Artículo de investigación original
Evolución clínica de pacientes en hemodiálisis en tratamiento con oxihidróxido sucroférrico
Clinical evolution of patients treated with sucroferric oxyhydroxide in hemodialysis
Evolución clínica de pacientes en hemodiálisis en tratamiento con oxihidróxido sucroférrico
Revista Colombiana de Nefrología, vol. 6, núm. 1, pp. 28-34, 2019
Asociación Colombiana de Nefrología e Hipertensión Arterial
Recepción: 08 Octubre 2018
Aprobación: 15 Enero 2019
Resumen
Introducción: la hiperfosfatemia es una complicación común de la enfermedad renal crónica (ERC) y empeora progresivamente a medida que disminuye la función renal. Actualmente disponemos de diversas moléculas farmacéuticas para su tratamiento. Dentro de ellas, existen quelantes que contienen hierro, como es el caso del oxihidróxido sucroférrico. Su uso se ha extendido fundamentalmente entre pacientes en hemodiálisis, en sustitución de otros quelantes.
Objetivo: describir la tolerabilidad, la aparición de efectos secundarios, la adherencia terapéutica y las cifras de fósforo sérico en pacientes en tratamiento con oxihidróxido sucroférrico en nuestro centro.
Materiales y métodos: se analizaron 5 pacientes de la unidad de hemodiálisis del Servicio de Nefrologia del Hospital Universitario de Burgos, España, en el periodo comprendido entre enero de 2017 a mayo de 2018, todos ellos en tratamiento con oxihidróxido sucroférrico. Se evaluaron las concentraciones plasmáticas de fósforo, calcio y hormona paratiroidea durante el tratamiento con oxihidróxido sucroférrico, además de los efectos secundarios y las causas de abandono. El análisis de los datos se realizó mediante el software estadístico IBM SPSS 22 con un intervalo de confianza del 95 %. Se evaluaron las posibles diferencias con el análisis de la t-Student.
Resultados: se evidenció una reducción media del 12,27 % de la hiperfosforemia y una reducción en el número de comprimidos diarios del 15,79 %, con buena tolerancia del fármaco en todos los casos. No se evidenció reducción estadísticamente significativa en los niveles plasmáticos de calcio, ni de hormona paratiroidea (PTH).
Conclusiones: el oxihidróxido sucroférrico es un fármaco bien tolerado, que generó una disminución de los niveles séricos de fósforo en la población estudiada. Sin embargo, dado el bajo número de casos analizados, no es posible recomendar el uso terapéutico de este fármaco como primera línea de tratamiento de la hiperfosforemia.
Palabras clave: oxihidróxido sucroférrico+ hemodiálisis+ hiperfosforemia+ metabolismo óseo mineral+ quelantes.
Abstract
Introduction: Hyperphosphatemia is a common complication of CKD and progressively worsens as renal function decreases. Currently we have several pharmaceutical molecules for its treatment. Among them, there are chelators that contain iron, as is the case of sucroferric oxyhydroxide. Its use has been extended mainly among those on hemodialysis, replacing other chelators. Objective: Describe the tolerability, the appearance of side effects, therapeutic adherence and serum phosphorus levels in patients undergoing treatment with sucroferric oxyhydroxide in our center.
Materials and methods: Five patients were analyzed from the hemodialysis unit of the Nephrology Service of the University Hospital of Burgos, from January 2017 to May 2018, all of them under treatment with sucroferric oxyhydroxide. Plasma concentrations of phosphorus, calcium and parathyroid hormone were evaluated during treatment with sucroferric oxyhydroxide, in addition to side effects and causes of abandonment. For the analysis of the data, they were processed using the IBM SPSS 22 statistical software with a confidence interval of 95%. Possible differences were evaluated with the t-Student analysis.
Results: There was an average reduction of 12.27% in hyperphosphataemia and a reduction in the number of daily tablets of 15.79%, with good tolerance of the drug in all cases. There was no statistically significant reduction in plasma levels of calcium or parathyroid hormone (PTH).
Conclusions: Sucroferric oxyhydroxide is a well-tolerated drug, which generated a decrease in serum phosphorus levels in the population studied. However, given the low number of cases analyzed, it is not possible to recommend the therapeutic use of this drug as the first line of treatment for hyperphosphatemia.
Key words: Sucroferric oxyhydroxide, hemodialysis, hyperphosphatemia, mineral bone metabolism, chelators.
Introducción
El equilibrio del fósforo es un componente clave de la homeostasis mineral y ósea; y está alterado en pacientes con enfermedad renal crónica (ERC). El exceso de fósforo es un factor de riesgo en la aparición de eventos o enfermedad cardiovascular y está asociado con el incremento de la mortalidad[1-3].
Hay que destacar que el tratamiento inicial de la hiperfosforemia en la ERC se basa, en cambios dietéticos. Sin embargo, dicha medida es ineficaz al progresar el deterioro de la función renal, motivo por el cual, entre otros tratamientos médicos se utilizan los quelantes de fósforo para alcanzar el objetivo terapéutico recomendado por las guías KDIGO, de un nivel de fósforo menor de 5,5mg/dl[1,3].
Dentro del arsenal terapéutico, actualmente contamos con quelantes de fósforo cálcico como carbonato cálcico y acetato cálcico; y quelantes de fósforo no cálcicos, como las sales de aluminio, hidrocloruro de sevelamer (Renagel), carbonato de sevelamer (renvela), carbonato de lantano (fosrenol) y quelantes que contienen hierro como el oxihidróxido sucroférrico (velphoro) [1,3].
En diferentes estudios se han comparado los diferentes quelantes del fósforo en pacientes en diálisis sin identificar clara superioridad de alguno de ellos[1-4].
