Articles
Conceptualizing and qualifying disruptive business models
Conceptualizing and qualifying disruptive business models
RAUSP Management Journal, vol. 54, núm. 3, pp. 269-286, 2019
Universidade de São Paulo
Recepción: 23 Noviembre 2017
Aprobación: 30 Agosto 2018
Abstract:
Purpose
This paper aims to elaborate a set of characteristics that conceptualize and qualify a disruptive business model.
Design/methodology/approach
The literature on disruptive business models will be analyzed using the latent semantic analysis (LSA) technique, complemented by content analysis, to obtain a more precise qualification and conceptualization regarding disruptive business models.
Findings
The results found described concepts already described in the theory. However, such findings, highlighted by the LSA, bring new perspectives to the analysis of the disruptive business models, little discussed in the literature and which reveal important considerations to be made on this subject.
Research limitations/implications
It should be noted, about the technique used, a limitation on the choice of the number of singular values. For this to be a problem in the open literature, the authors tried to work not just with the cost-benefit ratio given the addition of each new dimension in the analysis, as well as a criterion of saturation of the terms presented.
Practical implications
The presentation of this set of characteristics can be used as a validation tool to identify if a business is or is not a disruptive business model by managers.
Originality/value
The originality of this paper is the achievement of a consolidated set of characteristics that conceptualize and qualify the disruptive business models by conducting an in-depth analysis of the literature on disruptive business models through the LSA technique, considering the difficulty of obtaining precise concepts on this subject in the literature.
Palabras clave: Disruptive business model, Innovation, Technology
1. Introduction
Reflecting the constant changes in the market and the needs of consumers, in addition to innovation in products and services, managers from different areas have focused their attention on innovation in business models (Pereira, Imbrizi, Freitas, & Alvarenga, 2015). This occurs because alternative means of management and value creation allow the redefinition of the business performance in a specific field, as well as the acquisition of competitive advantage (Christensen, 1997; Johnson, Christensen, & Kagermann, 2008; Rodrigues, Silveira, Kono, & Lenzi, 2013; Simmons, Palmer, & Truong, 2013). In this sense, there has been a market competition not only in terms of innovation in products and services (Pacheco, Klein, & Righi, 2016) but also about business models (Gassmann, Frankenberger, & Csik, 2013).
In this context, disruptive business models (DBMs) are presented, which arise to replace the existing business models, aiming to adapt the organizational structures to the products and services offered, emphasizing the proposition of a unique value to the market served (Hwang & Christensen, 2008; Markides, 2006; Mitchell & Coles, 2004; Osiyevskyy & Dewald, 2015; Santos, Spector, & Van der Heyden, 2009; Wu, Ma, & Shi, 2010). Despite these understandings about DBM, their exact meaning and conceptual boundary, about the aspects of the innovation process in business models, are still imprecise in the literature (Wu et al., 2010). Foss and Saebi (2017) corroborate this discussion by stating that the literature on the innovation process of business models is emerging, and address an important phenomenon in the market that lacks the theoretical basis and empirical research to sustain it.
The existence of these conceptual limitations ends up influencing the adoption of innovation in business models, especially regarding managers’ understanding on when and how to innovate in existing business models (Chesbrough, 2010; Gilbert, 2005; Johnson et al., 2008). In the face of this need to conceptualize innovative DBMs, this article aims to elaborate a set of characteristics that conceptualize and qualify DBM.
To do so, the literature on DBM will be analyzed through the latent semantic analysis (LSA) technique, complemented by content analysis, to obtain a more precise qualification and conceptualization regarding DBM. The LSA is a text mining method for content analysis that combines quantitative techniques with the researcher’s judgment to extract and decipher the main latent (hidden and/or implied) factors of a set of texts (Kulkarni, Apte, & Evangelopoulos, 2014).
2. Theoretical framework
2.1 Disruptive business model
The management of innovation is an essential factor to be considered in the business strategies of companies that constantly seek to gain prominence in the market and to ensure competitive advantage (Freitas, Martens, Boissin, & Behr, 2012; Pereira et al., 2015). It is noted that the innovation process does not only deal with traditional prescriptions of strategies related to low cost, better management and control but also are concerned with the way of creation and delivery of value to the consumers, which affects business in all its forms and activities (Rodrigues et al., 2013; Sainio, 2004). Based on this context, it is possible to see that, in addition to innovation in products and services, the innovation in the business model has stood out in the search for new ways of creating a business, emphasizing the unique value proposition, which raises consumers’ awareness and differentiates the company in the market (Pereira et al., 2015; Rodrigues et al., 2013).
For Markides (2006), innovations in business models are not about discovering new products or services but simply redefining what an existing product or service is and how it is delivered to customers. Thus, in the innovation of business models, the attention is focused on the consumers (Magretta, 2002), seeking new ways of proposing value to them, through a new structuring of business, rather than simply delivering a new product or service (Bashir, Yousaf, & Verma, 2016). In this regard, Santos, Spector and Van der Heyden (2009) establish that the innovation of business models focus on the reconfiguration of the activities belonging to the business model of a specific company, which are related to new products or services that will be provided in the market in which the company competes.
