Artículos

Recepción: Junio , 28, 2020
Aprobación: Julio , 15, 2020
Publicación: Septiembre , 07, 2020
DOI: https://doi.org/10.5281/zenodo.4263365
Resumen: El almidón es uno de los biopolímeros naturales más utilizados en la industria cosmética, debido a que es un producto amigable con el ambiente, abundante y de bajo costo. Sin embargo, su estructura debe ser modificada para un mayor aprovechamiento de sus características físicas, químicas y mecánicas. Actualmente existen más de 15.000 publicaciones en donde los almidones de diferentes especies vegetales están relacionados con alguna modificación química mediante reacciones de esterificación con Anhídrido Acético, Octenil Succínico Anhidro (OSA) y Anhídrido Dodecenil Succínico (DDSA), según la búsqueda realizada en diferentes bases de datos hasta julio de 2020. Esto confirma la amplia utilidad de los almidones modificados que pueden ser utilizados como excipientes en diferentes productos de gran utilidad para la humanidad.
Palabras clave: Almidón, Modificación química, Esterificación, Anhídrido acético, DDSA, OSA.
Abstract: Starch is one of the most widely used natural biopolymers in the cosmetic industry, because it is an environmentally friendly, abundant, and inexpensive product. However, its structure must be modified for greater use of its physical, chemical, and mechanical characteristics. There are currently more than 15,000 publications in which starches of different plant species are related to some chemical modification by esterification reactions with Acetic Anhydride, Octenyl Succinic Anhydride (OSA) and Dodecenyl Succinic Anhydride (DDSA), according to the search carried out in different databases until July 2020. This confirms the extensive use of modified starches that can be used as excipients in different products of great utility to humanity.
Keywords: Starch, Chemical modification, Esterification, Acetic anhydride, DDSA, OSA.
Introducción
Los cosméticos son productos utilizados en todo el mundo con la finalidad de mejorar la apariencia, gran parte de ellos son hechos utilizando emulsiones. En la industria cosmética, existe gran variedad de agentes emulsificantes, pero pocos de estos productos tienen como característica adicional: humectar, suavizar, hidratar y relajar la piel; como es el caso del almidón1.
El almidón es uno de los biopolímeros naturales más abundantes de la naturaleza. El mismo ha sido ampliamente estudiado debido a su bajo costo, biodegradabilidad y disponibilidad2. Se encuentra en gran variedad de tejidos de origen botánico, incluyendo frutos, semillas, hojas y tubérculos3.
Estructuralmente el almidón es un poliglicano (polímero de unidades de D-glucosa), compuesto por una mezcla de polisacáridos conformada por amilosa (20%), amilopectina (80%), y una fracción minoritaria (de 1% a 2%) de conformación no glucosídica como lípidos y minerales, aunque esto depende de su origen botánico4.
El almidón se compone únicamente de residuos de glucosa, que están unidos entre sí a través de enlaces α-1,4 y enlaces ramificados α-1,6, para formar amilosa y amilopectina. La amilosa es principalmente lineal con muy pocas ramas, mientras que la amilopectina es muy ramificada. La proporción y la organización física de estos dos polímeros dentro de la estructura del gránulo le confieren propiedades fisicoquímicas y funcionales propias a cada tipo de almidón2.
El uso del almidón en su estado nativo tiene algunas limitaciones debido a su fragilidad, estabilidad térmica, tendencia a la retrogradación, al deterioro de las propiedades mecánicas, a su alta viscosidad y su incompatibilidad con algunos solventes y polímeros5.
La modificación química se ha constituido en una estrategia eficiente para mejorar las propiedades funcionales de los almidones nativos y con ello permitir su uso en aplicaciones específicas6, estas modificaciones están directamente relacionada con las reacciones de los grupos hidroxilo del polímero de almidón7. En el presente documento se realizará la revisión de las investigaciones sobre la modificación química del almidón mediante reacciones de esterificación.
Los almidones sustituidos de interés industrial son principalmente producidos por reacciones de esterificación, siendo esta la reacción que involucra la sustitución de grupos hidroxilos por grupos éster. El grado de sustitución está relacionado con la modificación química e indica el promedio del número de sustituciones por unidad de anhidroglucosa en el almidón. El máximo grado de sustitución (GS) es 3 debido a que se presentan tres grupos hidroxilo disponibles por unidad de anhidroglucosa8. Los almidones pueden ser esterificados usando diferentes tipos de ácidos inorgánicos y orgánicos, anhídridos y cloruros de acilos9.
