Artículos
Recomendaciones para la realización y análisis de pruebas experimentales en turbinas hidráulicas tipo Michell-Banki
Recommendations for the performance and analysis of experimental tests on Michell-Banki hydraulic turbines
Recomendaciones para la realización y análisis de pruebas experimentales en turbinas hidráulicas tipo Michell-Banki
Revista UIS ingenierías, vol. 23, no. 2, pp. 47-70, 2024
Universidad Industrial de Santander
Received: 04 July 2023
Accepted: 15 January 2024
Published: 23 April 2024
Funding
Funding source: Ministerio de Ciencia, Tecnología e Innovación de Colombia
Contract number: No. 112721-392-2023
Funding statement: Ministerio de Ciencia, Tecnología e Innovación de Colombia "MinCiencias" a través del "Patrimonio Autónomo Fondo Nacional de Financiamiento para la Ciencia, la Tecnología y la Innovación, Francisco José de Caldas" (Alianza Perseo, Contrato No. 112721-392-2023).
Resumen: En este trabajo, se realiza la caracterización experimental de una turbina Michell-Banki a escala de laboratorio y se presentan recomendaciones para un adecuado montaje experimental que permita medir las variables involucradas en la generación de energía y caracterizar la turbina de manera adecuada. El rodete de la turbina consistió en 26 álabes dispuestos simétricamente en la periferia entre dos placas circulares. La turbina diseñada fue capaz de producir hasta 100 W a una velocidad de flujo de agua y una altura de 0.009 m3/s y 0.6311 m, respectivamente. La curva de eficiencia de la turbina se determinó en un banco hidráulico mediante el uso de un sensor de torque con encoder. La máxima eficiencia de la turbina fue del 85%. Esta tecnología podría ser de gran ayuda para impulsar actividades que requieren energía eléctrica, como las relacionadas con la agricultura, la producción de alimentos, la educación y la salud en áreas donde el acceso a la electricidad es limitado o inexistente.
Palabras clave: Turbina Michell-Banki, caracterización experimental, turbina de flujo cruzado, banco hidráulico, inyector, eficiencia de la turbina.
Abstract: In this work, the experimental characterization of a Michell-Banki turbine on a laboratory scale is carried out and recommendations are presented for an adequate experimental setup that allows measuring the variables involved in energy generation and adequately characterizing the turbine. The turbine's impeller consisted of 26 blades that were symmetrically arranged between two circular plates. The designed turbine could produce up to 100 W at a water flow rate and head of 0.009 m3/s and 0.6311 m, respectively. The turbine efficiency curve was determined on a hydraulic bench using a torque sensor with encoder. The maximum turbine efficiency was 85%. This technology could be of great help in promoting activities that require electrical energy, such as those related to agriculture, food production, education, and health in areas where access to electricity is limited or non-existent.
Keywords: Michell-Banki turbine, experimental characterization, cross-flow turbine, hydraulic bench, nozzle, turbine efficiency.
1. Introducción
La generación hidroeléctrica es la tercera fuente de generación de energía eléctrica después de las plantas térmica que operan con carbón (39%) y gas natural (22%), con una participación cercana al 20% de la capacidad instalada de generación a nivel mundial [1]. La mayoría de los países del mundo, incluidos China, Estados Unidos, Rusia e India, siguen dependiendo en gran medida de los combustibles fósiles como principal fuente de producción de electricidad, con más del 79% de su matriz energética [2]. Esta alta dependencia de los combustibles fósiles trae como resultado un incremento de las emisiones de gases de efecto invernadero [3].
Debido a esto, muchos países están haciendo esfuerzos para diversificar su matriz energética a partir de las fuentes no convencionales de energía renovable, pues contribuyen a la disminución de emisiones de carbono [4] y las convierte en fuentes de energía sostenibles. A pesar del cuestionamiento de las grandes centrales hidroeléctricas en términos de la protección del medio ambiente, hoy en día la energía hidroeléctrica, en especial la energía hidráulica a pequeña escala es considerada limpia, renovable y una fuente de bajo costo para la generación de electricidad con eficiencias entre el 80 y 90% dependiendo del tamaño y capacidad de la central [5]. Las centrales hidroeléctricas a pequeña escala son aquellas centrales con capacidad para generar entre 0.1 y 10 MW [6].
En el año 2019 la demanda de energía en Colombia se estimó en 69121 GWh valor que ha crecido en los últimos años a una tasa promedio anual del 3%. Para abastecer esta demanda se tiene una capacidad instalada de generación de 17 GW de los cuales 12.1 GW provienen de centrales hidroeléctricas [7]. Esta capacidad instalada representa cerca del 69% de la matriz energética del sector eléctrico del país. Debido a su capacidad instalada de generación hidroeléctrica, Colombia se encuentra en el top 20 de los países con mayor capacidad de generación de hidroelectricidad a nivel mundial y ocupa la tercera posición en América Latina después de Brasil (100273 MW) y Venezuela (15393 MW) de acuerdo con estadísticas de la Agencia Internacional de energía (International Energy Agency, IEA). Sin embargo, se estima que el potencial de generación hidroeléctrica técnicamente factible en Colombia es de unos 200 TWh/año, con unos 140 TWh/año de potencial hidroeléctrico considerados económicamente viables.
Para la generación de energía hidráulica es posible utilizar diversos tipos de turbinas, según la cabeza y el caudal disponibles. Las turbinas hidráulicas se pueden clasificar en dos grupos: las turbinas convencionales y las turbinas emergentes. En el grupo de las turbinas convencionales se distinguen dos tipos: turbinas de impulso o de velocidad y en turbinas de reacción o de presión. Las turbinas Francis y Kaplan son turbinas típicas de reacción que utilizan tanto la presión como el movimiento del agua para generar una fuerza hidrodinámica capaz de hacer girar el rodete de la turbina [8]. El rodete de este tipo de turbinas está completamente sumergido en el agua. Por su parte, las turbinas de impulso tales como Pelton, Turgo, Michell Banki o de flujo cruzado, utilizan un chorro de agua a alta velocidad que impactan los álabes del rodete de la turbina dando origen a su movimiento rotacional. A diferencia de las turbinas de reacción, en este tipo de turbinas la descarga del agua se realiza a presión atmosférica. Las turbinas de reacción son generalmente más aplicables a sistemas de baja altura, mientras que las turbinas de impulso son más adecuadas para aplicaciones de altura media y alta con alta variabilidad del flujo. Las turbinas de impulso se consideran menos costosas que las turbinas de reacción y son de más fácil mantenimiento. Además de las turbinas convencionales, existe un interés creciente en el desarrollo e instalación de tecnológicas emergentes, como las turbinas hidrocinéticas, turbinas tipo sifón, turbinas tipo Arquímedes, entre otras [8]. Es importante resaltar que el grupo de tecnologías emergentes presentan ventajas competitivas frente al grupo de las turbinas convencionales desde el punto de vista económico y ambiental a pesar de la baja densidad de energía de algunos dispositivos emergentes aún en desarrollo.
Ante el potencial hídrico disponible en Colombia y la necesidad de incrementar la capacidad instalada frente al escenario creciente de la demanda de energía [7] es importante impulsar el desarrollo de turbinas para las condiciones de los cauces colombianos, con el fin de lograr una óptima transferencia de energía, e impulsar el crecimiento industrial en el país. Una turbina que podría desarrollarse y fabricarse a bajo costo en los países en vía de desarrollo es la turbina Michell Banki o de flujo cruzado, debido a su simple diseño y facilidad de fabricación. La turbina está compuesta por dos partes principales: rodete e inyector. El rodete consiste en dos discos paralelos conectados por una serie de álabes curvos. Por su parte, el inyector tiene una sección transversal rectangular con una pared trasera curva, su función es la de dirigir el flujo hacia el rodete con un ángulo de ataque específico.
La turbina de flujo cruzado es usada comúnmente en pequeños aprovechamientos hidroeléctricos [9]. A lo largo de los años, diversos autores han estudiado como influyen diferentes parámetros en el desempeño de la turbina de flujo cruzado con el fin de obtener un diseño óptimo de la misma. Para lograr esto, los autores han hecho uso de la simulación numérica y la experimentación. Dado que la experimentación es un factor muy importante en el momento de validar los diseños de las turbinas, en este artículo se presenta un análisis y discusión de las técnicas experimentales usadas para la caracterización de las turbinas de flujo cruzado. Para este propósito se revisará un análisis de la literatura existente y se presentarán las recomendaciones para el adecuado montaje experimental que permitirán medir las variables que están involucradas en el proceso de generación de energía, y de esta forma realizar una adecuada caracterización de la turbina. En el artículo también se presenta la caracterización experimental de una turbina Michell-Banki a escala de laboratorio. La curva de eficiencia de la turbina fue determinada usando un sensor de torque con encoder.
2. Materiales y métodos
2.1. Revisión de la literatura
La turbina Michell Banki, fue concebida y patentada por el ingeniero australiano Anthony George Maldon Michell en 1903; la turbina fue basada en la teoría de Poncelet, ingeniero francés (1788-1867) quien desarrolló la clásica rueda hidráulica de eje horizontal. Posteriormente el profesor húngaro Donat Banki en la Universidad Técnica de Budapest hizo un trabajo extensivo sobre esta máquina entre 1912 y 1918. A través de una serie de publicaciones especificó que, para obtener la máxima eficiencia, el ángulo con el cual el chorro golpea al álabe debe ser tan pequeño como sea posible. Basado en esta suposición calculó los ángulos de entrada y salida del rotor, ancho del mismo, la forma del flujo a través de éste, curvatura del álabe, etc. La turbina fue perfeccionada posteriormente tanto hidráulica como mecánicamente por la casa Ossberger de Baviera -Alemania Occidental, quienes desarrollaron el modelo Michell - Ossberger de la turbina. A continuación, se presentan algunos estudios experimentales disponibles en la literatura sobre el comportamiento de turbinas de flujo cruzado.
