Investigación
Lugares de habitación prehispánicos en el Valle de Aburrá: grupos domésticos, prácticas y diferencias sociales
Prehispanic habitat sites in the Valley of Aburrá. Domestic groups, practices, and social differences
Lugares de moradia pré-hispânica no Valle de Aburrá. Grupos domésticos, práticas e diferenças sociais.
Lieux d’habitation préhispaniques dans le Valle de Aburrá . Groupes domestiques, pratiques et différences sociales
Lugares de habitación prehispánicos en el Valle de Aburrá: grupos domésticos, prácticas y diferencias sociales
Boletín de Antropología, vol. 32, núm. 54, pp. 192-223, 2017
Universidad de Antioquia
Recepción: 20 Septiembre 2016
Aprobación: 04 Marzo 2016
Resumen: En este artículo presentamos una comparación entre dos lugares de vivienda en la cuenca de la quebrada Piedras Blancas (nos interesan las prácticas desarrolladas por los grupos domésticos que los habitaron). Comenzamos con un panorama sobre los estudios del ámbito doméstico en la arqueología de Colombia y el río Porce. En Piedras Blancas, la intervención inicia regionalmente, continúa con la exploración semidetallada de las viviendas y concluye con la excavación extensiva de algunas de ellas. Encontramos que el contexto cercano a las fuentes salinas, ocupado durante 180 años desde comienzos del siglo xvi d. C. se distingue por la orfebrería y la producción de sal. En contraste, en el lugar más alejado, parcialmente contemporáneo, se registran elementos asociados al hilado y la cestería. Estas prácticas otorgaron reconocimiento social y generaron vínculos con amplias redes de interacción. No encontramos contrastes notables de riqueza entre los grupos domésticos, ni evidencias de liderazgo político formalizado.
Palabras clave: prácticas cotidianas, ámbito doméstico, grupo doméstico, lugares de habitación, diferencias sociales, cambio social, análisis multiescalar, ocupación Tardía, quebrada Piedras Blancas.
Abstract: In this paper we present a comparison between two habitat sites in the basin of Piedras Blancas river. We are interested in the practices developed by domestic groups that inhabited them. We begin with an overview of the domestic sphere studies in archeology of Colombia and the Porce River. In Piedras Blancas, the intervention starts regionally, continues with the semidetailed examination of houses and concludes with the extensive excavation of some of them. We found that the immediate context near to saline sources, occupied for 180 years since the beginning of c. XVI A.D., is distinguished by goldsmithing and salt production. In contrast, in the farthest place, partly contemporary, elements associated with the spinning and basketry were recorded. These practices gave social recognition and created links with large networks of interaction. We found no significant contrasts in wealth between domestic groups, or evidence of formalized political leadership.
Keywords: daily practices, domestic sphere, domestic group, habitat sites, social, social difference, multi-scale analysis, late occupation, Piedras Blancas river.
Resumo: Neste artigo apresentamos uma comparação entre dois lugares de moradia, na bacia do riacho Piedras Blancas. Nosso interesse é as praticas desenvolvidas pelos grupos domésticos que ali moraram. Começamos com um panorama sobre os estudos do âmbito domestico na arqueologia da Colômbia e do riacho Porce. Em Pedras Blancas, a intervenção inicia regionalmente, continua com a exploração semidetalhada das moradias e finaliza com a escavação extensiva de algumas delas. Encontramos que o contexto próximo às fontes de sal, ocupado durante 180 anos desde o início do século XVI d.C, distingue-se pela ourivesaria e a produção do sal. Em comparação, no lugar mais distante, parcialmente contemporâneo, se registraram elementos associados à fiação e à cestaria. Estas práticas deram reconhecimento social e geraram vínculos com amplas redes de interação. Não encontramos contrastes notáveis de abundância entre os grupos domésticos, nem evidência de liderança política formalizada.
Palavras-chave: práticas cotidianas, âmbito doméstico, grupo doméstico, lugares de moradia, diferenças sociais, mudança social, análise multi-escalar, ocupação tardia, riacho Piedras Blancas.
Résumé: Dans cet article, nous présentons une comparaison entre deux lieux de logement, au lit du ruisseau Piedras Blancas. Nous sommes intéressés par les pratiques développées par les groupes domestiques qui les habitaient. Nous commençons avec un aperçu des études du cadre domestique en archéologie de la Colombie et de la rivière Porce. Dans Piedras Blancas, l’intervention commence au niveau régional, se poursuit avec l’examen semi-détaillé de logements et termine par l’excavation étendue de certains d’entre eux. Nous avons constaté que le contexte proche des sources salines, occupées depuis 180 ans depuis le début du XVI siècle D.C., se caractérise par la production d’or et de sel. En revanche, dans l’endroit le plus éloigné, en partie contemporaine, les éléments associés à la filature et la vannerie ont été trouvés. Ces pratiques ont donné une reconnaissance sociale et ont créés des liens avec les grands réseaux d’interaction. Nous n’avons pas trouvé entre les groupes domestiques contrastes importants de la richesse, non plus des évidences de direction politique formalisé.
Mots clés: pratiques quotidiennes, cadre domestique, groupe domestique, lieux d’habitation, changement social, social, analyse multi-échelle, occupation tardive, ruisseau Piedras Blancas.
Eres casi de sueño. Eres casi de piedra en el vaivén del tiempo. […] esa manera tuya (…) / De recordar cosas usadas y olvidadas / con un vuelo que ilumina y asombra. Raúl Gómez-Jattin, Ombligo de luna
Introducción
Este artículo consta de cuatro partes. En la primera se presenta una revisión general del ámbito doméstico como campo de estudios en la arqueología de Colombia. Este ejercicio permite señalar algunas tendencias de la disciplina con respecto a los grupos domésticos, las casas y su entorno. Las categorías con las que se ordenan los trabajos emergen de la dinámica histórica que ha conformado nuestra práctica académica desde la segunda mitad del siglo xx. La segunda parte consiste en una síntesis informativa de los principales registros y hallazgos relacionados con los lugares de habitación en el Valle de Aburrá y la cuenca del río Porce. La tercera parte presenta un acercamiento a los lugares de habitación de los Andes noroccidentales mediante un estudio de caso; la secuencia prehispánica de la que nos ocupamos se localiza en la cuenca alta de la quebrada Piedras Blancas, entre los valles de San Nicolás y Aburrá, y este acercamiento se realiza desde una perspectiva multiescalar: se inicia con un estudio regional en el que se identifican los patrones de asentamiento, y continúa, a escala semidetallada, con la exploración de los contextos espaciales en los que se localizan las viviendas. El artículo concluye con los resultados de las excavaciones desarrolladas en dos lugares de habitación, localizados desigualmente y correspondientes al último período de ocupación prehispánica en la cuenca de Piedras Blancas. A partir de los registros, nos acercamos a las prácticas llevadas a cabo por los grupos domésticos que habitaron estos espacios. Las prácticas identificadas se constituyen en la base para la construcción de las diferencias entre las unidades sociales que los ocuparon.
Hacia una arqueología del ámbito doméstico en los Andes noroccidentales
La intervención arqueológica en lugares de habitación no es una actividad novedosa en el noroccidente de Suramérica. Tal como lo señalan Botero y Gómez (2010: 245- 248), las investigaciones arqueológicas que se ocupan de ellos podrían clasificarse en cuatro grupos principales: 1) los “hallazgos fortuitos”, 2) los “esfuerzos sistemáticos de investigación”, 3) los estudios sobre “procesos de cambio social” y 4) los trabajos de arqueología en proyectos de impacto ambiental.
En la taxonomía propuesta por Botero y Gómez (2010), los “hallazgos fortuitos” se refieren al manejo aislado que se da a los distintos elementos asociados a las viviendas (huellas de poste, fogones, cerámica doméstica, etc.) en intervenciones arqueológicas que no formulan explícitamente preguntas relativas al ámbito doméstico. Por lo tanto, esta categoría no delimita claramente un conjunto de trabajos y resulta más útil presentarla como un comentario crítico al tratamiento que reciben los vestigios recuperados en diversas investigaciones. Los “esfuerzos sistemáticos de investigación” corresponden a proyectos académicos con financiación estatal, algunos de ellos respaldados por la Fundación de Investigaciones Arqueológicas Nacionales (FIAN) del Banco de la República, en la década de los años ochenta y la primera mitad de los noventa. Tal como lo señalan Botero y Gómez, buena parte de estos trabajos buscaban trascender la atención casi exclusiva a los contextos funerarios con el propósito de “esclarecer dónde y cómo se vivía en el pasado” (2010: 245). Entre las investigaciones que constituyen este conjunto (entre otras: Duque, 1943, 1981, 1988; Reichel-Dolmatoff, 1954; Plazas y Falchetti, 1981; Castaño y Dávila, 1984; Serge, 1984, 1987; Boada, 1987; Llanos, 1988; Patiño, 1988; Correal, 1990; Salgado, Rodríguez y Bashilov, 1993; Cárdenas, 2000) solamente las excavaciones de Gustavo Santos y Helda Otero de Santos (1995 y 1996) se desarrollan en las montañas antioqueñas.
A partir de la década de los noventa, las investigaciones sobre el ámbito doméstico en Colombia se ven fuertemente influidas por dos procesos: uno de carácter legal-institucional y otro académico, que tienen que ver con el auge de la arqueología por contrato y con la consolidación de la línea de estudio sobre cambio social, iniciada por Robert Drennan. Estos procesos dan origen a los otros dos grupos que Botero y Gómez (2010) reconocen en su exploración sobre la arqueología de lo doméstico.