La introducción de un grupo éster en el polisacárido constituye un desarrollo importante debido a que permitirá modificar la naturaleza hidrofílica y así obtener cambios significativos en las propiedades mecánicas y térmicas de la molécula10.
Metodología
En esta investigación se realizó una búsqueda exhaustiva en las bases de datos PubMed, Scopus, Google Scholar y Scielo para encontrar artículos que brindan un panorama de las diferentes modificaciones químicas tipo esterificación y su potencial uso en la industria cosmética.
La búsqueda se llevó a cabo hasta julio de 2020, mediante minería de textos con el fin de detectar asociaciones con citas entre las frutas y diferentes actividades biológicas. Teniendo en cuenta las fechas de publicación y el país de origen. Para realizar la minería de datos se utilizaron las palabras claves reconocidas a través de revisiones de literatura utilizando varios motores en línea destinados a la minería, tales como GoPubmed (http://gopubmed.org/web/ gopubmed/), PubGraph (http://datamining.cs.ucla.edu/cgi-bin/pubgraph.cgi) y helioblast (http://helioblast.heliotext.com/). La información obtenida se organizó con el fin de identificar la modificación química y las ventajas obtenidas frente a los almidones nativos.
Resultados y discusión
El almidón es un biopolímero que sirve como reserva de hidratos de carbono en muchas plantas, incluyendo cereales, raíces, tubérculos, semillas y frutas. El almidón dentro de las células, se acumula en un sitio llamado amiloplasto, un tipo de leucoplasto, u orgánulos celulares eucarioticos que se encuentran en células vegetales no expuestas a la luz, carecen de clorofila y se caracterizan por contener gránulos de almidón3-11.
Los gránulos pueden variar en forma, composición, tamaño, estructura y química, en función del origen del almidón12. El almidón está constituido esencialmente por una mezcla de polisacáridos conformada por amilosa y la amilopectina, y una fracción minoritaria (de 1% a 2%) de conformación no glucosídica. La mayoría de los almidones en su estructura glucosídica está conformada por 20% de amilosa, y el restante 80% de amilopectina3. El tamaño, forma y estructura de los gránulos de almidón varía con la fuente botánica. El diámetro de los gránulos oscila de 1 a 100 micras y su forma puede ser regular o irregular13.
Estructura química del almidón
El almidón es una mezcla de los polisacáridos amilosa y amilopectina cuya proporción varía de un tipo a otro según sea su fuente.
La amilosa es esencialmente un polímero, en el cual las unidades de anhidro glucosas están presentes y unidas en mayor parte por enlaces glucosídicos α(1-4) y un leve grado de ramificación en enlaces α(1-6) (Figura 1). La molécula tiene un peso molecular promedio de 105 a 106 g/mol3. La amilosa tiene una estructura helicoidal, en el interior de la hélice, contiene átomos de hidrógeno, mientras que los grupos hidroxilos permanecen en el exterior. La presencia de átomos de hidrógeno en el interior de la hélice confiere una característica hidrófoba a la amilosa y le permite formar complejos con ácidos grasos libres, con componentes glicéridos de ácidos grasos, yodo y algunos alcoholes9-13.
La amilopectina es una macromolécula ramificada con cadenas lineales cortas unidas por enlaces glucosídicos α1-6. Contiene de 10 a 60 unidades de glucosa y las cadenas laterales con 15 a 45 unidades de glucosa con un promedio de 5% de los enlaces α1-6 en puntos ramificados. El peso molecular de la amilopectina es de aproximadamente 1000 veces superior al peso molecular de la amilosa y oscila entre 1x107a 5 x108 g / mol (Figura 2).
Las cadenas de amilopectina están dispuestas radialmente dentro del gránulo con sus extremos terminales no reductoras orientadas hacia la superficie, con alternancia de zonas cristalinas (como una doble hélice) y zonas amorfas (con las regiones de los puntos de ramificación)14,15,16.
La funcionalidad y propiedades del almidón, como la resistencia mecánica y la flexibilidad, relacionadas con el carácter de la región cristalina, dependen de la relación entre la amilosa y la amilopectina, del grado de ramificación y de la distribución del peso molecular17.