Mockmore y Merryfield en 1949 estudiaron una turbina de un diámetro exterior de 0.3327 m, un ancho del rodete de 0.305 m y 20 álabes. Para las pruebas usaron cabezas en un rango de 2.14 m hasta 5.49 m, medidas con respecto al centro del rodete [10]. También se usó un flujo de agua de 0.06216 m3/s. Si bien en esta investigación no se dan muchos detalles acerca del dispositivo de pruebas, se sabe que usaron el laboratorio de hidráulica del Oregon State College. En el dispositivo de pruebas el inyector estaba conectado a un tanque de presión grande y se regulaba la cabeza por medio de válvulas. De manera semejante al caso de los detalles de la instalación experimental, no se brinda mucha información acerca de las variables medidas, sin embargo, detallan que usaron un tubo piezométrico para medir la cabeza en el inyector, así como un freno Prony para la carga. En este estudio los autores obtuvieron una eficiencia máxima del 68% y concluyeron que la eficiencia máxima se produce a velocidad constante.
Por su parte Durgin y Fay en 1984 construyeron un modelo de turbina de flujo cruzado para estudiar las características del flujo interno [11]. El modelo fue fabricado en plexiglás para observar el flujo dentro de la turbina. El laboratorio contaba con una toma de compuerta desde un estanque hasta un tanque de compensación. Se conectó una línea secundaria de 12 pulgadas del tanque con un medidor Venturi estándar de hierro fundido a través de una válvula de compuerta a la máquina que descargaba en un canal. El medidor de flujo estaba equipado con un manómetro para determinar la presión diferencial. Se usaron dos dinamómetros, un dinamómetro de absorción Alden de 9 pulgadas y un freno Prony, para medir la potencia. Se usaron dos métodos para registrar la velocidad del eje del rodete. Se usó un tacómetro de mano tipo flyball para velocidades superiores a 200 RPM. Las velocidades por debajo de 200 RPM se determinaron con un cuentarrevoluciones de mano y un cronómetro de laboratorio. La presión de entrada de la turbina fue registrada con un manómetro de tubo Bourdon. Usaron una cámara y una luz estroboscópica ajustada al obturador de la cámara para tomar fotografías.
Para obtener las curvas características de la turbina, la válvula de compuerta en la línea de entrada se abrió para proporcionar una desviación predeterminada del manómetro del medidor Venturi, luego, los datos del manómetro, el tubo de Bourdon y el tacómetro fueron registrados. Para determinar el arco de entrada óptimo (X), que se muestra en la Figura 1, se realizaron pruebas en las que se varió la posición de un álabe guía dentro del inyector. Para interceptar el flujo entre etapas, se fabricó un álabe a partir de una pieza de tubería de tres pulgadas y se insertó en el rodete, a través del orificio del puerto, y se fijó a la carcasa.
La investigación reveló que una cantidad significativa del agua no contribuyó con la transferencia de energía en la segunda etapa. Además, los resultados mostraron que el rodete se llevaba parte del flujo, y debido a esto, concluyeron que el flujo cruzado no existía en forma de un chorro muy bien definido. Por otro lado, la eficiencia máxima obtenida fue de 61% y se concluyó que la segunda etapa contribuye el 17% de la producción de potencia.
![a) Conjunto inyector-turbina. El ángulo X es conocido como arco de entrada y al ángulo a se le conoce como ángulo de ataque. b) Geometría de los álabes. El ángulo βl y β2 se refieren al ángulo de entrada y de salida del álabe, respectivamente. Fuente: adaptada de Sammartano et al. [12].](../2145-8456-uisi-23-02-47-gf1.png)
Khosrowpanah en 1998 estudió el desempeño de la turbina de flujo cruzado variando el número de álabes, el diámetro del rodete y el arco de entrada del inyector bajo variaciones de cabeza/flujo [13]. Los modelos usados fueron diseñados para una cabeza total de 1.79 m y una descarga de 0.03 m3, con una eficiencia asumida del 65%, además de una relación de diámetros interior/exterior de 0.68. En total se construyeron cuatro modelos, en donde el rodete 1 tenía un diámetro de 0.01524 m, y los rodetes 2, 3 y 4 tenían un diámetro de 0.03048 m.
Los ángulos de entrada y salida del álabe fueron 30° y 90° respectivamente, con una longitud a lo largo del eje de 0.01524 m. Para el rodete 1, usaron 20 álabes, y 20, 15, y 10 álabes para los rodetes 2, 3, y 4 respectivamente. La carcasa estaba abierta a la atmósfera en la parte superior. No se utilizó ningún tubo de aspiración, que es un conducto normalmente acodado, que une a las turbinas con el canal de desagüe, su objetivo es crear una succión a la salida del rotor (depresión). Los inyectores tenían el mismo ancho de los álabes para todos los rodetes, pero se variaron los arcos de entrada usando valores de 58°, 78°, y 90°. En la Figura 2 se ilustra el modelo de rodete de 0.03048 m con el inyector de 90° de arco de entrada y sus medidas.
![Dimensiones del rodete de diámetro 30.48 cm con el inyector de 90o de arco de entrada. Fuente: adaptada de [13].](../2145-8456-uisi-23-02-47-gf2.png)
La relación de ancho de garganta de inyector para estas tres boquillas fue de 0.41. El caudal suministrado al inyector fue medido con un tubo Venturi calibrado y usaron valores entre 0.02016 m3/s a 0.04032 m3/s. La velocidad, presión y cabezas totales fueron medidas en la entrada del inyector con dos tubos de Pitot, atravesando el inyector en dos direcciones ortogonales. En el estudio se reportaron cabezas netas de 0.33 m a 2.60 m. La velocidad de rotación del rodete se midió mediante un tacómetro electrónico conectado directamente. El torque de salida del rodete se midió con un freno Prony.
Nótese que al igual que Durgin y Fay [11], en este estudio también se empleó un freno Prony y un tubo Venturi. Para la toma de datos, la bomba se puso en marcha y la descarga deseada se ajustó con precisión mediante una válvula de compuerta. La velocidad, la presión y las cabezas totales se midieron en forma transversal y perpendicular a la entrada del inyector normal al flujo. La presión en la entrada del inyector fue medida usando un barómetro de mercurio. Se registró la velocidad rotacional del rodete antes de aplicar cualquier carga. Luego se cargó el eje mediante el freno Prony. La fuerza sobre el brazo del freno Prony y la velocidad de rotación correspondiente del rodete se registraron en cada carga, además, la presión en la pared y la descarga a través del modelo se verificaron varias veces durante la prueba para garantizar un funcionamiento estable del sistema.
Khosrowpanah concluyó para todos los modelos probados que la eficiencia máxima para cualquier combinación cabeza/flujo incrementaba al aumentar el arco de entrada del inyector de 58° a 90°. Por otra parte, encontró que al reducir la relación de aspecto de 2.0 a 1.0 se tendrá una disminución de la eficiencia alrededor del 20%, y que las eficiencias máximas para todos los modelos ocurrieron a relaciones de velocidad de 0.530.54. Además, para los cuatro rodetes, Khosrowpanah observó que la máxima eficiencia (80%) ocurrió con una razón de ancho de garganta del inyector de 0.41 y una razón de velocidad de 0.54.
Este valor máximo de eficiencia es mucho mayor que los encontrados por Mockmore y Merryfield [10] y Durgin y Fay [11]. También observó que la eficiencia en la turbina de flujo cruzado tenía una fuerte dependencia del número de álabes, y que, para su experimento, el número de álabes óptimo fue aproximadamente de 15 para el rodete de 0.03048 cm de diámetro.
Fiuzat y Akerkar en 1991 investigaron la contribución de cada etapa de generación de potencia de la turbina a la potencia de salida en el eje [14]. Se diseñó y construyó un modelo especial de turbina para poder instalar un desviador de flujo en el rodete. La función del desviador de flujo era interceptar el flujo cruzado y guiarlo fuera del rodete, se presenta un esquema acerca del posicionamiento del desviador en la Figura 3. Esto permitiría la medición de la cantidad de flujo cruzado y la potencia generada solo por la primera etapa. El modelo consistía en un rodete con un diámetro de 1 ft, encerrado por una cubierta de 2 ft x 2 ft abierta a la atmosfera, el ancho del rodete era de 6 in. En cuanto al inyector usado, tenía una sección transversal de 6 in x 6 in. Las variables medidas en el experimento fueron las siguientes: caudal, flujo desviado, torque en el eje de la turbina, velocidad de giro del rodete y presión a la entrada del inyector. El caudal en la turbina fue medido mediante un medidor de flujo tipo codo usando dos transductores de presión. El flujo desviado fue conducido a un canal abierto y se midió con un vertedero.
El torque se midió al igual que en los estudios realizados por otros autores [11] [13] mediante un freno Prony. La velocidad de giro fue medida mediante una luz estroboscópica para RPM mayores de 120, y con un cronómetro para aquellas inferiores de 120 RPM. La cabeza a la entrada del inyector fue medida mediante un transductor de presión. El procedimiento consistía en introducir agua a la turbina abriendo una válvula de alimentación y ajustando el caudal. Una vez ajustado el caudal, este se mantenía constante para cada prueba. Luego, se permitía a la turbina girar libremente sin carga en el eje. La velocidad de la turbina en esta etapa era medida y registrada. Posteriormente, la carga en el eje de la turbina se incrementaba mediante el freno Prony, se medían y registraban tanto la velocidad de giro como la carga aplicada en cada paso, hasta que la carga fuera lo suficientemente grande para frenar el rodete.
