Marketing
Information overload, choice deferral, and moderating role of need for cognition: Empirical evidence
Sobrecarga de informação, adiamento de escolha e a função moderadora de need for cognition: evidência empírica
La sobrecarga de información, el aplazamiento de elegir y el papel moderador de la necesidad de la cognición: la evidencia empírica
Information overload, choice deferral, and moderating role of need for cognition: Empirical evidence
RAUSP Management Journal, vol. 51, núm. 1, pp. 36-55, 2016
Universidade de São Paulo

Recepción: 14 Marzo 2014
Aprobación: 29 Septiembre 2015
Abstract: Choice deferral due to information overload is an undesirable result of competitive environments. The neoclassical maximization models predict that choice avoidance will not increase as more information is offered to consumers. The theories developed in the consumer behavior field predict that some properties of the environment may lead to behavioral effects and an increase in choice avoidance due to information overload. Based on stimuli generated experimentally and tested among 1,000 consumers, this empirical research provides evidence for the presence of behavioral effects due to information overload and reveals the different effects of increasing the number of options or the number of attributes. This study also finds that the need for cognition moderates these behavioral effects, and it proposes psychological processes that may trigger the effects observed.
Keywords: behavioral effects, choice deferral, information overload, need for cognition.
Resumo: Aumento da propensão a evitar a escolha em função da sobrecarga de informações é um tema sujeito a debate intenso. Os modelos de maximização neoclássica prevêem que a propensão a evitar escolha não aumente com a oferta de mais informação ao consumidores. Diferentemente, os modelos com origem na psicologia cognitiva predizem que as características do ambiente de decisão podem provocar efeitos comportamentais que aumentem a propensão a não escolher, em função da sobrecarga de informação. A partir de estímulos gerados experimentalmente, esta pesquisa empírica torna evidente a presença de efeitos comportamentais provocados pela sobrecarga de informação, revela diferenças no efeitos provocados pela variação no número de opções em comparação ao número de atributos e demonstra que a característica de personalidade need for cognition modera tais efeitos comportamentais.
Palavras-chave: efeitos comportamentais, adiamento de escolha, sobre - carga de informações, need for cognition.
Resumen: Aplazamiento de elección debido a la sobrecarga de información es un resultado indeseable de entornos competitivos. Los modelos de maximización neoclásicos predicen que la evitación de elección no va a aumentar a medida que más información se ofrece a los consumidores. Las teorías desarrolladas en el campo del comportamiento del consumidor predicen que algunas propiedades del medio ambiente pueden provocar efectos en el comportamiento y un aumento de la evitación de elección debido a la sobrecarga de información. Basado en los estímulos generados experimentalmente y probado entre 1.000 consumidores, esta investigación empírica proporciona evidencia de la presencia de efectos de comportamiento debido a la sobrecarga de información y revela los diferentes efectos de aumentar el número de opciones o el número de atributos. Este estudio encuentra también que need for cognition modera estos efectos en el comportamiento, y propone procesos psicológicos que pueden desencadenar los efectos observados.
Palabras clave: efectos de comportamiento, aplazamiento de elegir, sobrecarga de información, need for cognition.
1. INTRODUCTION
The consumers' judgment and decision-making process is an extensively studied theme in several disciplines of social sciences. There are two relevant approaches to the field. First, the normative theories developed in economics set the bases for consumer rationality, represented in axioms describing a process of subjective utility maximization, which implies consumers' decision making supported by stable and well-defined preferences (Fishburn, 1968;Von Neumann & Morgenstern, 1947){Von Neumann, 1947, The theory of games and economic behavior;Fishburn, 1968, Utility theory}. Second, the descriptive theories from cognitive psychology and consumer behavior challenge the normative models assuming that the human brain faces cognitive limits, preventing the development, storage, and recovery of complete and stable preferences. This means that such preferences are made during the decision-making process, emphasizing contextual elements in the formation of preferences (Bettman, Luce, & Payne, 1998; Payne, 1982; Simon, 1955, 1990).
The number of variables involved in decision making is one of the features of the environment that impacts the final choice (Einhorn, 1970). Information overload is defined as the available amount that makes the information confusing and dysfunctional, given the time restriction involved in decision-making processes (Jacoby, 1977;Jacoby, Speller, & Berning, 1974;Jacoby, Speller, & Kohn, 1974).
The debate about this issue is intense, with claims supporting or challenging the increase in the information amount available in the decision environment. The opportunities to study the relationship between information load and choice are still open. Normative and empirical evidence is present in studies favoring the increase in the availability of information and choice in the decision environment (Anderson, 2003; Berger, Draganska, & Simonson, 2007; Bown, Read, & Summers, 2003; Hutchinson, 2005; Malhotra, Jain, & Lagakos, 1982; Oppewal & Koelemeijer, 2005), as well as in those arguing about the dysfunctionality of information overload (Botti & Iyengar, 2006; Fasolo, Hertwig, Huber, & Ludwig, 2009; Iyengar & Lepper, 2000; Jacoby, Speller, & Kohn, 1974; Schwartz, 2004; Zeelenberg, 1999). The divergences in the body of empirical evidence related to the theme can also be explained by conceptual and operational definitions used by researchers for the necessary elements that map the phenomena, such as the (a) antecedents of information overload, specifically how to define the information amount in the decision environment; (b) consequences of information overload; (c) preconditions or situational variables that must be present to trigger the effects of information overload; and (d) underlying processes that would connect the amount of information to its dysfunctional consequences.
Information load is defined as brands or options, information dimensions or attributes, and the value of each information dimension or attribute (Jacoby, 1977). The following operational definitions of the information amount are present in empirical studies: (a) number of options and number of attributes (Jacoby, Speller, & Berning, 1974; Jacoby, Speller, & Kohn, 1974; Malhotra, 1982; Malhotra et al., 1982; Russo, 1974; Wilkie, 1974), (b) number of attributes (Hahn, Lawson, & Lee, 1992; Keller & Staelin, 1987; Russo, 1974;Scammon, 1977), and (c) number of options, which is the most frequent definition ((Berger et al., 2007; Gourville & Soman, 2005; Haynes, 2009; Mogilner, Rudnick, & Iyengar, 2008; Scheibehenne, Greifeneder, & Todd, 2009; Sela, Berger, & Liu, 2009).
Information load has many consequences, varying in its nature and operational definition. A possible categorization of these effects is to classify them in terms of manifested and observable behaviors, as well as psychological states, which are subjective mental dispositions and nonobservable.
The following behavioral consequences have been used to define the effects of information overload: (a) choice quality that may be assessed by subjective (Hahn et al., 1992; Jacoby, Speller, & Berning, 1974; Jacoby, Speller, & Kohn, 1974; Keller & Staelin, 1987; Malhotra, 1982; Malhotra et al., 1982; Russo, 1974; Wilkie, 1974) or objective criteria (Lurie, 2004; Malhotra et al., 1982; Scammon, 1977) and (b) choice avoidance that may be expressed (Scheibehenne et al., 2009)either as the preference for the status quo (Chernev, 2003;Dhar, Nowlis, & Sherman, 1999; Iyengar & Lepper, 2000; List, 2004)(Dhar et al., 1999; Iyengar and Lepper, 2000; Chernev, 2003; List, 2004; Scheibehenne et al., 2009) or choice deferral (Dhar, 1997a, 1997b; Dhar & Nowlis, 1999; Shah & Wolford, 2007).
The violations of the consumers' rationality perspective might be moderated by the presence of situational or individual variables setting the conditions for the occurrence of the information overload phenomena, such as the lack of familiarity or prior preferences (Chernev, 2003; Iyengar & Lepper, 2000; Mogilner et al., 2008), options arrangement (Broniarczyk, Hoyer, & McAlister, 1998; Mogilner et al., 2008), time pressure (Dhar & Nowlis, 1999; Hahn et al., 1992; Haynes, 2009), personality traits (Dar-Nimrod, Rawn, Lehman, & Schwartz, 2009; Malhotra, 1982), and the order of options evaluation (Li & Epley, 2009).
Finally, mediational elements have been examined, and past studies have explained information overload as the by-product of (a) psychological processes as the necessity to justify choices (Sela et al., 2009), regret anticipation, variety seeking, and variety perception and (b) the information structure or properties such as the quality of available information (Keller & Staelin, 1987), attribute consistency (Berger et al., 2007), attribute alignability (Gourville & Soman, 2005), and the distribution of attribute levels across dimensions (Lurie, 2004).