El oxihidróxido sucroférrico ha demostrado en estudios fase III y en pacientes en hemodiálisis, un efecto similar al carbonato de sevelamer, con mejoría de la saturación de transferrina (4 %), reducción en las necesidades de aporte de hierro endovenoso y menor número de píldoras al día[5,6]. Sin embargo, tiene una de las tasas de discontinuación más altas, debido a la intolerancia del paciente, en particular por sintomatología gastrointestinal[1].
El objetivo principal es describir la tolerabilidad, la aparición de efectos secundarios, la adherencia terapéutica y las cifras de fósforo sérico en pacientes en tratamiento con oxihidróxido sucroférrico en nuestro centro.
Materiales y métodos
Se incluyeron 5 pacientes de la unidad de hemodiálisis del Servicio de Nefrología del Hospital Universitario de Burgos, en el periodo comprendido entre enero de 2017 a mayo de 2018, todos ellos en tratamiento con oxihidróxido sucroférrico. Los datos se recogieron a través del sistema informático Nefrolinkò.
El análisis de los datos se procesó mediante el software estadístico IBM SPSS 22, con un intervalo de confianza del 95 %. Se utilizaron las medias y desviación estándar para la relación de variables, las cuales mantienen una distribución normal. Se evaluaron las posibles diferencias con pruebas paramétricas, en concreto el análisis de la t-Student.
En todos los casos se administraron dosis bajas del fármaco para evitar posibles efectos secundarios.
Resultados
La edad media de los pacientes es de 72,4±9,2 años, 3 mujeres y 2 hombres, todos ellos en hemodiálisis.
Se inició el fármaco en el 40 % de los casos como sustituto de carbonato de sevelamer por intolerancia a este último, y en resto de los casos como medida adicional para el control de la hiperfosforemia (tabla 1).

Dos pacientes presentaron deposiciones blandas-semilíquidas durante las primeras 2 semanas de tratamiento con oxihidróxido sucroférrico, con mejoría del cuadro tras reducir la dosis administrada. No hubo ningún abandono del tratamiento.
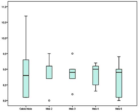
No se evidenció reducción estadísticamente significativa en los niveles plasmáticos de calcio, ni de hormona paratiroidea (PTH). Se consiguió una reducción media del 1 2,27 % de las cifras de fosfatemia, con un fósforo medio de 4,86±0,39 y se logró una reducción en el número de comprimidos diarios del 15,79 %, siendo en ambos las diferencias no significativas (figuras 1, 2, 3 y 4).




Conclusiones
El principal desafío en la reducción a largo plazo del fósforo sérico con los quelantes de fosfato es la falta de adherencia al medicamento. Es necesario indagar en la anamnesis el cumplimiento del mismo y las causas de la suspensión. El oxihidróxido sucroférrico es una opción terapéutica válida, que si bien, ha presentado una de las tasas de discontinuación más altas, es muy efectiva en el control de la hiperfosforemia. Su uso a dosis bajas consigue reducir los efectos adversos y la mejora la tolerancia, y en asociación con otros quelantes demuestra buen control del fósforo con menor número de comprimidos al día, mejorando así el cumplimiento terapéutico[5].
A pesar de la buena evolución de los pacientes descritos es necesario que se realicen ensayos comparativos aleatorizados, bien diseñados, a largo plazo, controlados, que evalúen la efectividad y eficiencia de los diferentes quelantes de fosfato comúnmente utilizados, para poder recomendar uno de ellos como primera opción terapéutica[1,5,6].
Referencias
1. Peter WL, Wazny LD, Weinhandl E, Cardone KE, Hudson JQ. 2017. A Review of Phosphate Binders in Chronic Kidney Disease: Incremental Progress or Just Higher Costs? Drugs. 2017;77(11): 1155-1186. https://doi.org/10.1007/s40265-017-0758-5.
2. Block GA, Klassen PS, Lazarus JM, Ofsthun N, Lowrie EG, Chertow GM. Mineral metabolism, mortality, and morbidity in maintenance hemodialysis. J Am Soc Nephrol. 2004; 15:2208-18. https://doi.org/10.1097/01. ASN.0000133041.27682.A2.
3. Kidney Disease: Improving Global Outcomes (KDIGO) CKDMBD Work Group. KDIGO clinical practice guideline for the diagnosis, evaluation, prevention, and treatment of chronic kidney disease-mineral and bone disorder (CKD-MBD). Kidney Int Suppl. 2009;76(113):S24.
4. Navaneethan SD, Palmer SC, Craig JC, Elder GJ, Strippoli GF. Benefits and harms of phosphate binders in CKD: a systematic review of randomized controlled trials. Am J Kidney Dis. 2009;54:619-37. https://doi.org/10.1053/j.ajkd.2009.06.004.
5. Floege J, Covic AC, Ketteler M, Mann JF, Rastogi A, Spinowitz B, et al. Long-term effects of the iron-based phosphate binder, sucroferric oxyhydroxide, in dialysis patients. Nephrol Dial Transplant. 2015;30(6):1037-46. https://doi.org/10.1093/ndt/gfv006.
6. Koiwa F, Yokoyama K, Fukagawa M, Terao A, Akizawa T. Efficacy and safety of sucroferric oxyhydroxide compared with sevelamer hydrochloride in Japanese haemodialysis patients with hyperphosphataemia: a randomised, open-label, multicentre, 12-week phase III study. Nephrology (Carlton). 2017;22(4):293-300. https://doi.org/10.1111/nep.12891.
Notas
Notas de autor
*Correspondencia: Antonio José Marín Franco, amarinf@saludcastillayleon.es