En total se realizaron cuatro conjuntos de pruebas, dos para un arco de entrada del inyector de 90°, con y sin desviador de flujo, y dos pruebas similares para un arco de entrada de 120°. Al final, la investigación concluyó que la contribución de la segunda etapa a la potencia total en el eje de la turbina de flujo cruzado es de al menos 45% para el arco de entrada de inyector de 90°, y al menos 41% para el arco de entrada de 120°. Estos dos valores de contribución de la segunda etapa fueron mayores que los encontrados por Durgin y Fay [11]. Por otra parte, la eficiencia máxima reportada en el estudio fue de 78.8% sin desviador. Esta eficiencia es mayor que las reportadas por Mockmore y Merryfield [10] y Durgin y Fay [11], pero un poco inferior a la obtenida por Khosrowpanah [13] quien uso un rodete de 0.03048 m, es decir, del mismo tamaño que el modelo usado por Fiuzat y Akerkar [14], por lo que la pequeña diferencia existente entre los valores de eficiencia puede deberse al efecto de algún otro parámetro geométrico de la turbina, como puede ser el número de álabes, sin embargo, al no tener información acerca de este parámetro para ambas turbinas no se puede hacer comparación del mismo. En cuanto a Mockmore y Merryfield [10], el modelo usado en su estudio era de un tamaño superior que el de Fiuzat y Akerkar [14].
Desai y Aziz en 1994 presentan un estudio sobre la eficiencia de la turbina de flujo cruzado [15]. Para dicho propósito construyeron varios modelos, en los cuales el rodete, los álabes y los inyectores estaban hechos de acrílico, con el fin de observar el flujo dentro de la turbina. En total construyeron 27 rodetes, en los cuales se variaron diferentes parámetros. Dichos parámetros fueron el ángulo de ataque, la razón entre el diámetro interno y el diámetro externo, y el número de álabes. Para el ángulo de ataque se usaron tres valores diferentes, 24°, 28° y 32°. Además, para la razón entre el diámetro interior y exterior se usaron valores de 0.60, 0.68 y 0.75. Por otro lado, para el número de álabes se tomaron valores de 15, 20 y 25. En este experimento se midieron cuatro parámetros, el torque en el eje, la velocidad de rotación en el eje, el flujo y la presión total. Para medir el torque usaron un dinamómetro y controlaron la velocidad de rotación mediante un controlador de velocidad automático.
La presión total se midió mediante un tubo de Pitot estándar y un manómetro de agua con tubo en U. En la Figura 4 se muestra un esquema del montaje experimental que fue usado, en dicho esquema se puede observar la tubería por donde llega inicialmente el flujo, donde luego pasa por un alisador de flujo para llegar al inyector y pasar por el rodete, también se observa el eje y el acople con el dinamómetro y el dispositivo de graficado conectado al dinamómetro, adicionalmente, se observa la cubierta que encierra la turbina. Por otro lado, el flujo se midió por medio de una placa de orificio que se introdujo en un tramo recto de la tubería. Finalmente, obtuvieron que el rodete más eficiente fue el que tenía un ángulo de ataque de 24°, una relación de diámetros interno y externo de 0.68 y 25 álabes. Adicionalmente encontraron que la eficiencia de la turbina mejora con el incremento del número de álabes de 15 a 25. Este resultado concuerda con el que Khosrowpanah [13] había encontrado en su estudio, en su caso específico el número de álabes óptimo fue de 15. También encontraron que el incremento en el ángulo de ataque no mejora el rendimiento de la turbina en el rango de 24° a 32°. Desai y Aziz [15] reportaron una eficiencia máxima de 84.5%, este valor es mayor que el reportado por Khosrowpanah [13] (80%), y si bien no se tiene un tamaño de turbina reportado por Desai y Aziz, es claro que al modificar la relación de diámetros del rodete implica un cambio en el tamaño de este, por lo que los parámetros geométricos de la turbina podrían estar implicados en la diferencia de las eficiencias.
Joshi, Seshadri y Singh en 1995 realizaron un estudio con el propósito de evaluar el desempeño de la turbina para cabezas medias y bajas, variando de forma sistemática el número de álabes de 8 a 30 y el arco de entrada del inyector de 23° a 36° [16]. El rodete usado tenía un ancho de 0.325 m y un diámetro de 0.3 m. Se usó un valor constante de 0.025 m menos que el ancho del rodete para el ancho del inyector.
El montaje experimental consistía en una línea de suministro, el inyector, el rodete, y de forma similar que en los estudios realizados por otros autores [11] [13] [14], un sistema de freno Prony, además de instrumentación. Al igual que el estudio realizado por Desai y Aziz [15] se usó una placa orificio calibrada, la cual se instaló en la tubería para medir el caudal. Se utilizó una válvula de compuerta a aproximadamente 1 m aguas arriba del inyector para controlar la cabeza estática y el flujo entregado al rodete.
Para investigar el efecto de diferentes caudales a una cabeza constante, se instaló una válvula de control de flujo dentro del inyector. Se usaron valores entre 2-9 m para la cabeza. Para medir el torque de salida, se montó en un lado del eje el tambor del sistema de freno Prony. Una sonda de presión total y una sonda de presión estática, equipadas con mecanismos de desplazamiento cerca de la salida del inyector se usaron para la medición de la distribución de presión estática y la velocidad de salida del chorro. Para realizar el experimento, la cabeza deseada fue fijada con ayuda de una válvula principal, fue leída en el manómetro y verificada mediante las sondas de presión total y estática instaladas en el inyector. El sistema de frenos se cargó con pesas hasta que el rodete se acercó a una condición estacionaria; la velocidad correspondiente para cada carga fue registrada mediante un tacómetro digital. Este procedimiento fue repetido para todas las combinaciones de los parámetros investigados.
En la Figura 5(a) se muestra un esquema de la configuración experimental usada, en este esquema se puede observar la placa orificio instalada en la tubería, también se observa la válvula de compuerta instalada en la tubería por donde llega el flujo, así como los diferentes sistemas de medición empleados. Adicionalmente, en la Figura 5(b) se muestra el rotor con el inyector, así como la válvula de control de flujo dentro del inyector.
Joshi, Seshadri y Singh [16] concluyeron que el desempeño de la turbina mejora con un incremento en el arco de entrada del inyector, resultado que también encontró Khosrowpanah [13]. Además, también se observó una mejora en el desempeño incrementando el número de álabes hasta un tope máximo desde el cual se deteriora, resultado que concuerda por los hallados por Khosrowpanah [13] y Desai y Aziz [15], haciendo énfasis en estos últimos ya que mencionan un rango en el cual se ve la mejora, hecho que contrasta que exista un tope máximo para que se dé la mejora. Para la turbina estudiada el número óptimo de álabes fue aproximadamente de 20, siendo este valor diferente al encontrado por Khosrowpanah [13], sin embargo, es un valor que se encuentra dentro del rango descrito por Desai y Aziz [15].
Olgun en 1998 realizó un estudio experimental acerca del efecto de algunos parámetros geométricos del rodete y el inyector, como la razón entre los diámetros y la razón de ancho de garganta, mediante la variación de la razón diámetro interno/externo de los rodetes y las aperturas de la compuerta de dos inyectores bajo diferentes cabezas [17]. Olgun estudió cuatro tipos diferentes de rodetes, cada uno con 28 álabes, un diámetro exterior de 0.170 m y un ancho de 0.114 m.
Además, las relaciones de diámetros usadas fueron de 0.75, 0.67, 0.58 y 0.54. Los ángulos de entrada y salida del álabe fueron de 30° y 90°. cada rodete fue probado con dos inyectores diferentes, uno de los inyectores tenía un arco de entrada de 49° y el otro de 104°, adicionalmente, el segundo inyector contaba con un álabe guía en su interior. El laboratorio tenía un dispositivo que consistía en un sistema de recirculación de agua, la turbina, un sistema de carga y medición, tal como se puede observar en la Figura 6 la cual ilustra la configuración experimental. Las condiciones seleccionadas para el estudio fueron una potencia de salida de 1-9 kW, una cabeza de 4-30 m y un caudal de 0.014-0.055 m3/s. El sistema de circulación de agua estaba constituido por dos bombas centrifugas y la tubería de suministro que proveía la cabeza necesaria. El ajuste de la cabeza y el caudal se logró empleando dos válvulas. El inyector y el rodete se unieron a un tanque grande permitiendo que el flujo de salida del rodete se suministrara de nuevo al tanque [17].
Las variables medidas en el estudio fueron el torque en el eje, la velocidad de giro del eje, el caudal, y la presión estática en la entrada del inyector. Para medir el torque generado en el eje de la turbina, se usó un medidor de torque. En cuanto a la velocidad de rotación del rodete, se usó un tacómetro digital para medir esta variable. El caudal fue medido, al igual que Desai y Aziz [15], mediante una placa orificio, ubicada entre la salida de las bombas centrifugas y el inyector. Se usó un transductor de presión de tipo diafragma para medir la diferencia de presión entre las tomas de presión del orificio. Para medir la presión estática en la entrada del inyector se usó un manómetro de Bourdon. Para realizar las pruebas, el manómetro y las líneas fueron purgadas de todo el aire, antes de iniciar la experimentación
![a). Configuración experimental usada por Joshi et al. [16]; b) Esquema del rodete con el inyector.](../2145-8456-uisi-23-02-47-gf5.jpg)

Posteriormente, las bombas se encendían y se ajustaba la cabeza deseada mediante válvulas. Se registraba la velocidad de giro del rodete, para luego cargar el eje con un generador. Luego de esto, la información de todos los instrumentos se registraba. Este procedimiento se llevó a cabo hasta que se obtuvo el rango deseado de rendimiento de la máquina. Finalmente, el estudio concluyó que las turbinas de flujo cruzado pueden ser operadas de forma eficiente en un rango de aperturas de compuerta más amplio que la mayoría de las turbinas, además, también se encontró que la eficiencia máxima ocurre a una velocidad constante para todas las aperturas de compuertas a una cabeza constante. La eficiencia máxima obtenida en este estudio fue de 72%. Este valor de eficiencia es más alto al obtenido por Mockmore y Merryfield [10] (68%) quienes usaron un rodete de mayor tamaño, sin embargo no es mayor que la eficiencia obtenida por por otros los autores [13] [15], y para el caso específico de Khosrowpanah [13], en su estudio también se usó un rodete de mayor tamaño que el de Olgun [17] esto implica que no necesariamente al ser una turbina más pequeña tendrá menos eficiencia que una de mayor tamaño, sin embargo, como se mencionó anteriormente, es posible que los parámetros geométricos de la turbina estén implicados en las diferencias de las eficiencias.