Almidón Modificado
El almidón modificado puede conseguir propiedades funcionales que no se encuentran en los almidones nativos que, a pesar de ser un estabilizador de buena textura, presenta limitaciones tales como la resistencia de bajo cizallamiento, descomposición térmica y elevada tendencia a la retrogradación limitando así sus usos en algunas aplicaciones industriales13. Los almidones modificados son, consecuentemente, productos con mayor valor agregado12
El almidón modificado se logra generalmente mediante derivatizaciones tales como eterificación, esterificación y descomposición del almidón por tratamientos físicos utilizando calor, humedad, modificación genética o combinaciones de estas2-18.
Esterificación
La esterificación es una reacción en la que se da un ataque nucleofílico del oxígeno de la molécula que contiene el grupo OH al carbono insaturado que contiene el grupo carboxílico. Además, necesita de un catalizador como lo es el NaOH que se encarga de aumentar la carga parcial positiva sobre el átomo de carbono (actividad carbonílica) por protonación de uno de los oxígenos del agente con el grupo carboxílico, dando como producto un enlace éster y una molécula de agua19.
Generalmente, los almidones que son esterificados son llamados estabilizados. El almidón es estabilizado mediante la introducción de grupos monofuncionales, como los grupos acetilo, hidroxilo, etc., a largo de las cadenas del polímero. Debido a la introducción de los grupos funcionales en la estructura del almidón, estos sustituyen los enlaces de hidrógeno entre las cadenas, alterando su organización19.
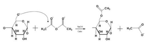
Anhídrido acético
Un tipo de esterificación de almidón muy común es la acetilación, que implica la introducción de grupos acetilos (-COCH3) más hidrofóbicos a lo largo de la cadena del almidón2 (Figura 3).

La incorporación de grupos acetilos interrumpe la linealidad de la amilosa o segmentos de amilopectina, lo que provoca la re-asociación de las cadenas de almidón hacia una estructura ordenada luego de la gelatinización y enfriado del producto (retrogradación). Este tipo de esterificación proporciona a las moléculas de almidón termo plasticidad, hidrofobicidad y compatibilidad con otros aditivos2 (Tabla 1).

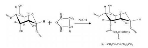
Anhídrido Dodecenil Succínico (DDSA)
Comúnmente, la introducción del grupo hidrofóbico alifático del DDSA con un alto grado de sustitución dentro de la estructura del almidón (Figura 4) modifica sus propiedades superficiales y le permite establecer una fuerte interacción en la interfase agua/aceite dándole a la emulsión resistencia a la reaglomeración29.

Es importante resaltar que el mecanismo por el cual realizan la estabilización puede ser electrostática o estérica. Los almidones modificados con DDSA pueden funcionar como estabilizadores electrostáticos, aunque debido al tamaño de las moléculas en relación con el número de grupos cargados, su función es principalmente estérico.
Esto convierte al almidón en un emulgente eficaz para obtener surfactantes que sirvan para estabilizar sistemas bifásicos agua-aceite como lo son cremas y lociones de uso dermatológico (Tabla 2) 11-44.
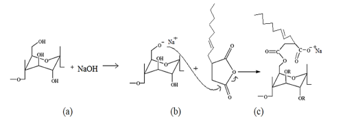
Los pasos de la reacción de succinatación del almidón: a) Formación de la sal de almidón; b) Ataque de la sal de almidón sobre el anhídrido succínico; c) Producto final (Figura 5).

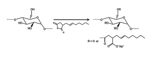
Octenil Succínico Anhidro (OSA)
En la modificación química de almidón por medio de Octenil Succínico Anhidro (OSA), ocurre la adición de grupos bifuncionales hidrofílicos e hidrofóbicos a la molécula. Los grupos OH disponibles en el almidón son atacados y se le quita un protón para posteriormente formarse un éster con el grupo OSA adicionado36 (Figura 6).

Este tipo de almidones modificados son usados en formulaciones cosméticas como agentes antiaglomerantes, además presentan propiedades estabilizantes, encapsulantes, interfaciales, térmicas y reológicas (Tabla 3)30-50

Conclusiones
Los almidones sustituidos de interés industrial son principalmente producidos por reacciones de esterificación, la introducción de un grupo éster en el polisacárido permite modificar la naturaleza hidrofílica y obtener cambios significativos en las propiedades mecánicas y térmicas.
