RESEARCH METHODS: The simple moderation model and its use in business research
METODOLOGIA DE PESQUISA: O modelo de moderação simples e seu emprego no campo da administração
RESEARCH METHODS: The simple moderation model and its use in business research
Revista Eletrônica de Negócios Internacionais (Internext), vol. 13, no. 1, pp. I-IX, 2018
Escola Superior de Propaganda e Marketing

Abstract: The objective of this paper is to present the simple moderation model as a resource for testing research hypotheses in the field of business. The following topics are addressed: i) presentation of the simple moderation model - assumptions, conceptual and statistical diagrams, and model equations; ii) probing the moderating effect; and iii) recommendations on how to report it in scholarly articles. We hope to contribute to the field by disseminating the technique and good practices for presenting statistical analyses in academic articles.
Keywords: Simple moderation model, Pick-a-point analysis, Spotlight analysis, Johnson-Neyman technique, Floodlight análisis.
Resumo: O objetivo deste artigo é apresentar o modelo de moderação simples como recurso para o teste de hipóteses de pesquisa no campo da Administração. São abordados os seguintes tópicos: i) apresentação do modelo de moderação simples – pressupostos, diagramas conceitual e estatístico, e equações do modelo; ii) probing do efeito de moderação; e iii) recomendações de como reportá-lo em artigos acadêmicos. Espera-se contribuir com a disseminação da técnica e com boas práticas de apresentação de análises estatísticas em artigos acadêmicos.
Palavras-chave: modelo de moderação simples, pick-a-point analysis, spotlight analysis, Johnson-Neyman technique, floodlight analysis.
1. INTRODUCTION
Hypothesis tests, in the statistical sense, constitute an important stage of theoretical-empirical works using a quantitative approach. Research hypothesis should be prepared based on theories, and it is the responsibility of the researcher to ensure that the mechanisms behind the expected relationships between the variables in the study are made clear. How these relationships occur and under which circumstances are important questions in the development of the theory, and models with moderation can help to understand the process under study better.
In this text, we decided to address a highly specific but common situation: the use of the simple moderation model and its estimation with the use of linear regression. The following topics are addressed: i) presentation of the simple moderation model (assumptions, conceptual and statistical diagrams and model equations); ii) probing the effect of moderation; and iii) recommendations on how to report it in academic articles. We hope that this text is easy for researchers without extensive quantitative training to read. All that is needed to understand the explanation that follows is knowledge of the multiple linear regression model.
The Simple Moderation Model
To better understand the simple moderation model, let us begin by recalling the interpretation of the coefficients of a linear regression model with two predictive variables as follows:
(Equation 1)
Where Y is the dependent variable and X1 and X2 are independent variables.
E(Y) is the expected value of Y for given values of X1 and X2.
𝛽0,𝛽1,𝛽2 are the coefficients of the multiple linear regression model.
With sample data, the following estimated regression equation is obtained:
(Equation 2)
Where 𝑦̂ is the estimation of the expected value of Y for given values of X1 and X2.
𝑏0,𝑏1,𝑏2 are estimations of 𝛽0,𝛽1,𝛽2.
The intercept, b0, may be interpreted as the estimated value of Y when X1 and X2 assume the value of zero (in many situations, however, X1 and X2 will not assume the value of zero, and b0 will only be a support parameter, without relevant substantive interpretation).
The coefficient b1 is interpreted as the estimated variation expected in Y for a unitary variation in X1, with the value of X2 remaining constant. The coefficient b2, in turn, is interpreted as the estimated variation expected in Y for a unitary variation in X2, the value of X1 remaining constant. An important point to highlight is that the expected variation in Y, resulting from a unitary variation in X1, is independent of the level at which X2 is set. Therefore, it can be said that the effect of X1 on Y is unconditional to X2. The analogous interpretation extends to the effect of X2 on Y, which is unconditional to X1.
We now present the concept of the moderating variable. According to Hayes (2017, p. 208): “The effect of an independent variable X on a dependent variable Y is moderated by the variable M if its size, sign or strength depends on or can be predicted by M. In that case, M is said to be a moderator of X’s effect on Y or that X and M interact in their influence on Y”.
When there is moderation of a variable (which we will call M) on the relationship between two others (which we will call X and Y), it is said that the effect of X on Y is conditional to the level of the moderating variable M.
An algebraic device that allows this moderation effect to be modeled (and tested) is the incorporation of a term corresponding to the multiplication of X by M in the regression equation, as shown in Equation 3. This term is called interaction between X and M.
(Equação 3)
Where Y is the dependent variable, X the independent variable and M the moderating variable.
E(Y) is the expected value of Y for given values of X and M.
𝛽0,𝛽1,𝛽2,𝛽3 are the coefficients of the multiple linear regression model
With sample data, the following estimated regression equation is obtained
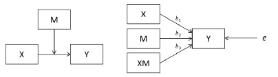
(Equation 4)This simple moderation model can be represented by the conceptual and statistical diagrams shown in Figure 1.