This article focuses on one of the behavioral consequences of information overload, which is choice deferral or the individual tendency to postpone a decision, expressed as the individual preference for not choosing any option in a specific task decision. Given that the option of not choosing is an actual option in many real decision occasions (Dhar, 1997a), this behavior can be performed either to allow for the consideration of additional information sources or to evaluate more options that will eventually be offered (Dhar, 1997b). The occurrence of choice deferral has been related to the valence of the unique and shared attributes (Dhar & Sherman, 1996), time pressure (Dhar & Nowlis, 1999; Dhar & Sherman, 1996), the perceived similarity of the options and choice difficulty (Kim, Novemsky, & Dhar, 2013), preference uncertainty (Dhar, 1997a) and the options comparison mode (Dhar et al., 1999; Dhar & Sherman, 1996). The present study on choice deferral follows an experimental design, which controls the information load effects of the number of options and the number of attributes. Since the beginning of the information overload controversy, most of the studies have examined the role of the number of options or the number of attributes. On the other hand, this empirical research explores the independent role of each of these variables, as well its interaction pattern.
Furthermore, the evidence for information overload is searched in the domain of high relevance, with opportunities for preference formation, conditions that are expected to prevent the occurrence of the phenomena. Other elements that may set the border conditions for information overload are a personality trait (the need for cognition [NFC]) that may act as a moderator effect, and an information structure (entropy) that may act as a mediator between the information amount and choice deferral.
The current design addresses several challenges faced by the study on information overload (Broniarczyk, 2008). First, three levels for the number of options and three levels for the number of attributes were manipulated, allowing for the estimation of linear and nonlinear effects. Second, the manipulation of the number of attributes allows for the isolation of the effects of the number of options. Third, the design of the stimuli allows for the estimation of the effects of the number of options after accounting for the information structure. Additionally, it allows for the understanding of the effect of repeated consumer decisions as a border condition for the occurrence of choice deferral (Dhar & Sherman, 1996).
After this introduction, this article is divided into three sections: (a) the literature review, presenting the arguments either favoring or challenging more information in the decision environment, and the main findings relating information overload to choice deferral; (b) the methods and results of the empirical research conducted in two phases, first, selecting a product category and second, studying the phenomena; and (c) the discussion about the results' implications and opportunities for future studies.
2. LITERATURE REVIEW
A decision is an adaptive behavior expected to change the individual state in response to environmental cues and can be considered a process that produces the outcome. In this sense, the decision making is a sequence of cognitive and behavioral events that produces a selective outcome (Jacoby, Chestnut, & Fisher, 1978). The outcome results from a choice among actions or options, represented as sets of alternatives composed of attributes or consequences and involving contingencies or conditional probabilities that connect the consequences to the actions or options (Bettman et al., 1998; Tversky & Kahneman, 1981). The decision set may possibly fluctuate in size, increasing the decision complexity as the number of options or attributes becomes larger. Attributes can vary in their potential consequences, in the level of evoked desire, and in individuals' willingness to tradeoff one attribute for any other. Moreover, the existing information may be dissimilar in option or in attribute, or different options may imply the awareness about different attributes (Bettman et al., 1998; Tversky & Kahneman, 1981).
2.1. Arguments supporting more information in choice environment
The natural human tendency toward activity and integration is supported by the intrinsic motivation development, which is facilitated in social environments that foster autonomy and competence, as can be the case when someone is making uncontrolled choices among valued options (Moller, Deci, & Ryan, 2006; Ryan & Deci, 2000). The knowledge and ability to choose among options are border conditions defining behavioral freedom; when the perceived freedom is threatened, individuals tend to react to restore it (Brehm & Brehm, 2013). In summary, the idea of freedom of choice is closely related to self-determination and well-being, and individuals are prone to favor decision sequences that permit the identification of additional consecutive choices, even when the decision structures lead to equivalent outcomes (Bown et al., 2003).
The body of empirical evidence supports several arguments. Consumers perceive more variety, quality, and expertise from brands offering larger consistent assortments, and these brands tend to be rewarded with larger choice shares (Berger et al., 2007). Consumers evaluate larger assortments more positively (Oppewal & Koelemeijer, 2005), which help strengthen preferences among individuals, with ideal structures available (Chernev, 2003). Choices in the context of a larger number of options are more enjoyable (Haynes, 2009; Iyengar & Lepper, 2000). Satisfaction after product consumption is higher among consumers who had the opportunity to choose the product than among those who could not do so (Iyengar & Lepper, 2000).
According to the normative approaches, either driven by the consumer search for variety or by the heterogeneity in consumer preferences, product variety will increase as markets expand, with boundaries set by market structure characteristics rather than by consumer limits (Lancaster, 1990).
Consistent with the independence axiom (Von Neumann & Morgenstern, 1947) and considering choice avoidance as a current option in any decision task, from the rational choice model's viewpoint, the no-choice option either delimits a utility threshold in terms of being exceeded by any other option intended to be chosen or carries the value of expecting more information in the future. Moreover, even considering a limit in brainpower, it is possible to derive from the principles of human rationality that additional information will be processed up to the point that the marginal cost of its acquisition reaches the marginal incentive of processing more information (Stigler, 1961). The truncation of information processing at this point may prevent the choice deferral from being reduced when a new option is added to the choice set. It means that the probability of the no-choice option having the highest utility in a choice task should decline or stay constant as new options are added to the decision environment (Rieskamp, Busemeyer, & Mellers, 2006).
Therefore, because of the expected utility theory, the addition of a new option in a decision set could merely increase the probability of a match between one of the presented alternatives and the consumer's preference, reducing the likelihood of a no-choice result.
Two general hypotheses to be tested in the present study are derived from the rational choice model, as follows:
P.1. Under the neoclassical maximization model, choice deferral is reduced or stays constant as more options are added to the choice environment.
P.2. Under the neoclassical maximization model, choice deferral is reduced or stays constant as more attributes are used to describe the existing options.
2.2. Arguments supporting the existence of information overload
An alternative account of human judgment and decision making implies that in response to the restricted working memory and to the limitations in both the human brainpower and the speed of information processing, most activities are performed through approximation methods. Such methods cause behavior to be shaped from the interaction between the human brain and the environmental features in order to produce a satisfactory solution from tolerable processing efforts (Simon, 1990).
The idea of bounded rationality leads to the formation of preference structures in the course of judgment and decision making, contingent to the context due either to cognitive restrictions or to the existence of multiple objectives (Bettman et al., 1998; Payne, 1982). A contextual setting that shapes behavior includes (a) the object or stimulus to be evaluated, (b) any situational variables defining the place and time of observation that describe neither consumer nor stimulus characteristics, and (c) enduring (over place and time) individual attributes such as personality, gender, and others (Belk, 1975). In summary, bounded rationality inhibits behaviors seeking maximization and leads the individual to engage in different strategies, depending on the context. Such strategies are defined according to four main features (Bettman et al., 1998; Payne, 1982) as follows: (a) Information may be processed extensively or reduced to support simplification in decision making. (b) Information processing may be consistent or selective per option or attribute. (c) Information may be processed by means of either options or attributes. (d) A strategy can be compensatory, involving explicit tradeoffs among attributes, or noncompensatory, when one negative value in one attribute is enough to eliminate the option from the consideration set. Therefore, changes in environmental properties, including an increase in the information amount, may interact with individual characteristics and contradict the predictions derived from the neoclassical maximization model.
Information amount. The information in any choice set that is available to consumers can vary in terms of the number of options, number of attributes describing each option, and number of values or levels that can represent each attribute (Jacoby, 1977). Early studies manipulated the information amount as the number of options and the number of attributes and the multiplication of both as representing the total amount of information (Jacoby, Speller, & Berning, 1974; Jacoby, Speller, & Kohn, 1974), concluding that increases in the information amount jeopardized the choice quality. This original study was followed by those of critics (Malhotra, 1982; Malhotra et al., 1982; Russo, 1974; Wilkie, 1974) that shaped future studies, postulating that (a) the number of options and the number of attributes are not psychologically equivalent since the effects of varying one or the other are not the same; thus, a multiplicative approach to define the total information amount is invalid, and (b) the a priori probability of choosing the best option is reduced as the number of options increases, resulting in the impossibility of comparing the choices' quality as a function of the varying number of attributes across conditions with different numbers of options.
Malhotra (1982) developed a solution to model the effects of the varying number of attributes, controlling for the variations in the number of options. Malhotra concluded that the choice precision would fall when the number of options was increased from 5 to 10 or when the number of attributes was varied from 10 to 15, and it would become stable after these thresholds.
After this initial controversy, the following studies manipulated the number of options, the number of attributes, or some combination of the number of options with the qualitative characteristics of the product attributes. The studies found psychological or behavioral effects resulting from such manipulations.
