Artículos de investigación
Metodología de correlación estadística de un sistema integrado de gestión de la calidad en el sector salud*
Methodology of statistical correlation of an integrated quality management system in the health sector
Metodologia de correlação estatística de um sistema integrado de gestão de qualidade no setor da saúde
Metodología de correlación estadística de un sistema integrado de gestión de la calidad en el sector salud*
Signos, vol. 10, núm. 2, pp. 119-139, 2018
Universidad Santo Tomás
Recepción: 18 Diciembre 2017
Recibido del documento revisado: 23 Febrero 2018
Aprobación: 30 Abril 2018
RESUMEN: Considerando que en la actualidad las IPS desean ser competitivas y tienen como reto la optimización de su gestión, atendiendo a la complejidad de sus procesos y estructuras organizativas, entre otros aspectos, se hace relevante que adopten para ello herramientas que les permitan innovar en su gestión organizacional, al integrar y orientar con estas los resultados ya logrados hacia estándares de calidad superiores como los ofrecidos por la acreditación en salud. En este sentido, se desarrolló una investigación que buscó combinar técnicas estadísticas para establecer correlaciones entre los requisitos de dos modelos de gestión, efectuando un análisis exploratorio de requisitos normativos, calculando el nivel de correlación con el chi cuadrado de Pearson e índice V de Cramer, la confiabilidad de los resultados con el alfa de Cronbach, y la estimación de intervalos de confianza con la prueba t de Student. A partir del análisis de los resultados de estas pruebas, se establecieron las relaciones, sinergias, convergencias y complementariedades entre los sistemas de gestión y su validez de contenido brindando mayor objetividad al conocimiento de las ciencias de la gestión y explicando las variables asociadas a fenómenos propios de la integración de requisitos normativos en el sector salud y de los sistemas de gestión.
Palabras clave: correlación estadística, gestión de la calidad, NTC ISO 9001:2015, sistema integrado de gestión, sistema único de acreditación en salud.
ABSTRACT: Considering that Health Providing Institutions currently want to be competitive and have as challenge the optimization of their management, taking into account the complexity of their processes, organizational structures, among other aspects, it is important that they adopt tools that allow them to innovate in their organizational management, by integrating and guiding with these the results already achieved towards higher quality standards such as those offered by health accreditation. In this sense, a research was developed that sought to combine statistical techniques to establish correlations between the requirements of two management models, making an exploratory analysis of regulatory requirements, calculating the level of correlation with Pearson's Chi Square and Cramer's V Index, the reliability of the results with Cronbach's Alpha, and the estimation of confidence intervals with t test of Student. From the analysis of the results of these tests, the relationships, synergies, convergences and complementarities between the management systems and their content validity were established, providing greater objectivity to the knowledge of management sciences and explaining the variables associated with phenomena inherent to the integration of regulatory requirements in the health sector and management systems.
Keywords: statistical correlation, quality management, NTC ISO 9001:2015, integrated management system, single health accreditation system.
RESUMO: Considerando que actualmente os IPS desejam ser competitivas e são desafiadas a aperfeiçoar sua gestão, dada a complexidade de seus processos, estruturas organizacionais, entre outros aspectos. É relevante para isso adotar ferramentas que permitam inovar na sua gestão organizacional, ao integrar e orientar os resultados já alcançados em direção de padrões de qualidade mais elevados, como os oferecidos pela acreditação de saúde. Neste sentido, se desenvolveu uma investigação que procuro combinar técnicas estatísticas para estabelecer correlações entre as exigências de dois modelos de gestão, efetuando uma análise exploratória dos requisitos regulamentares, calculando o nível de correlação com o Qui-quadrado de Pearson e índice de V de Cramer, a confiabilidade dos resultados com o Alpha de Cronbach, e a estimativa de intervalos de confiança com o teste t de Student. A partir da análise dos resultados destes testes foram estabelecidos relacionamentos, sinergias, convergências e complementaridades entre os sistemas de gestão e sua validade de conteúdo, proporcionando maior objetividade ao conhecimento das ciências da gestão e explicando as variáveis associadas a fenômenos característicos de integração dos requisitos regulamentares nos sistemas do setor de saúde e de gestão.
Palavras-chave: correlação estatística, gestão da qualidade, NTC ISO 9001: 2015, sistemas de gestão integrada, sistema único de acreditação em saúde.
INTRODUCCIÓN
El actual sistema de salud colombiano a través del Sistema Obligatorio de Garantía de la Calidad en Salud (SOGCS), provee a las Instituciones Prestadoras de Servicios de Salud (IPS) la posibilidad de acceder de forma voluntaria al Sistema Único de Acreditación en Salud (SUA), utilizado como una herramienta de compromiso con estándares de calidad superiores y complementarios a los ofrecidos por el Sistema Único de Habilitación (SUH), el Programa de Auditoría para el Mejoramiento de la Calidad (PAMEC) y el Sistema de Información de la Calidad (SIC), conforme se estipula en el Decreto 780 de 2016 (Ministerio de Salud y Protección Social, 2016).
