Artículos
Received: 01 March 2024
Accepted: 15 June 2024
DOI: https://doi.org/10.18273/revuin.v23n3-2024003
Resumen: Los estudios del flujo en estructuras de control requieren desarrollar ecuaciones diferenciales no lineales que no tienen solución analítica pero que se pueden aproximar a partir de la aplicación del método de volúmenes finitos en los modelos matemáticos como lo es Fluent. El artículo presenta un análisis comparativo entre un modelo numérico y un modelo físico del flujo de agua en un canal de laboratorio utilizando ANSYS Fluent. El alcance del estudio abarca desde el desarrollo de un modelo 2D del canal de laboratorio con sección de control de tipo compuerta rectangular plana deslizante y el desarrollo matemático de las ecuaciones de Navier-Stokes para modelar un flujo bifásico de agua y aire en todo el dominio computacional, utilizando las condiciones de contorno adecuadas. Para la metodología se empleó técnicas de simulación numéricas utilizando ANSYS Fluent, aplicando el método de volúmenes finitos para resolver las ecuaciones de flujo y técnicas experimentales, mediante mediciones directas tomadas en el laboratorio. Los resultados demuestran una similitud del 95.46% entre la modelación matemática, las mediciones directas y los cálculos analíticos. Mientras que las variables como el coeficiente de descarga, los perfiles de flujo, las velocidades en diferentes puntos del canal y la distribución de la presión se mantuvieron consistentes en todo el dominio computacional. En conclusión, se destacan las ventajas del modelo numérico sobre el físico, resaltando su eficiencia y economía al permitir modificaciones en las configuraciones del problema, así como en los modelos de turbulencia y condiciones de contorno de manera fácil y simultánea. Además, se resalta la importancia del modelo numérico al proporcionar resultados más precisos que las mediciones directas hechas en el modelo físico, especialmente en las zonas de turbulencia y en la interacción del flujo bifásico en el canal y en la compuerta. Finalmente, es importante incluir en este tipo de estudios un análisis de sensibilidad y refinamiento del mallado en el modelo matemático para evitar fluctuaciones cerca de la compuerta donde la sección se contrae.
Palabras clave: Análisis de flujo en compuertas, ANSYS Fluent, calibración, Canal Gate, comparación experimental y numérica, modelado numérico, modelo de turbulencia, resolución de malla.
Abstract: Flow studies in control structures require the development of nonlinear differential equations that have no analytical solution but can be approximated by applying the finite volume method in mathematical models such as Fluent. This article presents a comparative analysis between a numerical model and a physical model of water flow in a laboratory channel using ANSYS Fluent. The scope of the study includes the development of a 2D model of the laboratory channel with a control section of a sliding flat rectangular gate and the mathematical development of the Navier-Stokes equations to model a biphasic flow of water and air throughout the computational domain, using appropriate boundary conditions. The methodology employed numerical simulation techniques using ANSYS Fluent, applying the finite volume method to solve the flow equations, and experimental techniques through direct measurements taken in the laboratory. The results demonstrate a 95.46% similarity between the mathematical modeling, direct measurements, and analytical calculations. Variables such as discharge coefficient, flow profiles, velocities at different points in the channel, and pressure distribution remained consistent throughout the computational domain. In conclusion, the advantages of the numerical model over the physical model are highlighted, emphasizing its efficiency and cost-effectiveness by allowing easy and simultaneous modifications in problem configurations, turbulence models, and boundary conditions. Additionally, the importance of the numerical model is highlighted by providing more accurate results than direct measurements made on the physical model, especially in turbulent areas and in the interaction of biphasic flow in the channel and gate. Finally, it is important to include a sensitivity analysis and mesh refinement in the mathematical model in such studies to avoid fluctuations near the gate where the section contracts.
Keywords: ANSYS Fluent, Calibration, Channel gate, Experimental and numerical comparison, Flow analysis in gates, Numerical modeling, Turbulence model, Mesh resolution, Validation.
1. Introducción
La comprensión del comportamiento del fluido en estructuras hidráulicas es fundamental para el diseño y la gestión efectiva de grandes proyectos de la ingeniería civil. La relevancia del tema es innegable, especialmente en regiones propensas a problemas como inundaciones, saturación de alcantarillados, destrucción de diques, erosión o socavación de pilas en puentes, y afectación de taludes y deslizamientos debido a estructuras deficientemente dimensionadas. El diseño y la operación eficiente de las estructuras hidráulicas requieren de un conocimiento preciso del comportamiento del flujo del agua en su interior y su interacción con estructuras de control de tipo vertederos, compuertas, entre otros. En previas investigaciones se han abordado la problemática del flujo turbulento en estructuras hidráulicas, destacando la importancia de comprender y predecir con precisión su comportamiento. Por ejemplo, [1] llevó a cabo simulaciones detalladas utilizando modelos avanzados de turbulencia y compararon los resultados con datos experimentales, evidenciando que los modelos numéricos pueden capturar fenómenos que los modelos físicos no logran representar completamente debido a restricciones de escala y precisión. Así mismo, estudios como [2] han demostrado la eficacia de los modelos numéricos en la simulación de flujos complejos, resaltando las limitaciones de los modelos físicos en la representación completa de la interacción fluido-estructura mostrando que estos modelos ofrecen una comprensión más profunda y detallada de los fenómenos involucrados en comparación con los ensayos físicos tradicionales.
El estudio realizado por [3] que tienen como objetivo realizar la modelación hidrodinámica bi- y tridimensional de un canal con disipador de energía, utilizando Ansys Fluent, analiza la dinámica del flujo permanente en un canal físico de laboratorio. Por otro lado, [4] realizaron un análisis numérico del flujo en un canal con compuertas utilizando ANSYS Fluent. Mientras que, 6 demostraron que los modelos de CFD (Dinámica de Fluidos Computacional) son una excelente alternativa a las pruebas de laboratorio y sus modelos físicos, comparados con la modelación CFD en Ansys fluent 2D. Autores como [5] y [6] se centraron en el modelado numérico del flujo turbulento bidimensional para la simulación de flujo a superficie libre en un canal horizontal utilizando el método VOF en ANSYS Fluent. Estos aportes proporcionan un análisis detallado sobre la modelación numérica del flujo en canales y la aplicación del modelo k-e estándar, para estimar las profundidades de lámina de agua obtenidas en ocho ensayos experimentales de flujo turbulento, realizados en el canal horizontal.
Ante la complejidad y la dificultad de predecir analíticamente el comportamiento del flujo mediante ecuaciones algebraicas, los modelos numéricos emergen como una herramienta avanzada de análisis y diseño de estructuras hidráulicas complejas. Por tanto, en este estudio, se presenta un análisis del comportamiento del flujo en un canal de laboratorio de sección rectangular equipado con una compuerta plana deslizante. El estudio se centra en la identificación y el análisis de zonas donde se generan vórtices cerca de la estructura hidráulica tipo compuerta, áreas donde el flujo tiende a ser turbulento, lo que presenta desafíos significativos para su análisis.
Esta investigación se desarrolla debido a la necesidad de buscar de manera precisa soluciones en todo el dominio computacional del canal, teniendo en cuenta que los modelos físicos a escala, si bien han sido utilizados históricamente en la ingeniería, presentan limitaciones para representar todas las variables que influyen en la interacción del fluido y la estructura.
2. Materiales y métodos
Las simulaciones realizadas tienen una metodología basada en siete pasos principales: pre análisis, geometría, mallado, configuración del modelo, solución numérica, resultados, verificación y validación.
El esquema general de la metodología de trabajo realizada durante la investigación se presenta en la Figura 1.