Para los Andes noroccidentales, se cuenta con algunos contextos de vivienda intervenidos extensivamente en estudios arqueológicos asociados a proyectos de infraestructura. En el Valle de Aburrá, algunas de las más notables, por la calidad del registro, son las intervenciones desarrolladas en el sitio “El Ranchito” (Acevedo, 2003) y las excavaciones recientemente llevadas a cabo en la cuenca alta de la quebrada Piedras Blancas (Botero y Gómez, 2010). Estos proyectos han permitido, entre otras cosas, registrar plantas completas de viviendas individuales y agrupadas en pequeños conjuntos, correspondientes a diversos momentos de la secuencia de poblamiento.
A mediados de la década de los ochenta, Drennan (1985) publica los primeros resultados de sus estudios regionales sobre cambio social en el Valle de la Plata y a comienzos de este siglo da a conocer una síntesis en la que se compendian cerca de quince años de investigaciones (2000). A partir de los noventa, algunos de los colegas colombianos realizan estudios de posgrado en la Universidad de Pittsburgh (entre otros, Jaramillo, 1996; Langebaek, 1995; Boada, 1998 y González, 2007). La vinculación institucional de los posgraduados en ámbitos relacionados con la docencia y la administración de la investigación arqueológica en Colombia ha tenido un importante impacto en el desarrollo local de nuestra disciplina y particularmente en los estudios relativos al ámbito doméstico.
El enfoque procesual impulsado por Drennan y sus alumnos se ha posicionado como una práctica que comienza a disputar el predominio de los estudios “histórico-culturales” en la arqueología colombiana. Esta disputa toma la forma de una contraposición entre los discursos y las formas tradicionales y los “nuevos” modelos teórico-prácticos asociados a la docencia y a los estándares requeridos, tanto por las instituciones gubernamentales que apoyan la investigación (FIAN), como por aquellas que otorgan las licencias para las intervenciones (Instituto Colombiano de Antropología e Historia, ICANH) y las que publican los resultados de los estudios (revistas en universidades públicas y privadas).
Desde la “provincia”, el posicionamiento de los “nuevos” estudios sobre cambio social ha sido experimentado, con frecuencia, como un obstáculo en el acceso a los recursos destinados a la investigación, a la concesión de las licencias y a la publicación de los resultados. La relación entre las distintas perspectivas de investigación (histórico-culturales, procesuales y posprocesuales) no se encuentra al margen de las relaciones de poder que implica la localización institucional de los discursos y las prácticas académicas.
Los estudios procesuales a escala de viviendas, aldeas o comunidades se han vinculado directamente con preguntas relativas a los procesos de cambio social y con evidencias o conjeturas, formuladas a partir de intervenciones regionales (Jaramillo, 1996; Boada, 1999; Kruschek, 2003, Romano, 2003; Henderson y Ostler, 2009). Respecto a la teoría, cerca de dos décadas de investigación empiezan a dejar claro que la demografía, la centralización de los asentamientos, el control de los medios de producción (especialmente suelos fértiles), la guerra y la acumulación de riqueza no representan factores suficientes o determinantes para explicar, por sí mismos, las trayectorias de cambio estudiadas. Más allá, en la actualidad se experimenta una tensión creciente entre la enorme variabilidad encontrada en las sociedades estudiadas y los intentos por reducirla conceptualmente mediante categorías evolucionistas, tales como “cacicazgos” y “jefaturas”.
Respecto a las estrategias de investigación, el llevar el estudio de los procesos de cambio social desde la “América nuclear” al “Área intermedia” ha obligado a los arqueólogos locales a enfrentar retos y generar transformaciones interesantes en los procedimientos de campo. En términos generales, la topografía, los patrones de agregación y las técnicas constructivas presentan grandes contrastes entre los contextos mesoamericanos, centroandinos y aquellos propios de nuestras secuencias. A diferencia de los valles centrales de México y de los altiplanos centrales y las costas peruanas, la topografía montañosa de los Andes septentrionales impide, en muchas regiones, los recorridos lineales “brújula en mano”. Con excepción de las llanuras en la Costa Atlántica o del altiplano cundiboyacense, los recorridos regionales no pueden seguir patrones rectilíneos y es preciso adaptarse a la topografía montañosa mediante recorridos sistemáticos en forma “dendrítica”, siguiendo las microcuencas hidrográficas y las divisorias de aguas.
Adicionalmente, el tamaño y los materiales constructivos de los asentamientos en la “América nuclear” contrastan abiertamente con lo registrado en los Andes noroccidentales. A diferencia del patrón compuesto desde el formativo hasta el presente por unidades claramente agregadas (poblados y ciudades de diferente tamaño o “jerarquía”), en los Andes noroccidentales apenas se registran, a partir las fuentes documentales y de las investigaciones arqueológicas, algunos asentamientos nucleados, los cuales se encuentran, en todo caso, lejos de la extensión y el nivel de agregación de la “América nuclear”. Con excepción del altiplano cundiboyacense, en muchas regiones, como el Valle de Aburrá, la cuenca del río Porce y el Alto Magdalena, los asentamientos se distribuyen de manera dispersa. Esta situación, junto con la existencia de cronologías poco definidas y de períodos de larga duración, ha llevado a la implementación de distintas estrategias de muestreo, tales como pruebas de pala con diferentes espaciamientos y pequeños sondeos sistemáticos con y sin control vertical de materiales.
Para el Valle de Aburrá, durante el Período Tardío (entre los siglos xii y xvii d. C.), se alcanzan las mayores densidades de población, las casas están construidas de materiales orgánicos perecederos y se reporta, apenas, la existencia de una aldea en el sur con una extensión de entre 4 y 5 hectáreas (Langebaek et al., 2002). En la cuenca alta de la quebrada Piedras Blancas, contigua al Valle de Aburrá, aunque existen caminos prehispánicos empedrados y quebradas con tramos canalizados, las casas están elaboradas enteramente de madera y fibras vegetales. Adicionalmente, el aumento demográfico que caracteriza al Período Tardío no estuvo acompañado por la formación de poblados, sino por una “densificación” del asentamiento a través del aumento en la cantidad de lugares de vivienda dispersos (Gómez y Obregón, 2008: 49). En el Valle de Aburrá, las fuentes documentales del siglo xvi d. C. (Cieza, [1536-1555] 1945: 73; Robledo, [1539-1542] 1993; Sardela, [1541] 1993: 287) hacen referencia a la existencia de varios pueblos pequeños, alguno de ellos localizado, posiblemente, hacia el sector suroeste (Vélez, 1999). Las mismas fuentes señalan explícitamente que, hacia el oriente (cuenca alta de Piedras Blancas), la ausencia de poblados contrasta con la existencia de un amplio camino empedrado y de otros hitos del paisaje.
De las investigaciones en contextos habitacionales vinculadas con estudios sobre cambio social, nos interesa destacar tres aspectos fundamentales: primero, la interconexión de las intervenciones detalladas (a escala de “sitio”) con los estudios a escala regional (Jaramillo, 1996; Drennan, 2000; Langebaek, 2006; Obregón et al., 2011). Segundo, el uso de estrategias de campo que permiten la identificación de la estructura espacial de unidades habitacionales y nucleaciones a partir de los patrones de distribución de vestigios (Gómez y Obregón, 2008; Henderson y Ostler, 2009; Romano, 2009). Y tercero, la búsqueda, a través de los registros, de acciones o prácticas tales como la producción especializada, la acumulación de riquezas, el control de recursos, el intercambio a larga distancia y el desarrollo de fiestas, a partir de las cuales se construyen y se negocian las diferencias sociales en cada contexto (Drennan y Quattrin, 1995; Boada, 1999, 2009; Kruschek, 2003; González, 2009; Langebaek, 2006; Sánchez, 2009).
Lugares de habitación prehispánicos en el río Porce y el Valle de Aburrá
La cuenca del río Porce es la continuidad geográfica del Valle de Aburrá hacia el noreste. En esta región, diversos proyectos de investigación asociados a obras de infraestructura (entre otros, Castillo, 1997; Arcila y Cadavid, 1999; Otero de Santos y Santos, 2006, 2012; Cardona, Nieto y Pino, 2007) han registrado a lo largo de una década, cerca de medio millar de “sitios” o “yacimientos” arqueológicos (Cardona, Nieto y Pino, 2007). Estos contextos corresponden, en su gran mayoría, a posibles lugares de habitación, los cuales se distribuyen de manera dispersa, conformando pequeños conjuntos o concentraciones en el paisaje montañoso. Los registros indican la existencia de viviendas de planta ovalada de dimensiones y cronología variable (Arcila y Cadavid, 1999: 70-72; Otero de Santos y Santos, 2006: 322) y unas pocas de planta circular, cercanas a los 5 m de diámetro (Castillo, 1997: 90). En la Tabla 1 se sintetizan los principales hallazgos reportados.
Investigaciones recientes en esta zona (Cardona, Nieto y Pino, 2007) han generado nuevos datos a escala regional y de unidades habitacionales. Algunos de los lugares intervenidos fueron ocupados en el Período de los “Desarrollos Regionales”, durante el primer milenio de nuestra era. Los investigadores consideran que los lugares de habitación para este momento estarían compuestos por “una unidad construida -la casa-, con diámetro entre 4 y 5 m y con una disposición de basuras -particularmente de fragmentos cerámicos- localizados hacia los alrededores” (Cardona, Nieto y Pino, 2007: 661). Estas unidades aparecen formando pequeñas “comunidades”, es decir, conjuntos de entre 12 y 14 viviendas, las cuales ocupan una o varias microcuencas vecinas (Cardona, Nieto y Pino, 2007: 661). Este modelo de ocupación del espacio se mantiene durante la “Fase Prehispánica Final” o Período Tardío, la cual se desarrolla entre el siglo xii d. C. y el establecimiento de la ocupación Colonial, hacia comienzos del s. xvii d. C.