In view of these highlighted aspects, DBMs present themselves as an alternative to replace traditional business models, either by restructuring current models or by creating new ones, aiming to adapt the organizational structures to the products and services offered and to take advantage of the opportunities arising from this process of reorganization, focusing on proposing a single value to the new market served (Amshoff, Dülme, Echterfeld, & Gausemeier, 2015; Habtay, 2012; Hwang & Christensen, 2008; Markides, 2006; Mitchell & Coles, 2004; Santos et al., 2009; Wu et al., 2010; Yovanof & Hazapis, 2008). This is possible because these new business models emphasize other attributes in the products or services offered, different from those highlighted by the existing business models of established competitors (Christensen & Raynor, 2003).
Moore (2004) points out that the disruption of business models arises at a stage in which emerging technologies and innovations become impractical in a traditional business model, as the commercialization of a new technology or an innovation process requires companies and managers to understand the cognitive role of business models, especially when the opportunities presented by them do not fit into existing business models (Chesbrough & Rosenbloom, 2002). Khanagha, Volberda and Oshri (2014) complement that the disruptive forces that require organizations to develop a new business model are usually driven by external changes in technologies and market needs, which cannot be followed nor taken advantage of by existing activities in the current business models.
2.2 Latent semantic analysis
The LSA model is one of the techniques developed in response to the different needs of the information retrieval area that more recently supports the text mining activity (Visinescu & Evangelopoulos, 2014). When proposed by Deerwester, Dumais, Furnas, Landauer and Harshman, in 1990, their main objective was to approach the problem of synonymy (use of different words with the same meaning) and polysemy (use of expressions that have more than one meaning) related to working with unstructured texts. The purpose was to address the fact that it is not possible to consider the words used in a search in a crude way since there are different ways of communicating the same concept.
The LSA model was proposed as a solution for those issues (Deerwester, Dumais, Furnas, Landauer, & Harshman, 1990). The main idea was the use of singular value decomposition (SVD) to discover a latent semantic structure hidden between the terms in a set of documents, also called corpus. The SVD is a decomposition solution to deal with non-symmetric matrices, that is, with a larger number of rows than columns, or vice versa. Matrices used in text mining, known as term-document matrices, fit this profile because there will hardly be the same amount of terms and documents.
This decomposition is based on models of vector spaces, an application of linear algebra. The LSA model works with a particular application to create a semantic space. The input for creating this space is the term-document matrix. Thus, a corpus containing n documents and m terms can be represented by an X matrix, of order m-by-n. After the creation of the Xmatrix, it is possible to represent its terms and documents in a vector space, through orthogonal decomposition. Orthogonal transformations can maintain the properties of the original matrix, including norms (the length and distance of the vectors) of the rows and columns of X (Martin & Berry, 2011). An orthogonal matrix, resulting from decomposition, has the fundamental property QtQ = I, where Q is the orthogonal matrix, Qt is its transpose, and I is the identity matrix:

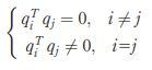
Thus, the n vectors that form Q, and which can be represented by [q1, q2,…, qn], are orthogonal, as for any pair (qi, qj), we have:

In addition, the Q matrix is also orthonormal, as the length of each vector is 1, which can be denoted by ‖qi‖ = 1. Being orthonormal, these vectors (i.e. the columns of the Q matrix) are positioned in different directions and form a 90° angle to each other. Thus, the vectors [q1, q2, … , qn] form a linearly independent set, serve as a basis for a vector space and can form any other vector, in this same space, from the linear combination of their terms.
Therefore, the objective is to obtain, from the term-document X matrix, the set of linearly independent vectors, which form the basis of that set. This way, it is possible to discover the latent semantic structure, hidden between the documents and the terms that compose the corpus.
The SVD process results from a mathematical decomposition of an X matrix into three other matrices, U, S and Vt, as shown in Figure 1. In addition to the SVD, there is more than one way to perform this decomposition, such as the QR factorization or the semi-discrete decomposition, but for LSA application, SVD decomposition is the most popular (Martin & Berry, 2011). One of the main reasons is the ability to decompose the X matrix into orthogonal factors that have representation both in the terms and in the documents (matrices U and Vt in Figure 1). Besides connecting these two components mathematically through the vectors, it is possible, with the same operation, to achieve the vector representation for both. Also, dimensionality issues can be dealt with in this same operation.
The SVD has extensive application, as it works with the eigenvalues and eigenvectors, which carry much information about the matrices (Becker, 2016). In the context of the LSA model, as proposed by its authors, this decomposition, when applied to a term-document matrix, allows the identification of terms that are similar to each other and, thus, the correspondent similarity among the documents.
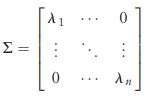
As shown in Figure 1, U is an orthogonal matrix UtU = I, Vt is also an orthogonal matrix VtV = Iand S (also denoted by ∑) is a diagonal matrix containing the singular values of X, represented by:

Through this decomposition, we have the r columns of U containing the r orthonormal eigenvectors associated with the nonzero eigenvalues of XXt, and likewise the r columns of V(lines of Vt) containing the r orthonormal eigenvectors associated with r nonzero eigenvalues of XtX. In addition, {λ1, …,λn} represent the singular values of the X matrix, originated from the corpus. Without loss of generality, it is possible to assume that the singular values are ordered in ascending order, being λ1 > ⋯ > λn (Crain, Zhou, Yang, & Zha, 2012).
From this process, it is possible to obtain the factors that are distributed throughout the documents and presented in the terms. Thus, different words with similar meanings will be approximate given their distribution in the documents. Likewise, similar words with distinct meanings will appear in different factors, as they are present in separate documents.