The interpretation of b3 requires attention. As we have said, the inclusion of the term of interaction (XM) enables the effect of X on Y to become conditional to the moderator. In other words, the effect of X on Y is different for different values of the moderating variable.
To illustrate this point, consider a study in which the independent variable X represents an orientation index for participative management (part_mana), measured on a continuous scale of 1 to 7. The dependent variable Y is a frugal innovation (frugal_innov) index, measured on a continuous scale of 10 to 70, and the moderator M (decentral) indicates the company’s type of decision-making structure: 0 (centralized) or 1 (decentralized). By running the simple moderation model, the following calculation was obtained:

When the participative management index is equal to 3 and M = 0 (the decision structure is centralized), the estimation of the frugal innovation index, Y, will be equal to

By increasing the participative management index (X) from 3 to 4 (maintaining M = 0), the estimation of the frugal innovation index (Y) will increase by 1.95 units:

Using the same calculation, now with M = 1 (decentralized decision-making structure), we would have:
For the participative management index X = 3:

For the participative management index X = 4:

Note that now, by increasing the participative management index from 3 to 4, in a company with a decentralized decision structure, the estimated increase in the frugal innovation index (Y) is 6.51 units (33.97 – 27.46 = 6.51). This means that, in companies with a more centralized structure (M = 0), the effect of participative management on frugal innovation is weaker than between companies with a decentralized decision-making structure (M = 1).
Graphically, this effect may be represented as follows:

In a model without moderation, the differences in the estimations would be equal, i.e., the lines would be parallel, as shown in Graph 2. Geometrically, therefore, the existence of the moderation effect can be visualized by the different inclinations of the lines that relate X and Y to different levels of M. If these lines were parallel, we would say that the effect of moderation was non-existent.

Statistical inference for the effect of moderation
It is necessary for a researcher to have statistical evidence that the term of interaction is other than zero for his moderation hypothesis to be accepted. For this purpose, it is necessary to formally test the null hypotheses that 𝛽3=0 versus the alternative hypothesis that 𝛽3≠0. This text can be done using the PROCESS macro developed by Hayes (2017) for SAS and SPSS software, now available for R software through the runMEDMOD application. This macro can analyze diverse mediation and moderation models and is indicated for analyzing models with moderation and/or mediation based on regression.
Table 1 shows the (partial) output of the PROCESS macro for the previous model with moderation. The ‘coeff’ column of Table 1 shows the coefficients of the equation and column ‘p’, the p-value associated with each coefficient. Note that, as the p-value of the interaction (INT_1) between the variables X (part_mana) and M (decentr) is lower than 0.05 (with 0.05 being a suggestion of the level of significance to be adopted n the analysis), there is statistical evidence of moderation in the relationship between X and Y.