Psychological effects of information overload. Several mental states had been associated with information overload, and some of the results are still ambiguous. While Jacoby, Speller, & Kohn (1974) reported an increase in satisfaction after the choice as the number of options was increased, other studies indicated reduced satisfaction under similar circumstances, either after the choice (Haynes, 2009; Malhotra, 1982) or after having consumed the chosen option (Iyengar & Lepper, 2000). There was also evidence that as the number of options became larger, satisfaction was reduced among maximizers but not among satisfiers, revealing the role of a personality trait related to information overload (Dar-Nimrod et al., 2009). The decrease in post-choice satisfaction had also been related to increases in the number of attributes (Scammon, 1977) and in the decisions among options differentiated by negative attributes and that shared positive attributes (Dhar et al., 1999).
The certainty felt by consumers about having made the best decision was positively related to the number of attributes (Jacoby, Speller, & Kohn, 1974), the quality of the relative importance of the attributes available in the choice set (Keller & Staelin, 1987), and the increase in the relative attractiveness of the options (Malhotra, 1982). However, it was also negatively related to the number of attributes (Scammon, 1977) and conditionally related to the availability of an ideal point, with the consumers having previous preferences being more confident when choosing from larger choice sets and those without previous preferences being more certain when choosing from smaller sets. Furthermore, this effect disappeared in the second choice task (Chernev, 2003).
The feeling about the choice difficulty was related to the increase in the number of options in the choice task (Berger et al., 2007; Haynes, 2009; Scheibehenne et al., 2009; Sela et al., 2009). Beyond this general tendency, for the consumers without previous preferences formed, their perceived choice in large assortments was more difficult than those with the ideal point already available, with a reversed pattern observed in smaller assortments (Chernev, 2003). Furthermore, the choice became more difficult when the similarity was reduced during the judgment of attributes (Kim et al., 2013).
Finally, an important psychological state related to decision making was post-choice regret, which resulted from the imagination of a better state of well-being if a different decision had been made in favor of any of the rejected available options. Regret was positively related to the number of options (Sagi & Friedland, 2007), the increase in the number of options when it implied a tradeoff between nonalignable attributes (Gourville & Soman, 2005), and the dissimilarity between the chosen and refused options (Sagi & Friedland, 2007; Zeelenberg, 1999).
Moreover, the deployment of compensatory strategies, comprising the comparison of attributes among options, increases the perception of choice difficulty (Dhar, 1997b).
Behavioral consequences of information overload. Choice accuracy is the most evident criterion to assess consumer decision making, assuming a normative process that establishes the maximization of the expected utility as the final goal of the choices and the increase in the information amount as a way to increase the probability that a consumer will achieve such an objective. The most common approach considers a subjective process of maximization that involves the previous elicitation of a consumer's preference and the comparison of the expected choice (predicted from this self-explained preference) with the observed choice.
The reduction in subjective choice accuracy had been related to the increases in the number of options (Hahn et al., 1992;Jacoby, Speller, & Berning, 1974;Jacoby, Speller, & Kohn, 1974;Malhotra, 1982). A nonlinear relationship (inverted U) between the number of options and choice accuracy was also reported, as well as time pressure as the condition for the occurrence of information overload (Hahn et al., 1992). Several studies indicated instances of a positive relationship between choice accuracy and the number of attributes (Jacoby, Speller, & Berning, 1974; Malhotra, 1982; Malhotra et al., 1982; Wilkie, 1974).
A different approach for assessing choice accuracy is to define the best decision from the options' objective characteristics or external evaluation and to compare consumer choices related to this norm. Studies using these criteria are not conclusive; for example, Lurie (2004) reported that accuracy decreased as the number of options or the number of attributes increased or as the distribution of attribute levels became homogeneous. However, Scammon (1977) and Malhotra et al. (1982) found that priming the attribute information increased choice accuracy compared to not doing so, but adding more attributes had no effect.
Choice avoidance. Most studies about information overload focused on how consumers chose among alternatives, setting aside the fact that most decisions in real contexts would involve the alternative of not choosing (Dhar, 1997b; Dhar & Simonson, 2003; Parker & Schrift, 2011). More importantly, the inclusion of a no-choice option produced systematic effects on the selection, reducing the relative share of an option with an average performance on all attributes compared with the option that performed well in some attributes and poorly in others; it weakened the compromise effect and strengthened the attraction effect (Dhar & Simonson, 2003). Furthermore, the presence of a no-choice option led to a more attribute-based information processing, storage, and retrieval. It invoked more evaluative judgments and increased the importance of attributes that performed close to consumer thresholds (Parker & Schrift, 2011).
Consequently, the inclusion of the no-choice option increased the ecological validity of decision-making studies, and the systematic effects of information overload on choice avoidance became an important stream in this field. Such effects had been tested in two variants: (a) the endowment effect or the preference for maintaining the status quo and (b) choice deferral or the preference for postponing a decision.
Endowment effect is a general individual tendency to prefer the status quo or the default option. List (2004) argued that individuals given an initial dotation tended to reveal preferences biased toward this initial dotation in terms of one of two possible options, after engaging in trade activities that might alter the balance between the options. This pattern was valid for individual decisions in the private sphere, as well as for collective choices about public goods. In the same vein, consumers tended to choose a larger number of product features when starting the decision-making process from a complete model than when choosing from a base model (Biswas & Grau, 2008).
The preference for the status quo was positively related to the number of options in the choice set (Iyengar & Lepper, 2000). It indicated strength when the default was a choice from a previous decision involving positive unique attributes and negative shared attributes (Dhar & Sherman, 1996) or either in the context of similarity judgments among options with unique positive attributes or dissimilarity judgments among options with unique negative characteristics (Dhar et al., 1999).
Choice deferral is the preference for the no-choice alternative, allowing consumers to search for additional information or evaluate different options to be offered. This alternative had been related to the number of options in the choice set. In an experimental setting, arranged in a real supermarket, smaller and larger assortment sizes of jams and luxury chocolates were presented for consumers to sample products. Smaller assortments drew more consumers to stop for trial one of the options (Iyengar & Lepper, 2000).
Shah & Wolford (2007) asked subjects to evaluate sets of pens, with set sizes ranging from 2 to 20 pens. After their evaluation, the subjects were given the choice of whether or not to purchase one of the pens at a discounted price. The choice deferral had a curvilinear (inverted U) relation with the number of pens in the set, decreasing in up to 10 options and increasing after this optimal point.
Based on the nature of the effects elicited in the previous literature, we have developed propositions about the relationships among the number of options, number of attributes, and their interactions. Derived from the nonlinear effects between the number of options in the choice task and subjective choice accuracy (Hahn et al., 1992), and the number of options and choice deferral (Shah & Wolford, 2007), we present a proposition that refutes the optimization model:
Choice deferral will first decrease when the number of options varies from small to medium, and it will increase when the number of options varies from medium to large.
P.3. From the few studies manipulating the number of attributes (Keller & Staelin, 1987; Malhotra, 1982), we have found support for a proposition that challenges the optimization model:
P.4. Choice deferral will increase when the number of attributes increases.
Additionally, given the limited number of studies manipulating the number of options and number of attributes (Jacoby, Speller, & Berning, 1974; Jacoby, Speller, & Kohn, 1974; Malhotra et al., 1982) and the inconclusive evidence supporting the interaction pattern, such effects will be investigated without prior propositions.
Context effects drive choice deferral, which increases when options have unique bad attributes and share good ones, options' attractiveness is reduced, (Dhar, 1997a, 1997b; Dhar & Sherman, 1996), a dominant option is not present in the choice set (Dhar, 1997a; White & Hoffrage, 2009), or the perceived similarity increases (Kim et al., 2013). The mechanism behind such context effects is the preference uncertainty, resulting from an individual's reduced ability to distinguish the preferred option, since the inclusion of a new option increases the likelihood of the new option's utility to be comparable to the best option in the original choice set (Dhar, 1997a; White & Hoffrage, 2009).
An alternative account is that the choice complexity is determined by environmental properties that can be derived from the information structure, such as entropy and density, rather than the amount of information (Fasolo et al., 2009). Entropy is defined as the existing amount of information for making a judgment and is a function of two characteristics of the environment. One is the number of attribute levels present in the choice task, and the other is the distribution of the attribute levels among the options. The larger the number of attribute levels and the more uniform the distribution of such values across the options, the higher the entropy is and therefore, the more complex the decision becomes. From a psychological perspective, entropy reveals a variety of perceptions and complexities. Supported by these ideas, the next proposition is developed:
P.5. Choice deferral increases when the entropy in the choice set becomes higher.