Para el Valle de Aburrá, las investigaciones de Santos y Otero de Santos (1995 y 1996) en el cerro El Volador registran, por primera vez en la región, plantas de viviendas completas (Tabla 2) localizadas de manera dispersa. Las viviendas representan dos momentos de ocupación del valle conocidos como Período Temprano (siglos i al xi d. C.), y Período Tardío, el cual abarca los cinco siglos previos a la llegada de los españoles junto con la época de la invasión. También las excavaciones llevadas a cabo por Acevedo (2003) en el sitio “El Ranchito” registran detalladamente los patrones constructivos y de ordenamiento del espacio doméstico para un pequeño conjunto de viviendas, alineadas y rodeadas por un sistema de canales, ocupadas durante los primeros siglos de nuestra era. En la Tabla 2 se sintetizan los principales atributos de las viviendas intervenidas en ambos contextos.

En cuanto a las viviendas y el espacio doméstico, en los registros del Valle de Aburrá no existe información sobre aspectos específicos de viviendas asociadas exclusivamente a cerámica “Ferrería”, ni a ocupaciones anteriores (cerámica “Cancana” o asentamientos precerámicos). Es posible que durante el Período Tardío (entre los siglos xii y xvii d. C.) el tamaño de las casas aumente, llegando hasta los 12 m de diámetro. También, al parecer, se modifica la forma de la vivienda y los usos del espacio doméstico, pasando de pequeñas construcciones circulares a grandes plantas ovaladas, en las cuales se registran “fogones” fuera de la vivienda. Estos cambios ocurren simultáneamente con algunos procesos a escala regional tales como el aumento demográfico, la aparición de lugares de enterramiento separados de las viviendas, el surgimiento de un poblado en el sur del valle y el control de suelos fértiles y recursos mineros, especialmente de fuentes de aguasal, localizadas en esta porción de la cuenca (Langebaek et al., 2002).
El registro reciente de estructuras circulares y elípticas entre 20 y 50 m de diámetro enriquece los hallazgos locales de construcciones, asociados a lugares de habitación (Botero y Gómez, 2010: 265, 266). Las estructuras reportadas por Botero y Gómez en la cuenca alta de la quebrada Piedras Blancas consisten en amplias construcciones con patrones concéntricos de huellas de poste, asociados tanto a lugares de habitación (Unidad de Intervención Arqueológica, UIA167) como a espacios con escasas evidencias de actividad doméstica (UIA166).
Para la UIA167-I, Botero y Gómez reportan una estructura oval con 25 m en su eje mayor, localizada junto a dos estructuras redondeadas incluidas una dentro de la otra (¿vivienda y barda perimetral?), de 20 y 50 m de “diámetro”, respectivamente (Figura 1). A este último conjunto se asocia un volante de huso en cerámica, datado por termoluminiscencia (TL). El fechamiento ubica la pieza de alfarería, y con ella la ocupación de las estructuras, entre las últimas décadas del siglo xv d. C. y las primeras del siglo xvi d. C. (UNAM: 1505 ± 24 d. C.). Otra estructura de vivienda parcialmente excavada y localizada en este mismo lugar, unos 200 m en dirección noreste (UIA167-II), presentó un conjunto de cuatro dataciones por TL que la ubican entre comienzos del siglo xvi y las primeras décadas del siglo xvii d. C. (Figura 6).

Las construcciones reportadas por Botero y Gómez (2010) presentan características particulares, al mismo tiempo que comparten algunos aspectos con aquellas registradas en el Valle de Aburrá para la misma época (Santos y Otero de Santos, 1995 y 1996). Al parecer, tanto en el Valle de Aburrá como en la cuenca de la quebrada Piedras Blancas las viviendas tardías serían estructuras circulares o ligeramente ovaladas con un mayor tamaño que las viviendas tempranas. Sin embargo, las dimensiones de las estructuras en Piedras Blancas (20-25 m) duplican a las del Valle de Aburrá (12 m). También vale la pena señalar que en el cerro El Volador y en Piedras Blancas se reporta la localización de manchas de suelo alterado, con grandes concentraciones de carbón (posibles fogones o áreas de quema) en la parte externa de las casas. En ambos contextos las basuras cerámicas se distribuyen hacia el sector trasero de las viviendas (ver nuevamente Figura 1).
Si comparamos el Valle de Aburrá con la cuenca media del río Porce, nos damos cuenta de que para este segundo contexto no se reportan los cambios en el tamaño y la forma de las viviendas, ni en los patrones de agregación que se registran en el primero, durante el último período de ocupación prehispánica. Los lugares de habitación tardíos en la cuenca del río Porce continúan siendo ocupados por pequeñas casas circulares y dispersas. Esta situación confirma, una vez más, la gran diversidad en procesos, pautas espaciales y estructuras sociopolíticas que ca- racterizan a los grupos humanos del Período Tardío en los Andes noroccidentales.
Lugares de habitación y procesos de cambio en la cuenca de Piedras Blancas
La cuenca alta de la quebrada Piedras Blancas se localiza en la cresta de la ladera oriental del Valle de Aburrá. Su paisaje, entre los 2.400 y 2.600 msnm, se compone principalmente por colinas alargadas y bajas (< 70 m) de cima plana o semiconvexa, separadas por una densa red de drenaje (Figura 3). La cobertura vegetal no alterada corresponde al bosque húmedo montano bajo; sin embargo, las plantaciones de coníferas, las pequeñas parcelas de cultivo y las zonas cubiertas por vegetación secundaria dominan ampliamente. Los suelos de la cuenca se desarrollaron, entre 30.000 y 6.000 años a.p., a partir de diversas capas de cenizas volcánicas y presentan dificultades severas para la mayor parte de los cultivos (valores de SAI -Saturación de Acidez Intercambiable- ˃ 60%). Existen en este sector diversas fuentes de aguasal, algunas de ellas aprovechadas en tiempos prehispánicos, así como durante la Colonia y el siglo xix d. C. La concentración más notable de “ojos de aguasal” se encuentra en la vereda Mazo. También se registran algunas vetas o filones auríferos explotados hasta principios del siglo xx (Obregón, Gómez y Cardona, 2005). La erosión natural de los filones enriqueció las arenas en los drenajes de la cuenca, generando depósitos aluviales y eluviales de oro. La minería moderna en la zona se inicia hacia las primeras décadas del siglo xvii d. C. En la arqueología de Antioquia, Piedras Blancas se distingue por la existencia de grandes acumulaciones de fragmentos cerámicos en cercanías de las fuentes salinas (Santos, 1986; Botero y Vélez, 1995; Ochoa, 1998; Castro, 1999; Obregón, Gómez y Cardona, 2009), por la existencia de amplios caminos prehispánicos empedrados (Cieza, [1536-1555] 1945; Hernández de Alba, 1948; Robledo, [1539- 1542] 1993; Vélez y Botero, 1997), de quebradas con tramos canalizados (Botero y Vélez, 1997; Obregón, Gómez y Cardona, 2005) así como por el registro de nu- merosas huertas delimitadas por canales y/o muros en tierra denominados “campos circundados” (Botero, 1999). Sin embargo, hasta mediados de la primera década de este siglo, no se tenía ninguna información sobre las gentes que habitaban esta región y que produjeron todos estos hitos en el paisaje. No se habían reportado lugares de habitación y se desconocía por completo la dinámica de poblamiento y sus procesos de cambio.
Los lugares de habitación son el correlato espacial del grupo doméstico (household). Si los grupos domésticos se constituyen en las unidades sociales fundamentales para comprender los procesos de cambio (Ashmore y Wilk, 1988: 1; Carsten y Hugh-Jones, 1995: 54; Hirth, 1993: 21-29), entonces los lugares de habitación representan las unidades espaciales fundamentales de dicha dinámica. Información etnográfica (Reichel-Dolmatoff, 1961; Wassen, [1935] 1988) indica que en los Andes noroccidentales los lugares de habitación indígena en asentamientos dispersos pueden estar constituidos por una o varias viviendas junto con sus estructuras anexas, rodeadas por un espacio despejado en el que se mantienen algunos cultivos y una amplia gama de plantas útiles.
Lo que define al grupo doméstico es “habitar” el espacio de la casa y su entorno inmediato. Sin que necesariamente los vinculen lazos de parentesco, quienes integran un grupo doméstico comparten una vivienda en la cual pueden nacer, crecer, reproducirse y morir; descansar, preparar y consumir sus alimentos; producir, usar, reparar y desechar sus artefactos, así como desarrollar sus rituales y sus fiestas (Manzanilla, 2004, 2007).
Un estudio desarrollado en Piedras Blancas, en un área cercana a los 10 km2 alrededor de las fuentes salinas de la vereda Mazo (Obregón, Gómez y Cardona, 2009) permitió localizar, mediante sondeos sistemáticos (0,40 × 0,40 m), espaciados cada 50 m, 21 lugares posibles de habitación, correspondientes al Período Temprano (entre los siglos i y xi d. C.). Las geoformas sobre las que se localizan estos contextos registraron una extensión media de 0,16 hectáreas (recortada al 5% con s = 0,1 ha). Para este lapso, la distribución regional no señaló la existencia de áreas de concentración de viviendas o poblados, ni siquiera en las inmediaciones de las fuentes de agua salada. Durante el Período Tardío (entre los siglos xii y xvii d. C.) se triplican los registros de los contextos domésticos, pues se reportan 67 lugares de habitación, cuya extensión media se duplica, llegando a 0,35 hectáreas (recortada al 5% con s = 0,38 ha).