Los almidones pueden ser esterificados usando diferentes tipos de acilantes y los porcentajes de sustitución, son directamente proporcionales a la cantidad de reactivo utilizado, estos confieren al almidón la capacidad de generar productos con propiedades específicas deseables que no tienen los almidones nativos. Mediante la revisión de artículos, se demuestra que la esterificación del almidón con Anhidro Dodecenil succínico (DDSA) incrementa principalmente su capacidad emulsificante; el uso de Anhídrido acético proporciona termo plasticidad, hidrofobicidad, estabilidad térmica; por otro lado, la utilización de Octenil Succinico Anhidro (OSA), presenta propiedades estabilizantes, absorbentes. Todas estas modificaciones mejoran además de los perfiles de viscosidad de los almidones, contribuyen en la industria cosmética al desarrollo de formulación tipo talcos, cremas, maquillajes, polvos faciales, polvos compactos, etc.
En resumen, el uso de almidones modificados por reacciones de esterificación es una excelente alternativa para la formulación de productos cosméticos de mayor calidad, mejores costos y con un impacto ecológico positivo.
Agradecimientos
Los autores agradecen a la Corporación Universitaria Rafael Núñez, a la Universidad de Cartagena y al programa Delfín Capitulo Colombia, por facilitar espacio, recursos y tiempo de los investigadores.
Referencias
1. López S, Ozaeta G. Extracción de almidón a partir de arroz de rechazo molido como viscosante en la elaboración de cinco cosméticos. [Tesis de grado]. Guatemala: Facultad de Ciencias Químicas y Farmacia, Universidad de San Carlos de Guatemala. 2013.
2. Tupa M. Modificación organocatalítica de almidón para la obtención sostenible de derivados de alto valor agregado. [Tesis doctoral]. Buenos Aires: Instituto de Tecnología en Polímeros y Nanotecnología, Universidad de Buenos Aires. 2019.
3. Peñaranda O, Perilla J, Algecira N. Revisión de la modificación química del almidón con ácidos orgánicos. Rev Ing e Inv. 2008;28(3):47–52.
4. Montoya I D, MurilloII W, Barbosa L, Méndez J. Acetilación enzimática de almidones: una opción de valor agregado. Rev Tumbaga. 2015;1(10):88–107.
5. Lefnaoui S, Moulai-Mostefa N. Synthesis and evaluation of the structural and physicochemical properties of carboxymethyl pregelatinized starch as a pharmaceutical excipient. Saudi Pharmaceutical Journal. 2015;23(6):698-711.
6. Torrenegra M, León G, Matiz E, Sastoque J. Lipofilización del almidón de Dioscorea rotundata P. y su posible uso como agente emulsificante. Rev Cubana de Farmacia. 2015; 49(4):605 – 617.
7. Fang J, Fowler P, Sayers P, Williams P. The chemical modification of a range of starches under aqueous reaction condition. Carbohydrate Polymers. 2004; 55(3):283–289.
8. Guan J, Fang Q, Hanna M. Functional Properties of Extruded Acetylated Starch-Cellulose Foams. Journal of Polymers and the Environment. 2004; 12:57–63.
9. Aristizábal J, Sánchez T. Guía técnica para producción y análisis de almidón de yuca. Organización de las Naciones Unidas para la Alimentación y Agricultura (FAO). 2007;33–39.
10. Kapuśniak J. Thermal Solid State Reactions of Potato Starch with α-Hydroxy Acids. Journal Polym Environ. 2005;13: 307–318.
11. Bello L, Contreras S, Romero R, Solorza J, Jiménez A. Propiedades químicas y funcionales del almidón modificado de plátano Musa paradisiaca L. Agrociencia. 2002;36(2):169-180.
12. Zavareze ER, Pinto VZ, Klein B, Halal SLM, Elías MC, Prentice-Hernández C, Dias ARG. Development of oxidized and heat-moisture treated potato starch film. Food Chem. 2012;132: 344-350.
13. Stasiak M, Molenda M, Horabik J, Mueller P, Opalińsk I. Mechanical properties of potato starch modified by moisture content and addition of lubricant. Int grophys. 2014; 28:501-509.
14. MC MURRY J. Química Orgánica.3ra Ed. México: Iberoamérica. 2008; 1352 p.
15. Miranda, AG, Soto JLM, Ruiz IG. Parcial caracterización de nuevos almidones obtenidos del tubérculo de camote del cerro (Dioscorea spp). Revista Iberoamericana de Tecnología Postcosecha. 2008; 9(1):81-88.