2.1. Preanálisis
El preanálisis de este problema comenzó con la comprensión de las condiciones y simplificaciones establecidas. Se tenía un canal con dos paredes paralelas verticales y una placa inferior que correspondía al ancho del canal. Al inicio, un flujo uniforme entraba con velocidad y la presión se especificaba en la salida del canal. Las simplificaciones incluyeron un flujo permanente, bidimensional, laminar e incompresible.
El primer paso fue definir el modelo matemático, que constaba de ecuaciones de conservación de masa y momento, junto con condiciones de frontera apropiadas. La conservación de masa implica que el volumen de una partícula de fluido que se mueve dentro del flujo no cambia. La conservación de momento se expresa mediante la ecuación 1, donde se consideran las fuerzas de presión y fricción viscosa sobre una partícula de fluido infinitesimal. Las ecuaciones de gobierno se definieron en un dominio que incluye las paredes laterales e inferior del canal, así como la entrada y salida. Eq. 2da ley de Newton

Donde, F es la fuerza aplicada; m es la masa de un objeto; ya es la aceleración que experimenta un objeto. Las incógnitas fueron los componentes de velocidad y presión, que son funciones de las coordenadas x, y. Las condiciones de contorno se definieron en los bordes del dominio, donde se estableció la velocidad en la entrada, la presión en la salida y se aplicaron condiciones de no deslizamiento en las paredes. No existió una solución exacta para este problema, excepto en una región aguas abajo pasando la compuerta, donde el flujo se volvía completamente desarrollado. La solución numérica se llevó a cabo utilizando el método de volúmenes finitos, una técnica que discretiza el dominio en volúmenes finitos y resuelve las ecuaciones de flujo en estos volúmenes discretos para obtener la distribución de velocidad y presión dentro del canal.
2.2. Geometría
El dominio sobre el que se resolvieron las ecuaciones de gobierno fue una sección rectangular como se observa en la Figura 2, que se utilizó como modelo físico (a) para una simulación numérica en ANSYS Fluent (b).

Las secciones de entrada y salida fueron rectangulares en los extremos del canal, como también, fue constante a lo largo de su longitud y el flujo fue de tipo permanente medido a partir de un caudalímetro. La Tabla 1 presenta las características geométricas principales del canal empleado.