Tampoco para el Período Tardío se registran poblados; sin embargo, en algunos sectores se hace más denso el asentamiento y los lugares de habitación localizados en las inmediaciones de las fuentes salinas se hacen más grandes, llegando a registrar extensiones superiores a una hectárea. La media de la distancia mínima entre los lugares de habitación se reduce en el Período Tardío, pasando de 269 m (recortada al 5% con s = 151 m) a 143 m (recortada al 5% con s = 77 m). La cantidad media de fragmentos cerámicos en los lugares de habitación aumenta en el Período Tardío, pasando de 50 a 87 registros por hectárea (medias recortadas al 5%). También la cantidad de huertas pasa de 4 a 21 registros, aunque su tamaño medio se mantiene (0,3 ha). La conservación del tamaño de las huertas podría indicar que las unidades sociales encargadas de su cultivo, probablemente familias nucleares, se mantuvieron sin mayores cambios de un período a otro.
De esta manera, durante el último lapso de ocupación prehispánica se registra una dinámica social caracterizada, a escala de los lugares de habitación, por un aumento de su tamaño y por una posible intensificación de las actividades que allí se realizan. A escala regional, los datos indican que el asentamiento se hace más denso y que la población aumenta. Pero, a la par que se dan estas transformaciones, ¿también se transforman internamente los lugares de habitación? ¿Cómo se manifiestan los cambios registrados en las casas y su entorno inmediato?
Para responder estas preguntas desarrollamos una segunda aproximación en escala semidetallada (Gómez y Obregón, 2008), que llevamos a cabo en nueve lugares de habitación, seleccionados del estudio “regional” previo: cuatro de ellos correspondientes a la ocupación temprana y cinco a la ocupación tardía. La intervención tuvo lugar mediante sondeos sistemáticos de tipo prueba de pala, de- sarrollados en una retícula de 8 m de lado. Los lugares seleccionados incluyeron contextos cercanos y distantes respecto a las fuentes salinas. A partir de los patrones de distribución de la lítica y de los fragmentos de cerámica, fue posible identificar algunas diferencias entre la ocupación tardía y su antecesora.
En el Período Tardío, dentro de los lugares de habitación aumenta el tamaño de las áreas ocupadas por la distribución de basuras primarias y secundarias, así como la densidad de vestigios registrados en ellas. Las áreas ocupadas dentro de los lugares tempranos registran una media de 0,084 hectáreas (recortada al 5% s = 0,05 ha) y una densidad media de 1.539 fragmentos cerámicos por hectárea (recortada al 5% s = 1.143 fragmentos), mientras que los lugares tardíos registran una extensión media de 0,166 hectáreas (recortada al 5% s = 0,210 ha), y una densidad media de 1.860 fragmentos cerámicos por hectárea (recortada al 5% s = 2.374 fragmentos). Esto hace pensar en un posible aumento en el tamaño de las estructuras de vivienda y de las unidades sociales que las ocuparon, así como en una intensificación de las actividades domésticas. Los lugares tardíos no sólo se hacen en promedio más extensos y densos, sino también mucho más diversos y contrastantes entre sí, a juzgar por la gran dispersión y heterogeneidad de la muestra, evidente en el alto valor de las desviaciones estándar.
También los patrones de distribución de los vestigios indican un cambio en la posible estructura de los lugares de habitación, pasando de alineamientos simples en el Período Temprano a distribuciones circulares o semicirculares en el Período Tardío. Algunas distribuciones de vestigios del Período Tardío podrían ser coherentes con la existencia de varias estructuras de vivienda alrededor de un patio central (de 20 m de diámetro) o con la localización de grandes viviendas comunales (de 20 m de diámetro) cercanas a las fuentes de agua salada (Gómez y Obregón, 2008; Botero y Gómez, 2010).
Es importante señalar que los análisis paleobotánicos indican que la vegetación alrededor de las casas en el Período Tardío es menos variada, predominando el cultivo de maíz y disminuyendo la cobertura del bosque (Obregón, Gómez y Cardona, 2009: 262). También, para este lapso, se registran, en algunos lugares de habitación, objetos foráneos (cerámica y lítica) vinculados a redes de interacción que abarcan las cuencas medias de los ríos Cauca y Magdalena (Obregón, Gómez y Cardona, 2009: 266).
Piedras Blancas: grupos domésticos, prácticas y diferencias sociales
Los datos presentados en el apartado anterior sugieren la existencia de diferencias en las prácticas que caracterizan a los distintos grupos domésticos durante la ocupación tardía de la cuenca. ¿Cómo se diferencian los grupos domésticos tardíos que habitan lugares desigualmente localizados dentro del asentamiento? Para responder a esta pregunta nos valimos de la noción de práctica (Bourdieu, [1980] 2007: 27). Las prácticas domésticas son las acciones culturalmente situadas, llevadas a cabo por las personas que ocupan los lugares de habitación (Figura 2).

Nos referimos a acciones cotidianas y recurrentes cuyo desenlace no puede ser completamente previsible, aunque estén guiadas por la configuración del espacio, por el mobiliario doméstico, por los marcos culturales y las costumbres o los “hábitos”. Aunque varían ampliamente, las prácticas del habitar tienen un carácter coherente, recurrente, repetitivo, al que se accede, incorporándolas a través de la mímesis o imitación, antes que por efecto del discurso racional. La práctica es todo aquello que se aprende “haciendo”: concretamente aludimos a la producción, el uso y el consumo habitual de alimentos y artefactos, la construcción de estructuras arquitectónicas, el desarrollo de rituales y la construcción de relaciones sociales mediante la hospitalidad, los matrimonios, los intercambios de dones y la guerra. En sociedades no estatales, las prácticas domésticas son la base principal sobre la que los grupos residenciales construyen las diferencias sociales (Bourdieu, [1980] 2007: 33). Para acercarnos a la construcción de las diferencias sociales entre los grupos domésticos del Período Tardío, tuvimos en cuenta las acciones que recurrentemente se llevaron a cabo en cada lugar de habitación, su intensidad, duración y los procesos de formación del registro en cada uno de los contextos intervenidos (ver nuevamente Figura 2).
Para avanzar en nuestro propósito realizamos una tercera intervención, a escala detallada, en dos lugares de habitación. Estos fueron seleccionados por sus densidades contrastantes de materiales, así como por su localización diferencial respecto a las fuentes salinas de la vereda Mazo (Figura 3). En cada uno de ellos, la distribución de vestigios ocupa aproximadamente un área de 1.200 m2 (Figura 4). La UIA114 (Norte 6°14’58,07’’ y Oeste 75°29’43,01’’) es el lugar más cercano a las fuentes salinas a 0,5 km de distancia, mientras que la UIA167II (Norte 6°15’47,17’’ y Oeste 75°29’37,59’’) se encuentra a 1 km (ver nuevamente Figura 3). Los muestreos sistemáticos en la UIA114 arrojaron 395 fragmentos cerámicos y 50 líticos, tres veces y media más que la UIA167II, con 110 fragmentos cerámicos y 14 piezas líticas (Figura 4).
El acercamiento a las prácticas domésticas lo realizamos a partir del análisis de la distribución vertical (estratigráfica) y horizontal (nivel por nivel) de dos tipos de vestigios: aquellos “altamente susceptibles al desplazamiento”, tales como fragmentos cerámicos, registros de lítica y restos de plantas (Figura 5); vistos contra aquellos de “escasa movilidad”, tales como los residuos químicos de sustancias (Barba, 1986; Obregón et al., 2011), la topografía, la compactación del suelo (Martínez, 2008) y los rasgos estratigráficos. El análisis de las distribuciones lo combinamos con una descripción detallada de los atributos de los materiales (tecnología, composición, forma, decoración y huellas de uso) y la naturaleza de las sustancias. También llevamos a cabo un ejercicio de restitución de recipientes cerámicos que permitió identificar su número mínimo, su dispersión horizontal-vertical, así como avanzar en el conocimiento de los procesos de formación del contexto.


Para favorecer la comparación en cada uno de los lugares, se excavó un corte de 8 × 8 m, localizado con una esquina superpuesta sobre uno de los muestreos sistemáticos que presentó mayores cantidades de vestigios (ver nuevamente Figura 4). Las excavaciones se llevaron a cabo siguiendo niveles de 5 cm paralelos a la superficie y registrando tridimensionalmente cada uno de los elementos recuperados. Se tomaron, además, medidas de la compactación y muestras de suelo de cada unidad mínima de excavación (1 × 1 m). Los registros obtenidos indican que la ocupación del espacio doméstico se da de manera continua, generando distribuciones (cerámica, lítica, macrorrestos y sustancias químicas) con patrones horizontales cohe- rentes, los cuales se mantienen, con cambios graduales, desde los niveles inferiores hasta los superiores (ver nuevamente Figura 5).