Despite the authors’ main objective, the LSA model enables researchers to go beyond solving the problems of synonymy and polysemy. By identifying the factors (which form the latent structure behind the terms and documents), it is possible to extract the key topics from a given set of documents. These topics can summarize the information of a large volume of text by approximating words using the singular values of the term-document X matrix. Thus, it is possible to analyze many documents at a conceptual level, besides the pure analysis of term-document counting (Crain, Zhou, Yang, & Zha, 2012). Hence, the possibility of creating a semantic space has expanded LSA applications.
LSA has been previously used to uncover the intellectual structure from a research discipline. Kulkarni, Apte and Evangelopoulos (2014) applied LSA to uncover the main Operations Management research topics from 1980 to 2012. Also, Evangelopoulos (2011) also applied LSA to understand the influence of Taylor’s ideas among scholarly work. Although there is not a single way to select the optimal number of latent dimensions, which can be pointed out as a limitation, LSA can address some shortcomings from other text analysis methods, as it does not rely on previously notion, limiting any subjective bias in the analysis (Evangelopoulos, 2011; Kulkarni, Apte & Evangelopoulos, 2014). For a detailed discussion about dimensionality reduction, see Wild, Stahl, Stermsek, Neumann and Penya (2005).
3. Methodology
Aiming to contribute to the existing literature on DBM, this research, essentially quantitative and descriptive, proposed a review of the literature on this topic under debate, using the LSA technique to consolidate the concepts presented on DBM in the literature, elaborating a set of characteristics that conceptualize and qualify DBM.
LSA can be conceptualized as a method for extracting and representing the meaning of a set of documents, i.e. a corpus because it combines local occurrence (one document) with global co-occurrence (all documents), making the association value between words greater if both appear together in two different documents than if each of them appears twice in single documents. This can also be seen as an inverse entropy measure: the larger the entropy, the less information the word transmits about where it has appeared, and conversely, the less the meaning of a particular context is determined by that word (Landauer & Dumais, 1997; McNamara, Kintsch, Dennis & Landauer, 2011).
The articles selected for this analysis deal with DBM, most of which were developed in the form of empirical research. This set of articles was obtained from systematic searches conducted in scientific databases, which are CAPES/MEC Journal Portal, EBSCO, SCOPUS and Web of Science. The searches in the databases were performed at the beginning of the second semester of 2016. They were chosen due to their influence in the academic area, considering the access to several periodicals and magazines of all knowledge areas, as well as those related to business management, which include studies related to DBM.
Four searches were carried out, one in each database, by the term disruptive business model(without quotes) only in titles of peer-reviewed scientific articles, with no period limitation, in order to obtain studies that approach this subject in depth. Excluding duplicate articles among the databases, 19 articles were obtained for analysis. Initially, each of the articles resulting from the searches was thoroughly verified, to ensure its relevance for this research, as well as to confirm that the topic was being explored in depth.
The data were organized in electronic spreadsheets to carry out the analysis of the research. A spreadsheet was prepared in Excel with the full text of the articles, considering the form required for RStudio, the platform used to work with the R software. The organization of this worksheet sought a matrix representation in which each column was composed of one article (totaling 19 columns), and each row was represented by one of the 490 paragraphs of the article set, the first line being represented by the title of the article. For the preparation of this worksheet, the presentation texts of authors and journals, references, captions and sources of figures, tables or charts and preprocessing (with citation) were not taken into consideration. The data preprocessing phases followed the research of Marcolin and Becker (2016): removing special characters, such as @, #, among others, unifying the article’s language, as one article was published in Spanish, and filtering stop words, such as a, the, that, with, and to, for example.
Thus, the term-document X matrix was generated from this set of documents, resulting in a matrix of 7,904 by 490, containing 7,904 unique terms distributed throughout the 490 paragraphs. In this matrix, the SVD decomposition was applied from the LSA package implemented in R. From this decomposition, three matrices were produced, as shown in Figure 1. For this article, the U matrix, which relates the terms to the 490 dimensions analyzed, was explored. Using the paragraphs, rather than the documents, as dimensions, we sought alignment with the literature regarding the potential for finding better latent relations when working with document expansion (Damais & Nielsen, 1992; Zelikowitz & Hirsh, 2001).
The decomposition performed considered all the dimensions, resulting in the distribution of singular values. In Figure 2, it is possible to perceive that there is a marked decrease in the first dimensions about the singular value. This happens because the decomposition occurs in descending order, seeking to accumulate in the first dimensions the maximum amount of information that allows the reconstruction of the original X matrix. The chosen cut-off point, therefore, took into account the dimensions that proportionally have greater explanatory power and that coincides with the point of greatest decrease in the curve, so that adding new dimensions to the analysis would represent more effort than explanation possibilities (Kulkarni, Apte, & Evangelopoulos, 2014; Wild et al., 2005).
From the obtained dimensions, we proceeded with the analysis of the data found. In the process of decomposition used by LSA, the singular values respect the order of the eigenvalues to the left and right of the X matrix. Therefore, it is possible to state that, without loss of generality, the most significant dimensions are associated with the higher singular values, that is, the first dimensions. Thus, the first 20 dimensions were analyzed (cut-off point), composing a representative and relevant group that exhausted the criterion of quantity of dimensions for the construction of the set of characteristics that conceptualize and qualify DBM, as the later dimensions ended up bringing repeated aspects already analyzed in the previous dimensions and did not bring new relevant points for analysis (generic terms unrelated to the subject being discussed).
