterios se observa en la Tabla 4. Inicialmente, en esta tabla podemos observar que el subcriterio 8 (Fenómenos amenazantes) es el de mayor importancia con un 20 %, seguido del subcriterio 5 (Factibilidad) con un 18% de importancia.

Posteriormente, se obtiene la ponderación de la suma de los valores resultantes del vector, lo cual permite obtener el valor máximo propio mediante la aplicación de la Ecuación 1.

Donde:
λmax: valor máximo que puede tomar una matriz de comparación.
λ: vector de preferencia obtenido anteriormente.
w: matriz que corresponde a sumar todos los elementos de la columna en una matriz de comparación.
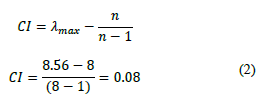
Después de calcular el valor máximo, se procede a realizar el cálculo del índice de consistencia (CI), en este, se resta el número de columnas de la matriz al valor máximo obtenido con la Ecuación 1, el resultado obtenido de esto, se divide por el número de columnas menos 1. Mediante la aplicación de la Ecuación 2 obtenemos el índice de consistencia, el cual presenta un valor equivalente a 0.08.

Donde:
n = número de alternativas que para nuestro caso son 8.
λ máx. = es el valor hallado en la Ecuación 1.
Finalmente, se lleva a cabo el cálculo del coeficiente de asociación (CR) implementando la Ecuación 3, la cual nos permite determinar si la evaluación se llevó a cabo adecuadamente al momento de realizar la matriz de comparación de los subcriterios. Para ello, se requiere tener el índice de aleatoriedad, para esto, Saaty ha preparado una tabla en la cual se muestran los diferentes índices de aleatoriedad determinados para múltiples matrices, en función al número de columnas, con sus respectivas inversas.

Para nuestro caso se tienen 8 subcriterios (n = 8) por lo que el valor de AI según la Tabla 5 es 1.45.
De acuerdo a lo anterior, si el coeficiente de consistencia CR es inferior o igual al 10 %, la evaluación se considera aceptable; de lo contrario, debe realizarse una revalorización y refinarse hasta llegar a un nivel de trabajo aceptable [16]. Para nuestro caso, la relación de consistencia es satisfactorio puesto que nuestro resultado es 0.055 que en porcentaje es aproximadamente 6 %.
Una vez que se han asignado satisfactoriamente los valores, lo siguiente es comparar las cuatro alternativas finales en pares para cada uno de los subcriterios que se están analizando. Con base a los 8 subcriterios que se establecieron para hallar la mejor alternativa de obra de protección para la reducción del riesgo en áreas que presentan amenaza alta por inundación, se generó una matriz de 8x4, a la cual fueron asignados valores numéricos en base al nivel de importancia, para esto, se tiene en cuenta la escala de Saaty; finalmente, se obtiene la comparación por pares entre cada una de las alternativas en función de cada uno de los subcriterios evaluados.
En la Tabla 6 se observa la Matriz para la ponderación final, esta es el resultado de la compilación de las ponderaciones evaluadas para cada uno de los subcriterios.