2.3. Mallado
El proceso de mallado es crucial en la simulación numérica de flujos. Como señalan [7], el tipo del mallado utilizado es vital para asegurar tanto la precisión como la eficiencia en la simulación numérica. Esto se debe a que el mallado influye directamente en la calidad de la solución numérica. Por otro lado, [8] mencionan que debido a la influencia del mallado y su refinamiento puede influenciar directamente en la precisión y estabilidad de la solución. Los autores sugieren que es posible simplificar el proceso de mallado mediante el uso de mallas más gruesas en áreas donde los gradientes de flujo son suaves y refinando el mallado solo en regiones críticas, como en proximidad de fronteras sólidas o en zonas de alta turbulencia. Para el caso de la geometría de tipo rectangular con sección transversal constante del canal y sus estructuras de control, se desarrolló un mallado de tipo híbrido, con celdas de tipo hexaédrico y tetraédrico, cumpliendo con la calidad del mallado en cuanto a su aspecto ratio, ortogonalidad y número de celdas como se observa en la Figura 3.
Es importante resaltar que se desarrollaron 3 mallados con distinto número de celdas como se observa en la Tabla 2, y se realizó la simulación con base en el mallado con mayor refinamiento y calidad, de acuerdo con su chequeo de calidad. Por lo tanto, se requirió un mallado cuidadoso para capturar adecuadamente la geometría y las características del flujo. Según [9], es crucial encontrar un equilibrio en la finura del mallado, lo suficientemente detallado para captar las características relevantes del flujo sin generar un costo computacional excesivo.
Además, [10] destacan que la selección del tipo de mallado adecuado también juega un papel importante en la convergencia y estabilidad del proceso de simulación, garantizando resultados más confiables. Además, se describe cómo una solución numérica converge cuando el cambio en las variables de flujo entre iteraciones sucesivas se reduce por debajo de un umbral predefinido, lo que indica que la solución se está acercando a una solución estable y física del problema.
Con el fin de discretizar el dominio computacional y aplicar la técnica de volúmenes finitos, se seleccionó una malla estructurada que se adapta a una geometría regular como es el canal de laboratorio (a). La malla consistió en la división del dominio de solución en volúmenes de control (b), sobre los cuales se resolvieron las ecuaciones de conservación de la masa y de momentum mediante el uso de métodos numéricos. Sin embargo, debido a las condiciones de la geometría, gran parte del mallado fue de tipo hexaédrico como de observa en la Figura 3.

Se elaboraron varios mallados y se probaron diferentes opciones de refinamiento. Para cada uno, se obtuvieron las estadísticas y se realizó el chequeo de calidad, como se observa en la Tabla 2, lo cual resultó en una calidad apropiada para el modelo desarrollado. Para las presentes simulaciones se realizaron diferentes mallados buscando equilibrio entre la ortogonalidad, el aspecto ratio y oblicuidad, ya que, de acuerdo con [11] quien destaca que estos parámetros son cruciales para la precisión y la convergencia de las simulaciones.

Para las condiciones de evaluación de las estadísticas y chequeo de calidad de las diferentes mallas, se analizaron aspectos como, la proporción de aspecto de las celdas de la malla (Aspect Ratio), debido a que un valor adecuado es crucial para evitar distorsiones en la representación del flujo; otro parámetro evaluado fue la distorsión (skewness), dado que, el uso de valores bajos indican celdas con una forma más regular, lo que mejora la precisión de los cálculos numéricos; también, se evaluó el parámetro de la calidad ortogonal (Orthogonal Quality) de la malla, porque una alta calidad ortogonal es esencial para minimizar errores numéricos y mejorar la estabilidad del modelo.
Adicionalmente, se verificó que las condiciones de contorno fueran correctamente aplicadas y que la malla en estas regiones fuera suficientemente refinada para capturar los efectos del flujo en las fronteras. También durante las simulaciones, se monitorearon los errores residuales para asegurar que el modelo alcanzara la convergencia adecuada. Los valores de residuales bajos indican que las soluciones numéricas están cerca de la solución exacta. Por otro lado, los resultados numéricos se compararon con datos experimentales disponibles para validar la precisión del modelo. La buena concordancia entre los resultados numéricos y experimentales es un indicador de la calidad de la malla y de la simulación en general.
2.4. Configuración del modelo en ANSYS
2.4.1. Configuración general
En la configuración general, se estableció que la malla estuviera verificada, mientras que el tipo de solucionador se definió basado en la presión. La velocidad se consideró absoluta y el tiempo se fijó como estacionario. En cuanto al espacio bidimensional, se especificó que era plano. La gravedad se estableció en 9.81 m/s2.
Dentro de la configuración general se establecieron parámetros para flujo permanente, ya que cada análisis comprendía un caudal constante y una sección de geometría constante. Aquí se realizó el chequeo de la calidad del mallado y la definición de modelación en 2D.
2.4.2. Compuerta
La ecuación general para el cálculo del caudal que pasa por la sección de control tipo compuerta está dada por la ecuación 2