Costa Pereira y Borges en 1996 realizaron un estudio experimental del flujo dentro del inyector de una turbina de flujo cruzado [18]. El estudio consistió en la prueba experimental de dos inyectores, uno con álabe guía y otro sin álabe guía en su interior. La turbina usada en esta prueba poseía un diámetro de 0.30 m y un ancho de 0.215 m, por otra parte, los inyectores tenían un ancho de 0.210 m, en la Figura 7 se muestran las dimensiones generales de uno de los inyectores usados y el rodete, el otro inyector empleado poseía una geometría simular a diferencia de que como se mencionó anteriormente no poseía un álabe guía. Para realizar el experimento, el laboratorio contaba con un sistema para bombear agua de una reserva hacia un tanque cuya función era mantener constante y controlar la altura del agua en la entrada de la turbina. El exceso de agua era regresado hacia la reserva mediante una tubería de derivación mientras el flujo principal se dirigía a la turbina de flujo cruzado a través de otra tubería. El caudal que pasaba a través de la turbina fue medido mediante un tubo de Venturi hecho de fibra de vidrio, montado sobre esta tubería. El tubo Venturi se conectaba a la turbina mediante un tubo recto, donde una sonda de presión permitía la medición de la presión total en la entrada de la turbina. Esta sonda de presión total se fijó alineada con el eje de la tubería. y con su abertura colocada en el centro de la tubería, de modo que la presión total considerada en este estudio fuera el valor en la línea central de la tubería de entrada.
También se usó un transductor inductivo de torque, el cual se incorporó en el eje en la turbina para realizar la medición directa del torque de la turbina junto con su velocidad de giro. Una consideración importante es que se decidió estimar la potencia disipada en los rodamientos por fricción y agregarla a la potencia medida, al determinar la potencia útil generada por la turbina, requerida en los cálculos de eficiencia. Esta potencia de fricción se estimó girando el rotor a varias velocidades de rotación utilizando un generador DC como motor y midiendo el par resultante cuando no fluía agua. Las presiones fueron medidas con 4 tipos diferentes de manómetros, dos de ellos siendo diferenciales, mientras que los otros eran de tipo manométrico. Uno de los manómetros diferenciales fue empleado para medir la diferencia de presión en el tubo Venturi y el otro para medir la depresión existente dentro del recinto de la turbina. Los manómetros tipo manométrico se usaron para leer las presiones en las paredes del inyector y la presión total de entrada a la turbina. Por otra parte, en el estudio se reportaron cabezas en un rango de 0.89 a 5.2 m. Los resultados de este estudio mostraron que la distribución de presión no es afectada por la cabeza. En cambio, la presencia de un rotor afectó significativamente la presión dentro del inyector [18].
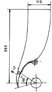
Olgun en el 2000 realizó una modificación en la turbina para mejorar la eficiencia [19]. La modificación consistió en añadir unos tubos guía interiores los cuales se colocaron dentro de la turbina, esto con el fin de recolectar y guiar el flujo cruzado a través de la segunda etapa del rodete. Para realizar las pruebas construyeron una turbina de un diámetro de 0.170 m, un ancho de 0.114 m, una razón de diámetros (interior a exterior) de 0.54, y 24 álabes. Adicionalmente, también se usó un inyector, en el cual se tenía una pared estática con un ángulo de 16° mientras que la otra era una pared ajustable que funcionaba de álabe guía, algunos detalles del inyector se muestran en la Figura 8.
![Esquema de la turbina empleada por Costa-Pereira y Borges. Fuente: adaptada de [18].](../2145-8456-uisi-23-02-47-gf7.png)
En el laboratorio, para la experimentación emplearon un montaje constituido de un sistema de recirculación de agua, la turbina, sistema de carga y aparatos de medición, el diagrama del montaje experimental es el mismo de la Figura 6. En cuanto a las medidas tomadas, se enfocaron en cuatro variables, el torque en el eje, la velocidad de rotación del eje, el caudal y la presión estática a la entrada del inyector. El torque generado en el eje de la turbina fue medido con un medidor de torque. Un tacómetro digital fue usado para medir la velocidad de rotación del rodete. El caudal fue medido mediante una placa orificio calibrada la cual se ubicó entre la salida de las bombas centrifugas y el inyector. Se usó un transductor de presión de tipo diafragma para medir la diferencia de presión entre la placa orificio. La presión estática en la entrada del inyector fue medida mediante un manómetro de Bourdon. Para realizar las pruebas cada día primero se purgaban el manómetro y las líneas de todo el aire, luego se encendían las bombas y se ajustaban a las cabezas deseadas ajustando las válvulas. La velocidad rotacional del rodete se registraba primero antes de aplicar cualquier carga, posteriormente se cargaba el eje del rodete mediante un generador.
Walseth en 2009 estudió el patrón del flujo a través del rodete, se hicieron dos tipos de experimentos en esta investigación [20]. El objetivo del primer experimento era visualizar el flujo a través del rodete. El segundo experimento midió la transferencia de torque hacia el rodete. En la Figura 9 se muestra un modelo 3D de la turbina usada en la experimentación. La turbina tenía un diámetro exterior de 0.270 m y 24 álabes, además, también poseía un inyector con un arco de entrada de 120°. Sobre el conjunto de la turbina (rodete e inyector) se tenía una rueda para regular la abertura del inyector (Figura 9(b)). En la Figura 10 se muestra un esquema del dispositivo de laboratorio usado para realizar las pruebas experimentales. A la salida de la turbina se tenía un estanque desde el cual una bomba proveía agua hacia el tanque 1, el cual estaba conectado al tanque 2 mediante un canal abierto, además, ambos tanques estaban conectados a unas tuberías de desagüe que aseguraban que el nivel de agua fuera constante.

Por otra parte, se tenía una válvula aguas arriba de la turbina para regular la cabeza en un rango de 5-14 m. Entre la instrumentación usada para medir las variables se contó con una brida de torque equipada con un tacómetro para medir el torque en el eje de la turbina, para la presión a la entrada de la turbina se usó un transmisor de presión, para medir el caudal se usó un medidor de flujo electromagnético conectado a la tubería que unía al tanque 2 con la turbina (Figura 10), para medir la transferencia de torque hacia el rodete se usaron galgas extensiométricas en los álabes, y finalmente, para la velocidad de giro se usó un tacómetro. Los resultados de esta investigación mostraron que la turbina tenía un mejor desempeño para aberturas del inyector más grandes, y en el mejor punto de operación la segunda etapa proveía el 53.7% de la energía transferida desde el agua. Este valor de la contribución de la segunda etapa concuerda con los resultados obtenidos por Fiuzat y Akerkar [14], quienes expresaron que para un arco de entrada de 120° dicha contribución seria de al menos 41%.
Kaya y colaboradores en 2015, realizaron una investigación basados en la metodología de la superficie de respuesta para identificar las condiciones de operación de una turbina de flujo cruzado [21]. Para esto se realizó una experimentación con el fin de observar el efecto combinado del caudal, cabeza y ángulo del álabe director en el desempeño de la turbina. Para la experimentación se usaron valores en un rango de 0.1 a 0.4 m3/s para el caudal y de 6 a 10 m para la cabeza. El montaje experimental consistía en un sistema de recirculación de agua, y una unidad de generación de potencia, la cual contiene la turbina, la unidad de control y sistema de medición, se muestra un esquema de la instalación de pruebas en la Figura 11.

El sistema de recirculación de agua contaba con cinco bombas centrifugas, dos de las cuales era de caudales regulables, un estanque de agua y una torre de agua para proveer una cabeza ajustable para la turbina. El flujo se recolectaba del estanque, se bombeaba hacia un colector y posteriormente se alimentaba a la torre para posteriormente pasar el flujo de agua a través de la turbina, y descargar el flujo nuevamente en el estanque. Se mantuvo una cabeza constante por medio de un PLC que usaba un sensor de nivel. Al igual que Walseth [20], también se usó un medidor de flujo electromagnético posicionado antes de la turbina para tomar datos y enviarlos al PLC.
El PLC ajustaba el caudal de las bombas de acuerdo con la señal del sensor de nivel. Tanto el caudal de la línea de succión como el medido por el medidor de flujo deben ser igual cuando el nivel estaba fijo. Se usaron barras de resistencia de 16 kW en una unidad de carga eléctrica controlada.