For the data analysis, each term had its relative frequency calculated about the absolute total loads of all the terms present in the same dimension. This process was performed for all terms of the 20 dimensions analyzed. After obtaining this relative frequency, we looked for a common cut-off point for all dimensions to define the number of terms to be analyzed by each dimension. To do so, we plotted the relative participation of the top-N first terms. We tested the values of N from 5 to 25, seeking in the 20 dimensions which N would be more balanced. The results of the tests are presented in Figure 3, showing the choice for the top-24 terms by dimensions that will be analyzed later.
After defining the cut-off point for terms to be analyzed, a new calculation of the relative frequency was performed for each of the 24 terms of each of the 20 dimensions. The new relative frequency was calculated about the absolute total of the loads of the 24 terms that compose each dimension. This process was performed in all 20 dimensions analyzed. The accomplishment of this step allows the verification of the frequency of the terms in each dimension, to generate, later, a tag cloud for each dimension analyzed using the Nvivosoftware.
From the tag clouds obtained, the final analysis of this research was carried out by estimating the meaning of the most relevant terms highlighted by LSA, evidenced in these tag clouds, along with the content analysis to emphasize the meaning of the messages analyzed in the literature. This is because text mining techniques are closely related to content analysis, which extracts data-driven categories for analysis, allowing one technique to complement the other in the process (Yu, Jannasch-Pennell, & Digangi, 2011). Four data-driven categories were identified in our analysis: Disruptive technology and innovation; value proposition to consumers; maintenance of existing business models; and pattern within DBM.
Some of the data-driven categories were presented in more than one dimension because of the similarity between the main terms emphasized by LSA and tag clouds. Therefore, these data-driven categories consolidate the concepts and characteristics of DBM presented in the literature and highlight new insights on this topic, which are highlighted in bold. Such findings pointed out by the LSA and illustrated by the tag clouds are combined with content analysis, by cross-checking these data with the theory.
4. Analysis
For the results of this research, the first 20 dimensions were used, as they were of greater weight and relevance for the intended analysis, exhausting the number of analyzed dimensions from the total. Out of these 20 dimensions, three were discarded in this research. The first discarded dimension was the seventh, as it deals with a dimension focused on an article dealing with DBM in the Latin American beef industry, presenting insignificant terms for this research, such as exports, beef, Mexican, market, meat and cattle.
The second and third discarded dimensions were the 13th and 14th because they were also exclusively about one of the articles of the analyzed set. This article is a seminal work referring to DBM in health and is frequently quoted in other studies, so it is presented in two dimensions. However, the most evidenced terms in these dimensions were considered as insignificant for this study: care, health, study, research, service, delivery, businessmodel, hospitalsand innovation.
4.1 Disruptive technology and innovation
In this subsection, we present the first group of concepts analyzed, which were driven mainly by the first dimension extracted from LSA. The first dimension, which is very representative for the research, as it reveals the most important terms among the set of articles examined, presented a compilation of the main subjects related to DBM in the literature, being highlighted by the following most frequent words in this dimension: technology, model, innovation, disruptive and business. Figure 4 illustrates the first dimension, showing an overview of DBM in theory.
This result reflects the initial literature on market disruption, which focused on a disruptive technology (Bower & Christensen, 1995) and disruptive innovation (Christensen, 1997). Following the presentation of these subjects in the literature, there is the emergence of DBM, representing a link between business models and technological and innovation ruptures(Christensen & Raynor, 2003), uniting creative ideas in the exploration of technologies and innovation processes with their respective economic implementations in business (Yovanof & Hazapis, 2008).
It is important to highlight the theoretical findings which affirm that disruptive technology and innovation are better used when combined with the innovation of business models (Chesbrough & Rosenbloom, 2002; Christensen & Raynor, 2003; Johnson et al., 2008). This is because the exploration of a new technology or an innovation process requires an evaluation and re-adaptation of the business models, especially when they do not fit into the existing business models (Chesbrough & Rosenbloom, 2002). This phenomenon leads to a conflict between the established business model and the new models required for disruptive technology or innovation(Christensen & Raynor, 2003), a fact that may be related to the presence of the words existing, established and incumbents in the tag cloud from the first dimension.
From this initial dimension, which illustrates a broad picture of DBM, encompassing business models and disruptive technologies and innovations in their concept, other dimensions were analyzed with the emphasis on the variables technology and innovation (Figure 5). Initially, the third dimension is highlighted, which focuses on the influence of technology on the DBM. Analysis of this dimension is complemented by the findings of the sixth dimension.
In the third dimension, it is possible to verify the influence of the new technologies on the business model (Bashir et al., 2016), which simultaneously create opportunities and challenges for organizations (Sainio, 2004). This situation originates from the fact that the anticipated recognition of these possibilities and threats allows a reaction on the part of the companies, through the reconfiguration of the business structures and the services or products offered (Sainio, 2004). These results are presented based on interpretations of the emphasis given to the terms technology, emerging, disruptive, businessmodel and service.
The association between technology and emerging (latecomer) economy firms is another important interpretation to be made in the third dimension, as it is shown in the tag cloud. According to the research developed by Wu et al. (2010), emerging-market firms, while at a disadvantage in technological capabilities and some other resources, can successfully introduce emerging technologies and innovations from more advanced economies through secondary innovations, into business models. In these circumstances, the authors highlight the case of Taobao, a Chinese organization, which took there the new consumer-to-consumer business model for the eCommerce of US-based eBay, adapting this type of business model for the characteristics of their market.