Dónde el caudal del fluido es (Q), el coeficiente de descarga (Cd), describe la eficiencia con la que la compuerta regula el flujo. La abertura de la compuerta, (a). El ancho del canal, (b). Finalmente, la carga aguas arriba, Y1, indica la altura del nivel de agua antes de llegar a la compuerta, lo que influye en la presión y el flujo del agua a través del sistema.
2.4.3. CFD (Dinámica de Fluidos Computacional)
Las ecuaciones que gobiernan el movimiento de un fluido son los tres principios fundamentales de la masa, momentum y conservación de energía. En la CFD, según [12], las ecuaciones de gobierno se resuelven numéricamente en un ordenador. Para ello, el dominio de flujo se divide en una malla de pequeños elementos. Las ecuaciones de gobierno se discretizan en cada elemento de la malla, lo que da como resultado un sistema de ecuaciones algebraicas 3 y 4. Este sistema de ecuaciones se puede resolver utilizando una variedad de métodos numéricos, como el método de volúmenes finitos (MVF).
Eq. de continuidad

Donde, p= Densidad del fluido; V= Vector de velocidad; p = La presión; F = Fuerzas del cuerpo. Estas ecuaciones constituyen, junto con la ecuación de conservación de la energía son la base para la simulación numérica de flujo de fluidos en un dominio específico utilizando métodos de CFD. Dependiendo de la complejidad del problema y las condiciones de contorno, estas ecuaciones pueden modificarse o combinarse con otras ecuaciones para abordar fenómenos específicos, como la turbulencia o los flujos multifásicos.
2.4.4. Modelos de turbulencia en ANSYS
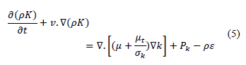
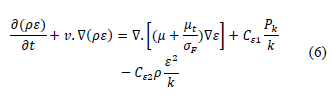
En las simulaciones realizadas en el presente estudio se utilizó la ecuación de transporte para el modelo de turbulencia k-ε. Este modelo se basa en dos ecuaciones diferenciales parciales que rigen la evolución de dos variables de turbulencia, k y e, que representan la energía cinética turbulenta y la tasa de disipación de la energía turbulenta ecuaciones 5 y 6, respectivamente.
Ecuación de transporte para la energía cinética turbulenta.

Donde, p es la densidad del fluido; k es la energía cinética turbulenta; t es el tiempo; v es la velocidad del fluido; μ es la viscosidad cinemática del fluido; μt es la viscosidad turbulenta; σk es un coeficiente de Prandtl para la energía cinética turbulenta; Pk es la producción de energía cinética turbulenta; y ε es la tasa de disipación de la energía turbulenta.
Ecuación de transporte para la tasa de disipación de la energía turbulenta ε.

Donde, ε es la tasa de disipación de la energía turbulenta; Cε1 y Cε2 son coeficientes de modelo específicos.
Para [13], los modelos de turbulencia utilizados en Fluent se pueden clasificar en tres categorías principales: modelos RANS (Reynolds-Averaged Navier-Stokes), modelos LES (Large Eddy Simulation) y modelos DES (Detached Eddy Simulation). Dentro de los modelos RANS, se destacan el modelo k-ε, el más utilizado y adecuado para una amplia gama de flujos turbulentos, el modelo k-co, que ofrece mayor precisión en algunos casos, el modelo SST (Shear Stress Transport), que combina las ventajas de los modelos k-ε y k-ω con mayor robustez y precisión, y el modelo RNG k-ε, similar al modelo k-ω estándar, pero con modificaciones para mejorar la precisión en ciertos casos.
Para la simulación en ANSYS utilizando el modelo de turbulencia k-épsilon, se seleccionó el modelo realizable con tratamiento de pared escalable. Los parámetros del modelo incluyeron la constante C2 con un valor de 1.9, y los números de Prandtl para la energía cinética turbulenta (TKE) y la disipación turbulenta (TDR) establecidos en 1 y 1.2, respectivamente.
La viscosidad turbulenta se definió como "None", lo que sugirió que se utilizará el modelo k-épsilon estándar sin ajustes adicionales en la viscosidad turbulenta. Este enfoque permitió capturar con precisión la turbulencia en el flujo, con un énfasis en la resolución adecuada de la capa límite cercana a la pared.
2.4.5. Modelo Multifase
En el modelo multifase implementado, se utilizó el método de volumen de fluido (VOF), para dos fases eulerianas, agua y aire, con el modelo VOF Submodels específicamente ajustado para flujos en canal abierto. Los parámetros de fracción de volumen se establecieron como implícitos, y la formulación de la fuerza del cuerpo se configuro como una fuerza del cuerpo implícita. Esto permitió modelar con precisión la interacción entre las dos fases en el dominio, centrándose en el comportamiento de la interfaz entre el agua y el aire, con un enfoque principal en la fase primaria de agua y la fase secundaria de aire.
2.4.6. Las condiciones de frontera métodos de solución
En los métodos de solución empleados, se implementó un acoplamiento de presión y velocidad con un esquema de tipo acoplado. La discretización espacial se llevó a cabo utilizando funciones de pared escalables para los gradientes, mientras que para la presión se utilizó un enfoque ponderado de fuerzas corporales. La fracción de volumen se discretizo de manera compresiva. Para la energía cinética turbulenta se utilizó un esquema de primer orden de flujo ascendente, al igual que para la tasa de disipación turbulenta. Para la entrada se asumió una condición de velocidad o flujo másico representativo para flujo permanente, lo que indicó que se está imponiendo un perfil de velocidad en la entrada del dominio.
La presión atmosférica se definió en la salida del dominio para permitir que el flujo salga de manera controlada. Mientras, que se definió Openning o superficie libre en la parte superior para modelar una parte del dominio que es simétrica respecto a un plano determinado. También, se seleccionó la opción Wall o pared que implicó que no hay movimiento del fluido a través de esta región y que se tuvo en cuenta la fricción del fluido con la pared. Además, se especificó el comportamiento de la región como fluido (véase Tabla 3)