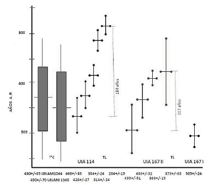
La mayor intensidad en la ocupación del espacio doméstico se registra, en ambos lugares, hacia la parte media del perfil estratigráfico. Dos muestras de 14C en la UIA114 para el nivel 4 (LUR-UNAM1044: 430+/-65 a.p. y 1045: 450+/-70 a.p.), cinco dataciones por termoluminiscencia (TL) para la UIA114 (UNAM a.p.: 284+/-19, 314+/-24, 384+/-24, 426+/-27, 468+/-35) en distintos niveles y cuatro para la UIA167-II (UNAM a.p.: 378+/-73, 388+/-15, 436+/-32, 495+/-51), ubican la ocupación de ambos lugares aproximadamente entre 284 y 495 años antes del presente (Figura 6), es decir, entre las primeras décadas del siglo xvi y comienzos del siglo xviii d. C. En ambos lugares, la disminución progresiva de los registros hacia los niveles superiores sugiere un abandono lento y paulatino de los espacios (ver nuevamente Figura 5). Una desocupación gradual también es coherente con la ausencia de artefactos completos y en buen estado (“de facto refuse”, Schiffer, 1988: 5). El abandono de ambos lugares, entre los siglos xvii y xviii d. C. coincide con la intensificación de las actividades productivas en el Valle de Aburrá y con el establecimiento de las primeras explotaciones mineras coloniales en la cuenca de la quebrada Piedras Blancas. La diferencia entre las fechas de TL correspondientes a los materiales cerámicos más tempranos y los más tardíos indica una duración aproximada de 184 años para la ocupación de la UIA114 y de 117 años para la UIA167II (ver nuevamente Figura 6).

El acercamiento a las prácticas domésticas llevadas a cabo en la UIA114 y la UIA167II ha permitido establecer una comparación entre los grupos de personas que las habitaron. Algunas prácticas identificadas son bastante similares, otras presentan ligeras diferencias, mientras que sólo algunas contrastan al estar presentes en un contexto y ausentes en el otro. Entre las prácticas que presentan mayor similitud, están la construcción de la vivienda y el ordenamiento del espacio. En ninguna de las dos excavaciones se registraron plantas de casas completas. No obstante, si tenemos en cuenta las similitudes en el área en la que se dispersan los vestigios (1.200 m2) y sus patrones de distribución (ver nuevamente Figura 4), podría pen- sarse que las construcciones fueron similares. Los usos del espacio se relacionan con sectores prominentes y con suelos endurecidos. No se recuperaron materiales constructivos especiales o vestigios de construcciones en piedra o bajareque.
De otro lado, prácticas tales como el uso de recipientes cerámicos exhiben diferencias de grado, mas no de naturaleza. Aunque se recuperó más cerámica en UIA114 (6.600 fragmentos y un mínimo de 130 vasijas) que en la UIA167II (3.912 fragmentos y un mínimo de 74 vasijas), al considerar el tiempo de ocupación encontramos que la intensidad en el uso y desecho de este material fue muy similar en ambos contextos (UIA114: 35,8 versus UIA167II: 33,4 fragmentos por año). Sin embargo, en la UIA114 el conjunto recuperado es más diverso en términos formales (Figura 7). Esta tendencia sugiere una mayor variedad en las tareas en las que participan las piezas de barro. En la UIA114, es posible que el 20% de los recipientes estuvieran dedicados a la producción salina. Se trata de cuencos de borde biselado, con boca amplia (de 30 a 40 cm de diámetro) y cuerpo poco profundo (ver nuevamente Figura 7).
En ambos contextos, cerca de dos tercios de todas las vasijas restituidas corresponden a piezas utilizadas en labores culinarias. Se trata de ollas globulares y subglobulares de borde engrosado (ver nuevamente Figura 7), con su cara externa alisada sin decoraciones y superficie interna pulida. Entre un tercio (UIA167II) y la mitad (UIA114) presentan residuos de hollín en su cara externa. La proporción similar (1/10) de recipientes decorados, así como la cantidad de motivos decorativos, subraya las similitudes entre ambos contextos.
El uso y descarte de lítica presenta bastantes similitudes en ambos lugares de habitación. Los artefactos para cortar y raspar están elaborados de manera expeditiva, a partir de materias primas locales (cantos rodados de cuarzo lechoso). En ambos casos, tanto en la lítica tallada como en la de molienda, encontramos algunos materiales de procedencia foránea. En la UIA167-II, estos se relacionan con un ámbito geográfico más amplio. La gran cantidad de lascas, de todos los órdenes, con filos agudos y huellas de uso, así como la baja proporción de núcleos, sugiere que los espacios intervenidos están relacionados con áreas de preparación de alimentos y no con sectores en los que se elaboraron las herramientas.
La lítica recuperada no es un bien que se exhibe o se presume públicamente (fiestas, celebraciones, rituales). Incluso, las piezas foráneas se usaron en contextos culinarios de carácter privado y cotidiano. Por lo tanto, su importancia como elemento de diferenciación social radica más en el tipo de interacción que testimonia: posiblemente el intercambio de personas y bienes con otros grupos domésticos asentados por fuera de la cuenca. Estas relaciones sí constituyen una fuente impor- tante y claramente reconocida de estatus entre los grupos domésticos.

La transformación y el consumo de alimentos constituyen prácticas que presentan diferencias de grado, mas no de naturaleza. En ambos contextos, identificamos patrones de distribución de sustancias asociadas a tareas culinarias. En cada lugar de habitación, los suelos están enriquecidos con residuos de proteínas, ácidos grasos y fosfatos. También el pH está modificado a partir, posiblemente, de la adición de cenizas generadas en fogones. Las cantidades de residuos grasos y su naturaleza son muy similares en ambos contextos. En estas sustancias predominan aquellas asociadas a alimentos vegetales, con presencia de frutos de palmas, mientras que las grasas animales representan una proporción más baja (< 30%).
En la UIA114, cantidades más altas de residuos químicos en los suelos (fosfatos, proteínas y pH) así como una mayor proporción de recipientes con hollín, sugieren una mayor intensidad en el desarrollo de prácticas culinarias. Estas tendencias podrían estar relacionadas con un grupo doméstico más numeroso. El tamaño del grupo doméstico suele ser un elemento de diferenciación social importante, puesto que representa mayor disponibilidad de fuerza de trabajo y de relaciones efectivas de alianza e intercambio.
La presencia de volantes de huso en Piedras Blancas no es frecuente. Además de algunos hallazgos fortuitos, sólo en la UIA167-I y en la UIA167-II se han reportado evidencias asociadas al hilado. La datación por TL del volante de huso recuperado en la UIA167-I (ver nuevamente Figura 1), refuerza la idea de que en estos dos lugares de habitación vecinos se llevó a cabo el hilado de fibras de forma contemporánea. Las características del registro asociado sugieren que se trata de una práctica tradicional, transmitida de generación en generación, la cual fue llevada a cabo por unos cuantos grupos domésticos dentro de la cuenca.
Respecto a la producción salina, en la UIA114 registramos la presencia de cristales de halita, silvita y carnalita en el suelo. Las sales encontradas coinciden en su composición elemental con los manantiales vecinos (Restrepo, 1997). En la UIA114, la presencia de sal junto con una buena cantidad de recipientes cerámicos poco profundos de boca ancha (ver nuevamente Figura 7) podría indicar que en este lugar se llevó a cabo la evaporación de aguasal. En la UIA167-II, localizada a un kilómetro de las fuentes salinas, están ausentes los vestigios asociados a esta práctica. Para diversos grupos, entre los que se encuentran los kogi (Reichel-Dolmatoff, 1976: 266), los cuna (Marshall, s. f.: 114, 150a; Stout, 1947: 72c), los tukano (Hugh-Jones, 1979: 195; Reichel-Dolmatoff, 1971: 13) y los chocó (Pineda y Gutiérrez, 1958: 457; Reichel-Dolmatoff, 1961: 108) la sal es reconocida como un producto importante vinculado con amplias redes de intercambio. Por lo tanto, la producción salina registrada en la UIA114 representa un elemento significativo de distinción social.
El oro y la plata aparecen como residuos adheridos en la cara interna de un crisol y posiblemente sobre la superficie de un artefacto lítico pulido de anfibolita (“cincel”) recuperado en la UIA114. El pequeño crisol de pasta blanca está elaborado con arcillas derivadas de rocas ígneas ácidas. Su pasta cerámica señala como posible origen el vecino Valle de San Nicolás. La conjetura sobre la procedencia de esta pieza se apoya, además, en su composición elemental (analizada con PIXE), la cual presenta gran similitud con otras piezas ricas en micas y cuarzos. Dichas piezas corresponden a cuencos biselados de boca ancha (asociados a la evaporación de aguasal, ver nuevamente Figura 7) que por su mineralogía también se relacionan con dicho valle. Es importante señalar que, al igual que Piedras Blancas, la cuenca de la quebrada La Mosca, en el valle de Rionegro, ha sido reconocida desde tiempos antiguos por sus ricos aluviones auríferos.
Aunque en la UIA167-II no se encontraron evidencias de trabajo orfebre, la UIA114 no fue el único lugar donde se elaboraron piezas de oro en la cuenca de Piedras Blancas. También en la UIA100, otro lugar de habitación tardío cercano a las fuentes de aguasal de la vereda Mazo, en intervenciones anteriores (Obregón, Gómez y Cardona, 2009: 263), registramos la presencia de una pequeña “mano de moler” fragmentada, en roca metamórfica local (anfibolita), la cual presentaba residuos de oro adheridos en la superficie, dispuestos a modo de bandas. Un análisis de fluorescencia de rayos X (FRX) confirmó la presencia de este metal en el artefacto. La fuerte carga simbólica asociada a las piezas de oro, relacionadas con representaciones chamánicas y con el estatus y la constitución de la persona (Reichel-Dolmatoff, 1988; Uribe, 2005), hace de las prácticas orfebres identificadas un elemento de distinción social importante.