These results are in line with the sixth dimension, which points out this issue by highlighting the terms latecomer and economies. This way, the importance of innovative business models, even secondary ones, is verified in companies from emerging economies to obtain competitive advantages by articulating unique and attractive value propositions for their local consumers. It is also emphasized that this is possible by introducing not only new technologies coming from more advanced economies but also from innovation processes. The issue of innovation can be perceived in the sixth dimension by the prominence of the terms explorative and exploitative, which compose concepts related to organizational ambidexterity, linked to innovation.
Following the question of innovation, the fourth dimension (Figure 6) highlighted this variable, relating its potential for disruption when market-oriented (marketdriven) or technology-driven(technologydriven) with the disruption of business models.
This relationship reveals the findings of Habtay (2012), indicating that, in the short term, the potential for technology-driven innovation disruption is limited by several uncertainties related to the chosen technologies and the market; on the other hand, market disruptive innovations grow relatively rapidly and disrupt a significant part of the established market. However, this scenario changes significantly over the long term, revealing that if technology-driven disruptive innovation manages to reduce early uncertainties, it will likely have positive effects on its potential for disruption in the future; on the other hand, market-driven disruptive innovation will be moderated in the long term by the initial choice of the market, customers, necessary expertise and costs.
Another important dimension of our research is related to Christensen (Figure 7), one of the leading authors of research on DBM. Linking the seminal works by Christensen with the most evidenced words in the tag cloud, it is perceived that this dimension brings elements that show the influence of technologies and disruptive innovations on the business environment.
This is due to the fact that disruption does influence not only the business models of the companies that propose to be disruptive but also the competitors in their search to reach new markets, generating a great competitive advantage over the failure of the companies that until then were dominant (established, incumbent) in the market (Bower & Christensen, 1995; Christensen, 1997; Christensen & Raynor, 2003; Hwang & Christensen, 2008).
Finally, a considerable number of dimensions indicated examples of disruptive technologies and innovations (IoT, cloud computing, bluetooh) as well as organizations with business modelsthat benefit from new technologies and innovation (Uber, Amazon). Figure 8 compiles the different tag clouds formed from the seven dimensions analyzed herein.
It should be noted that disruptive technologies and innovations, in their essence, bring a very different value proposition to the market (Bower & Christensen, 1995; Christensen, 1997; Christensen & Raynor, 2003; Sainio, 2004; Yovanof & Hazapis, 2008), when compared to the other available options. This is due to the fact that, considering the result of the new products and services offered, some unique benefits from disruptive technologies and innovations such as greater simplicity, convenience, accessibility and lower cost significantly influence and sensitize consumers (Christensen, 1997; Christensen & Raynor, 2003; Hwang & Christensen, 2008; Pereira et al., 2015; Sainio, 2004).
These aspects differentiate new business models from traditional business models in terms of new ways of value proposition, market segment and revenue sources (Pacheco et al., 2016). These aspects can be confirmed by the emphasis given to the new business model launched by the company Uber in dimensions 16, 18 and 19. The Uber business quickly revolutionized the taxi industry by providing consumers with a differentiated transportation service, by the intensive use of technology in transport activities, something that had been stagnated until then. This search for new business models, through emerging technologies or the introduction of innovations in traditional industries of the market, has had an expressive expansion in different sectors; using the last example, it is recognized worldwide as Uberization.
To maintain the benefits related to the development and commercialization of disruptive products and services, new skills and business reorganizations are required from the new business models, mainly in strategic terms (Christensen, 1997; Christensen & Raynor, 2003; Sainio, 2004; Yovanof & Hazapis, 2008).
4.2 Value proposition to consumers
The second group of concepts analyzed was based on the second dimension extracted from the LSA. This second dimension concerns a feature strongly reported in the literature on DBM: the value proposition to consumers. This is because it is possible to identify in the research that DBM emerges to replace existing business models by redefining what an existing product or service is and how it is delivered to customers through new technologies and processes of innovation, as well as by aiming at a unique proposition of value to the market (Hwang & Christensen, 2008; Markides, 2006; Mitchell & Coles, 2004; Wu et al., 2010).
In this dimension, the terms networks and marketing are also highlighted. They emphasize the importance of marketing activities as a way to promote the creation and capture of value between new business models and customers, which constitute a dynamic business network (Simmons et al., 2013).
This dimension is complemented by the 11th dimension, which highlights the figure of the customer and its relevance to the structuring of new business models. This dimension clearly illustrates the great concern and attention of DBM with the selected market segment (Magretta, 2002), seeking new forms of value creation that sensitize consumers, rather than simply delivering a new product or service (Bashir et al., 2016). Figure 9 highlights the tag clouds formed from the 2nd and 11th dimensions.
Figure 9 also brings the tag cloud of the 17th dimension, which once again centralizes the consumer, as well as highlights the terms project and Uber. By making an association among these elements and complementing the analysis already carried out, it is possible to make an association between the development of the new organizational models and business projects with defined objectives, based on the delivery of value to a determined market segment, through the definition of a structure, resources and specific activities in order to achieve this goal (Magretta, 2002; Simmons et al., 2013; Bashir et al., 2016).
4.3 Maintenance of existing business models
Another group of concepts from the fifth dimension (Figure 10) was analyzed, which brought terms such as logic, model, intentions, dominant and threat. Aligned with these subjects, it is possible to associate the issue of maintaining the dominant logic of existing business models, even when new models emerge on the market, which represents direct and severe threats to the maintenance of traditional and stabilized models.