En este sentido, se incluyen 4 alternativas que, según la información secundaria obtenida mediante la aplicación de encuestas a profesionales a nivel regional, son las principales obras para la protección de márgenes de ríos, así como también, son implementadas para la protección contra desbordamientos de cauces y redireccionamiento del mismo, ya que son consideradas como obras de protección de blindaje. En la última fila de la matriz, se presentan los vectores de prioridades iniciales, en estos se establecen cada uno de los pesos obtenidos, así como también, se ordenan de acuerdo al nivel de importancia que cada una de las alternativas tiene sobre las demás.
De acuerdo a la información secundaria obtenida a partir de diversas encuestas realizadas a expertos, se asigna a cada matriz independiente, un valor de peso. Después de esto, teniendo la matriz de alternativas comparadas por cada uno de los subcriterios, se normaliza la matriz para cada subcriterio y se encuentra un vector de preferencia para cada uno, de igual forma, se calcula el vector de preferencia original. Finalmente, para realizar la comparación de alternativas para cada uno de los subcriterios, se calcula la relación de consistencia, mediante esta última, se consigue una comparación entre alternativas satisfactoria para cada uno de los subcriterios.
En la Figura 2 se muestran los pesos relativos obtenidos (valor de importancia) de subcriterios alternativos. Para el subcriterio costo-beneficio (C1) se observa que el Muro tiene la mayor preferencia, lo mismo sucede con el subcriterio Vida Útil (C2) donde el muro tiene superior preferencia. Esto se debe a que un muro seria la alternativa más duradera en el tiempo y, por tanto, mejor en la relación costo beneficio. Para la alternativa C7 que hace parte de los subcriterios ambientales, podemos observar que el dique es la alternativa de mayor preferencia, esto iría en concordancia con la normativa ambiental colombiana, ya que esta sería la obra de reducción que menos impactaría el ambiente y propendería por la conservación del ecosistema.

3.2.4 Principio de alternativas
Para determinar la mejor alternativa después de realizada la comparación por el método AHP, se toman los resultados de la matriz de la Tabla 5 y se multiplica cada una de las filas por la última, con el fin de obtener un valor en función del vector de prioridades de los subcriterios, adicionando los valores respectivos. En la Tabla 7 se observan los resultados producto de la operación matricial anteriormente descrita.