16. Kulkarni SD, Sinha BN, Kumar KJ. Synthesis, characterization and evaluation of release retardant modified starches of Lagenaria siceraria seeds. International journal of biological macromolecules. 2013; 6: 396-403.
17. Zhu F. Structure, physicochemical properties and uses of millet starch. Food Res Int. 2014; 64:200-211
18. Masina N, Choonara YE, Kumar P, du Toit LC, Govender M, Indermun S, Pillay V. A review of the chemical modification techniques of starch. Carbohydr Polym. 2017; 157:1226-1236.
19. Carrascal-Sánchez J. Acetilación del almidón de Arracacia xanthorrhiza y evaluación de su aplicación como posible auxiliar farmacéutico. Universidad Nacional de Colombia. 2013.
20. Korma S, Alahmad K, Sobia N, Al-Farga A, Farah Z, Tao Z. Chemically Modified Starch and Utilization in Food Stuffs. International Journal of Nutrition and Food Sciences. 2006; 5:264–272.
21. Rivas M, Zamudio P, Bello L. Efecto del grado de acetilación en las características morfológicas y fisicoquímicas del almidón de plátano. Revista Mexicana de Ingeniería Química. 2009;8(3):291-297.
22. Lawal O. Succinyl and acetyl starch derivatives of a hybrid maize: physicochemical characteristics and retrogradation properties monitored by differential scanning calorimetry. Carbohydrate Research. 2004;399(16):267-382.
23. Sulbarán A, Matiz G, Baena Y. Acetilación del almidón de millo (Pennisetum glaucum) y evaluación de su aplicación como posible excipiente. Rev Colomb Cienc Quím Farm. 2018;4.(2): 255-276.
24. Vargas G, Martínez P, Velezmoro C. Propiedades funcionales de almidón de papa (Solanum tuberosum) y su modificación química por acetilación. Scientia Agropecuaria. 2018; .:223-230.
25. Arenas C, Pedraza D. Evaluación del proceso de modificación de almidón de papa mediante acetilación y oxidación, para su aplicación como excipiente en la industria farmacéutica a nivel laboratorio. [Tesis de grado]. Colombia: Programa de Ingeniería Química, Fundación Universidad De América. 2017.
26. Vargas NG. Síntesis y caracterización de un almidón modificado de papa (Solanum tuberosum) (var. Única) para su aplicación en un helado soft. [Tesis de grado]. Perú: Facultad de Industrias Alimentarias, Universidad Nacional Agraria La Molina. 2015.
27. Salcedo J, Rodríguez M, Figueroa J. Efecto de la acetilación en las propiedades estructurales y funcionales de almidones de yuca (Manihot esculenta Crantz) y ñame (Dioscorea alata cv. Diamante 22). Rev Mexicana de Ingeniería Química. 2016;15(3):787-796.
28. Prieto J, Trejo C, Prieto F, Méndez A, Bello L, Román A. Acetilación y caracterización del almidón de cebada. Rev Latinoamericana de Recursos Naturales. 2010;6(1):32-43.
29. Caro M, Torrenegra M, Osorio M, León G, Pájaro P. Evaluación del impacto ambiental del proceso de modificación química de almidones nativos como potenciales excipientes en la industria cosmética. Rev Colomb Cienc Quim. Farm. 2018; 47(2):217-231.
30. Sweedmana MC, Tizzotti MJ, Schäferb C, Gilberta RG. Structure and physicochemical properties of octenyl succinic anhydride modified starches: A review. Carbohydrate Polymers. 2013; 92:905-20.
31. Chi H, Xu K, Xue D, Song C, Zhang W, Wang P. Synthesis of dodecenyl succinic anhydride (DDSA) corn starch, Food Research International. 2007; 40:232-8.
32. Matiz G, Fuentes K, León G. Microencapsulación de aceite esencial de tomillo (Thymus vulgaris) en matrices poliméricas de almidón de ñame (Dioscorea rotundata) modificado. Rev Colomb Cienc Quím Farm. 2015;44(2):189–207.
33. Fernández M, Martínez J. Evaluación del almidon lipofilizado de Ñame espino (Dioscorea rotundata) como excipiente en la fabricación de maquillajes tipo pestañas y bases faciales. [Tesis de grado]. Colombia: Grupo de Investigación en Tecnología Farmacéutica, Cosmética y de Alimentos (GITFCA), Universidad de Cartagena. 2012.
34. Páez A, Bernal C, Hernández L, Muñoz L. Emulsiónes tipo pickering a base de almidones modificados como agentes emulsificantes. Rev de Investigación. 2018;11(1):127–139.