This is because these existing models tend to ignore new technologies and innovation potentials because they do not fit into the current business model (Chesbrough, 2010; Christensen, 1997; Gilbert, 2005). Consequently, the emergence of innovative business models causes radical changes in the market, disrupting leading and stabilized companies, making their existing business models obsolete (Gassmann et al., 2013; Johnson et al., 2008; Osiyevskyy & Dewald, 2015; Yovanof & Hazapis, 2008).
It is highlighted that DBM, combining technologies and innovation with the offer of products and services with unique value to the market, are important tools to gain competitive advantage(Bashir et al., 2016). Thus, it is fundamental for managers to assume an entrepreneurial behavior, with the purpose of analyzing the market as well as the business, seeking new ways of delivering value to the consumer, to seize the opportunities and evade the threats that come with new business models (Bashir et al., 2016; Chesbrough & Rosenbloom, 2002).
4.4 Pattern within disruptive business models
The last group of concepts analyzed herein relates with terms such as pattern, model, options, elements, business, firm and framework, present in the 10th dimension, which focuses on the matter of pattern within business models (Figure 11).
As highlighted in the analysis of the other dimensions, the emergence of new technologies and innovation processes provide opportunities and threats for business models (Amshoff et al., 2015; Sainio, 2004). This situation is due to the singular characteristics related to emerging technologies and innovations, which, through new business models and new forms of value creation, made it possible to offer products and services that sensitize consumers, exploring new markets.
Nevertheless, anticipating the necessary ways of doing business within this context is a challenge for managers (Amshoff et al., 2015). Hence, establishing business model patterns can be a way to address this challenge through the knowledge of the elements related to DBM, which can reveal valuable information about how to do the desired business (Amshoff et al., 2015).
4.5 Consolidation of concepts on disruptive business models
It is verified that the results found herein represent many of the aspects already described in theory. However, such findings, highlighted by LSA, bring new perspectives to the analysis of DBM, still little discussed in the literature and which reveals important considerations to be made on this subject. These concepts were consolidated, as systematized in Table I, into a set of characteristics that conceptualize and qualify DBM.
Analyzing Table I, it is possible to see the breadth of the concept of DBM, which encompasses aspects related to the influence of disruptive technologies and innovation on the organization’s existing business models. This is because DBM focuses on replacing business models, either by reconfiguring existing models or by creating new ones, when disruptive technologies and innovation are not adequately leveraged in current models, requiring new forms of organization of business. Thus, the delivery of unique value to consumers, the opening of new markets, the obsolescence of existing business models and the competitive advantage, by offering products and services with greater simplicity, convenience, accessibility and lower costs, are important aspects observed in DBM.
Figure 12 illustrates the characteristics of DBM presented in Table I. This figure consolidates the concepts that are similar, revealing the main features of a DBM.
5. Final considerations
This article aims to consolidate the concepts presented on DBM in the literature, elaborating a set of characteristics that conceptualize and qualify a DBM. This is because, despite the existence of research and understanding about DBM, such findings do not accurately reveal the conceptual limit of this subject, which is imprecise in the literature (Foss & Saebi, 2017; Wu et al., 2010). Therefore, the literature on this subject was analyzed using the LSA technique, complemented by content analysis, to obtain a more precise qualification and conceptualization regarding DBM.
Although it is possible to verify a growth in the number of researches that deal with the innovation process in the business models, it is still necessary to further theorize and conceptualize this theme (Foss & Saebi, 2017). Therefore, this article contributes to the theory by conducting an in-depth analysis of the literature on DBM using the LSA technique, raising and consolidating concepts presented on DBM in the literature. From this, it was possible to present a set of characteristics about DBM, as presented in Table I.
Also, the presentation of this set of characteristics aims to help managers understand this theme and later translate these understandings into their business with greater confidence. The arguments presented in Table I and illustrated in Figure 12 contribute to the practice as these concepts and characteristics can be used as a validation tool to identify if a business is a DBM. Besides, considering the explanation of each concept and characteristic, managers of different sectors can identify opportunities to reach the disruptive characteristics of their businesses or change what is necessary to achieve this position.
It should be noted, about the technique used, a limitation on the choice of the number of singular values. This limitation is a problem still discussed in the literature (Visinescu & Evangelopoulos, 2014); for this reason, we tried to work not just with the cost-benefit ratio given the addition of each new dimension in the analysis, as well as a criterion of saturation of the terms presented. Thus, the fast decline of the singular values is in agreement with the studies suggested by Wild et al. (2005). For future research, it is suggested the application of this set of characteristics in empirical research, to verify such theoretical findings in the field and to add empirical aspects to this set of DBM characteristics.