De acuerdo al Plan Nacional de Mejoramiento de la Calidad en Salud (PNMCS) (Ministerio de Salud y Protección Social, 2016), el SUA se constituye en un modelo de gestión orientado a la excelencia e innovación, el cual ha generado un aprendizaje importante en las IPS y ha sido reconocido internacionalmente por sus aportes en el mejoramiento continuo de la calidad.
Actualmente en el país 37 IPS se encuentran acreditadas (Ministerio de Salud y Protección Social, 2016) y el 60 % de estas han implementado su sistema de gestión de la calidad a través de la norma técnica colombiana ISO 9001 como modelo para establecer procesos, basado en un ciclo de mejora continua desde el enfoque PHVA (planear, hacer, verificar, actuar), siendo esta la plataforma ideal para generar conocimiento organizacional y crear una cultura de calidad previa que permite afrontar de forma segura y con resultados satisfactorios la acreditación en salud.
Teniendo en cuenta que el objetivo principal en salud del PNMCS es el fortalecimiento de la gestión y la articulación de los agentes para el mejoramiento continuo y el logro de sus resultados con nuevos planteamientos que se orienten a modelos sostenibles de gestión orientados a la excelencia del sistema en su conjunto y en correspondencia, los sistemas de gestión de calidad con base al modelo NTC ISO 9001 han demostrado ser complementarios a la acreditación en salud, conviene en este sentido integrar los elementos, estándares y requisitos a los que responde la acreditación en salud y los sistemas de gestión establecidos con estructura organizacional y por procesos similares a la planteada por la norma técnica NTC ISO 9001:2015, como prerrogativa para lograr la complementariedad y sinergia entre los sistemas de gestión de calidad existentes, al optimizar los resultados ya logrados y promoverlos hacia el SUA como decisión estratégica en términos de calidad y competitividad para las IPS que buscan acreditarse o dirijan sus iniciativas hacia la mejora de sus procesos de atención y servicios de salud, bajo el marco de los ejes trazadores del SUA.
Se genera entonces, una metodología de preparación para el establecimiento de un Sistema Integrado de Gestión de la Calidad en el Sector Salud (SIGCSS), la cual se estructura bajo los siguientes objetivos, a saber: en primera instancia identificar las relaciones existentes entre el SUA y la norma técnica NTC ISO 9001:2015, y determinar estadísticamente el grado de confiabilidad y el nivel de correlación entre ambos modelos de gestión para su integración.
A partir de estos resultados se propone definir los criterios de aceptación de las dimensiones integradas que lo componen determinando las relaciones, convergencias, sinergias y complementariedades entre ambos sistemas de gestión, al proponer posibles factores clave de éxito (FCE) para afrontar los procesos de establecimiento de un SIGCSS en forma lógica, armónica y coherente con un enfoque holístico, desde la estructura de alto nivel de los sistemas de gestión, el ciclo PHVA y los niveles de gestión (estratégico, táctico y operativo).
Finalmente, se valida la propuesta metodológica por parte del juicio de expertos con el objetivo de asegurar la coherencia teórica, comprensión y pertinencia de la misma como confiabilidad de los resultados obtenidos.
METODOLOGÍA
El proceso de investigación se diseña como un método mixto con preponderancia cuantitativa (Hernández, Fernández y Baptista, 2014), dado que en la primera etapa de la investigación se obtienen y analizan datos cuantitativos (CUAN), los cuales son tomados en una segunda etapa como punto de referencia para la recolección de los datos cualitativos (cual), y de esta forma, consolidar los resultados de ambas etapas (CUAN-cual) realizando la interpretación y propuesta metodológica de un SIGCSS que articule el SUA con la norma técnica NTC ISO 9001:2015.
Recolección de información de las relaciones SUA - NTC ISO 9001:2015
Se realiza la recolección de información preliminar mediante revisión sistemática de la literatura, para lo cual se establecen como criterios o variables: el Manual de Acreditación en Salud Ambulatorio y Hospitalario en su versión 003 (Ministerio de la Protección Social, 2011), la norma técnica NTC ISO 9001:2015 y alguna de sus versiones anteriores, el SOGCS, estudios que han abordado el SUA y que a su vez, plantean la existencia de barreras o FCE que posibilitan el establecimiento, mantenimiento o transición de un sistema de gestión de la calidad, así como investigaciones que vinculan los niveles de la gestión organizacional, entendidos como el nivel estratégico, el nivel táctico y el nivel operativo.
Los aspectos de la revisión se enfocan en la identificación de los cambios generados a partir de la actualización de la norma ISO 9001:2008 contra la norma ISO 9001:2015, siendo este análisis el punto de partida para la construcción de la "matriz de correlación SUA - NTC ISO 9001:2015", con la cual se realiza la correspondencia de las relaciones que cada estándar del SUA tiene con alguno de los capítulos, subcapítulos o requisitos específicos de la norma técnica NTC ISO 9001:2015, y de los principios del modelo ISO 9001 con los ejes de acreditación como base fundamental para la articulación de los sistemas de gestión, construyéndose así una serie de interrelaciones con el propósito de establecer los aspectos estratégicos y orientadores de la gestión de la calidad aplicables al sector salud.
La correlación de la norma NTC ISO 9001:2015 y el SUA es realizada por expertos relacionados con la investigación siguiendo el plan que se presenta en la Tabla 1, el cual parte del precepto de que varios de los requisitos y estándares de ambas variables son comunes y así pueden incluirse o establecerse sus relaciones, convergencias o complementariedades.