Finally, task effects also influence the likelihood of the choice, with the time pressure decreasing the choice deferral in scenarios involving high conflicts or a selection among options with unique good attributes (Dhar & Nowlis, 1999; Dhar & Sherman, 1996). The initial comparative judgment also affects choice deferral. Dissimilarity judgments (compared to similarity judgments) increase the incidence of the choice when options have unique positive attributes, and the pattern is reversed when the task involves an initial similarity judgment (Dhar et al., 1999). The information format in the choice set is related to choice deferral, and this effect is conditioned by prior experience. Among the most knowledgeable consumers, product features presented as absolute information reduce choice deferral compared to information delivered as evaluative numerical or verbal values, while for naïve consumers, the pattern is reversed (Lange & Krahé, 2014).
Consumer experience
The decision-making process is likely to evolve from a stage of preference construction, compatible with the information overload perspective, to a stage of preference stability, compatible with the rational choice assumption. Knowledge in this specific domain is a driver of this change, and one of its components is choice experience, since it allows consumers to learn about the tradeoffs involved in decision making (Hoeffler & Ariely, 1999).
One viewpoint regarding information overload is that the phenomenon is observed in the case of consumers with limited knowledge (Iyengar & Lepper, 2000; Scheibehenne et al., 2009), and some studies have incorporated consumer experience as a variable.
Experience in the choice domain moderates the default preference, with only inexperienced consumers being influenced by the endowment effect (List, 2004). Consumers presented with ideal points from the experimental manipulation show a lower preference for the default when the choice happens in large assortments and a higher preference for the default when choosing from small assortments. Moreover, consumers' self-reported knowledge moderates choice deferral (Morrin, Broniarczyk, & Inman, 2012) and the mere categorization effect on choice satisfaction; experienced consumers are more satisfied than the naïve ones only when the assortment is not categorized (Mogilner et al., 2008).
Considering the evidence that relates consumer experience to information overload and that experience makes individuals more aware of possible attribute values, allowing inferences about the best possible products and refining expectations (Pinnell & Englert, 1997), the following propositions are presented:
P.6. Choice deferral increases as consumers gain domain-specific knowledge through choice repetition.
P.7. Consumer experience moderates information overload, which should disappear as individuals repeat choices.
Personality
Decision-making strategies are contingent on consumer traits, such as genetic traces, lifestyles, demographic characteristics, socioeconomic status, and personality (Herrera, 2000; Howard & Sheth, 1969; Sheth, Mittal, & Newman, 2001). Some studies relate such variables to information overload.
The individual style of decision making and the goal of a choice are related on a scale that portrays the individual propensity to maximize, meaning to aim for the best possible result, or to satisfy, meaning to desire a good enough outcome based on any subjective criteria. Maximizers are less likely to be satisfied and more likely to have regrets after decision making (Schwartz et al., 2002). In the context of information overload, maximizers tend to prefer more options but to be less satisfied and to have more regrets when compared to satisfiers (Dar-Nimrod et al., 2009).
Cognitive complexity refers to the cognitive structures that individuals deploy to perceive and organize stimuli and reflects the degree of information processing in terms of (a) differentiation or the number of dimensions used in information processing, (b) discrimination or the number of categories construed from the object, and (c) integration or the degree of interconnection among the elements of the same domain (Malhotra, Jain, Patil, Pinson, & Wu, 2010). Cognitive complexity influences how consumers process information in choice tasks, and those scoring high on this trait are less likely to be affected by information overload (Malhotra, 1982).
The NFC refers to "the tendency for an individual to engage in and enjoy thinking" (Cacioppo & Petty, 1982, p. 116). Consumers scoring high on the NFC tend to develop stronger preferences compared to those scoring low on this scale, when choosing from large assortments. When choosing from small assortments, the results are reversed (Lin & Wu, 2006). These results can be related to the idea that preference elicitation supports the development of stronger preferences, mainly when the choice is made in large assortments (Chernev, 2003).
The NFC is particularly relevant because it is a general trait instead of one related to the decision-making style. The relationship between the NFC and choice suggests that those scoring high on this scale tend to engage in tradeoffs, behaving more likely as rational decision makers. Considering their likelihood to process information in a more systematic way and to build stronger preferences, we propose that:
P.8. Consumers scoring high on the NFC will defer their choices more often than consumers scoring low on the NFC.
This proposition derives from the fact that consumers with a high-level NFC allocate more cognitive resources (since they enjoy thinking) to the development of preferences during choice tasks. However, it is important to note that the NFC does not differentiate among cognitive resources but the levels of willingness to deploy it. Considering that information overload refers to the existence of an amount of information that is beyond the human brain's capacity to acquire, store, and process, we present the last proposition:
P.3. Information overload will affect consumers scoring high on the NFC (since they will deplete their cognitive resources early) before it affects those scoring low on the NFC.
Empirical research
As described in the literature review, the information amount is an exogenous variable conditioning consumer decision making, and it opposes predictions from normative rational choice theories and those developed under the paradigm of bounded rationality. This empirical research studied choice deferral as a function of the information amount, with the latter defined as the number of options existing in the choice set and the number of attributes (or information dimensions) used to describe each option.
Since previous literature revealed the lack of familiarity as a precondition for information overload, using trivial decisions to illustrate the phenomenon, we looked for a product category that could motivate consumers to process information due to its subjective importance. Empirical evidence in this kind of decision making could provide stronger support for the occurrence of the phenomenon. To identify this product category, a first-survey questionnaire was administered to 100 consumers.
A second study with an experimental design was conducted, considering that choice deferral would be contingent on the decision environment and consumer characteristics. To further explore border conditions, we incorporated choice repetition, the information structure, and the NFC into the analytical model.
Information amount
The experimental manipulation focused on the information amount, defined as the number of options and the number of attributes. Three levels of each of these variables allowed the estimation of linear and nonlinear effects.
The three levels of the first variable comprised 4, 8, and 12 options, respectively. The few studies that manipulated more than two levels suggested that increases in optimal decision making would happen at around 6 to 10 options (Hahn et al., 1992;Malhotra, 1982; Shah & Wolford, 2007). The proposed three levels offered the opportunity for the addition of information to reduce choice deferral and then to increase it.
Similarly, the three levels of the second variable consisted of 4, 8, and 12 attributes, following the same logic and based on the only study that examined the choice accuracy by varying the number of attributes to search for nonlinear effects (Keller & Staelin, 1987).
Choice repetition
A stable preference had been proposed as a border condition for information overload and could be developed through preference elicitation, choice repetition, or experience (Chernev, 2003; Hoeffler & Ariely, 1999; List, 2003). Repetition would result in learning about the expected distribution of the values of the attributes, causing stability in preferences due to better knowledge about the expected values of the attributes and raising the threshold for choice once consumers could wait for a better option, meaning that choice deferral would be higher for latter tasks.
To develop preferences for an initial common point, the participants answered about the desirability of 11 of the 12 attributes presented in the study (except for price). Therefore, every respondent had the opportunity to articulate an ideal point that would represent an initial border condition for information overload.
Furthermore, each participant evaluated 17 different choice tasks and could have developed (during the experimental manipulation) domain knowledge to attenuate the information overload effects. The order of the choice tasks was used as a covariate to assess the impact of experience on choice deferral.
Information structure
The information structure had been proposed as a task property potentially causing information overload beyond the information amount itself (Berger et al., 2007; Fasolo et al., 2009; Gourville & Soman, 2005; Keller & Staelin, 1987; Lurie, 2004). One specific informational characteristic of a choice set is product similarity; the more similar the products are, the more difficulty consumers face in determining the best option (Dhar, 1997a).
Intra-attribute entropy was used as a covariate to capture the similarity among options, and it was calculated for each choice set, following Van Herpen & Pieters (2002) procedure.
For inclusion in the model, the entropy in each choice task was subtracted from the average of entropies of all the choice tasks. Despite the absence of the experimental manipulation of entropy, its presence as a covariate permitted the explanation of the results at the average levels of this variable and the eventual understanding of the variations in choice deferral when the entropy deviated from the average.
Individual characteristics
Finally, the reduced version, composed of 18 items (α = 0.71) measuring the NFC (Cacioppo & Petty, 1982; Cacioppo, Petty, & Feng Kao, 1984), was used as a personality trait moderating the relation between the information amount and the no-choice preference. The NFC refers to the individual willingness to engage in and obtain satisfaction from tasks that demand cognitive effort.
As the increase in the amount of information hints at a greater decision-making complexity, demanding more cognitive effort to process the accessible information, the readiness to respond to the stimuli may well be contingent on this personality trait.