Un aumento significativo en la carga eléctrica provoca una caída repentina en la frecuencia eléctrica del generador seguida de un incremento en el caudal de la turbina. Incrementar la frecuencia de las bombas (caudal) antes de cargar la turbina es obligatorio para que sea posible mantener la cabeza fija, todo esto se logra automáticamente mediante el PLC. En este estudio se realizan las mediciones de frecuencia mediante un monitor de energía que proporciona dicha información, sin embargo, también era posible medir la frecuencia midiendo directamente de la salida del alternador usando un multímetro, o incluso calcularla mediante la velocidad de giro del eje de la turbina. Finalmente, en el estudio se observó que las condiciones de operación tienen una gran importancia en el desempeño de la turbina, adicionalmente se encontraron los parámetros de diseño óptimos para una frecuencia fija de 50 Hz, con un valor de 0.3 m3/s para el caudal y 8 m para la cabeza a un ángulo constante del álabe director de 12° [21].
Pereira y Borges en 2016, realizaron una investigación acerca de algunos de los parámetros más relevantes relacionados con la eficiencia de la turbina, además, presentaron nuevas relaciones teóricas para la evolución de la eficiencia [22]. Para realizar esta investigación emplearon rodetes de diámetro externo de 0.3 m, diámetro interno de 0.20 m y un ancho de 0.215 m. Los rodetes se diseñaron con el fin de realizar un estudio paramétrico experimental de la influencia del ángulo de entrada del álabe del rodete (ver Figura 1), el número de álabes, la razón de diámetros y otros parámetros geométricos. El inyector usado tenía un ancho de 0.210 m, un ángulo de salida de 13° y un arco de entrada de 80°. Tanto la turbina como el inyector se encontraban dentro de una carcasa. El aparato de pruebas se muestra en la Figura 12. En dicho aparato, el agua se bombeada desde una reserva localizada bajo el piso del laboratorio hacia lo turbina, pasando por un tanque telescópico cuya función es la de controlar y mantener constante la cabeza aplicada a la turbina. Luego de abandonar la turbina, el agua se descargaba hacia un canal abierto, ubicado bajo el suelo del laboratorio, que conduce el agua hacia la reserva subterránea de la cual fue bombeada inicialmente.
La potencia generada en la turbina se absorbía mediante un motor-generador DC. Se utilizó un transductor de torque inductivo con un captador de velocidad fotoeléctrico incorporado en el eje de la turbina, permitiendo de esta forma la medición directa del torque y velocidad de giro de la turbina.
El valor de dicho vacío de presión fue medido usando un transductor de presión. Para medir la presión en la entrada de la turbina se utilizó una sonda de presión total, ubicada en la línea central de la sección de entrada. En la Figura 13 se muestra un esquema de la carcasa. Para medir el caudal, así como en los estudios de Walseth [20] y Kaya y colaboradores [21], también se usó un medidor de flujo electromagnético. Localizado en la entrada del ducto de la turbina. Las señales de los sensores llegaban a un computador, y el proceso de adquisición de datos era controlado mediante un programa escrito en el software LabView 6.1. El máximo caudal permisible y la cabeza máxima posible que podían ser usados en el dispositivo de pruebas era de aproximadamente 0.1 m3/s y 5.5 m, respectivamente, resultando en una potencia máxima reportada durante las pruebas de 3.5 kW.
Adicionalmente, también se tuvo en cuenta la potencia disipada por fricción, para la cual se estimaron valores mediante el empleo del motor-generador como fuente de potencia para mover la turbina a una velocidad constante sin agua pasando a través del rodete. En esta investigación encontraron que con este tipo de turbina es posible alcanzar un valor máximo de eficiencia del 84.8%, este valor de eficiencia es posible de alcanzar tal como lo demuestran estudios como el de Khosrowpanah [13] quien obtuvo una eficiencia del 80%, o Desai y Aziz [15] quienes obtuvieron un valor muy cercano a este resultado (84.5%). Además, también encontraron que la nueva teoría describe la realidad mejor que el análisis anterior al comparar algunas de sus predicciones con datos experimentales.
Sammartano y colaboradores en 2016 realizaron un estudio numérico y experimental sobre una turbina que diseñaron usando procedimientos propuestos en estudios anteriores [23]. Esta investigación tenía dos objetivos principales, en primera instancia, se quería medir la eficiencia hidráulica de la turbina y comparar su valor con los resultados de las simulaciones CFD, y en segunda instancia, se quería encontrar evidencia experimental acerca de la relación entre la cabeza hidráulica neta y la velocidad a la entrada del rodete. Para lograr esto, hicieron uso de las instalaciones experimentales del laboratorio de hidráulica del DICAM de la Universidad de Palermo (Italia). El dispositivo con el que contaron estaba compuesto de un depósito de almacenamiento, una bomba centrifuga, y un banco de pruebas. La bomba centrífuga suministraba el caudal a la turbina, a través de una línea de suministro, adicionalmente contaron con una línea de derivación para regular el caudal, la Figura 14 muestra un esquema del dispositivo de prueba descrito anteriormente.
La medición de la velocidad del flujo en la entrada del inyector fue medida en la línea de derivación, mediante un medidor de flujo ultrasónico insertado dentro de un par de abrazaderas transductoras. Además de esto, al igual que Olgun [17] usaron un medidor de torque, instalado entre la turbina y el generador, para medir la velocidad del eje de la turbina. El prototipo también contaba con un manómetro digital. Para cada prueba fueron medidas la presión a la entrada del inyector, la velocidad en la entrada del inyector, el torque en el eje de la turbina y la velocidad de giro del rodete.
Adicionalmente, las pruebas fueron realizadas manteniendo una presión constante en la sección de entrada del inyector de 3922 Pa, y usando rangos de velocidades de giro de 300 a 850 RPM. También fueron guardados los valores de la descarga de agua en la turbina, el torque del eje externo del rodete y la velocidad de giro del rodete en cada prueba. Finalmente, encontraron que la eficiencia de la turbina diseñada mediante el procedimiento propuesto en estudios anteriores siempre fue mayor que 75% con un pico de 80.6% para una relación de velocidad cercana a 2. Este valor máximo de eficiencia es cercano al encontrado por Khosrowpanah [13] y también concuerda con los resultados obtenidos por Pereira y Borges [22]. Adicionalmente, calcularon el coeficiente de velocidad con datos experimentales, y al graficar dicho coeficiente contra la relación de velocidad, obtuvieron que estos valores validaban el modelo teórico.
Por su parte, Sammartano y colaboradores en 2017, diseñaron una turbina tipo Michell-Banki para usarla en tuberías de agua existentes, para así recuperar energía de las redes de agua. En cuanto a la turbina, esta consta de cuatro partes básicas como se muestra en la Figura 15: la tubería convergente, el inyector, el rodete y el difusor [24]. La tubería convergente tiene el objetivo de acelerar las partículas, transformando la mayor parte de la energía potencial de la presión en energía cinética. En cuanto al inyector, su función es la usual en este tipo de turbinas, es decir, ser un distribuidor del flujo que entra al rodete. El inyector se soldó en la cubierta de la turbina. Para diseñar el rodete se basaron en estudios CFD anteriores, y calcularon numéricamente los parámetros geométricos de la misma dando como resultado una razón de El sistema de bombeo proveía la presión de entrada y el caudal para la turbina. Este sistema operaba en un bucle cerrado, formado por una unidad de bomba de aumento de presión de agua, un tanque de reserva abierto, una tubería de succión, una tubería de alimentación, una tubería de derivación, una tubería de retorno y tres válvulas manuales que permitían regular tanto el caudal como la presión en la entrada de la turbina. La tubería de derivación cumplía la función de regular el caudal (en caso exceso) o también de disipar la presión excedente.
La unidad de bomba de aumento de presión de agua se conforma de tres bombas centrifugas eléctricas con tres inversores accionados. Esta unidad tiene la característica de que gracias a las bombas y los inversores es posible adaptar la curva de desempeño a las necesidades del sistema. En la Figura 16 se muestra un esquema de la instalación experimental. Para realizar las pruebas se usaron dos condiciones de operación. La primera condición consistía en mantener constante la velocidad de giro tomada para el diseño de la turbina (750 RPM), mientras que la segunda, usaba una velocidad de rotación optima seleccionada en un rango de 285-1200 RPM. Durante las pruebas los datos del caudal entrando a la turbina, la caída de presión entre las secciones de entrada y salida, el torque y la velocidad de rotación del rodete fueron registrados. Con la información obtenida se estimó la potencia hidráulica y la potencia mecánica en el eje del rodete, además de calcular la razón de velocidad. De esta manera la eficiencia de la turbina se evaluó como la razón entre la potencia mecánica y la potencia hidráulica.


En cuanto a instrumentación, usaron un medidor de flujo electromagnético para estimar el caudal en las tuberías de succión y derivación, este tipo de medidor de flujo ya se ha visto en los estudios realizados por los autores [20] [21] [22]. Además, se usó un medidor de flujo de tipo abrazadera en la línea de alimentación aguas arriba de la entrada del prototipo de turbina. La presión en las secciones de entrada y salida del prototipo fue monitoreada mediante un par de manómetros digitales, localizados aguas arriba y aguas abajo de las secciones de la turbina. Por otra parte, se instaló un medidor de par entre la turbina y el generador síncrono, el cual media el torque transmitido del eje de la turbina hacia el eje del generador, adicionalmente, el medidor de par también media la velocidad de giro de la turbina. El sensor de torque se conectó al eje mediante dos fuelles de acoplamiento de metal. Este acoplamiento flexible permitía un ángulo de compensación entre los ejes vinculados. Toda la adquisición de datos experimentales fue controlada mediante un sistema SCADA. Con la experimentación se observó una buena eficiencia de la turbina propuesta (74.64%). Por otro lado, también se dejó en evidencia el papel clave que juegan los efectos tridimensionales en el caso del diseño de turbinas de contrapresión, ya que estos efectos producen en el flujo del agua de entrada una caída adicional en la cabeza que puede ser estimada aproximadamente como una fracción constante de la pérdida total.