2.4.7. Las condiciones de frontera métodos de solución
En los métodos de solución empleados, se implementó un acoplamiento de presión y velocidad con un esquema de tipo acoplado. La discretización espacial se llevó a cabo utilizando funciones de pared escalables para los gradientes, mientras que para la presión se utilizó un enfoque ponderado de fuerzas corporales. La fracción de volumen se discretizo de manera compresiva. Para la energía cinética turbulenta se utilizó un esquema de primer orden de flujo ascendente, al igual que para la tasa de disipación turbulenta.
Finalmente, se eligió el método de acoplamiento presión-velocidad con un esquema acoplado. La discretización espacial se realizó con funciones de pared escalables para los gradientes y con un enfoque de ponderación de fuerza corporal para la presión. La fracción de volumen se discretizo de manera compresiva. Además, se utilizó un esquema de primer orden Upwind para la energía cinética turbulenta y la tasa de disipación turbulenta, lo que garantizó una captura adecuada de los fenómenos turbulentos en el flujo.
3. Resultados
3.1. Residuales
Los resultados obtenidos de los residuales y la convergencia indicaron que se cumplieron los parámetros de convergencia establecidos por ANSYS.
Durante el proceso de simulación, se monitorearon cuidadosamente los residuales de las ecuaciones de continuidad, momento y energía. Se observó que, a medida que avanzaban las iteraciones, los residuales disminuyeron de manera constante, alcanzando valores menores a 1 x 10-4, que es el umbral típico recomendado por ANSYS Fluent para garantizar la precisión de la solución.
Además, se verificó la convergencia a través de otros criterios adicionales, como el monitoreo de parámetros físicos relevantes en el dominio de interés. Estos parámetros incluyeron la velocidad promedio, la presión en puntos críticos y las tasas de transferencia de calor. Los resultados mostraron que estos parámetros se estabilizaron, indicando que se había alcanzado una solución convergente y estable.
Cuando estos parámetros alcanzan valores dentro de los límites predefinidos, se considera que la simulación ha convergido. De acuerdo [12], El factor residual representa el error absoluto que aparece en cada iteración; en términos simples, es el cambio en la magnitud entre iteraciones. Se considera que la convergencia se ha alcanzado si este error es de 1 e-4 o menor.
En la Figura 4 se puede observar que hay varios residuales que se monitorearon durante una simulación, tales como los residuales de las ecuaciones de conservación de masa, momento y energía. Estos residuales se refieren a las diferencias entre los valores calculados y los valores esperados de las variables de flujo, como la velocidad, la presión y la temperatura, en cada celda del dominio computacional.

3.2. Fracción de volumen
En la Figura 5, los resultados de la fracción de volumen permiten identificar zonas donde se presentan ondas del fluido identificar de la superficie libre. Esta herramienta es invaluable para comprender la distribución espacial de las fases en un problema de flujo multifásico, brindando una visión detallada del comportamiento del fluido en diferentes partes del dominio de simulación.