First stage - data collection, questionnaires, and results
The willingness to process information is dependent on the subjective importance of the product under consideration, since this characteristic is supposed to explain the activation of alternative mental processes subjacent to decision making (Howard & Sheth, 1969; Jacoby et al., 1978).
This subjective importance was operationally defined as consumer involvement, and it was measured by using the Personal Involvement Inventory scale. This scale was proposed by Zaichkowsky (1985) and reduced by Mittal (1995), who concluded that the instrument would capture involvement with the product, as well as the decision-making process.
The purpose was to select a high-involvement category, since it would favor compensatory strategies, and the presence of behavioral effects in this kind of decision would provide evidence that any decision would be subject to the power and memory limitations of the human brain.
Ten categories were evaluated in the first stage: financial investment, Blu-ray or DVD player, credit card, toothpaste, stove, printer, yogurt, notebook, shampoo, and 32" to 50" television.
The data was collected from February 17 to 23, 2012. Consumers were recruited from an online consumer panel (Livra Panels), a company supplying access to consumers who are willing to answer market research questionnaires. The sample size comprised 100 completed interviews with men and women aged 18 years old and above. Furthermore, the socioeconomic status of the households was estimated by using Criterio Brasil (Brazilian Association of Research Companies [ABEP], www.abep.org.br).
Beyond consumer involvement, for each product category, the following information was obtained from every participant: ownership, consumption or use, purchase intent, and the respondent's role in the decision-making process.
Table 1 details the results regarding the consumer involvement by product category. The measurement scale ranges from one to seven, with one meaning a low level of involvement and seven meaning a high level of involvement. The scale reliability, assessed by Cronbach's α, varied from 0.86 (stove) to 0.93 (credit card).

Based on these results, the product chosen was the 32" to 50" television, and Cronbach's α for this category was 0.89. Three reasons supported the choice of this category for the next stage of this research. The first was the high involvement with the category, which should motivate information processing and allow the observation of behavioral effects across a larger continuum of the amount of information.
Second, consumer involvement was high, regardless of the respondent's demographic characteristics or purchase intent. The following variables were analyzed, and significant differences among subgroups could be rejected: purchase intent over the next two years, t (2, 98) = 0.68, p > 0.1; age, F (3, 99) = 1.27, p > 0.1; and socioeconomic status,F (2, 98) = 1.06, p > 0.1. The only difference found was in terms of gender, t (2, 98) = 2.60, p < 0.05. Consumer involvement was higher for men (5.7), but it was still high among women (5.0).
The third reason pertained to the number of attributes that could be used to describe the product and the ease of obtaining its values from websites.
Second stage - data collection and questionnaire
A randomized, full factorial 3 (4, 8, and 12 options) X 3 (4, 8, and 12 attributes) experimental design was deployed. For each design cell, 120 versions of 17 choice sets were generated, using the CBC/WEB 7.0 from Sawtooth Software, meaning that each respondent evaluated a different set of choice tasks.
For each item, the respondents picked their preferred option and then compared this product to a nonchoice option. An example of one choice task with four options and eight attributes is illustrated in Figure 1. For each stimulus, the brand was the first attribute displayed, and the price was the last one. The display order of the remaining information dimensions was randomized within the experimental design to avoid order effects.

The dependent variable in each choice set was the preference or nonpreference for the nonchoice alternative. Assuming that this variable followed a binomial distribution and that each respondent evaluated 17 choice tasks, a multilevel logistic regression was deployed for analysis (Menard, 2002).
The importance of the designed experiment was to allow for the identification of the effect-considering the presence and intensity-of a broad continuum of the information amount (defined as the number of options and attributes) on choice avoidance.
The choices among a set of options constitute a good representation of the discrete choices that consumers are used to making every day and allow the study of the variance in decisions due to the information amount and the structure of the stimuli (DeSarbo, Ramaswamy, & Cohen, 1995; Elrod, Louviere, & Davey, 1992; Louviere, 1988).
The data was collected from March 20 to 28, 2012. In total, 1,008 consumers were recruited from Livra Panels to participate in a computer-aided web interview. To be eligible for the interview, the participant must be 18 years old or older and live in a household classified under segment A, B, or C, according to Critério Brasil.
The total sample was stratified by demographic variables and randomized across treatments. Table 2 presents the sample profile details, and the statistical test results reveal the randomization success. For the gender, we observed χ2 (8, 1.000) = 6.13,p > 0.1; for age, χ2 (24, 984) = 25.01,p > 0.1; and for socioeconomic status, χ2 (16, 992) = 14.44,p > 0.1. Overall, the experimental treatments were independent of the demographic profile.

3. RESULTS
The results detailed in Table 3 allow the interpretation of the information load effects, as well as the role of the proposed moderators. To interpret the parameters of these models, it is important to observe some details of the coding scheme, designed to allow for floodlight analysis (Spiller et al., 2013), as follows: (a) The linear term for the number of options and the number of attributes results in the intermediate level (8) for both variables to be coded as zero, meaning that the parameters for the number of options refer to the simple effect of changing this variable when the number of attributes is 8. (b) The same logic applies in assessing the parameters derived for the number of attributes in relation to the number of options, when the number of attributes is the focal independent variable. (c) The NFC is coded as the individual scores on the scale, implying that the coefficients are simple effects when the NFC is set at the (nonexistent) value of zero. (d) The choice repetition is coded as the number of the choice tasks minus one, and the information load coefficients are interpreted as the simple effects in the first choice task, since this is the one coded as zero. Finally, the information load should be interpreted at the entropy's mean level since this is a mean-centered variable.

Information load. The simple effects of the information load were observed through significant regression coefficients (p < 0.5) for the quadratic effects of changing either the number of options or the number of attributes. The interactions between the two linear terms (for the number of options and the number of attributes) were also significant, as well as the interactions between the two quadratic terms. This complex interactive pattern would require further analysis, conducted through spotlight analysis (Spiller, Fitzsimons, Lynch Jr, & McClelland, 2013); the results are detailed in Table 4.

First, when taking the number of options as the focal independent variable and the number of attributes as the moderator, with 8 information dimensions as the base level, the quadratic effect indicates that choice deferral increases when the number of options varies from 4 to 8 and decreases when it varies from 8 to 12. When the moderator is held at 4 attributes, varying the number of options also reveals an inverted U-shape, but with fewer steps than the previous one. Finally, when the moderator is held at 12 attributes, the quadratic effect for the changes in the number of options is no longer significant, and choice deferral increases linearly as a function of increases in the number of options. These results clearly challenge P1, which states that choice deferral should have an inverse relationship with the number of options. The findings also refute P3, which proposes a quadratic effect with the opposite shape of the observed one for the variation in the number of options when the number of attributes is fixed at 4 or 8.
Next, the number of attributes is analyzed as the focal independent variable, while the number of options is the moderator. When both are at the base level of the model (or 8 attributes and 8 options), a significant quadratic effect of the number of attributes defines an inverted U-shape for varying the number of the dimensions of information. When the moderator is held at 4 options, the quadratic effect becomes insignificant, and deferral decreases as the number of attributes increases, with a more pronounced effect when the change is from 8 to 12 than when it is from 4 to 8. This finding is consistent with P2, which predicts a reduction in the choice deferral since the greater amount of information increases the probability of the presence of a preferred option. Finally, when the number of options is held at 12, increasing the number of attributes increases the choice deferral. This result is consistent with P4 and with the preference uncertainty account, since increasing the number of options over a limited variety of attributes tends to increase the similarity of perceived options, leading to the difficulty in determining the preferred option (Dhar, 1997a; Kim et al., 2013; White & Hoffrage, 2009).
Overall, the results support the presence of behavioral effects revealing a complex pattern, which confirms that the number of options and the number of attributes are psychologically nonequivalent (Scammon, 1977;Wilkie, 1974). Additionally, the interaction between the number of options and the number of attributes depicts an interdependency that was not clearly established in the previous studies exploring it (Jacoby, Speller, & Berning, 1974;Jacoby, Speller, & Kohn, 1974; Malhotra, 1982; Malhotra et al., 1982). Considering that the interaction between the information load and personality imposes the interpretation of the information load coefficients as simple effects when the NFC is zero (Spiller et al., 2013), a nonexistent level on the scale, the analysis of such an interaction leads to further considerations about the effects of the number of options and the number of attributes.
Moreover, entropy has not explained the probability of deferring the choice (p > 0.1). This result opposes those of previous studies and does not support P3. In this experiment, the information amount was higher and variable, with entropy randomly introduced through the design. Additionally, entropy estimation involved every option in the choice set, instead of the similarity in the highest utility options.