Elbatran y colaboradores en 2018, realizaron una investigación acerca del efecto de los ángulos de entrada y salida de los álabes de la turbina de flujo cruzado en la determinación de las características de rendimiento y las características de flujo a través del sistema de una configuración de turbinas dobles diseñado para la aplicación en el esquema de micro canales hidrocinéticos [25]. El sistema, conocido como canal difusor bidireccional aumentado, constaba de un inyector de entrada y un difusor en el lado de salida de los canales y el rodete de la turbina, en la Figura 17 se muestra el esquema de dicho sistema. En esta configuración, el agua de entrada de la boquilla tiene una superficie libre a 0.4 m del fondo.

La entrada del canal ocupa 0.25 m del nivel del agua de entrada, con un espacio libre entre la punta del álabe y la carcasa de 0.005 m. La superficie libre en la entrada del sistema especial permite el despliegue de la disposición de corriente en aguas poco profundas o en la superficie de aplicaciones fluviales, así como canales. Para realizar la experimentación se usaron cuatro casos en el laboratorio, en los cuales se usaron diferentes combinaciones de valores para los ángulos de entrada y salida de los álabes (ver Figura 1), usando valores de 15°, 30°, 45° y 60° para el ángulo de entrada, y valores de 75°, 90°, 105° y 120°, respectivamente para los ángulos de salida.
Adicionalmente las turbinas contaron con diámetros externos de 0.193 m, 0.1995 m, 0.200 m y 0.2052 m, respectivamente para los valores de cada caso. El dispositivo usado para las pruebas consistía en una bomba de agua, un sistema de canal en bucle con la reserva, el canal de aumento bidireccional, el cual incluye las dos turbinas. Para realizar las mediciones del caudal a través del sistema de canal se usó una cámara de alta velocidad de 10 megapíxeles. Dicha cámara se empleó como un método de seguimiento de partículas gracias al uso de pequeños anillos ligeros como partículas. Posteriormente los videos grabados con la cámara se procesaban en un software (Phantom Camera Control) para medir las velocidades. También empleo un medidor de torque como Olgun [17] y Sammartano [23], con el fin de medir el torque en el eje de la turbina, así como su velocidad de giro. Los sensores de torque funcionaron para medir el torque con ayuda de galgas extensiométricas. En esta investigación se encontró que el diseño óptimo que puede ser usado para las dos turbinas en la configuración de canal estudiada, tiene valores para el ángulo de entrada y salida de los álabes de 45° y 105°, respectivamente. Además, también se encontraron los coeficientes de potencia de las turbinas los cuales fueron 0.612 y 0.473 para la turbina alta y la turbina baja, respectivamente. Dichos resultados también fueron validados mediante el uso de simulaciones CFD.
En la Tabla 1, se muestran las eficiencias obtenidas por diferentes autores, así como los rangos de potencias disponibles para los estudios que presentan los valores de caudal y cabeza necesarios para obtener dichas potencias. Se observa de la literatura revisada que la mayor eficiencia fue obtenida por Khosrowpanah [13], sin embargo, no se tiene un rango de potencias para comparar con los demás estudios.

Los rangos de potencia que se observan tienen a ser valores bajos, esto es de esperar ya que la turbina de flujo cruzado es para pequeños aprovechamientos hidroeléctricos, no obstante, se observa que Kaya y colaboradores [21] tenían un rango bastante amplio de potencia disponible en su estudio, teniendo también un límite superior más alto que en los otros estudios para los cuales se reporta la potencia disponible. Durgin y Fay [11] obtuvieron la eficiencia más baja, además de tener el rango de potencia disponible más bajo.
2.2. Instrumentación empleada
La evolución de los enfoques de IA y la creciente demanda en recopilación de datos requiere una capacidad cada vez mayor para realizar cálculos, y aumentar el poder de cómputo para realizar entrenamientos [10]. La robótica inteligente se está usando para mejorar aún más la eficiencia y la inteligencia de los robots asociados con las áreas que permiten diseñar, desarrollar y producir energía [11].
La Tabla 2 presenta un resumen de los estudios presentados, además de las variables medidas por el autor y la instrumentación que fue empleada. Como se puede observar del resumen de los estudios experimentales, dependiendo del estudio que se realice se tendrán unas variables especificas a medir, sin embargo, se presentan unas variables que son generales entre los estudios, y estas variables sirven son de gran importancia para caracterizar la turbina, dichas variables son: el caudal, el torque, la velocidad de giro y la presión.
De las Tabla 2 y 3 se observa que en estudios más antiguos el instrumento más usado para medir caudal es la placa-orificio, mientras que en los estudios más modernos prevalece el uso de medidores de flujo electromagnéticos. La placa-orificio no es un dispositivo complejo, en esencia consta de una placa perforada que se instala en la tubería. Dos tomas, una conectada en la parte anterior de la placa y otra en la posterior, captan la presión diferencial la cual es proporcional al cuadrado del caudal. La exactitud obtenida con la placa es del orden de ± 1% a ± 2% [26]. Además, la placa-orificio es un instrumento de fácil de instalar y no es costoso. En cuanto a los medidores de flujo electromagnéticos, estos se basan en la ley de Faraday. Estos instrumentos cuentan con una bobina la cual genera el campo magnético, luego dos electrodos rasantes con la superficie interior del tubo y diametralmente opuestos, son los encargados de captar la señal. Es posible saber el valor de caudal ya que la tensión generada es proporcional a este. La exactitud obtenida con este tipo de medidores es del 1%, pudiendo llegar a un valor mayor del orden de ±0.5%, mediante calibraciones especiales o con la adición de microprocesadores que mejoran sustancialmente las funciones del medidor. Si bien este tipo de instrumento no requiere de un montaje complejo, si es más costoso que la placa-orificio, y además cuenta con la desventaja de que el fluido debe tener una conductividad eléctrica mayor de 3 uS/cm [26].
Por otra parte, se observa que para la presión los instrumentos encontrados en la literatura son más variados, sin embargo, los instrumentos que presentan más uso por parte de diversos autores son los transductores de presión. Los transductores de presión son elementos electromecánicos, pues utilizan un elemento mecánico combinado con un transductor eléctrico, el cual genera la señal eléctrica correspondiente. El elemento mecánico puede ser un tubo-Bourdon, espiral, hélice, diafragma, fuelle o una combinación de estos que mediante un sistema de palancas convierte la presión en una fuerza o en un desplazamiento mecánico. En la literatura se menciona de forma general el empleo de transductores de presión, por lo que no se entrara en detalle acerca de todos los tipos que existen.
En cuanto a la velocidad de giro, se observa que los instrumentos que presentan el mayor uso en los estudios son los tacómetros digitales. Los tacómetros son instrumentos fáciles de usar y no tan costosos, pueden ser de dos tipos, mecánicos o eléctricos. Los primeros usan exclusivamente medios mecánicos para detectar el número de vueltas del eje de la máquina, siendo posible incorporar la medición conjunta del tiempo para determinar el número de revoluciones por minuto, mientras que los segundos (eléctricos) captan la velocidad mediante sistemas eléctricos. Algunos ejemplos de los tacómetros eléctricos pueden ser los tacómetros de corrientes parasitas, el tacómetro c.a, el tacómetro de corriente continua o el tacómetro de frecuencia (frecuencímetro). Dependiendo del tacómetro, se encuentran diferentes valores de exactitud, en general son instrumentos que poseen una buena exactitud, teniendo valores de ±0.5% e inclusive llegando a valores del rango de ±0.1% [26]. Finalmente, para la medición del torque se observa que los instrumentos más usados son los medidores de torque. Este tipo de instrumentos son de un costo más elevado que los descritos anteriormente, su montaje es relativamente sencillo ya que suelen acoplarse con el eje, en el mercado existen gran variedad de estos instrumentos que en general tienen buena exactitud, pudiendo tener valores alrededor de ±0.1%.

3. Recomendaciones para las mediciones
Para realizar la adecuada experimentación de una turbina de flujo cruzado se necesita de un sistema de recirculación de agua, tal como se puede observar en los estudios presentados anteriormente. Un sistema de este tipo es muy conveniente para realizar pruebas en la turbina ya que en general permiten recrear unas buenas condiciones de prueba además de no requerir de un gran espacio.

Para generar la cabeza en estos sistemas se puede usar un tanque vertical como en el estudio de Pereira y Borges [22], desde el cual se hace fluir el agua manteniendo cierto nivel, sin embargo, es más recomendable usar una bomba como en la mayoría de la literatura revisada, ya que usar un tanque vertical implica la medición de variables adicionales como lo es el nivel y requiere de un espacio más amplio, siendo esto una desventaja ya que un atractivo para emplear este tipo de sistemas es su característica de ser compactos.
Según se observa en la literatura, la configuración general de un sistema de recirculación de agua no es muy compleja, principalmente consta de un sistema de tuberías mediante el cual se conecte la turbina con un tanque y una bomba. El objetivo es hacer circular agua por las tuberías hacia la turbina, donde luego de pasar por la turbina, el agua será descargada hacia el tanque. Es aquí donde nuevamente la bomba se encargará de hacer circular el agua descargada hacia la turbina. Cabe recalcar que el sistema debe estar conectado hacia una fuente de agua (o reserva), ya que es necesario llenar inicialmente el tanque para poder realizar el proceso de circulación de fluido. En cuanto a la regulación de la cabeza, es posible usar una válvula aguas arriba de la turbina tal como lo hacen autores como Joshi y Singh [16], Olgun [17] o Walseth [20]. Por su parte, la regulación del caudal también puede lograrse empleando algún tipo de válvula, sin embargo, existe la posibilidad de disponer de una línea de derivación paralela conectada hacia el tanque tal como lo hacen Sammartano y colaboradores [23], esta última puede resultar más conveniente ya que también podría disipar la presión excedente.