En el plano se muestra la fracción de volumen de las dos fases (agua y aire), y al compararlo con los datos de medición tomados en el laboratorio, se observa una similitud en los valores de la lámina de agua en todo el dominio computacional. Cerca de la compuerta, las fracciones de volumen cambian abruptamente, indicando la presencia de un flujo turbulento, lo que sugiere que estas áreas son críticas para comprender la dinámica de la mezcla de manera analítica.
Al comparar en la Tabla 4, las mediciones, con los obtenidos mediante la fracción de volumen calculada por ANSYS, se observa que la fracción de volumen calculada tiende a ser ligeramente menor que la medida experimentalmente, con diferencias que oscilan entre 0.01 y 0.00 en la mayoría de las ubicaciones. Estas discrepancias resultan en un error porcentual promedio del 1.02%, con fluctuaciones que varían entre el 0.92% y el 1.08%. En general, estos resultados indican una buena concordancia entre los datos medidos y los simulados, aunque se destacan algunas variaciones que podrían ser objeto de futuros análisis y ajustes en el modelo.
3.3. Perfiles de flujo
Existen algunas diferencias que no se pueden determinar de manera visual, dónde se hace un comparativo de la sección de control (a) y el perfil de flujo en (b). Al medir y comparar los valores de lámina de agua obtenidos mediante ANSYS son consistentemente menores que los valores de referencia tomados desde el modelo físico en todas las configuraciones de caudal y posiciones a lo largo del perfil de flujo. Existen pequeñas diferencias principalmente después de la sección contraída con valores de referencia varían en el rango de 0.003 a 0.007 metros.
Los resultados indican que hay una discrepancia entre los valores de lámina de agua obtenidos mediante ANSYS y los valores de referencia. Esta discrepancia podría deberse a varios factores, como la precisión de la simulación, la calidad de los datos de entrada, la modelización del sistema y otros posibles errores en el proceso de simulación. Sería importante investigar más a fondo las razones detrás de estas discrepancias para mejorar la precisión de las simulaciones en el futuro (Figura 6).

En términos porcentuales, las diferencias oscilan entre el -4.54% y el -16.67% de acuerdo a la Tabla 5 Los errores relativos muestran que las discrepancias entre los valores de ANSYS y los valores de referencia son significativas, con errores que van desde el -4.54% hasta el -16.67%.

3.4. Coeficientes de descarga
La Tabla 5 muestra los resultados entre la modelación hidráulica en ANSYS Fluent y los datos experimentales. Cabe resaltar que existe gran correlación entre los datos obtenidos para los caudales de análisis. La diferencia entre Coeficiente de descarga experimental y Coeficiente de descarga teórico varía entre 0.03 y 0.05. El error porcentual en Cd experimental está entre 5.56% y 8.39%. En general, los resultados de la modelación son satisfactorios, con un error porcentual inferior al 10%. Esto indica que la modelación hidráulica en ANSYS Fluent es capaz de predecir con precisión el flujo a través de la compuerta en un canal rectangular.

La diferencia entre los valores de experimental y teórico puede deberse a diversos factores, como las simplificaciones realizadas en el modelo numérico, la presencia de pérdidas de energía no consideradas en el modelo teórico, o errores experimentales en la medición del caudal o la apertura de la compuerta.
3.5. Contornos de velocidad
En la Figura 7, se puede observar al inicio del canal se presenta una velocidad baja, con rango entre 0.98 m/s y 1.1 m/s, esto se debe a que el perfil es de tipo remanso con flujo subcrítico. Luego la velocidad aumenta progresivamente al encontrar la sección de control tipo compuerta. Aguas arriba y cerca del orificio los vectores se presentan de forma desordenada debido a la reducción de la sección.

Las mayores velocidades siempre se encuentran inmediatamente después de la compuerta donde se observan rangos de hasta 1.87 m/s. se alcanza a generar un pequeño resalto hidráulico con vórtices y flujo desordenado para estabilizarse finalmente hasta encontrar la condición de salida a presión atmosférica.
3.6. Contornos de presión
Los resultados de la presión estática que se muestran en la Figura 8, demuestran que los valores que se encuentran antes de la sección o compuerta se deben a la presión del agua en reposo o con velocidades bajas, principalmente aguas arriba de la compuerta del canal. La presión estática es la presión que actúa perpendicularmente a las superficies del fluido en ausencia de movimiento relativo entre las partículas del fluido antes de la sección.