Consequently, low entropy can be observed in the choice tasks with only low utility options, preventing the decision due to the absence of an attractive alternative. On the other hand, total entropy can be low but concentrated on the highest utility options, preventing the choice due to preference uncertainty. Therefore, the comprehension of phenomena such as attraction or compromise effects in scenarios with more options requires further efforts that permit the study of the relationship between entropy and preference distribution.
Consumer experience
The coefficient connecting choice repetition to the dependent variable reveals that when consumers have the opportunity to exercise decision making in the same context, choice deferral tends to increase. This pattern is consistent with P6 and with the idea that consumers develop expectations about the probabilities of attribute values, refining their preferences and increasing their willingness to wait for an offer that best matches the ideal products (Pinnell & Englert, 1997).
Moreover, the coefficients that were intended to capture the moderating effects of consumer experience on information overload were insignificant, disproving P7. This finding also challenges the previous evidence of consumer knowledge's moderating effect on the preference for the status quo (List, 2004) and on the relationship between mere categorization and choice satisfaction (Mogilner et al., 2008). Additionally, it is different from the reported moderating effects of consumers' self-reported knowledge and choice deferral (Morrin et al., 2012).
Need for cognition
The first observation involves the positive and significant beta for the NFC, but given the conditional relationship expressed by the interactive terms between the NFC and information overload, this is the simple effect of the personality measure when the number of options and the number of attributes are both set at 8. It means that at this level of information, the higher the NFC score, the lower the choice deferral.
To account for the interactions among the NFC, the number of options, and the number of attributes, the execution of floodlight analysis (Spiller et al., 2013) through all levels of information load and the NFC permits the elicitation of the complex relationship connecting these three variables. This analysis is illustrated in Table 3, showing how the logistic regression parameters for the information load vary at different levels of the NFC. When observing the number of options as the focal independent variable, meaning that the number of attributes is held at 8, it is possible to conclude that changing the number of options in the choice task has a linear effect, such that more options reduce the choice deferral when the NFC is 3.5. Additionally, when the NFC approaches 4.1, a linear-by-linear interaction holds that this effect is valid only when the number of attributes is 8. On the other hand, when the NFC is below 2.9, the quadratic effect of the number of options is significant, meaning that the number of options increases when it varies from 4 to 8 and decreases when it varies from 8 to 12. The interactions between the quadratic terms also imply that this conclusion is valid only for 8 attributes in the choice task when the NFC's score is less than 2.3.
When changing the focal independent variable to the number of attributes, the quadratic effect implies that the choice deferral peaks at 8 options for low scores of the NFC. Once again, the interactions between the quadratic terms limit the conclusion to 8 options. When the NFC is above 4.0, the significant linear effect holds that increases in the number of attributes lead to an increase in the choice deferral, and the significant linear-by-linear interaction determines that this conclusion is only possible when the number of options is 8.
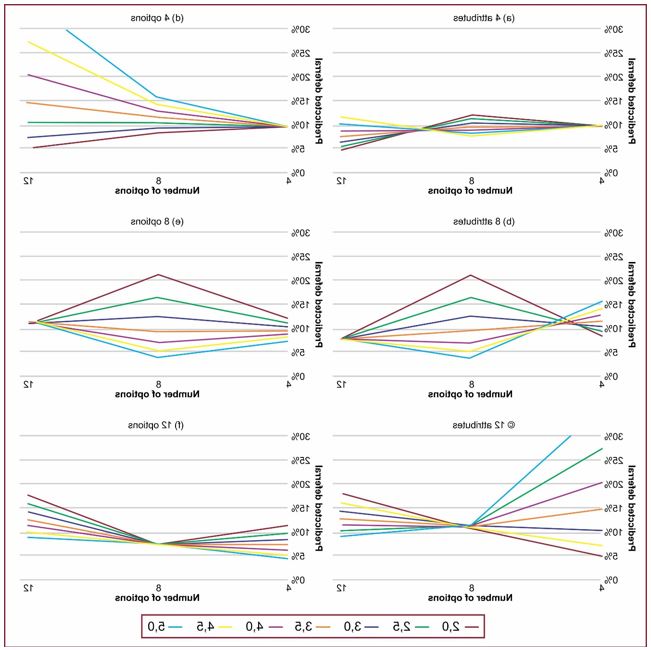
Figure 3 presents the graphics for the floodlight analysis, taking the number of options as the focal independent variable at the three levels of the number of attributes as the moderator (panels a to c), as well as taking the number of attributes as the focal independent variable at the three levels of the number of options (panels d to f). For the sake of visual clarity, some selected levels of the NFC are plotted in the graphics.


The significance of the parameters above the score of 3.5 for the NFC (see Table 5) reveals the behavioral pattern for consumers with a high-level NFC. When the number of options is the focal variable, the choice deferral decreases when the number of options increases from a range that is smaller than the number of attributes. It can be observed when the number of attributes is held at 8 and the number of options is changed from 4 to 8 (Figure 3 - panelb), as well as when the number of attributes is held at 12 and the number of options is increased, either from 4 to 8 or from 8 to 12 (Figure 3 - panel c). On the other hand, the choice deferral increases when the number of options increases to some amount greater than the number of attributes, as can be noticed when the number of attributes is fixed at 4 and the number of options varies from 8 to 12 (Figure 3 - panela), or when the number of attributes is held at 8 and the number of options varies from 8 to 12 (Figure 3 - panel b). These results support P3 (in opposition to P1), which states that the relationship between the number of options and the choice deferral is U-shaped and suggests that the inflection is driven by the relation between the number of options and the number of attributes.

Consumers with a high-level NFC can also be analyzed by taking the number of attributes as the focal independent variable, and the same pattern can be observed. The choice deferral increases when the number of attributes varies from a number that is equal to or greater than the number of options, as is the case when the number of options is held at 4 and the number of attributes increases (Figure 3 - paneld) or when the number of options is held at 8 and the number of attributes varies from 8 to 12 (Figure 3 - panel e). However, the choice deferral decreases when the number of attributes increases from a quantity that is smaller than the number of options up to the point when both become equal. This is the case when the number of options is held at 8 and the number of attributes varies from 4 to 8 (Figure 3 - panel e) or when the number of options is held at 12 and the number of attributes increases (Figure 3 - panel f). Overall, P4 (in opposition to P2) is supported when the number of attributes is larger than the number of options. Nevertheless, a more generalizable conclusion is that the relationship can be described by a U-shaped format, with the choice deferral decreasing when the number of attributes varies below the number of options and with the choice deferral increasing when the number of attributes varies above the number of options.
The results described also allow the consideration of the psychological processes involved in the behavioral pattern observed for consumers who enjoy the cognitive challenge of decision making. When the number of options is smaller than the number of attributes, the potential similarity among the options is reduced, as well as the probability that the consumer will find the ideal product. In this situation, increasing the number of options will likely increase the similarity among the options and the probability of the presence of a best alternative, and the effects of the later will favor the choice. However, when the number of attributes becomes larger than the number of options, increasing the similarity among the choices may prevent the determination of the best option, leading to choice deferral, as predicted by the preference uncertainty explanation.
A different and reversed pattern results from the analysis of consumer scoring below 3 in the NFC, with the choice deferral tending to increase when the number of options is increased from a number smaller than the number of attributes and a choice being favored when the number of options increases from a number equal to the number of attributes. An inverted U describes the relationship between the number of options and the number of attributes (as can be observed in Figure 3., panels b and e), and the lower the NFC, the higher the peak of the inverted U. The likely psychological process underlying this pattern may be regret anticipation, which is the negative emotion resulting from the consideration of the foregone utility that could have been derived from the nonchosen options. In this case, when the number of options is smaller than the number of attributes, adding new alternatives may increase the perceived variety that drives regret. On the other hand, increasing the number of options when it is equal to or larger than the number of attributes reduces the perceived difference among the options, preventing regret and favoring choice.
In summary, instead of the behavioral effect proposed in P9 to happen first among consumers with a high-level NFC and later among those with a low-level NFC, both groups are subject to opposed behavioral effects that should be triggered by different psychological mechanisms. This pattern also challenges P8, since the level of choice deferral can be higher among individuals with a high- or low-level NFC, conditioned on the relation between the number of options and the number of attributes.
4. FINAL CONSIDERATIONS
The results of this study confirm the occurrence of information overload (Jacoby, 1977), as well as the lack of psychological equivalence between the number of options and the number of attributes (Russo, 1974). Moreover, contrary to previous studies, this one succeeded in demonstrating a clear interaction between the number of options and the number of attributes, such that the relation between choice deferral and information load is reversed, conditioned by the number of options (or attributes) being larger or smaller than the number of attributes (or options).