En cuanto a la ubicación de la instrumentación, para medir la presión se puede usar un transductor de presión ubicado a una distancia alejada de la entrada del inyector, si bien la distancia a la cual se ubica el dispositivo puede ser un valor cualquiera, es preferible que no esté directamente en la entrada del inyector o no tan cerca, ya que si se trata de medir la presión en el inyector o en la entrada del mismo lo más probable es que se mida simplemente la presión atmosférica, esto debido a que generalmente las turbinas de flujo cruzado tienen situada su descarga a presión atmosférica y no son dispositivos que suelan estar sumergidos como las turbinas de reacción. También es posible usar elementos de tipo mecánico para realizar la medición de la presión, como por ejemplo un manómetro de tubo en U, un tubo de Bourdon o un diafragma, sin embargo, sin importar el tipo de instrumento que se elija, la ubicación es la misma. Por su parte, el caudal puede ser medido aguas arriba de la turbina, ya sea usando una placa-orificio o un medidor de flujo electromagnético, ambos instrumentos son buenas opciones, aunque el primero es más económico que el segundo, un factor para tener en cuenta en caso de que los recursos sean muy limitados. Para la velocidad de giro es posible emplear un tacómetro, como se mencionó anteriormente pueden ser eléctricos o mecánicos, por lo que es válido emplear cualquier tipo de tacómetro que se crea conveniente o del que se tenga disposición. Además, para medir esta variable la ubicación del dispositivo deberá ser en el eje de la máquina. Finalmente, la medición del torque o par, al igual que la velocidad de giro, debe ser realizada en el eje de la turbina o bien ya que la turbina normalmente estará acoplada con un generador en el acople mismo de las máquinas.
En general hay varias recomendaciones para realizar y analizar pruebas experimentales en turbinas hidráulicas Michell-Banki:
i. Hay que asegurarse de que la configuración de la prueba esté correctamente calibrada y alienada antes de realizar cualquier prueba.
ii. Se deben realizar las pruebas en diversas condiciones de funcionamiento (por ejemplo, caudal, carga) para obtener una curva de rendimiento completa de la turbina.
iii. Es fundamental usar una instrumentación de alta precisión para medir los diversos parámetros (por ejemplo, caudal, cabeza, torque) durante las pruebas.
iv. Se deben registrar y analizar los datos cuidadosamente para identificar cualquier tendencia o anomalía en el rendimiento de la turbina.
v. Se deben usar métodos estadísticos apropiados para analizar los datos y cuantificar la incertidumbre asociada con las mediciones.
vi. En caso de ser posible se deben comparar los resultados experimentales con las predicciones teóricas y/o los resultados de otras turbinas similares para validar la configuración experimental e identificar cualquier área de mejora.
vii. Es importante realizar pruebas en un rango amplio de números de Reynolds para evaluar el impacto de las condiciones de flujo de fluido en el rendimiento de la turbina.
viii. Si los presupuestos destinados para la instalación experimental lo permiten se debería considerar el uso de técnicas de medición avanzadas como la velocimetría láser Doppler o la velocimetría de imágenes de partículas para obtener datos detallados del campo de flujo.
Siguiendo estas recomendaciones, los investigadores pueden obtener datos fiables y precisos sobre el rendimiento de las turbinas hidráulicas de Michell Banki, que pueden utilizarse para mejorar el diseño y el funcionamiento de estas turbinas.
4. Caracterización experimental de una turbina Michell Banki a escala de laboratorio
El laboratorio del grupo de investigación Energías Alternativas de la Universidad de Antioquia, Medellín, Colombia, se cuenta con un banco de caracterización de microturbinas hidráulicas mostrado en la Figura 18. Este banco está compuesto por una bomba hidráulica de 15 hp trifásica (30A-15H, IHM), encargada de recircular el flujo de agua desde el tanque principal hasta la turbina. AG) y su medición se realiza por medio de un sensor de caudal electromagnético acoplado en la tubería de descarga (Sitrans F M MAGFLO 6000 IP67, precisión ±0.2% del valor medido ±1 mm s-1, Siemens AG). La velocidad de rotación de la turbina y el torque en el eje de la turbina son medidos con un sensor de torque rotativo sin contacto (TRS605 - FSH02057, rango de medición ±50 N, precisión ±0.1 N, Futek) conectado a un registrador portátil (IHH500, 0.05 s de tasa de muestreo, Futek) el cual envía la información en tiempo real a un computador a través de conexión USB.

En el banco hidráulico se evaluó el diseño de una turbina Michell-Banki fabricada a escala de laboratorio. El modelo de turbina fue desarrollado según el diseño estandarizado establecido por la Organización Latinoamericana de Energía (OLADE, por sus siglas en español) [27]. Los componentes de la turbina de flujo transversal se ilustran en la Figura 19. En la figura, se pueden observar los álabes del rodete, el rodete, el inyector. El rodete tenía un diámetro interno y externo de 0.103 m y 0.156 m, respectivamente. Además, el rodete contenía 26 álabes. Los ángulos internos (α) y externos (β) de las palas eran de 30° y 90°, respectivamente.

Los anchos del inyector, el rodete y la cámara del rodete fueron de 0.177 m, 0.253 m y 0.290 m, respectivamente. El rodete fue fabricado de manera simple usando dos discos circulares de acrílico de 5 mm de espesor. En la periferia de los discos se hicieron ranuras para alojar los álabes usando un proceso de mecanizado de control numérico por ordenador (CNC). Los álabes fueron fabricados a partir de una lámina de acero inoxidable que fue cortada en tiras y doblada para dar el perfil de los álabes. Los álabes se ajustaron en las ranuras contenidas dentro de los discos y se pegaron con resina epoxi. El eje central también se fabricó de acero inoxidable y tenía un diámetro de 12 mm. Se ensambló a los discos mediante dos bridas. Finalmente, la carcasa se fabricó de acrílico y acero. En la Figura 19 se pueden identificar los valores de los parámetros geométricos usados para la fabricación de la turbina. El caudal es regulado mediante un variador de frecuencia (Micromaster 440 6SE6440-2UC31-5DA1, Siemens.
El rendimiento de la turbina se mido en términos de la eficiencia hidráulica (η), la cual puede ser calculada usando la ecuación (1). η se refiere a la relación entre la potencia de salida (Pout) y la potencia de entrada (Pin).

Donde el torque del eje de la turbine, la velocidad angular, la densidad del agua y la aceleración de la gravedad son expresados por T (Nm), ω (rad/s), p (kg/m3) ay g (9.81 m/s2), respectivamente. Además, Q y H son el caudal (m3/s) y la cabeza neta de la turbine (m), respectivamente [25]. H puede ser determinada mediante la ecuación de Bernoulli (Ecuación (2)).

Donde P es la presión manométrica a la entrada del inyector (N/m2), V es la velocidad del agua a la entrada de la turbine (m/s) y Z es la diferencia de alturas entre el transductor de presión y centro de masa del rodete de la turbina Michell-Banki (m). La prueba de rendimiento de la turbina estableció el mejor punto de n, para lo cual se determinó el rendimiento general de la turbina variando la velocidad del rotor, la carga y el caudal. T y ω se determinaron en la salida del eje de la turbina utilizando el sensor de torque con encoder para calcular la potencia de la turbina. Para ello, el eje de entrada del sensor se acoplo al eje de la turbina y el eje de salida del sensor se acoplo a un motor eléctrico de 1 HP (Siemens, 1LA7 073-2YA60), que funciona como freno, utilizando técnicas de frenado de corriente inversas.
Esto consiste en energizar el motor en la dirección de rotación inversa a la turbina, generando un par inverso y reduciendo la velocidad de la turbina. De esta manera, el motor funciona como un generador de energía eléctrica que se frena para la demanda de energía. El freno del par se ajustó en función de la velocidad de la turbina. La corriente que fluye al motor se regula con un variador de frecuencia seleccionado según la capacidad del motor (Siemens 440 6SE6440 de 1 HP±0.1 Hz) permitiendo controlar la frecuencia a partir de 1 Hz. Esta frecuencia se reguló utilizando una rampa de frenado de pendiente constante de 0.1 Hz cada 10 s, hasta alcanzar el frenado total de la turbina. De esta manera se midieron T y œ en cada carga permitiendo trazar la curva de rendimiento de la turbina.
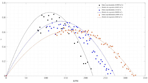
En la Figura 20 se compara la eficiencia de la turbina para diferentes caudales. Como se puede observar, a medida que aumenta el caudal, los puntos máximos de eficiencia se alcanzan a valores de más altos de la velocidad angular. Por otro lado, la mayor caída de eficiencia se produjo entre el caudal de 0.0025 m3/s y 0.0038 m3/s, pasando del 85% al 72%, mientras que entre el caudal de 0.0038 m3/s y 0.005 m3/s, la reducción de la eficiencia fue del 7%. Este fenómeno puede explicarse por el aumento de la intensidad de la turbulencia en el inyector. Según los estudios reportados en la literatura, cuando el fluido fluye a través de la tobera para alcanzar la máxima condición de intercambio de energía, es necesario que el fluido se comporte como corrientes ordenadas y orientadas, de manera que la turbulencia en la tobera no afecte el rendimiento de la turbina [12].

Conclusiones
Para asegurar la obtención de datos precisos y confiables en la realización y análisis de pruebas experimentales en turbinas hidráulicas Michell-Banki, es fundamental seguir una serie de recomendaciones específicas. En primer lugar, se destaca la importancia de una adecuada calibración y alineación previa de la configuración de la prueba. Esta medida se justifica en la necesidad de garantizar la exactitud y confiabilidad de los datos recopilados durante todo el proceso experimental.