| Data-driven categories | Characteristics of DBM |
| Disruptive technologies and innovation | DBM represents a link between business models and breakthroughs in technology and innovation (Christensen & Raynor, 2003) |
| Disruptive technologies and innovations are best seized when combined with the innovation of business models (Chesbrough & Rosenbloom, 2002; Christensen & Raynor, 2003; Johnson et al., 2008) | |
| The exploration of a new technology or an innovation process requires an evaluation and a re-adaptation of the business models and the products or services offered (Chesbrough & Rosenbloom, 2002) | |
| Conflict between established business models and the new models required for disruptive technology or innovation (Christensen & Raynor, 2003) | |
| New technologies influence business models while creating opportunities and challenges for organizations (Bashir et al., 2016; Sainio, 2004) | |
| Emerging economies can introduce emerging technologies and innovations originated from more advanced economies through secondary innovations into business models (Wu et al., 2010) | |
| The disruption of disruptive innovations in business models varies, in the short and long term, when technology-driven or market-driven (Habtay, 2012) | |
| The exploration of emerging technologies and innovations within DBM provides the offering of products and services that reach new markets, making it possible to obtain competitive advantage and bring the failure of the companies (Bower & Christensen, 1995; Christensen, 1997; Christensen & Raynor, 2003; Hwang & Christensen, 2008) | |
| Disruptive technologies and innovations bring a very different value proposition to the market and deliver products and services with greater simplicity, convenience, affordability and lower costs (Bower & Christensen, 1995; Christensen, 1997; Christensen & Raynor, 2003; Hwang & Christensen, 2008; Pereira et al., 2015; Sainio, 2004; Yovanof & Hazapis, 2008) | |
| Value proposition to costumers | DBM arises to replace existing business models, redefining what an existing product or service is and how it is delivered to customers, through new technologies and innovation processes (Hwang & Christensen, 2008; Markides, 2006; Mitchell & Coles, 2004; Wu et al., 2010) |
| Great concern and attention of DBM with the selected market segment, seeking new forms of value creation that sensitize consumers (Magretta, 2002; Bashir et al., 2016) | |
| The formation of the new organizational models can be associated with business projects with defined objectives, based on the delivery of value to a specific market segment, through the definition of a structure, resources and specific activities (Bashir et al., 2016; Magretta, 2002; Simmons et al., 2013) | |
| Maintenance of existing business models | New business models in the market pose direct and severe threats to the maintenance of traditional and stabilized models (Chesbrough, 2010; Christensen, 1997; Gilbert, 2005) |
| DBM bring about radical changes in the market, disrupting leading and stabilized companies, making their existing business models obsolete (Gassmann et al., 2013; Johnson et al., 2008; Osiyevskyy & Dewald, 2015; Yovanof & Hazapis, 2008) | |
| It is fundamental for managers to have an entrepreneurial behavior, with the purpose of analyzing the market as well as the business, seeking new ways of delivering value to consumers, to seize the opportunities and escape the threats that come with new business models (Bashir et al., 2016; Chesbrough & Rosenbloom, 2002) | |
| Pattern within DBM | Patterns of business models can be used to interpret the environment and anticipate how to perform the intended business through the knowledge of the elements related to DBM (Amshoff et al., 2015) |
Acknowledgements
We are grateful to CAPES and CNPq for the scholarships and financial support for this article.
References
Amshoff, B., Dülme, C., Echterfeld, J., & Gausemeier, J. (2015). Business model patterns for disruptive technologies. International Journal of Innovation Management, 19, 1-22.
Ashton, T., Evangelopoulos, N., & Prybutok, V. (2014). Extending monitoring methods to textual data: A research agenda. Quality and Quantity, 48, 2277-2294.
Bashir, M., Yousaf, A., & Verma, R. (2016). Disruptive business model innovation: How a tech firm is changing the traditional taxi service industry. Indian Journal of Marketing, 46, 49-59.
Becker, J. L. (2016). Capítulo 2: Ferramentas matemáticas: matrizes, vetores e escalares. In J. L.Becker (Eds.), Notas De Aula (pp. 9-94). Rio Grande do Sul, Brazil: Universidade Federal do Rio Grande do Sul, Porto Alegre.
Bower, J. L., & Christensen, C. M. (1995). Disruptive technologies: Catching the wave. Harvard Business Review, 73, 43-53.
Chesbrough, H. (2010). Business model innovation: Opportunities and barriers. Long Range Planning, 43, 354-363.
Chesbrough, H., & Rosenbloom, R. S. (2002). The role of the business model in capturing value from innovation: Evidence from Xerox Corporation’s technology spin-off companies. Industrial and Corporate Change, 11, 529-555.
Christensen, C. M. (1997). The innovator’s dilemma: When new technologies cause great firms to fail, Boston, MA: Harvard Business School Press.
Christensen, C. M., & Raynor, M. (2003). The innovator’s solution: Creating and sustaining successful growth, Boston, MA: Harvard Business School Press.
Crain, S. P., Zhou, K., Yang, S., & Zha, H. (2012). Dimensionality reduction and topic modeling. In C. C. Aggarwal, & C. X. Zhai (Eds.), Mining text data (pp. 129-156). Berlin, Germany: Springer.
Damais, S., & Nielsen, J. (1992). Automating the assignment of submitted manuscripts to reviewers. Proceedings of the Annual International ACM/SIGIR Conference on Research and Development in Information Retrieval, Copenhagen, Zealand, Denmark, p. 15.
Deerwester, S., Dumais, S. T., Furnas, G. W., Landauer, T. K., & Harshman, R. (1990). Indexing by latent semantic analysis. Journal of the American Society for Information Science, 41, 391-407.
Evangelopoulos, N. (2011). Citing Taylor: Tracing Taylorism’s technical and sociotechnical duality through Latent Semantic Analysis. Journal of Business and Management, 17, 57-74.
Foss, N. J., & Saebi, T. (2017). Fifteen years of research on business model innovation: How far have we come, and where should we go? Journal of Management, 43, 200-227.
