Abstract: In this contribution, we study the oscillations of the electrical-potential in a mesoscopic superconducting thin film when an external current is applied. We analyze the resistivity and electrical-potential as a function of the applied current for several external applied magnetic field and size of the sample. Also, we have calculated the electrical-potential as a function of the characteristic time. To study this problem, we solve the well know generalized time dependent-Ginzburg-Landau equations using the link-variable method. We found that the critical current decreases when the external magnetic field increases and the size of the sample decreases. Furthermore, the oscillation frequency of the kinematic vortex, evidenced in the oscillations of the electrical potential, is highly dependent on the applied magnetic field.
Keywords: Ginzburg-Landau, Critical current, Superconductivity, Vortex state, Mesoscopic.
Resumen: En esta contribución, estudiamos las oscilaciones del potencial eléctrico en una película delgada superconductora mesoscópica cuando se aplica una corriente externa. Analizamos la resistividad y el potencial eléctrico en función de la corriente aplicada para varios campos magnéticos externos aplicados y el tamaño de la muestra. Además, hemos calculado el potencial eléctrico en función del tiempo característico. Para estudiar este problema, resolvemos las conocidas ecuaciones generalizadas de Ginzburg-Landau dependientes del tiempo utilizando el método de variable de enlace. Encontramos que la corriente crítica disminuye cuando aumenta el campo magnético externo y disminuye el tamaño de la muestra. Además, la frecuencia de oscilación de los vórtices cinemáticos, evidenciada en las oscilaciones del potencial eléctrico, es altamente dependiente del campo magnético aplicado.
Palabras clave: Ginzburg-Landau, Corriente crítica, Superconductividad, Estado de vórtices, Mesoscópico.
Articulos
Critical Currents and Voltage Oscillations in a Superconducting Sample
Corrientes críticas y oscilaciones en el voltaje en una muestra superconductora
Received: 31 May 2024
Accepted: 20 July 2024
The study of the voltage-oscillations or potential-electric oscillations in superconducting kinematic-vortices is a fascinating topic in superconductivity and the condensed materials physics. Vortices are regions where electric current circulates around a nucleus without resistance. These phenomena can be studied through the oscillations of voltage in superconductors when subjected to different conditions. Kinematic-vortices arise when there is relative movement between the magnetic lines present in the superconducting material. This movement can generate oscillations in voltage as the vortices interact with each other and with impurities in the material. This complex interaction between kinematic vortices and the properties of superconductors is the subject of constant study by researchers interested in both practical applications and the fundamental understanding of these systems.
As is well known, the Abrikosov or Shubnikov vortices, which are quantized magnetic field flows, there is a very interesting type of vortex called kinematic vortex, this vortex originates due to applied external currents generating magnetic fields within the shows that, due to their direction within it, they originate a vortex-anti-vortex (V-Av) pair. The speed of creation and annihilation of the V-Av pair is extremely fast, making it very difficult to appreciate them as independent fluxoids. Physically, these kinematic vortices are points in spacetime where the superconducting pseudo-wave function is equal to zero, its silent phase changes an equal value around that point. A large amount of experimental and theoretical work has been developed since the discovery of the phenomenon of superconductivity [1], [2], [3], [4], [5], [6], [7]. In the presence of external currents, many investigations have been carried out, among them we can cite R. Meneses, who studied the effect of the Lorentz force on superconductors with magnetic defects and found that the critical current increases considerably with the inclusion of these magnets [8]. In the vortex-anti-vortex state, several authors have theoretically shown that Abrikosov vortices inside a Josephson cavity generate V-Av pairs and in a thin sheet and in the absence of an external magnetic field, the so-called kinematic vortices appear [8], [9], [10], [11]. P. Sanchez analyzed the resistivity presented by the state of movement of the Abrikosov vortices in superconducting sheets by varying their size and found an anchoring of these vortices on the surface of the sample with the consequent appearance of voltage. A very important and recent result was reported by T. Golod, the author experimentally proved that an Abrikosov vortex can be analyzed as a random-access memory cell and used as an informative bit, these cells are characterized by having a low recording energy and giant magneto-resistance between states one and zero in a short time [12]. Valladares and collaborators performed studies in manometric determination of the oxygen diffusion coefficients in YBa2Cu3_yFey06+x , their experimental results validate the efficacy of the manometric method for analyzing and determining the thermodynamic and kinetic properties of the YBCO superconductor [13], [14], [15], [16], [17]. Also, Berdiyorov et al. studied the resistive states of a thin film in presence of a longitudinal current. They found pairs of kinematic vortices traveling in opposing directions and perpendicular to the direction of the applied current [18], [19].
In this work we analyzed the oscillations of the voltage or electrical potential in a superconducting film in presence of a magnetic force. We calculated the voltage curves as a function of the current and time for several values of the magnetic field.
One of the most successful theories in describing low critical temperature superconductors is the Ginzburg-Landau phenomenological theory. This theory describes the superconducting state by means of a complex pseudo wave function 𝜓(r,t) whose square modulus represents the density of superconducting electrons and the potential vector A(r,t). The Ginzburg-Landau equations (equations (1,2)) in the presence of applied currents related to the electrostatic potential 𝜑 at temperature T = 0 in this dimensionless form can be written as [20], [21], [22], [23], [24], [25], [26]:

The distances are scaled by the coherence length 𝜉, time is in units of the Ginzburg Landau time 𝑡𝐺𝐿= 𝜋ℏ8𝐾𝐵𝑇𝑢𝐶,⁄ the electrostatic potential 𝜑 is given in units of 𝜑0=ℏ2𝑒𝑡𝐺𝐿⁄, and the vector potential 𝐴 is scaled by 𝐻𝑐2𝜉, where 𝐻𝑐2 is the upper critical field. We take 𝑢 = 5.79 and 𝛤 =𝑡𝐸𝜑0/ℏ=10, 𝑡𝐸 is the inelastic scattering time [27]. The points where the external current 𝐽𝑒𝑥𝑡 is applied are metallic contacts, where 𝛹=0 and 𝛻𝜑=−𝐽𝑒𝑥𝑡. Here, 𝐽𝑒𝑥𝑡 is expressed in units of 𝐽0 = 𝑐𝜎ℏ/2𝑒𝑡𝐺𝐿, 𝜎 represents the electrical conductivity in the normal state. Neumann boundary conditions were used in the region where the current is applied. In this work, we studied a thin square sample for several sizes 𝐿/𝜉=6,8,10; in presence of an DC magnetic force determined by 𝑱𝒆𝒙𝒕 applied in the (𝑥,𝑦) plane and magnetic field 𝐻𝒛. the thickness of the film, denoted as 𝑑 ≪ 𝜉, therefore, we will extrapolate to the two-dimensional problem [28], [29]. The voltage was calculated between 𝑥1=2𝜉 and 𝑥2=6𝜉.
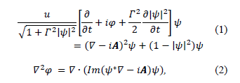
In the Figure 1, we plot the time average electric-potential V and the resistivity R, both as a function of the applied current for the magnetic field for a sample with L = 10 for indicated magnetics fields.

The lines in 𝐽1, indicates the first critical current in which the first kinematic vortex appears in the sample and subsequently a maximum in the resistivity occurs in these points. The electrode to which the current is applied has a size 𝑎=2𝜉<𝐿, therefore, the distribution of currents within the sample is not homogeneous, so, the emergence of the vortex anti-vortex states. The critical current is highly dependent to the magnetic force 𝑭=𝑱𝑒??𝑡×𝑯, 𝐽1 decreases as 𝐻 increases. 𝐽1~0.78 for 𝐻=0.5; 𝐽1~2.4 for 𝐻=0.42; 𝐽1~2.7 for 𝐻=0.35; 𝐽1~2.85 for 𝐻=0.25; and 𝐽1~2.9 for 𝐻=0.00. For high values of the magnetic field, we can appreciate a apparition of a second critical field 𝐽2 at 𝐻~2.85.
In the Figure 2, we plot the phase diagram 𝐽1−𝐻, (first critical current 𝐽1 and magnetic field H) at indicated sizes of the sample and the electric-potential as a characteristic time function. Here, we can see characteristic oscillations of the voltage curve, representing to nucleation and annihilation of the kinematics vortex. Also, when the size of the sample increases, the critical field decreases. Showing a well know result in mesoscopic samples. We can appreciate that for 𝐻≲0.35 and 𝐽1≲2.8 the sample remains in the Meissner state. Here the dependence of the role of the sample size on the critical currents is evident, we observe that as 𝐿 increases, 𝐽1 decreases.

We consider this result very important for technological applications, since we can manipulate the critical currents through the physical size of the sample.
In the Figure 3 (up), we plot the electric-potential between (240000,240500) at Δ𝜈=500 interval, at 𝐻=0.25,0.35,0.50. We found envelope frequencies 𝜈=0.0048𝜈0 at 𝐻=0.25, 𝜈=0.0050𝜈0 for 𝐻=0.35 and 𝜈=0.0076𝜈0 at 𝐻=0.50 (here 𝜈0=𝑡𝐺𝐿−1). Also we can appreciate that the maxima amplitude 𝐴𝑚𝑎𝑥 for each case is 𝐴𝑚𝑎𝑥(𝐻=0.50)≈0.182𝜉; 𝐴𝑚𝑎𝑥(𝐻=0.35)≈0.333𝜉; and 𝐴𝑚𝑎𝑥(𝐻=0.25)≈0.261𝜉. However, we can see that the frequency of the waves within the large envelope wave is practically independent of the external magnetic field.

In the Figure 3 (down), we plot the electric-potential between (40000,40500) at Δ𝜈=500 interval. In this case, we found frequencies 𝜈=0.168𝜈0 at 𝐻=0.00; 𝜈=0.113𝜈0 at 𝐻=0.25; and 𝜈=0.0096𝜈0 at 𝐻=0.50. In this time intervals and for these fields, the wave does not present another envelope wave, as occurs for other magnetic fields analyzed. At 𝐻=0.35, we found 𝜈=0.112𝜈0 for the envelope wave and found 𝜈=0.0070𝜈0 for the internal wave. At 𝐻=0.42, we found 𝜈=0.135𝜈0 for the envelope wave and found 𝜈=0.0063𝜈0 for the internal wave. Again, we can appreciate that the maxima amplitude 𝐴𝑚𝑎𝑥(𝐻=0.0)≈0.211𝜉; 𝐴𝑚𝑎𝑥(𝐻=0.25)≈0.123𝜉; 𝐴𝑚𝑎𝑥(𝐻=0.35)≈0.237𝜉; 𝐴𝑚𝑎𝑥(𝐻=0.42)≈0.134𝜉; and 𝐴𝑚𝑎𝑥(𝐻=0.50)≈0.104𝜉.
It is interesting to note that the oscillations in the voltage curve are highly dependent on the magnetic field range analyzed. We found envelope waves in several cases, concluding an entry of anti-vortex vortex pairs that is not homogeneous in time.
We analyzed the oscillations of the voltage as a function of the time in a superconducting film in presence of a magnetic force. We found that the periodic nucleation of the kinematic vortex or vortex-antivortex pairs, allows well defined oscillations of the voltage in the sample. The amplitude and frequency of this oscillations depends strongly on the external magnetic field and current for each time interval. Also, we found that the critical currents depend on the size of the sample.
a Emails: mrinconj@unal.edu.cobjjbarbao@unal.edu.co