Además, es crucial llevar a cabo pruebas bajo diversas condiciones de funcionamiento para obtener una curva completa de rendimiento de la turbina. Esta metodología permite capturar la variabilidad del rendimiento de la turbina en diferentes escenarios operativos, brindando así una visión integral de su comportamiento y desempeño. La utilización de instrumentación de alta precisión para la medición de los parámetros pertinentes, así como el cuidadoso registro y análisis de los datos, también juegan un papel esencial. Esto asegura la detección oportuna de cualquier anomalía o tendencia en el rendimiento de la turbina, lo que facilita la toma de decisiones informadas para su optimización. Asimismo, se hace hincapié en la aplicación de métodos estadísticos apropiados para el análisis de datos y la estimación de la incertidumbre asociada con las mediciones. Esta práctica contribuye a una interpretación robusta de los resultados experimentales y a una mayor confiabilidad de estos.
Finalmente, para validar la configuración experimental e identificar áreas de mejora, es imperativo comparar los resultados obtenidos con las predicciones teóricas y los datos de otras turbinas similares. Esta comparación permite evaluar la eficacia y precisión de la metodología utilizada, así como identificar posibles oportunidades de optimización en el diseño y rendimiento de las turbinas Michell-Banki. El cumplimiento de estas recomendaciones asegura la obtención de datos confiables y precisos, los cuales pueden ser aprovechados para mejorar tanto el diseño como el rendimiento de las turbinas hidráulicas Michell-Banki, contribuyendo así al avance continuo en este campo de estudio.
En el laboratorio de Energía Alternativa de la Universidad de Antioquia se evaluó experimentalmente una turbina Michell-Banki a escala de laboratorio. La turbina fue capaz de producir 100 W de potencia a una velocidad de flujo de agua y altura de 0.009 m3/s y 0.6311 m, respectivamente. Se realizó una caracterización detallada del desempeño de la turbina mediante la construcción de su curva de eficiencia en un banco hidráulico, utilizando un sensor de torque con encoder.
Se encontró que la máxima eficiencia de la turbina fue del 85%, lo que la convierte en una opción atractiva para aplicaciones de generación de energía en zonas remotas con acceso limitado a la red eléctrica convencional.
Referencias
V. Yildiz, J. A. Vrugt, "A toolbox for the optimal design of run-of-river hydropower plants," Environmental modelling & software, vol. 111, pp. 134-152, 2019, doi: https://doi.org/10.1016/j.envsoft.2018.08.018
S. Norasyiqin, A. Latif, M. S. Chiong, S. Rajoo, A. Takada, Y. Y. Chun, K. Tahara, Y. Ikegami, "The trend and status of energy resources and greenhouse gas emissions in the malaysia power generation mix," Energies, vol. 14, no. 8, 2021, doi: https://doi.org/10.3390/en14082200
A. K. Karmaker, M. Rahman, A. Hossain, R. Ahmed, "Exploration and corrective measures of greenhouse gas emission from fossil fuel power stations for Bangladesh," Journal of Cleaner Production, p. 244, 2020, doi: https://doi.org/10.1016/jjclepro.2019.118645
K. Saidi, A. Omri, "The impact of renewable energy on carbon emissions and economic growth in 15 major renewable energy-consuming countries," Environmental research, vol. 186, 2020, doi: https://doi.org/10.1016/j.envres.2020.109567
M. Hossain, A. Huda, S. Mekhilef, M. Seyedmahmoudian, B. Horan, A. Stojcevski, M. Ahmed, "A state-of-the-art review of hydropower in Malaysia as renewable energy: Current status and future prospects," Energy strategy reviews, vol. 22, pp. 426-437, 2018, doi: https://doi.org/10.1016/j.esr.2018.11.001
J. Crnobrnja-Isailovic, B. Jovanovic, M. Ilic, J. Corovic, T. Cubric, D. Stojadinovic, N. Cosic. "Small Hydropower Plants' Proliferation Would Negatively Affect Local Herpetofauna," Frontiers in Ecology and Evolution, vol. 9, 2021.
F. Henao, I. Dyner, "Renewables in the optimal expansion of colombian power considering the Hidroituango crisis," Renewable Energy, vol. 158, pp. 612-627, 2020, doi: https://doi.org/10.1016/j.renene.2020.05.055
M. A. Sari, M. Badruzzaman, C. Cherchi, M. Swindle, N. Ajami, J. G. Jacangelo, "Recent innovations and trends in in-conduit hydropower technologies and their applications in water distribution systems," Journal of environmental management, vol. 228, pp. 416-428, 2018, doi: https://doi.org/10.1016/j.jenvman.2018.08.078
R.C. Adhikari, D.H. Wood, "A new nozzle design methodology for high efficiency crossflow hydro turbines," Energy for Sustainable Development, vol. 41, pp. 139-148, 2017, doi: https://doi.org/10.1016/j.esd.2017.09.004
C. A. Mockmore, F. Merryfield, "The Banki water-turbine. Engineering Experiment Station Bulletin Series," Engineering Experiment Station, 1949.
W. W. Durgin, W. K. Fay, "Some fluid flow characteristics of a cross-flow type hydraulic turbine," Small Hydro Power Fluid Machinery, pp. 77-83, 1984.
V. Sammartano, C. Aricò, A. Carravetta, O. Fecarotta, T. Tucciarelli, "Banki-Michell optimal design by computational fluid dynamics testing and hydrodynamic analysis," Energies, vol. 6, pp. 2362-2385, 2013, doi: https://doi.org/10.3390/en6052362
S. Khosrowpanah, A. A. Fiuzat, M. L. Albertson "Experimental study of cross-flow turbine," Journal of Hydraulic Engineering, vol. 114, pp. 299-314, 1988, doi: https://doi.org/10.1061/(ASCE)0733-9429(1988)114:3(299)
A. A. Fiuzat, Bhushan P. Akerkar, "Power outputs of two stages of cross-flow turbine," Journal of energy engineering, vol. 117, pp. 57-70, 1991, doi https://doi.org/10.1061/(ASCE)0733-9402(1991)117:2(57)
V. R. Desai, N. M. Aziz, "An experimental investigation of cross-flow turbine efficiency," Journal of Fluids Engineering, vol. 116, pp. 545-550, 1994, doi: https://doi.org/10.1115/1.2910311
C. B. Joshi, V. Seshadri, S. N. Singh, "Parametric study on performance of cross-flow turbine," Journal of energy engineering, vol. 121, pp. 28-45, 1995, doi: https://doi.org/10.1061/(ASCE)0733-9402(1995)121:1(28)
H. Olgun, "Investigation of the performance of a cross-flow turbine," International journal of energy research, vol. 22, pp. 953-964, 1998, doi: https://doi.org/10.1002/(SICI)1099-114X(199809)22:11<953::AID-ER418>3.0.CO;2-1
N.H. Costa Pereira, J.E. Borges, "Study of the nozzle flow in a cross-flow turbine," International journal of mechanical sciences, vol. 38, pp. 283-302, 1996, doi: https://doi.org/10.1016/0020-7403(95)00055-0
H. Olgun, "Effect of interior guide tubes in cross-flow turbine runner on turbine performance," International journal of energy research, vol. 24, pp. 953-964, 2020, https://doi.org/10.1002/1099-114X(200009)24:11<953::AID-ER634>3.0.CO;2-3
E. Walseth, "Investigation of the Flow through the Runner of a Cross-Flow Turbine," Institutt for energi og prosessteknikk, 2009.
A. Metin Kaya, I. Kandemir, M. F. Aks.it, K. S. Yigit "Investigation of optimum working conditions of a micro cross flow turbine," Environmental Progress & Sustainable Energy, vol. 34, pp. 1506-1511, 2015, doi: https://doi.org/10.1002/ep. 12112
N. H. C. Pereira, J. E. Borges, "Prediction of the cross-flow turbine efficiency with experimental verification," Journal of Hydraulic Engineering, vol. 143, 2017, doi https://doi.org/10.1061/(ASCE)HY.1943-7900.0001234
V. Sammartano, G. Morreale, M. Sinagra, T. Tucciarelli, "Numerical and experimental investigation of a cross-flow water turbine," Journal of Hydraulic Research, vol. 54, pp. 321-331, 2016, doi: https://doi.org/10.1080/00221686.2016.1147500
V. Sammartano, M. Sinagra, P. Filianoti, T. Tucciarelli, "A Banki-Michell turbine for in-line water supply systems," Journal of Hydraulic Research, vol. 55, no. 5, 2017, doi: https://doi.org/10.1080/00221686.2017.1335246
A.H. Elbatran, O. B. Yaakob, Y. M. Ahmed, A. S. Shehata, "Numerical and experimental investigations on efficient design and performance of hydrokinetic Banki cross flow turbine for rural areas," Ocean Engineering, vol. 159, pp. 437-456, 2018, doi: https://doi.org/10.1016/j.oceaneng.2018.04.042
A. Creus Solé, Instrumentación Industrial, 8th ed. Barcelona: Marcombo., 2011.
C. A. H. Bazo, Manual de diseño, estandarización y fabricación de equipos para pequeñas centrales hidroeléctricas, OLADE, 1985.
Como citar:
Financiación
Contribución de los autores
Declaración de la Junta de Revisión Institucional
Declaración de consentimiento informado
Author notes
addavid.sierra@udea.edu.cobdejesus.romero@udea.edu.coclisabel.velasquez@udea.edu.codainhoa.rubioc@udea.edu.coeedwin.chica@udea.edu.co
Conflict of interest declaration