Freitas, H., Martens, C. D. P., Boissin, J. P., & Behr, A. (2012). Elementos Para guiar ações visando à orientação empreendedora em organizações de software. Revista de Administração, 47, 163-179.
Gassmann, O., Frankenberger, K., & Csik, M. (2013). The St. Gallen business model navigator. Working Paper, Institute of Technology Management, University of St. Gallen, Switzerland.
Gilbert, C. (2005). Unbundling the structure of inertia: Resource versus routine rigidity. Academy of Management Journal, 48, 741-763.
Habtay, S. R. (2012). A firm-level analysis on the relative difference between technology-driven and market-driven disruptive business model innovations. Creativity and Innovation Management, 21, 290-303.
Hwang, J., & Christensen, C. M. (2008). Disruptive innovation in health care delivery: A framework for business-model innovation. Health Affairs, 27, 1329-1335.
Johnson, M. W., Christensen, C. M., & Kagermann, H. (2008). Reinventing your business model. Harvard Business Review, 86, 50-59.
Khanagha, S., Volberda, H., & Oshri, I. (2014). Business model renewal and ambidexterity: Structural alteration and strategy formation process during transition to a cloud business model. R&D Management, 44, 322-340.
Kulkarni, S. S., Apte, U. M., & Evangelopoulos, N. E. (2014). The use of latent semantic analysis in operations management research. Decision Science, 45, 971-994.
Landauer, T. K., & Dumais, S. T. (1997). A solution to Plato’s problem: The latent semantic analysis theory of acquisition, induction, and representation of knowledge. Psychological Review, 104, 211-240.
McNamara, D., Kintsch, W., Dennis, S., & Landauer, T. (2011). Preface. In T. K. Landauer, D. S.McNamara, S. Dennis, & W. Kintsch (Eds), Handbook of latent semantic analysis (pp. 135-169). New York, NY: Routledge.
Magretta, J. (2002). Why business models matter. Harvard Business Review, 80, 86-92.
Marcolin, C. B., & Becker, J. L. (2016). Exploring latent semantic analysis in a big data(base).Proceedings of the Americas Conference on Information Systems, San Diego, CA, p. 22.
Markides, C. (2006). Disruptive innovation: In need of better theory. Journal of Product Innovation Management, 23, 19-25.
Martin, D. I., & Berry, M. W. (2011). Mathematical foundation behind latent semantic analysis. In T. K. Landauer, D. S. McNamara, S. Dennis, & W. Kintsch (Eds.), Handbook of Latent Semantic Analysis (pp. 135-169). New York, NY: Routledge.
Mitchell, D. W., & Coles, C. B. (2004). Business model innovation breakthrough moves. Journal of Business Strategy, 25, 16-26.
Moore, G. (2004). Darwin and the demon: Innovating within established enterprises. Harvard Business Review, 82, 86-92.
Osiyevskyy, O., & Dewald, J. (2015). Explorative versus exploitative business model change: The cognitive antecedents of firm-level responses to disruptive innovation. Strategic Entrepreneurship Journal, 9, 58-78.
Pacheco, F. B., Klein, A. Z., & Righi, R. R. (2016). Modelos de negócio Para produtos e serviços baseados em internet das coisas: Uma revisão da literatura e oportunidades de pesquisas futuras. Revista de Gestão, 23, 41-51.
Pereira, S. A., Imbrizi, F. G., Freitas, A. D. G., & Alvarenga, M. A. (2015). Business model as an inducer of disruptive innovations: The case of Gol Airlines. International Journal of Innovation, 3, 28-42.
Rodrigues, L. C., Silveira, A., Kono, C. M., & Lenzi, F. C. (2013). Inovação e modelo de negócio: Um estudo de caso no setor vitivinicultor. Revista Ibero-Americana de Estratégia, 12, 250-273.
Sainio, L. M. (2004). A framework for analysing the effects of new, potentially disruptive technology on a business model case – Bluetooth. International Journal of Electronic Business, 2, 255-273.
Santos, J., Spector, B., & Van der Heyden, L. (2009). Toward a theory of business model innovation within incumbent firms. Working Paper, INSEAD, Fontainebleau, France.
Simmons, G., Palmer, M., & Truong, Y. (2013). Inscribing value on business model innovations: insights from industrial projects commercializing disruptive digital innovations. Industrial Marketing Management, 42, 744-754.
Visinescu, L. L., & Evangelopoulos, N. (2014). Orthogonal rotations in latent semantic analysis: An empirical study. Decision Support Systems, 62, 131-143.
Wild, F., Stahl, C., Stermsek, G., Neumann, G., & Penya, Y. (2005). Parameters driving effectiveness of automated essay scoring with LSA. Proceedings of the 9th CAA Conference, University of Loughborough, Loughborough.
Wu, X., Ma, R., & Shi, Y. (2010). How do latecomer firms capture value from disruptive technologies? A secondary business-model innovation perspective. IEEE Transactions on Engineering Management, 57, 51-62.
Yovanof, G. S., & Hazapis, G. N. (2008). Disruptive technologies, services, or business models?. Wireless Personal Communications, 45, 569-583.
Yu, C. H., Jannasch-Pennell, A., & Digangi, S. (2011). Compatibility between text mining and qualitative research in the perspectives of grounded theory, content analysis, and reliability. The Qualitative Report, 16, 730-744.
Zelikowitz, S., & Hirsh, H. (2001). Using LSI for text classification in the presence of background text. Proceedings of the International Conference on Information and Knowledge Management, Atlanta, GA, p. 10.