35. Li G, Xu X, Zhu F. Physicochemical properties of dodecenyl succinic anhydride (DDSA) modified quinoa starch. Food Chemistry. 2019; 300:125201.
36. Velásquez Barreto, F. Obtención y aplicación de almidones modificados por esterificación (OSA) a partir de almidones nativos provenientes de tubérculos andinos. [Tesis doctoral]. Perú: Escuela De Posgrado Doctorado En Ciencia De Alimentos, Universidad Nacional Agraria La Molina; 2019.
37. Bernal C, Leal A, Garzón J. Obtención, a escala de laboratorio, de octenilsuccinato alumínico de almidón de quinua, con miras a su utilización en un producto cosmético. Rev Virtual Pro. 2009; 95:15 – 34.
38. Hui R, Qi-he C, Ming-liang F, Qiong X, Guo-qing H. Preparation and properties of octenyl succinic anhydride modified potato starch. Food Chemistry. 2009;114(1):81–86.
39. Li Y, Cui F, Ping L, Song J, Ravee Y, Jin L, Xue Y, Xu J, Li G, Wang Y, Zheng Y. Production of octenyl succinic anhydride-modified waxy corn starch and its characterization. Journal of Agricultural and Food Chemistry. 2020;56(23):11499–11506.
40. Bhosale R. Singhal R. Process optimization for the synthesis of octenyl succinyl derivative of waxy corn and amaranth starches. Carbohydrate polymers. 2006; 66:521–527.
41. Bernal C, Cardenas O, Daza P, Echeverri A, Rozo W. Octenil succinato alumínico de almidón de quinua - grado cosmético - y su certificación bajo la denominación de "ingrediente natural". Fundación Universidad de América. 2014;38–49.
42. Cruz M, Rangel E, Castro J, Gómez C, Fonseca H. Propiedades fisicoquímicas y funcionales de mezclas de almidones de yuca (cerosa y normal), químicamente modificados y su posible aplicación como material pared. Universidad Autónoma del Estado de Hidalgo. 2017; 3.
43. Torrenegra-Alarcón M, Osorio-Fortich M, León-Méndez G, González-Petro, B. Esterificación de almidones propios de la región Caribe colombiana. Revista Cubana de Farmacia. 2016. 50(4).
44. Torrenegra M, Solano R, Herrera A, León G. Preparation of biodegradable films based on modified Colombian starches from Ipomoea batatas, Manihot esculenta, Dioscorea rotundata and Zea mays. MATERIALS TECHNOLOGY. 2019; 34(3):157–166.
45. Torrenegra M, Solano R, Herrera A, León G, Pajaro A. Fourier Transform Infrared Spectroscopy (FTIR) Analysis of Biodegradable Films Based on Modified Colombian Starches of Cassava and Yam. International Journal of ChemTech Research. 2018; 11(11):184-192.
46. León-Méndez G, Osorio-Fortich M, Ortega-Toro R, Torrenegra-Alarcón ME, Pájaro-Castro NP, Herrera-Barros A. Design of an Emulgel-Type Cosmetic with Antioxidant Activity Using Active Essential Oil Microcapsules of Thyme (Thymus vulgaris L.), Cinnamon (Cinnamomum verum J.), and Clove (Eugenia caryophyllata T.). International Journal of Polymer Science. 2018; 1-16.
47. Torrenegra M, León G, Matiz G, Pájaro N, Sastoque J. Evaluación de un biorecubrimiento comestible a base de almidón de ñame modificado. Rev. Chil. Nutr. 2016; 43(3):284-289.
48. Zambrano F, Camargo C. Otimização das condições de hidrólise ácida de amido de mandioca para obtenção de substituto de gordura, Brazilian Journal of Food Technology. 2001;4:147-54.
49. Rodríguez D, Espitia M, Caicedo YE, Córdoba YE, Baena Y, Mora CE. Caracterización de algunas propiedades fisicoquímicas y farmacotécnicas del almidón de arracacha (Arracacia xanthorriza). Rev Col Cienc Quím Farm. 2005;34(2):140-6.
50. Jeon Y, Lowell A, Gross R. Studies of starch esterification: Reactions with alkenylsuccinates in aqueous slurry systems, Starch-Stärke. 1999;51(2-3):90-3.
Notas de autor
gleonm1@unicartagena.edu.co