Tal como lo hemos señalado previamente, la interacción con otras unidades sociales a escala regional es coherente con la amplia red de caminos prehispánicos existente en la zona (Vélez y Botero, 1997). En ambos contextos reportamos la presencia de lítica foránea, mientras que sólo en la UIA114 registramos cerámica llegada de otras regiones. Las piezas de alfarería corresponden a cuencos biselados asociados a la evaporación de aguasal y a un crisol. Por lo tanto, en este lugar de habitación los procesos de interacción están vinculados con la manufactura de bienes de alto contenido simbólico, como lo son la sal y los objetos de oro. Por su parte, en UIA167-II, aunque la interacción regional se manifiesta en objetos de uso cotidiano como la lítica, es preciso considerar que el ámbito geográfico es más amplio que en los materiales recuperados en la UIA114. Lo anterior nos hace pensar que cada grupo doméstico estaba conectado con redes de interacción regional de manera diferente. La participación en este sistema de intercambios posiblemente fue un elemento importante en el reconocimiento y el prestigio obtenido por cada uno de ellos. La Tabla 3 resume la comparación entre las prácticas identificadas en ambos lugares.

Observaciones finales
[…] la hipótesis se vuelve plausible gracias a la observación de Firth (p.358) de que la jerarquía social no refleja la distribución de bienesLévi-Strauss ([1964] 2010: 61)
En Piedras Blancas, los lugares de habitación tardíos podrían haber sido ocupados por grupos domésticos conformados por familias extensas multigeneracionales, las cuales habitaron grandes residencias comunales, tales como las registradas por Botero y Gómez (2010) en la UIA167 (ver nuevamente Figura 1). La existencia de este tipo de unidades sociales es coherente con la duración de la ocupación de los espacios, calculada a partir de las dataciones obtenidas (ver nuevamente Figura 6). Durante el proceso de abandono lento y progresivo, un grupo doméstico o una fracción de él podría haber construido una nueva vivienda en un lugar cercano (200 m), tal como lo sugiere la secuencia de dataciones TL registradas en la UIA167-I y 167-II.
Es posible que una parte importante de los recipientes cerámicos, en los lugares tardíos cercanos a las fuentes salinas (UIA100, 113, 114 y caserío de Mazo), estuviera relacionada con la evaporación de aguasal. La sospecha recae especialmente sobre los cuencos poco profundos, de bocas anchas y bordes biselados (ver nuevamente Figura 7). Estos recipientes facilitan la evaporación de aguasal y han sido reportados en los basureros de cerámica (o “tiesteros”) contiguos a las fuentes, desde el Período Temprano (entre los siglos i y xi d. C.). La conjetura se refuerza con la presencia de diatomeas endémicas de las salinas (Stauroneis sp. UIA113) y de cristales de sales (UIA114) enriqueciendo los suelos de estos lugares. Sin embargo, llama la atención la ausencia de hollín sobre la superficie externa de estas vasijas. Por lo tanto, si fueron usadas para la evaporación de aguasal, esta se llevó a cabo usando carbones/brasas, maderas poco resinosas, las cuales generan escaso ahumado, o sin el uso del fuego.
Hasta la presente investigación, los cuencos biselados de bocas anchas habían sido considerados como exclusivos de la ocupación temprana de la cuenca (ver nuevamente Figura 7). Sin embargo, el análisis de su distribución vertical y horizon- tal en la UIA114 y las fechas de TL obtenidas en dos de ellos (UNAM: 314+/-24 a.p. y 426+/-27 a.p.), indican que estos recipientes continuaron elaborándose du- rante toda la ocupación tardía. Estas vasijas han sido tradicionalmente vinculadas con el estilo cerámico “Marrón Inciso” (Santos y Otero de Santos, 1995 y 1996) en el Valle de Aburrá y en otras regiones de Antioquia.
Regionalmente, encontramos evidencias de interacción social a larga distancia en varios lugares de habitación tardíos (UIA36, 100, 114 y 167-II). Se destacan las piezas de lítica foránea, elaboradas en materias primas cuyas fuentes posibles se localizan en los valles de Aburrá, San Nicolás, Cauca Medio y Magdalena Medio.
También las asociaciones estilísticas y tecnológicas de las piezas cerámicas foráneas sugieren relaciones con el Cauca Medio y los valles vecinos de Aburrá y Rionegro. Los objetos alóctonos son, en cada contexto, pocos y selectos. La presencia de estos bienes podría indicar que algunos grupos domésticos competían entre sí por reconocimiento social y prestigio, utilizando para este fin la interacción a larga distancia. A partir de la etnografía, proponemos como hipótesis que la interacción a escala regional estuvo asociada al movimiento de personas vinculado con matrimonios, viajes, rituales y fiestas.
Tal como sucede en “Tikopia”, en Piedras Blancas “la jerarquía social no refleja la distribución de bienes” (Lévi-Strauss, [1964] 2010: 61). Los lugares tardíos intervenidos no muestran contrastes notables en la calidad y cantidad de sus artefactos y construcciones. Los datos a escala regional y de lugares de habitación no indican el control exclusivo de recursos como sal, oro y tierra. La interacción a larga distancia, el hilado (UIA167 I y II), la producción salina (UIA100, 113, 114 y caserío de Mazo) y la orfebrería (UIA114 y 100) señalan algunas diferencias entre los grupos domésticos.
Piedras Blancas, durante el Período Prehispánico Tardío, se caracteriza por ser un asentamiento disperso en el que no existen poblados. Para este momento se registran estrategias de diferenciación social basadas en la manufactura doméstica de bienes selectos y en la interacción social a larga distancia. Ante este panorama, planteamos como hipótesis que el liderazgo político carecía de una estructura formal o institucionalizada. Consideramos que los líderes locales se parecen poco a la imagen tradicional de los “caciques” e interpretamos los registros excavados y analizados como evidencias propias de un liderazgo no institucional, encarnado por las cabezas de algunos grupos domésticos prestigiosos.
Las fuentes documentales del siglo xvi para los Andes noroccidentales testimonian una gran diversidad en las estructuras sociopolíticas de las etnias asentadas en la región. Las fuentes mencionan tanto a grupos belicosos e indomables que “tiene[n] poco respeto a los caçiques y Señores” (Robledo, [1539-1542] 1993: 347) como a “los yndios más obedientes a sus Señores” (346). Este contraste es categorizado tempranamente bajo las nociones de “señorío” y “barbarie” por el historiador alemán Hermann Trimborn (1949). Las fuentes también mencionan desde asentamientos dispersos a la orilla de ríos y caminos (Sardela, [1541] 1993: 266; Sarmiento, [1540] 1993: 239), hasta poblados de diferente extensión en cimas y valles (Sarmiento, [1540] 1993: 252-259). Ante este panorama diverso, un liderazgo no formalizado en la cuenca de Piedras Blancas no excluye la existencia de otros tipos de estructuras sociales en las regiones vecinas.
En la cuenca de la quebrada Piedras Blancas, la existencia simultánea de obras monumentales prehispánicas, tales como el camino empedrado, y de estructuras sociales relativamente “simples”, como la que proponemos a partir de los estudios realizados, genera un desafío interesante para la teoría arqueológica y para los procesos de investigación en la región. Dicho desafío se puede expresar a través de la pregunta siguiente: ¿De qué manera sociedades relativamente “simples”, es decir, con escasa centralización y diferenciación económica, pueden llegar a producir obras civiles que implican una movilización considerable de mano de obra?
El reconocimiento de un liderazgo no institucional en Piedras Blancas de ninguna manera niega la capacidad local para movilizar a la población en torno a objetivos comunes. La etnografía de los Andes noroccidentales da testimonio de distintos mecanismos de asociación y trabajo comunitario capaces de generar obras civiles de gran importancia. A partir de esto, proponemos como hipótesis que los prestigiosos líderes locales durante el Período Tardío tuvieron la capacidad para movilizar la fuerza de trabajo con la cual se construyó el empedrado de los caminos que distinguen el paisaje de la cuenca. Sólo entre los siglos xii y xvii d. C. la población creció hasta ofrecer la mano de obra necesaria para llevar a cabo esta empresa. La gran carga simbólica del camino y de los lugares que recorre (Laguna de Guarne y miradores sobre el Valle de Aburrá), así como su carácter orientado hacia la colectividad, resultarían coherentes con la existencia de líderes apoyados sobre mecanismos de trabajo comunitario y una fuerte base ideológica.
Referencias bibliográficas
Acevedo, Jorge (2003). Aldea y sistema de canales del siglo iii d. C. en el Valle de Aburrá. Plan de Manejo Arqueológico “El Ranchito”. Predios del Sur S.A. Informe de investigación, copia disponible en Corporación Regional Autónoma del Centro de Antioquia (CORANTIOQUIA), Medellín.
Arcila, Luz Marina y Cadavid, Francisco (1999). Microverticalidad y Prácticas Económicas de las Sociedades Agroalfareras Prehispánicas Asentadas en la Vertiente Occidental del Cañón Medio del Río Porce. Empresas Públicas de Medellín y Centro de Investigaciones Sociales y Humanas de la Universidad de Antioquia (CISH). Informe de investigación, copia disponible en Laboratorio de Arqueología de la Universidad de Antioquia, Medellín.
Ashmore, Wendy y Wilk, Richard (1988). “Household and Community in the Mesoamerican Past”. En: Ashmore, Wendy y Wilk, Richard (eds.), Household and Community in the Mesoamerican Past. University of New Mexico Press, Albuquerque New Mexico, pp. 1-27.
Barba, Luís (1986). “La química en el estudio de áreas de actividad”. En: Manzanilla, Linda (ed.), Unidades habitacionales mesoamericanas y sus áreas de actividad. Instituto de Investigaciones Antropológicas, Universidad Nacional Autónoma de México, Ciudad de México, pp. 21-39.