Statistical test for the conditional effect of X on Y
As seen above, the effect of X on Y depends on the value of the moderating variable M. For M = 0, the effect is 𝜃𝑋→𝑌=1.95 and when M = 1, the effect is 𝜃𝑋→𝑌=1.95+4.56×1=6.51.
Both effects are not always statistically significant. X may only have an effect on Y when M = 1 or when M = 0. The PROCESS macro provides these tests, as shown in Table 2.

Note that the p-value of the effect (‘p’ column in Table 2), in both values of M, is lower than 0.05. Therefore, there is statistical evidence of the effect of X on Y when M = 0 and when M = 1.
Model with quantitative moderating variable
In the following example, the variable M (level of centralization-decentralization of the decision structure), now measured on a continuous scale of 1 to 7, will be used to moderate the effect of the variable X (participative management) on Y (frugal innovation). The higher the value of M, the more decentralized the company’s decision-making structure is. Table 3 shows the (partial) output of the PROCESS macro for the simple moderation model. The term of integration, INT_1, is significant (p-value<0.01), which shows that there is moderation. It is important to highlight that when preparing a model with moderation, the variables related to interaction must not be eliminated, even if the p-values and their coefficients are high. Therefore, the independent variable part_mana must be maintained in the model even if the p-value is close to 1.

In this model, the conditional effect of X on Y is 𝜃𝑋→𝑌|𝑀=−0.04+1.11𝑀. This means that the effect of X on Y increased by 1.11 units when we increase the level of decentralization in a unit. The effect of participative management on the frugal innovation index increases as the company’s decision structure becomes more decentralized. The increase of the effect is visualized in Graph 3: as the level of decentralization M increases, the effect of X on Y (illustrated by the inclination of the line) increases.

The coefficient -0.04, which proved to be statistically insignificant, is the effect of X on Y when M = 0. This coefficient has no substantive interpretation as the variable M assumes values between 1 and 7. Therefore, mean centering the variable can be useful when it comes to interpreting the coefficient (Hayes & Matthes, 2009; Hayes, 2017). Mean centering the variable is not compulsory, but can help researchers to facilitate the interpretation of the coefficients of the moderation model. The coefficient 4.13, shown in Table 4, is the effect of X on Y for M = 3.755 (mean of the variable). Note that for the output of the model without centralization, we could reach the value of 4.13: all we have to do is calculate -0.04+1.11.3.755.

Probing the interaction
With a significant term of interaction, probing is useful. The first and most frequently used probing technique is called pick-a-point or spotlight analysis (Rogosa, 1980; Bauer & Curran, 2005). In this procedure, some values of the M variable are chosen, and for each value the conditional effect of X on Y is calculated and the significance of this effect is tested. When M is a quantitative variable, the most usual (albeit arbitrary) values are the sample mean (zero, when the model is mean centered) and the points located at one standard deviation below and above the mean. Table 5 shows the output of the PROCESS macro for the probing of the mean centered moderation model.

At the three points analyzed, there is statistical evidence of the effect of participative management on frugal innovation.
Quantiles of the distribution of M can also be chosen for analysis. By selecting this option, the macro analyzes the conditional effect on the quantiles 0.10, 0.25, 0.50, 0.75 and 0.90 of the moderating variables, as shown in Table 6. For the quantile 0.10, which corresponds to the centered value -2.74, there is no statistical evidence of the effect of X on Y, as the p-value is higher than 0.05.

It is also possible to verify for which points of M the effect of X on Y is statistically significant. This technique is called the Johnson-Neyman or floodlight analysis (Spiller et al., 2013), and has appeared more frequently in scientific articles.
When this option is selected, the PROCESS macro shows the data interval (if there is one) in which the effect is statistically significant. In the example, for centered values of the decentralization level lower than -2.21, with 95% confidence, there is no evidence of the effect of X on Y (the lower limit crosses zero, as shown in Graph 4).