Reinforcing previous empirical evidence, this study portrays choice deferral as a result of information overload, but it has advanced by showing two different behavioral patterns that relate to individual personality. A U-shape represents the relationship between information load and choice deferral, and the higher the NFC score, the more pronounced is this pattern. An inverted U-shape describes the relation between information overload, and the lower the NFC score, the more pronounced is this pattern. While the behavioral effect among consumers with a high-level NFC is consistent with the preference uncertainty arising from tentatively eliciting the best option in a choice task, the pattern among consumers with a low-level NFC is consistent with regret anticipation, resulting from the objective of negative emotion minimization during decision making.
Finally, despite consumer experience contributing to increasing the choice deferral as predicted (Pinnell & Englert, 1997), it does not moderate the reported behavioral effect, as demonstrated in studies using the preference for the status quo (List, 2004), assessing the relationship between mere categorization and choice satisfaction (Mogilner et al., 2008), or relying on consumers' self-reported knowledge and choice deferral (Morrin et al., 2012).
Managerial implications
Regardless of the limitations already identified, the results of these studies are sufficient to demonstrate the impact of information overload on choice deferral, and such effects are neither expected by marketers nor by consumers who direct the efforts to produce the final choice. To cope with the increasingly competitive environments that result in an escalation in the number of offers, the marketers should take actions to simplify consumer decisions. The following managerial implications are presented.
The mere categorization effect (Mogilner et al., 2008) implies that assortment organization facilitates consumer decision making and can be implemented at three levels. First, at the store level, the shelf layout may favor the two-step process likely to be involved in most consumer decision making (Hoeffler & Ariely, 1999), reproducing the attribute structure used by consumers to screen and make the final choice among options. Second, at the product level, managers can drive line extensions around the product attributes' consistency (Berger et al., 2007) and alignability (Gourville & Soman, 2005). Third, at the brand level, choice deferral can be prevented through a proper brand architecture as a portfolio structure that specifies the role of different brands and the relationship among the brands and its contexts in terms of products and marketplaces (Aaker & Joachimsthaler, 2007, p. 133).
Moreover, possible actions are available to help consumers overcome the underlying processes triggering choice deferral. Considering the increase in technology use during a product information search or purchase, whenever possible, marketers should supply decision support systems that allow consumers to practice and elicit personal preferences and reduce the number of options, based on their preference for attributes and respective levels, ruling out the preference uncertainty (Botti & Iyengar, 2006). This kind of support can be offered via technology applications that allow individuals to screen out nonattractive options and compare the remaining ones that are relevant to their information decisions, such as by using Web search engines.
To reduce regret anticipation, marketers may deploy programs expanding warranties, making it possible for consumers to return products that fail to fulfill their expectations or to experience products before making a final commitment (Chernev, 2003). Consistent with this idea, product trials may also minimize regret.
Finally, interactions with product specialists who provide advisory services can help consumers identify the option that best matches their needs and preferences when choices involve complex decisions or consequences that may be relevant and enduring. Using this approach, marketers can reduce consumer uncertainty or regret (Botti & Iyengar, 2006).
Overall, it is up to marketers to define the assortment strategy in such a way that consumers can benefit from choosing among more options, which would increase the chance of a match between the offer and the preference. On the other hand, marketers have to manage the cognitive efforts required to make a decision through an adequate assortment size and the deployment of support systems to make consumer decisions easier.
Limitations and future studies
Future studies should close some gaps left by the limitations faced in this study, as well as verify the actions of the proposed psychological mechanisms to explain the results. First, only one product category was studied. The replication with other high-involvement categories may strengthen the current findings' generalizability, and the replication with low-involvement categories may shed light on the differences in information processing due to the subjective importance of decision making.
Second, the experimental manipulation of entropy can elucidate the extent to which such an environmental property mediates the relationship between the information amount and choice avoidance, since the results described in this study contrast those of previous studies presented in the literature review.
Finally, the manipulation of preference uncertainty and regret anticipation at the different levels of information load and the NFC may confirm that the opposite behavioral effects between the high- and low-level NFC are mediated by the proposed constructs.
Sistema de Avaliação: Double Blind Review
Editor Científico: Nicolau Reinhard
REFERENCES
Aaker, D. A., & Joachimsthaler, E. (2007). Como construir marcas líderes. São Paulo: Bookman.
Anderson, C. J. (2003). The psychology of doing nothing: Forms of decision avoidance result from reason and emotion. Psychological Bulletin, 129(1), 139-167.
Belk, R. W. (1975). Situational variables and consumer behavior. Journal of Consumer Research, 157-164.
Berger, J., Draganska, M., & Simonson, I. (2007). The influence of product variety on brand perception and choice. Marketing Science, 26(4), 460-472.
Bettman, J. R., Luce, M. F., & Payne, J. W. (1998). Constructive consumer choice processes. Journal of consumer research, 25(3), 187-217.
Biswas, D., & Grau, S. L. (2008). Consumer choices under product option framing: Loss aversion principles or sensitivity to price differentials? Psychology & Marketing, 25(5), 399-415.
Botti, S., & Iyengar, S. S. (2006). The dark side of choice: When choice impairs social welfare. Journal of Public Policy & Marketing, 24-38.
Bown, N. J., Read, D., & Summers, B. (2003). The lure of choice. Journal of Behavioral Decision Making, 16(4), 297-308.
Brehm, S. S., & Brehm, J. W. (2013). Psychological reactance: A theory of freedom and control: Academic Press.
Broniarczyk, S. M. (2008). Product Assortment. In C. P. Haugtvedt, P. Herr, & F. kardes (Eds.), Handbook of consumer psychology (1 ed., pp. 755-779). Mahwah, NJ: Laurence Erlbaum Associates.
Broniarczyk, S. M., Hoyer, W. D., & McAlister, L. (1998). Consumers' perceptions of the assortment offered in a grocery category: The impact of item reduction. Journal of Marketing Research, 166-176.
Cacioppo, J. T., & Petty, R. E. (1982). The need for cognition. Journal of Personality and Social Psychology, 42(1), 116-131.
Cacioppo, J. T., Petty, R. E., & Feng Kao, C. (1984). The efficient assessment of need for cognition. Journal of Personality Assessment, 48(3), 306-307.
Chernev, A. (2003). When more is less and less is more: The role of ideal point availability and assortment in consumer choice. Journal of Consumer Research, 30(2), 170-183.
Dar-Nimrod, I., Rawn, C. D., Lehman, D. R., & Schwartz, B. (2009). The maximization paradox: The costs of seeking alternatives. Personality and Individual Differences, 46(5), 631-635.
DeSarbo, W. S., Ramaswamy, V., & Cohen, S. H. (1995). Market segmentation with choice-based conjoint analysis. Marketing Letters, 6(2), 137-147.
Dhar, R. (1997a). Consumer preference for a no-choice option. Journal of Consumer Research, 24(2), 215-231.
Dhar, R. (1997b). Context and task effects on choice deferral. Marketing Letters, 8(1), 119-130.
Dhar, R., & Nowlis, S. M. (1999). The effect of time pressure on consumer choice deferral. Journal of Consumer Research, 25(4), 369-384.
Dhar, R., Nowlis, S. M., & Sherman, S. J. (1999). Comparison effects on preference construction. Journal of Consumer Research, 26(3), 293-306.
Dhar, R., & Sherman, S. J. (1996). The effect of common and unique features in consumer choice. Journal of Consumer Research, 193-203.
Dhar, R., & Simonson, I. (2003). The effect of forced choice on choice. Journal of Marketing Research, 146-160.
Einhorn, H. J. (1970). The use of nonlinear, noncompensatory models in decision making. Psychological bulletin, 73(3), 221-230.
Elrod, T., Louviere, J. J., & Davey, K. S. (1992). An empirical comparison of ratings-based and choice-based conjoint models. Journal of Marketing research, 368-377.
Fasolo, B., Hertwig, R., Huber, M., & Ludwig, M. (2009). Size, entropy, and density: What is the difference that makes the difference between small and large real-world assortments? Psychology & Marketing, 26(3), 254-279.
Fishburn, P. C. (1968). Utility theory. Management Science, 14(5), 335-378.
Gourville, J. T., & Soman, D. (2005). Overchoice and assortment type: When and why variety backfires. Marketing Science, 24(3), 382-395.