Boada, Ana María (2009). “La producción de textiles de algodón en la política económica de los cacicazgos muiscas en los Andes Noroccidentales”. En: Sánchez, Carlos Augusto (ed.), Economía prestigio y poder. Perspectivas desde la arqueología. Instituto Colombiano de Antropología e Historia, Bogotá, pp. 272-313.
Boada, Ana María (1987). Excavación de un asentamiento indígena en el Valle de Samacá (Marín, Boyacá). Informe de investigación, Fundación de Investigaciones Arqueológicas Nacionales, Banco de la República, Bogotá.
Boada, Ana María (1998). Bases of Social Hierarchy in a Muisca Central Village of the Northeastern Highlands of Colombia. Doctor of philosophy Dissertation, Department of Anthropology, University of Pittsburgh.
Boada, Ana María (1999). “Organización social y económica en la aldea Muisca de El Venado, Valle de Samacá, Boyacá”. En: Revista Colombiana de Antropología, N.º 35, pp. 118-145.
Botero, Sofía (1999). “Gente antigua, Piedras Blancas, campos circundados. Vestigios arqueológicos en el altiplano de Santa Elena (Antioquia-Colombia)”. En: Boletín de Antropología, vol. 13, N.º 30, pp. 265-305.
Botero, Sofía y Gómez, Liliana (2010). “Arqueología de lo doméstico en Colombia”. En: Boletín de Antropología, vol. 24, N.º 41, pp. 242-282.
Botero, Sofía y Vélez, Norberto (1995). “Algunas consideraciones sobre el registro cerámico arqueológico en Antioquia”. En: Boletín de Antropología, vol. 9, N.º 25, pp. 100-118.
Botero, Sofía y Vélez, Norberto (1997). “Piedras Blancas: transformación y construcción del espacio. Investigación arqueológica en la cuenca alta de la quebrada Piedras Blancas. Informe de Prospección”. En: Boletín de Antropología, vol. 11, N.º 27, pp. 124-167.
Bourdieu, Pierre ((1980) 2007). El sentido práctico (Le sens pratique). Siglo xxi Editores, Buenos Aires.
Cárdenas Arroyo, Felipe (2000). “Excavación arqueológica de una vivienda en Buritaca-200”. En: Revista de Antropología y Arqueología, vol. 12, N.os 1-2, pp. 116-133.
Cardona, Luis Carlos; Nieto, Luis Eduardo y Pino, Jorge Iván (2007). Del Arcaico a la Colonia. Construcción del paisaje y cambio social en el Porce medio. Estudio arqueológico en el marco de la construcción de las obras principales del proyecto hidroeléctrico Porce iii. Contrato 29990427815. Informe de investigación, disponible en el Centro de investigaciones Sociales y Humanas (CISH), Universidad de Antioquia, Medellín.
Carsten, Janet y Hugh-Jones, Stephen (1995). “Introduction”. En: Carsten, Janet y Hugh-Jones, Stephen (eds.), About the House. Lévi-Strauss and Beyond. Cambridge University Press, Cambridge, pp. 1-46.
Castaño, Carlos y Dávila, Lucía (1984). Investigaciones arqueológicas en el Magdalena Medio, Sitios Colorados y Mayaca. Fundación de Investigaciones Arqueológicas Nacionales, Banco de la República, Bogotá .
Castillo, Neyla (1997). Programa de Arqueología de Rescate Porce ii. Etapa de Análisis e Interpretación. Informe de investigación, Empresas Públicas de Medellín, Universidad de Antioquia, Medellín .
Castro, Gonzalo (1999). Investigaciones arqueológicas en la cuenca alta de la Quebrada Piedras Blancas. Corregimiento de Santa Elena. Medellín. Corporación Regional Autónoma del Centro de Antioquia (CORANTIOQUIA). Copia disponible en CORANTIOQUIA, Medellín.
Cieza, Pedro de León ((1536-1555) 1945). La crónica del Perú. Espasa Calpe, Buenos Aires.
Correal, Gonzalo (1990). Aguazuque: evidencias de cazadores, recolectores y plantadores en la altiplanicie de la Cordillera Oriental. Banco de la República y Fundación de Investigaciones Arqueológicas Nacionales, Bogotá.
Drennan, Robert (1985). Regional Archaeology in the Valle de la Plata, Colombia: A Preliminary Report on the 1984 Season of the Proyecto Valle de la Plata. University of Michigan, Anne Arbor.
Drennan, Robert (2000). Las sociedades Prehispánicas del Alto Magdalena. Instituto Colombiano de Antropología e Historia (ICANH), Bogotá.
Drennan, Robert y Quattrin, Dale (1995). “Social inequality and agricultural resources in the Valle de la Plata, Colombia”. En: Price, Douglas y Feinman, Gary (eds.), Foundations of Social Inequality. Plenum Press, New York, pp. 207-233.
Duque, Luis (1943). “Excavación de un sitio de habitación en Supía”. En: Revista del Instituto Etnológico Nacional, vol. 1, N.º 1, pp. 95-115.
Duque, Luis (1981). Arqueología de San Agustín. La Estación. Fundación de Investigaciones Arqueológicas Nacionales, Banco de la República, Bogotá .
Duque, Luis (1988). Arqueología de San Agustín. Alto de Lavapatas. Fundación de Investigaciones Arqueológicas Nacionales, Banco de la República, Bogotá .
Gómez Jattin, Raúl (1995). Poesía (1980-1989). Editorial Norma, Bogotá.
Gómez Londoño, Liliana y Obregón Cardona, Mauricio (2008). “Unidades habitacionales y cambio social en el noroccidente de Suramérica”. En: International Journal of South American Archaeology, N.º 3, pp. 46-57.
González, Víctor (2007). Cambio prehispánico en la comunidad de mesitas: Documentando el desarrollo de un centro cacical en San Agustín Colombia. Memoirs in Latin American Archaeology, No.18. University of Pittsburgh y ICANH, Pittsburgh y Bogotá.
González, Víctor (2009). “Economía política del cacicazgo Mesitas”. En: Sánchez, Carlos Augusto (ed.), Economía prestigio y poder. Perspectivas desde la arqueología. Instituto Colombiano de Antropología e Historia, Bogotá , pp. 339-363.
Henderson, Hope y Ostler, Nicholas (2009). “Organización del asentamiento muisca y autoridad cacical en Suta, Valle de Leyva, Colombia: una visión crítica de los conceptos nativos sobre la casa para el estudio de las sociedades complejas”. En: Sánchez, Carlos Augusto (ed.), Economía prestigio y poder. Perspectivas desde la arqueología . Instituto Colombiano de Antropología e Historia, Bogotá , pp. 74-146.
Hernández de Alba, Gregorio (1948). “Sub-Andean Tribes of the Cauca Valley”. En: Steward, Julian (ed.), Handbook of South American Indians volume 4 The Circum-Caribbean Tribes, Smithsonian Institution, Bureau of American Ethnology, United States Government Printing Office, Washington, pp. 297-327.
Hirth, Kenneth (1993). “The Household as an Analytical Unit: Problems in Method and Theory”. En: Santley, Robert y Hirth, Kenneth (eds.), Prehispanic Domestic Units in Western Mesoamerica. Studies of Household, Compound and Residence. CRC Press, Florida, pp. 21-36.
Hugh-Jones, Christine (1979). From the Milk River: Spatial and temporal processes in northwest Amazonia. Cambridge University Press, Cambridge and New York.
Jaramillo, Luis Gonzalo (1996). Cacicazgos prehispánicos en el valle de Plata Tomo 3. La estructura socioeconómica de las comunidades del Formativo 3. Memoirs in Latin American ArchaeologyNo.10. University of Pittsburgh, Pittsburgh.
Kruschek, Michael (2003). The evolution of Bogotá chiefdom: a household view. Doctor of Philosophy Dissertation, Department of Anthropology, University of Pittsburgh.
Langebaek, Carl (1995). Regional Archaeology in the Muisca territory. A study of the Fúquene and Susa valleys. Memoirs in Latin American ArchaeologyVol. 9. University of Pittsburgh, Pittsburgh .
Langebaek, Carl (2006). “De las palabras, las cosas y los recuerdos: El Infiernito, la arqueología los documentos y la etnología en el estudio de la sociedad muisca”. En: Gnecco, Cristóbal y Langebaek, Carl (eds.), Contra la tiranía tipológica en arqueología. Una visión desde Suramérica. Universidad de los Andes Facultad de Ciencias Sociales, Ediciones Uniandes, Bogotá, pp. 21-256.
Langebaek, Carl et al. (2002). Arqueología y guerra en el valle de Aburrá: Estudio de cambios sociales en una región del noroccidente de Colombia. Ediciones Uniandes, Bogotá.
Lévi-Strauss, Claude ((1964) 2010). Mitológicas i. Lo crudo y lo cocido. Fondo de Cultura Económica, Ciudad de México.
Llanos, Héctor (1988). Arqueología de San Agustín. Pautas de asentamiento en el cañón del río Granates-Saladoblanco. Fundación de Investigaciones Arqueológicas Nacionales, Banco de la República , Bogotá .
Manzanilla, Linda (2004). “Metodología interdisciplinaria para el estudio de áreas de actividad y cambios en el uso de recursos en Teotihuacan”. En: Benavides, Antonio; Manzanilla, Linda y Mirambell, Lorena (coords.), Homenaje a Jaime Litvak. Instituto Nacional de Antropología e Historia e Instituto de Investigaciones Antropológicas,Universidad Nacional Autónoma de México, Ciudad de México , pp. 81-97.