Análisis exploratorio de los datos: nivel de correlación y confiabilidad
El análisis exploratorio de los datos recolectados mediante la aplicación de la matriz de correlación SUA - NTC ISO 9001:2015, requiere de la elaboración de tablas de contingencia, tabla de frecuencias observadas y tabla de frecuencias esperadas debido a la alta cantidad de datos recolectados, mediante los cuales se organiza y procesa la información permitiendo identificar la cantidad de veces que se repiten las respuestas dadas por los expertos con relación a cada uno de los ítems abordados.
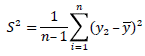
Con la identificación de los conteos mediante la tabla de frecuencias observadas se determina la varianza muestral y la desviación estándar que corresponde a la raíz de la varianza muestral (Ecuación 1):
Ecuación 1. Varianza muestral

Mediante la tabla de frecuencias observadas, se realiza el cálculo para la definición de la tabla de frecuencias esperadas (Ecuación 2):
Ecuación 2. Definición de frecuencias esperadas

El análisis exploratorio permite evidenciar los resultados de la correlación entre estándares del SUA y los capítulos de la NTC ISO 9001:2015, permitiendo identificar la incidencia que tiene un criterio sobre el otro y analizar el comportamiento y tendencia de los datos obtenidos, así como definir unos rangos para la determinación de las relaciones entre el SUA y la NTC ISO 9001:2015 (Tabla 2).