Hahn, M., Lawson, R., & Lee, Y. G. (1992). The effects of time pressure and information load on decision quality. Psychology & Marketing, 9(5), 365-378.
Haynes, G. A. (2009). Testing the boundaries of the choice overload phenomenon: The effect of number of options and time pressure on decision difficulty and satisfaction. Psychology & Marketing, 26(3), 204-212.
Herrera, J. S. (2000). El Comportamiento del Consumidor. In J. M. Gastey, F. M. Chamorro, E. M. Ramos, L.-Á. S. de la Tajada, & C. V. López (Eds.), La investigación en marketing (pp. 177-194). Barcelona: AEDEMO.
Hoeffler, S., & Ariely, D. (1999). Constructing stable preferences: A look into dimensions of experience and their impact on preference stability. Journal of Consumer Psychology, 8(2), 113-139.
Howard, J. A., & Sheth, J. N. (1969). The theory of buyer behavior. New York: John Wiley & Sons.
Hutchinson, J. (2005). Is more choice always desirable? Evidence and arguments from leks, food selection, and environmental enrichment. Biological Reviews, 80(1), 73-92.
Iyengar, S. S., & Lepper, M. R. (2000). When choice is demotivating: Can one desire too much of a good thing? Journal of Personality and Social Psychology, 79(6), 995-1006.
Jacoby, J. (1977). Information load and decision quality: Some contested issues. Journal of Marketing Research, 569-573.
Jacoby, J., Chestnut, R. W., & Fisher, W. A. (1978). A behavioral process approach to information acquisition in nondurable purchasing. Journal of Marketing Research, 532-544.
Jacoby, J., Speller, D. E., & Berning, C. K. (1974). Brand choice behavior as a function of information load: Replication and extension. Journal of Consumer Research, 33-42.
Jacoby, J., Speller, D. E., & Kohn, C. A. (1974). Brand choice behavior as a function of information load. Journal of Marketing Research, 63-69.
Keller, K. L., & Staelin, R. (1987). Effects of quality and quantity of information on decision effectiveness. Journal of Consumer Research, 200-213.
Kim, J., Novemsky, N., & Dhar, R. (2013). Adding small differences can increase similarity and choice. Psychological Science, 24(2), 225-229.
Lancaster, K. (1990). The economics of product variety: A survey. Marketing Science, 9(3), 189-206.
Lange, J., & Krahé, B. (2014). The effects of information form and domain-specific knowledge on choice deferral. Journal of Economic Psychology, 43, 92-104.
Li, Y., & Epley, N. (2009). When the best appears to be saved for last: Serial position effects on choice. Journal of Behavioral Decision Making, 22(4), 378-389.
Lin, C.-h., & Wu, P.-h. (2006). The effect of variety on consumer preferences: The role of need for cognition and recommended alternatives. Social Behavior and Personality: an International Journal, 34(7), 865-876.
List, J. A. (2003). Does market experience eliminate market anomalies? Quarterly Journal of Economics Cambridge Massachusetts, 118(1), 41-72.
List, J. A. (2004). Neoclassical theory versus prospect theory: Evidence from the marketplace. Econometrica, 72(2), 615-625.
Louviere, J. J. (1988). Conjoint analysis modelling of stated preferences: A review of theory, methods, recent developments and external validity. Journal of transport economics and policy, 93-119.
Lurie, N. H. (2004). Decision making in information-rich environments: The role of information structure. Journal of Consumer Research, 30(4), 473-486.
Malhotra, N. K. (1982). Information load and consumer decision making. Journal of Consumer Research, 419-430.
Malhotra, N. K., Jain, A. K., & Lagakos, S. W. (1982). The information overload controversy: An alternative viewpoint. The Journal of Marketing, 27-37.
Malhotra, N. K., Jain, A. K., Patil, A., Pinson, C., & Wu, L. (2010). Consumer cognitive complexity and the dimensionality of multidimensional scaling configurations (Vol. 7): Emerald Group Publishing.
Menard, S. (2002). Applied logistic regression analysis. Newbury Park, CA: Sage.
Mittal, B. (1995). A comparative analysis of four scales of consumer involvement. Psychology & Marketing, 12(7), 663-682.
Mogilner, C., Rudnick, T., & Iyengar, S. S. (2008). The mere categorization effect: How the presence of categories increases choosers' perceptions of assortment variety and outcome satisfaction. Journal of Consumer Research, 35(2), 202-215.
Moller, A. C., Deci, E. L., & Ryan, R. M. (2006). Choice and ego-depletion: The moderating role of autonomy. Personality and Social Psychology Bulletin, 32(8), 1024-1036.
Morrin, M., Broniarczyk, S. M., & Inman, J. J. (2012). Plan format and participation in 401 (K) plans: The moderating role of investor knowledge. Journal of Public Policy & Marketing, 31(2), 254-268.
Oppewal, H., & Koelemeijer, K. (2005). More choice is better: Effects of assortment size and composition on assortment evaluation. International Journal of Research in Marketing, 22(1), 45-60.
Parker, J. R., & Schrift, R. Y. (2011). Rejectable choice sets: How seemingly irrelevant no-choice options affect consumer decision processes. Journal of Marketing Research, 48(5), 840-854.
Payne, J. W. (1982). Contingent decision behavior. Psychological Bulletin, 92(2), 382-402.
Pinnell, J., & Englert, S. (1997). The number of choice alternatives in discrete choice modeling. Paper presented at the Sawtooth Software Conference.
Rieskamp, J., Busemeyer, J. R., & Mellers, B. A. (2006). Extending the bounds of rationality: Evidence and theories of preferential choice. Journal of Economic Literature, 631-661.
Russo, J. E. (1974). More information is better: A reevaluation of Jacoby, Speller and Kohn. Journal of Consumer Research, 68-72.
Ryan, R. M., & Deci, E. L. (2000). Self-determination theory and the facilitation of intrinsic motivation, social development, and well-being.American Psychologist, 55(1), 68.
Sagi, A., & Friedland, N. (2007). The cost of richness: The effect of the size and diversity of decision sets on post-decision regret. Journal of personality and social psychology, 93(4), 515-524.
Scammon, D. L. (1977). "Information load" and consumers. Journal of Consumer Research, 148-155.
Scheibehenne, B., Greifeneder, R., & Todd, P. M. (2009). What moderates the too-much-choice effect? Psychology & Marketing, 26(3), 229-253.
Schwartz, B. (2004). The paradox of choice. New York: HarperCollins.
Schwartz, B., Ward, A., Monterosso, J., Lyubomirsky, S., White, K., & Lehman, D. R. (2002). Maximizing versus satisficing: Happiness is a matter of choice. Journal of personality and social psychology, 83(5), 1178.
Sela, A., Berger, J., & Liu, W. (2009). Variety, vice, and virtue: How assortment size influences option choice. Journal of Consumer Research, 35(6), 941-951.
Shah, A. M., & Wolford, G. (2007). Buying behavior as a function of parametric variation of number of choices. Psychological Science, 18(5), 369-370.
Sheth, J. N., Mittal, B., & Newman, B. I. (2001). Comportamento do cliente: indo além do comportamento do consumidor. São Paulo: Atlas.
Simon, H. A. (1955). A behavioral model of rational choice. The quarterly Journal of Economics, 69(1), 99-118.
Simon, H. A. (1990). Invariants of human behavior. Annual Review of Psychology, 41(1), 1-20.
Spiller, S. A., Fitzsimons, G. J., Lynch Jr, J. G., & McClelland, G. H. (2013). Spotlights, floodlights, and the magic number zero: Simple effects tests in moderated regression. Journal of Marketing Research, 50(2), 277-288.
Stigler, G. J. (1961). The economics of information. The Journal of Political Economy, 69(3), 213-225.
Tversky, A., & Kahneman, D. (1981). The framing of decisions. Science, 211, 453-458.
Van Herpen, E., & Pieters, R. (2002). Research note: The variety of an assortment: an extension to the attribute-based approach. Science, 21(3), 331-341.
Von Neumann, J., & Morgenstern, O. (1947). The theory of games and economic behavior (2nd ed.). Princeton: Princeton University Press.
White, C. M., & Hoffrage, U. (2009). Testing the tyranny of too much choice against the allure of more choice. Psychology & Marketing, 26(3), 280-298.
Wilkie, W. L. (1974). Analysis of effects of information load. Journal of Marketing Research, 462-466.
Zaichkowsky, J. L. (1985). Measuring the involvement construct. Journal of Consumer Research, 341-352.
Zeelenberg, M. (1999). Anticipated regret, expected feedback and behavioral decision making. Journal of Behavioral Decision Making, 12(2), 93-106.