In short, we conclude that for very low decentralization levels there is no evidence of the effect of participative management (X) on frugal innovation (Y). The higher the level of decentralization, the greater the effect.
Recommendations on how to report the simple moderation model in academic articles
Researchers who wish to publish the results of their studies in a scientific periodical have to be careful on several points when it comes to the effect of moderation.
First, support the research hypothesis with theory.
Second, analyze and report on whether the assumptions necessary for the use of the model are met. The assumptions of the simple moderation model in question are the same as those of the multiple linear regression model: independent, homoscedastic and normally distributed residuals.
Third, with the term of interaction significant, it is useful to probe the moderation. In the case of the quantitative moderating variable, there are two ways: spotlight analysis and floodlight analysis. We recommend using floodlight analysis (Johnson-Neyman technique), as it offers a broader vision of the regions of significant of the effect of moderation (it is not restricted to analyzing some points).
Fourth, interpret the moderation, not only with regard to statistical significance, but also in relation to the substantive meaning, using vocabulary from the context of the problem in question. Graphically representing the effect of the moderation can also be helpful.
The use of moderation models to produce scientific articles remains evident. A search conducted in March of 2018 in the Google Scholar database, using the terms “international business; Hayes’ PROCESS macro” resulted in several dozens of articles published in the last five years. These studies include Huang et al. (2017), who used the simple moderation model to examine how the perception of government proximity (defined by response capacity and transparency) influences citizens’ perceptions of the government and the relationship between political trust and political participation in continental China. Another study is that of Wurthmann (2017), who found evidence that the influence of the type of breach of contract on moral intensions is mediated by moral conscience. This relationship of mediation, in turn, is moderated by the implicit theories of the observers. In the field of international marketing, Mota (2014) tested moderated mediation relationships to identify cultural idiosyncrasies between Brazilian and Canadian consumers.
The aim of this article was to analyze simple moderation mo dels based on linear regression. More complex models involving moderators and mediation, although not the object of analysis of the present text, can also be useful to test hypotheses of theoretical relationships.
REFERENCES
▪ Bauer, D. J., & Curran, P. J. (2005). Probing interactions in fixed and multilevel regression: inferential and graphical techniques. Multivariate Behavioral Research, 40(3), 373–400.
▪ Hayes, A. F. (2017). Introduction to mediation, moderation, and conditional process analysis, second edition: a regression-based approach. The Guilford Press, 692 p.
▪ Hayes, A. F., & Matthes, J. (2009). Computational procedures for probing interactions in OLS and logistic regression: SPSS and SAS implementations. Behavior Research Methods, 41(3), 924–936.
▪ Huang, Y.-H. C., Ao, S., Lu, Y., Ip, C., & Kao, L. (2017). How trust and dialogue shape political participation in mainland China. International Journal of Strategic Communication, 11(5), 395-414.
▪ Mota, M. O. (2014). Mensurando moderações: uma pesquisa transcultural e comparativa no consumo de serviços entre brasileiros e canadenses. Internext – Revista Eletrônica de Negócios Internacionais, 9(2), 39-58.
▪ Rogosa, D. (1980). Comparing nonparallel regression lines. Psychological Bulletin, 88(2), 307–321.
▪ Spiller, S. A., Fitzsimons, G. J., Lynch, J. G., & McClelland, G. H. (2013). Spotlights, floodlights, and the magic number zero: Simple effects tests in moderated regression. Journal of Marketing Research, 50(2), 277–288.
▪ Wurthmann, K. (2017). Implicit theories and issue characteristics as determinants of moral awareness and intentions. Journal of Business Ethics, 142(1), 93-116.
Author notes
mateus.ponchio@gmail.com
Additional information
To cite this article: Ponchio, M. C. and Correio, A. S. (2018) The simple moderation model and its use in business research. Internext – Review of International Business,
13 (1), I-IX. DOI: http://dx.doi.org/10.18568/1980-4865.131I-IX