Manzanilla, Linda (2008). “La unidad doméstica y las unidades de producción. Propuesta interdisciplinaria de estudio”. En Memoria 2007 de El Colegio Nacional (447-483). El Colegio Nacional, Ciudad de México.
Martínez, Víctor (2008). Suelos, pisos y viviendas. Aproximación a un objeto de estudio. El caso de Jericó, suroeste antioqueño. Trabajo de grado para optar al título de Antropólogo. Universidad de Antioquia, Medellín .
Obregón, Mauricio; Gómez, Liliana y Cardona, Luis Carlos (2005). “Mineros ricos y mineros pobres. Tecnología y cultura material de un contexto minero entre los siglos xvii y xix en la cuenca alta de la quebrada Piedras Blancas (Antioquia)”. En: Boletín de Antropología, vol. 19, N.° 36, pp. 11-32.
Obregón, Mauricio; Gómez Liliana y Cardona, Luis Carlos (2009). “Una trayectoria diversa. Cambio social, heterogeneidad y desigualdad en la cuenca alta de la quebrada Piedras Blancas”. En: Sánchez, Carlos Augusto (ed.), Economía prestigio y poder. Perspectivas desde la arqueología . Instituto Colombiano de Antropología e Historia, Bogotá , pp. 244-271.
Obregón, Mauricio et al. (2011). “Transformaciones antrópicas del suelo en un lugar de habitación prehispánico en los Andes noroccidentales”. En: Revista TRACE (Travaux et Recherches dans les Amériques du Centre), N.° 59, pp. 90-104.
Ochoa, Marjory (1998). Análisis y clasificación cerámica de un sitio de explotación prehispánica de sal: Mazo, corregimiento de Santa Elena, Antioquia, Colombia. Monografía de grado. Departamento de Antropología, Universidad de Antioquia. Medellín, Copia disponible en el Centro de Investigaciones Ciencias Sociales y Humanas CISH, Medellín.
Otero de Santos, Helda y Santos, Gustavo (2012). “Dinámica de cambio en las sociedades prehispánicas de la cuenca baja del Porce”. En: Porce iii. Proyecto Hidroeléctrico. Estudios de arqueología Preventiva. Medellín, Empresas Públicas de Medellín E.S.P., Universidad de Antioquia, pp. 11-229.
Otero de Santos, Helda y Santos, Gustavo (2006). Las ocupaciones prehispánicas del cañón del río Porce. Prospección, rescate y monitoreo arqueológico. Proyecto hidroeléctrico Porce iii - Obras de infraestructura. Medellín, Empresas Públicas de Medellín, Subgerencia de Proyectos Generación. Universidad de Antioquia. Copia disponible en el Centro de Investigaciones Ciencias Sociales y Humanas CISH.
Patiño Castaño, Diógenes (1988). Asentamientos prehispánicos en la costa pacífica colombiana. Fundación de Investigaciones Arqueológicas Nacionales, Banco de la República, Bogotá .
Pineda Giraldo, Roberto y Gutiérrez de Pineda, Virginia (1958). “El mundo espiritual del Indio Chocó”. En: Miscelánea Paul Rivet octogenario dicata. Tomo ii. xxxi Congreso Internacional de Americanistas UNAM, Ciudad de México, pp. 435-462.
Plazas, Clemencia y Falchetti, Ana María (1981). Asentamientos prehispánicos en el bajo río San Jorge. Fundación de Investigaciones Arqueológicas Nacionales, Banco de la República, Bogotá .
Reichel-Dolmatoff, Gerardo (1954). “Investigaciones arqueológicas en la Sierra Nevada de Santa Marta”. En: Revista Colombiana de Antropología, vol. 2, N.° 2, pp. 145-205.
Reichel-Dolmatoff, Gerado (1961). “Notas etnográficas sobre los indios del Chocó”. En: Revista Colombiana de Antropología, N.° ix, pp. 75-158.
Reichel, Dolmatoff Gerardo (1971). Amazonian cosmos: the sexual and religious symbolism of the Tukano Indians. University of Chicago Press, Chicago.
Reichel, Dolmatoff Gerardo (1976). Training for the priesthood among the Kogi of Colombia. Latin American Center Publications, University of California, Los Ángeles.
Reichel, Dolmatoff Gerardo (1988). Orfebrería y chamanismo. Un estudio iconográfico del Museo del Oro. Editorial Colina, Medellín.
Restrepo, Juan Camilo (1997). Inventario y caracterización de los ojos de agua sal en el centro de Antioquia. Medellín, Corporación Regional Autónoma del Centro de Antioquia, CORANTIOQUIA.
Robledo, Jorge ((1539-1542) 1993). “Relación de Anzerma”. En: Tovar Pinzón, Hermes (transcriptor y editor), Relaciones y visitas a los Andes Siglo xvi. Instituto Colombiano de Cultura (COLCUL- TURA) e Instituto de Cultura Hispánica, Bogotá, pp. 263-331.
Romano, Francisco (2003). “San Carlos: Documentando trayectorias evolutivas de la organización social de unidades domésticas en un cacicazgo de La Sabana de Bogotá (Funza, Cundinamarca)”. En: Boletín de Arqueología. Fundación de Investigaciones Arqueológicas Nacionales, N.° 18, pp. 3-51.
Romano, Francisco (2009). “Trayectorias evolutivas de las unidades domésticas en los cacicazgos del altiplano cundiboyacense. Los casos San Carlos y el Venado”. En: Sánchez, Carlos Augusto (ed.), Economía prestigio y poder. Perspectivas desde la arqueología Instituto Colombiano de Antropología e Historia, Bogotá , pp. 147-167.
Salgado, Héctor; Rodríguez, Carlos Armando y Bashilov, Vladirmir (1993). La vivienda prehispánica Calima. Instituto Vallecaucano de Investigaciones Científicas (INCIVA), Cali.
Sánchez, Carlos Augusto (2009). “La sociedad prehispánica del alto Magdalena: economía de subsistencia versus economía política”. En: Sánchez, Carlos Augusto (ed.), Economía prestigio y poder. Perspectivas desde la arqueología. Instituto Colombiano de Antropología e Historia, Bogotá , pp. 314-338.
Santos, Gustavo (1986). “Investigaciones arqueológicas en el oriente antioqueño. El sitio de los Salados”. En: Boletín de Antropología, vol. 6, N.º 20, pp. 45-80.
Santos Vecino, Gustavo y Otero de Santos, Helda (1995). “El Volador: las viviendas de los muertos”. En: Boletín de Antropología , vol. 9, N.º 25, pp. 11-48.
Santos Vecino, Gustavo y Otero de Santos, Helda (1996). El Volador: una ventana al pasado. Centro de Investigaciones Sociales de la Universidad de Antioquia y Secretaría de Educación y Cultura de Medellín, Medellín.
Sardela, Juan Baptista ((1541) 1993). “Relacion de lo que subcedio al magnifico senor capitan Jorge Robledo”. En: Tovar Pinzón, Hermes (transcriptor y editor), Relaciones y visitas a los Andes Siglo xvi. Instituto Colombiano de Cultura (COLCULTURA) e Instituto de Cultura Hispánica, Bogotá, pp. 263-331.
Sarmiento, Pedro ((1540) 1993). “Relación de lo que subcedio en el descobrimyento de las provincias de Antiochia, Anzerma y Cartago y cibdades que en ellas estan pobladas por el s(eno)r capita(n) Jorge Robledo”. En: Tovar Pinzón, Hermes (transcriptor y editor), Relaciones y visitas a los Andes Siglo xvi. Instituto Colombiano de Cultura (COLCULTURA) e Instituto de Cultura Hispánica, Bogotá , pp. 235-262.
Schiffer, Michael B. (1988). “¿Existe una ‘premisa de Pompeya’ en arqueología?”. En: Boletín de AntropologíaAmericana, N.º 18, pp. 5-31.
Serge, Margarita (1984). “Organización urbana en ciudad perdida”. En: Cuadernos de Arquitectura, N.º 9, pp. 1-22.
Serge Margarita (1987). “Arquitectura y urbanismo en la cultura tairona”. En: Boletín del Museo del Oro, N.º 19, pp. 87-96.
Stout, David Bond (1947). San Blas Cuna acculturation: an introduction. Johnson Reprint Corporation, New York.
Trimborn, Hermann (1949). Señorío y barbarie en el Valle del Cauca. Consejo Superior de Investigaciones Científicas, Instituto Gonzalo Fernández de Oviedo, Madrid.
Uribe Villegas, María Alicia (2005). “Mujeres, calabazos, brillo y tumbaga. Símbolos de vida y transformación en la orfebrería Quimbaya Temprana”. En: Boletín de Antropología , vol. 19, N.º 36, pp. 61-93.
Vélez, Norberto (1999). “El pueblo Aburrá de Guayabal en 1541”. En: Boletín de Antropología , vol. 13, N.º 30, pp. 221-240.
Vélez, Norberto y Botero, Sofía (1997). La búsqueda del Valle de Arví. Comisión asesora para la cultura del Concejo de Medellín, Medellín.
Wassen, Henry ((1935) 1988). Apuntes sobre grupos meridionales de Indígenas Chocó en Colombia. Reproducido de Etnologiska Studier 1 editado por Walter Kaudern Etnografiska Museet, Göte- borg. El greco Impresores, Bogotá.
Marshall, Donald Stanley (s. f.). Cuna folk: a conceptual scheme involving the dynamic factors of culture, as applied to the Cuna Indians of Darien. (En línea:) http://ehrafworldcultures.yale.edu/. (Consultado en julio de 2010).