Los valores de la presión estática varían a lo largo del canal debido a diferentes factores, como la geometría del canal, la velocidad del agua y las condiciones de flujo. La presión estática máxima presenta valores de 2070 pascales (Pa).
3.7. Contornos de presión
En primer lugar, los resultados de fracción de volumen obtenidos, pueden compararse con los estudios de [14], quienes investigaron la distribución de la fracción de volumen en flujos bifásicos para representar la distribución espacial de las fases en el dominio de flujo. Cada fase tiene su propia fracción de volumen que varía espacialmente y temporalmente. La suma de las fracciones de volumen de todas las fases en una celda debe ser igual a 1. Esto asegura que se contabiliza todo el espacio en el dominio simulado.
En el plano se aprecia la distribución de las velocidades de las dos fases (agua y aire) a lo largo del canal. Las velocidades de la fase de aire se aproximan en algunas zonas cerca de la compuerta con valores cercanos a cero y en la descarga se aprecian valores de hasta 0.5 m/s.
Las ecuaciones de conservación de masa, cantidad de movimiento, y energía se resuelven para cada fase, utilizando la fracción de volumen para calcular la contribución de cada fase a las propiedades globales del flujo, como densidad y viscosidad.
Respecto a los perfiles de flujo, las comparaciones pueden hacerse con el trabajo de [15], donde los perfiles de velocidad son fundamentales para entender cómo se distribuye el flujo entre las distintas ramas de un canal, lo cual es crítico para la eficiencia y estabilidad de estructuras hidráulicas como bifurcaciones de ríos, sistemas de riego, y canales de drenaje. También, destacan la modelación CFD, por su capacidad para simular perfiles de velocidad con gran detalle, teniendo en cuenta las variaciones espaciales y temporales en el flujo. Sin embargo, el artículo menciona que estos modelos requieren una validación experimental rigurosa para garantizar su precisión.
En cuanto a los contornos de velocidades y presiones, se pueden hacer referencias a los estudios de [1], quienes realizaron simulaciones detalladas de flujos en canales abiertos. Nuestros resultados muestran patrones de velocidad y distribución de presión que concuerdan con los obtenidos por [1] lo que refuerza la validez de nuestra modelación numérica.
Finalmente, para el coeficiente de descarga, podemos comparar nuestros resultados con los presentados por [16], quien investigó las características de descarga en estructuras hidráulicas. Nuestros valores de coeficiente de descarga están dentro del rango reportado por [16], lo que sugiere que nuestro modelo captura adecuadamente la eficiencia de descarga del canal.
Algunas de las limitaciones al desarrollar un modelo numérico bidimensional en ANSYS, implica hacer unas algunas suposiciones, lo cual simplifica las condiciones reales tridimensionales del flujo. Las condiciones de contorno aplicadas en el modelo pueden no reflejar completamente las condiciones reales del flujo en el canal, como las variaciones en la superficie del agua y la interacción compleja con la compuerta, así como la elección del modelo de turbulencia puede influir en los resultados. Aunque se utilizan modelos avanzados, estos aún son aproximaciones y pueden no capturar todos los detalles de la turbulencia del flujo.
Por otro lado, las condiciones del equipo utilizado para las mediciones en el laboratorio siguieron los protocolos del manual de prácticas de hidráulica de canales, teniendo en cuenta las ecuaciones de calibración y recomendaciones del laboratorista. Sin embargo, el uso de dispositivos como sensores de presión y velocímetros, pueden presentar limitaciones inherentes en precisión y resolución, por lo que pueden generar algunos errores durante la toma de datos.
4. Conclusiones
La investigación ha demostrado que la modelación numérica proporciona una mayor precisión en la predicción de fenómenos complejos al ajustar la resolución del modelo, en comparación con la modelación física, que a menudo se ve limitada por restricciones experimentales.
Este enfoque también ofrece ventajas económicas y de tiempo, siendo más eficiente y rentable, especialmente para experimentos costosos o que requieren largos períodos de observación. Además, la modelación numérica permite explorar una variedad de condiciones y escenarios con facilidad, adaptándose a diferentes situaciones, mientras que la modelación física puede ser más complicada y costosa al cambiar las condiciones.
Una herramienta crucial en la modelación numérica es la fracción de volumen, que proporciona información esencial sobre la distribución espacial de fases en problemas multifásicos, permitiendo identificar interfases y zonas de mezcla. Es fundamental comparar la fracción de volumen simulada con datos experimentales para validar la precisión del modelo numérico y garantizar que refleje con precisión el comportamiento físico observado.
El análisis de vectores de velocidad revela patrones de flujo y proporciona información detallada sobre la velocidad y dirección del fluido en diferentes puntos del dominio, siendo esencial para entender la dinámica del flujo tanto en la modelación numérica como física. La elección cuidadosa de modelos de turbulencia en la modelación numérica para flujo a superficie libre es crucial para garantizar resultados precisos.
Además, tanto en la modelación numérica como física, es esencial analizar los perfiles de flujo y el coeficiente de descarga de una compuerta para evaluar la eficiencia del componente y su capacidad para regular el flujo de manera controlada. La comparación del coeficiente de descarga determinado con los resultados empíricos demuestra que el esquema numérico es adecuado y puede utilizarse para posteriores modelaciones de estructuras de control, como presas, compuertas o vertederos hidráulicos de geometrías más complejas.