Con base a los resultados presentados en la Tabla 7, se determina que, de las alternativas para la protección y reducción del riesgo en áreas con amenaza alta de inundación analizadas, la que mejor se adapta a las condiciones del área de estudio es la construcción de muro de hormigón, la cual presenta un factor de ponderación de 35 %, seguida por la construcción de enrocado, con un factor de 26 %, entre las alternativas evaluadas en la investigación.
4. Conclusiones
La implementación del análisis multicriterio facilita relativamente la selección de una alternativa definitiva, que se acople adecuadamente a ciertas condiciones y que permita satisfacer una necesidad estructurada dentro de un conjunto de posibles soluciones planteadas y establecidas inicialmente por el investigador. Así mismo, de conformidad con los resultados obtenidos por la evaluación mediante el método AHP, la jerarquía de importancia de cada una de las alternativas finales que se adaptan adecuadamente a las condiciones del área de estudio de la investigación y por las cuales se priorizan las obras de protección de cauces queda dada de la siguiente forma: muro de hormigón, enrocado, dique y geomalla; siendo en este caso, el muro de hormigón la mejor alternativa de obra de protección, ya que se adapta adecuadamente a las condiciones del área de estudio, la cual presenta un alto riesgo por amenaza alta de inundación.
A partir de la identificación de la problemática de estudio en la investigación, se determina que diversos factores geomorfológicos ocasionan que se presente un alto riesgo por amenaza alta de inundación en el sector aledaño a la Quebrada Tonchalá en el municipio de San José de Cúcuta, con lo cual, mediante el desarrollo de la investigación, y de acuerdo a las condiciones del área de estudio y a experiencias profesionales recolectadas, se establecen 4 alternativas de obra de protección para la reducción del riesgo, dentro de estas, se contempla la construcción de Dique en tierra, Enrocado, Muro en hormigón y la disposición de Geomallas. Para establecer estas alternativas de obras de protección, se jerarquizó las diferentes alternativas existentes y se analizó cada una por separado conforme al comportamiento de cada una con respecto a los subcriterios; de esta forma, se plantean las alternativas propuestas. Finalmente, como producto de esta investigación, se propone la obra de protección de muro de hormigón, con la cual se logra satisfacer la necesidad de la problemática y la cual se adapta adecuadamente a las condiciones geomorfológicas del sector de estudio; a su vez, se dispone de esta para una futura modelación hidráulica, con el fin de obtener y analizar los costos de la implementación de esta para el desarrollo de un proyecto a futuro, en el que se implementen los resultados aquí obtenidos.
Referencias
P. Rodriguez Buitrago, "Gestión para la construcción de la obra de mitigación que reduce las condiciones del riesgo de desastres asociadas a la socavación en la ribera occidental del río Magdalena en el municipio de La Dorada en el Departamento de Caldas," trabajo fin de curso, Universidad Católica de Manizales, Colombia, 2021.
Sistema Nacional de Discapacidad SND, "¿Qué es la gestión del riesgo?", Ministerio de Salud y Protección Social, 2007.
Instituto de Investigaciones Ambientales del Pacifico, "Plan Integral de Cambio Climático: Chocó -Colombia," Ministerio de Ambiente y Desarrollo Sostenible, vol. 2017, pp. 0-211, 2018. [En línea]. Disponible en: https://accionclimatica.minambiente.gov.co/download/plan-integral-de-cambio-climatico-choco/
GMS Ingenieros Consultores S.A.S., Estudio hidrológico y diseño de obras para mitigar la amenaza por inundación en la quebrada San Ignacio, área urbana del municipio de Caramanta, Medellín. CORANTIOQUIA, 2019. [En línea]. Disponible en: https://www.corantioquia.gov.co/ciadoc/SUELO/AIRN R_040_CV1906_102.pdf
J. A. Maza Álvarez, V. Franco, "Obras de protección para control de inundaciones", Series del Instituto de Ingeniería UNAM, no. 591, 1997.
"Procedimiento Ejecución De Obras De Mitigación De Riesgos," Instituto Distrital de Gestión de Riesgos y Cambio Climático, 2021.
M. de la P. Moral, "Análisis multicriterio: una herramienta innovadora en la gestión sustentable de los recursos hidricos," XXXIXCongreso Argentino de Profesores Universitarios de Costos-IAPUCO, Tucumán, 2016. [En línea]. Disponible en: https://iapuco.org.ar/wp-content/uploads/2020/04/18.pdf
Z. R. Vargas Cordero, "La Investigación aplicada: Una forma de conocer las realidades con evidencia cientifica," Rev. Educ., vol. 33, no. 1, p. 155, 2009, doi: https://doi.org/10.15517/revedu.v33i1.538
J. Lozada, "Investigación Aplicada: Definición, Propiedad Intelectual e Industria," Cienciaamérica, vol. 1, no. 3, pp. 34-39, 2014. [En línea]. Disponible en: https://cienciamerica.edu.ec/index.php/uti/article/view/30
J. C. Jiménez Sal, "El análisis multicriterio como método para la gestión sustentable de los recursos hídricos," XIWorld Water Congress in Madrid, Spain, 2003.
P. Mesa, J. Martín-Ortega, J. Berbel, "Análisis multicriterio de preferencias sociales en gestión hídrica bajo la Directiva Marco del Agua," Economía Agraria y Recursos Naturales, vol. 8, no. 2, pp. 105-126, 2008. [En línea]. Disponible en: https://core.ac.uk/download/pdf/6387127.pdf
J. F. Pacheco, E. Contreras, Manual para la evaluación multicriterio para programas y proyectos. CEPAL-Naciones Unidas, Chile, 2008.
T. L. Saaty, Toma De Decisiones Para Líderes. RWS Publications, 2004.
F. Muñoz-Sarria, M. Bueno-López, "Metodologia para la selección de tecnologías en proyectos de energización rural," Rev. UIS Ing., vol. 21, no. 3, Sep. 2022, doi: https://doi.org/10.18273/revuin.v21n3-2022008
F. L. Franco Idarraga, "Respuestas y propuestas ante el riesgo de inundación de las ciudades colombianas," Rev. Ing., no. 31, pp. 97-108, 2010.
T. L. Saaty, Multicriteria Decision Making: The Analytic Hierarchy Process: Planning, Priority Setting, Resource Allocation. RWS Publications, 1990.
Notas
Notas de autor
a Correos electrónicos: heynneryesidcj@ufps.edu.cobnelsonjaviercc@ufps.edu.cocgustavocarrillo@ufps.edu.co
Declaración de intereses