Teniendo en cuenta la calidad del modelo computacional desarrollado, se recomienda su empleo para evaluar distintos escenarios y realizar futuros diseños, lo que contribuirá al avance en la optimización de sistemas hidráulicos.
5. Recomendaciones
Dada la capacidad de la modelación numérica para ajustar la resolución del modelo y su relativa economía en términos de costo y tiempo, se recomienda considerar la utilización de esta metodología en futuros proyectos de investigación y diseños hidráulicos de estructuras hidráulicas. Esto permitirá una mayor flexibilidad y eficiencia en la exploración de diferentes condiciones físicas y escenarios.
Se sugiere utilizar modelos matemáticos como ANSYS Fluent para continuar comparando los resultados de la modelación numérica con datos experimentales y así validar la precisión del modelo. Esta práctica asegurará que el modelo refleje con precisión el comportamiento físico observado y mejorará la confianza en los resultados.
Tanto en la modelación numérica como física, se debe realizar un análisis detallado de los vectores de velocidad para comprender los patrones de flujo y la dinámica del fluido en diferentes puntos del dominio. Este análisis proporciona información valiosa para el diseño y la optimización de sistemas hidráulicos.
En la modelación numérica de flujo a superficie libre, es crucial seleccionar cuidadosamente los modelos de turbulencia para garantizar resultados precisos. Se recomienda evaluar diferentes modelos y considerar la complejidad del flujo para seleccionar el modelo más apropiado.
Es importante continuar analizando los perfiles de flujo y el coeficiente de descarga de las compuertas para evaluar su eficiencia y capacidad de regulación del flujo. Esto proporcionará información clave para el diseño y la optimización de sistemas hidráulicos relacionados con la hidráulica de canales.
Agradecimientos
Los autores agradecen a la Dirección del programa de Ingeniería Civil de la Escuela de Ingenieros Militares por conceder el permiso de trabajo en el laboratorio de hidráulica. Además, agradecen el apoyo del programa de Ingeniería Civil a distancia y al grupo de investigación Modelos de Simulación ICDIST.
Referencias
V. C. Patel, W. Rodi, G. Scheuerer, "Turbulence Models for Near-Wall and Low Reynolds Number Flows: A Review," AIAA Journal, vol. 23, no. 9, 2017, doi: https://doi.org/10.2514/3.9086
J. Kim, P. Moin, R. Moser, "Turbulence statistics in fully developed channel flow at low Reynolds number," Journal of Fluid Mechanics, vol. 177, pp. 133-166, 1987, doi: https://doi.org/10.1017/S0022112087000892
J.A. Mora, G.R. Granados, "Modelación hidrodinámica bi-y tridimensional del nuevo canal con disipador de energía del laboratorio de la Escuela Colombiana de Ingeniería, utilizando Ansys Fluent," Revista de la Escuela Colombiana de Ingeniería, no. 110, pp. 23-35, 2018.
Y. Martinez, J. A. Echeverria, "Modelación del flujo en una compuerta a través de las pérdidas de energía relatives de un salto hidráulico sumergido. Primera parte," Ingeniería Hidráulica y Ambiental, vol. 23, no. 3, pp. 65, 2002, https://link.gale.com/apps/doc/A146838687/IFME?u=anon~cdf70ab8&sid=googleScholar&xid=042cc599
A.I. Rajaa, A. H. Kamel, "Performance Study of Fluent-2D and Flow-3D Platforms in the CFD Modeling of a Flow Pattern Over Ogee Spillway," Anbar Journal of Engineering Science, vol. 11, no. 2, pp. 221-230, 2020, doi: https://doi.org/10.37649/aengs.2020.171262
A. Villamizar Hernández, "Aplicación de un modelo turbulento bidimensional para la simulación de flujo a superficie libre en un canal horizontal," Universidad Nacional de Colombia, 2014.
R. H. Pletcher, J. C. Tannehill, D. A. Anderson, Computational fluid mechanics and heat transfer, 3thed.Boca Raton; New York; Oxon: CRC Press, Taylor & Francis Group., 2012.
R. C. Gilmore, J. A. Marts, J. F. Brune, S. Saki, G. E. Bogin, J. W. Grubb, "Simplifying CFD modeling of longwall gobs with a modular meshing approach," Mining Engineering, vol. 67, No. 3, pp. 68-72, 2015.
J. Ferziger, M. Peric, Computational Methods for Fluid Dynamics. Berlin; Heidelberg; New York: Springer, 2002.
J. D. Anderson, Computational fluid dynamics: the basics with applications, New York: McGraw-Hill, 1995.
A. H. Otálora, G. R. Santos, "Análisis de un vertedero triangular de pared delgada con Ansys Fluent," Revista de la Escuela Colombiana de Ingeniería, no. 103, pp. 37-46, 2016.
J. Anderson, Fundamentals of aerodynamics, 6th ed. New York: McGraw-Hill Education, 2017.
ANSYS, "ANSYS GUIDE User's Guide," Cannonsburg, 2010.
W. K. H. Ariyaratne, E. V. P. J. Manjula, C. Ratnayake, M. C. Melaaen, "CFD approaches for modeling gas-solids multiphase flows-A review," 9th EUROSIM & the 57th SIMS Conference, pp. 680-686, 2016, doi: https://doi.org/10.3384/ecp17142680
I. Ibrahim, S. L. Ibrahim, S. Khan, "Flow structures in dividing open channels: a review," IOP Conference Series: Earth and Environmental Science, vol. 437, IOP Publishing, 2020, doi: https://doi.org/10.1088/1755-1315/437/1/012008
N. Rajaratnam, J. A. Humphries, "Turbulent non-buoyant surface jets," Journal of Hydraulic Research, vol. 22, no. 2, pp. 103-115, 1984, doi: https://doi.org/10.1080/00221688409499387
Como citar:
Financiación
Contribución de los autores
Declaración de la Junta de Revisión Institucional
Declaración de consentimiento informado
Author notes
a Correos electrónicos: est.fernando.mogol1@unimilitar.edu.cobdiana.hernandez@unimilitar.edu.co
Conflict of interest declaration