A partir de la tabla de frecuencias observadas y la tabla de frecuencias esperadas, se realiza el cálculo del chi cuadrado de Pearson, con el cual se demuestra si hay ausencia o presencia de relación entre las normas (SUA - NTC ISO 9001:2015) (Ecuación 3):
Ecuación 3. Chi cuadrado de Pearson

Con el cálculo del chi cuadrado de Pearson se puede inferir si existe concordancia perfecta entre las frecuencias observadas y las esperadas, en donde el estadístico toma un valor igual a 0; por el contrario, si existe una gran discrepancia entre estas frecuencias el estadístico toma un valor grande y, en consecuencia, se debe rechazar la hipótesis investigativa: "Hi: existe relación entre la norma ISO 9001:2015 y el SUA".
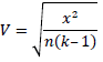
A partir del cálculo del chi cuadrado de Pearson, se realiza el cálculo del índice V de Cramer (Ecuación 4):
Ecuación 4. Índice V de Cramer

Se toman lo valores concretos del índice V de Cramer para la determinación de la relación entre los estándares del SUA y la NTC ISO 9001:2015, así (Tabla 3):

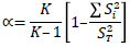
Con un resultado aceptable para el cálculo del índice V de Cramer, se procede a determinar la confiabilidad del instrumento aplicado a los expertos, utilizando para ello el método de consistencia interna basado en el coeficiente alfa de Cronbach (Cervantes, 2005), el cual para su medición utiliza fórmulas que producen coeficientes de fiabilidad que pueden oscilar entre cero (0) y uno (1), donde un coeficiente de cero (0) significa confiabilidad nula y un coeficiente de uno (1) representa un máximo de fiabilidad (Ecuación 5).
Ecuación 5. Coeficiente alfa de Cronbach

Criterios de aceptación de las dimensiones integradas SUA - NTC ISO 9001:2015
Para la definición de las dimensiones integradas se establece un criterio de aceptación estadístico, el cual permite determinar cuáles estándares del SUA hacen parte de cada dimensión de estudio (capítulo ISO 9001:2015), esto, debido a que son estadísticamente significativos y aportan al análisis de correlación SUA - ISO efectuado. La estimación de intervalos de confianza se efectúa por medio de la prueba t de Student, debido a que si el tamaño de la muestra es pequeño (n < 30), se puede calcular la variable t (Ecuación 6):
Ecuación 6. Variable t

Esta difiere sensiblemente de una distribución normal, aproximándose de mejor manera a una distribución t de Student, n-1 grados de libertad, por lo que esta variable t puede utilizarse como un estadístico de contraste y se permite aplicar la ecuación del intervalo de confianza que tiene la siguiente fórmula (Ecuación 7).
Ecuación 7. Intervalo de confianza

Con el intervalo de confianza se determina que los valores que se encuentran por encima al intervalo superior son los elegidos como estadísticamente significativos, con una confianza del 95 % y el 0.05 restante corresponde al porcentaje de error que se dispuso asumir en la investigación.
Construcción de la metodología de integración
La metodología se desarrolla con base a los lineamientos de integración dados por la especificación de sistemas de gestión PAS 99:2012 (British Standards Institution, 2012) desde el ciclo de la mejora continua o ciclo de Deming (PHVA), el cual permite articular el SIGCSS desde la estructura de alto nivel que propone el Anexo SL de la ISO para sistemas de gestión como eje organizador y de estandarización del contenido de la misma (Tabla 4).

Cada dimensión integrada se agrupa en indicadores integrados, siendo este un término descriptivo no cuantificable para el presente estudio, que surge de la agrupación de las variables de investigación y cuya denominación pretende contemplar tanto las intenciones del SUA como de la NTC ISO 9001:2015, a partir de las cuales se plantean FCE como estrategias de gestión que se abordan de forma pragmática desde la perspectiva organizacional de los niveles de gestión (estratégico, táctico [humano] y operativo [técnico]) (Molano y Arévalo, 2013), definidos como:
Estratégico: elabora las políticas, objetivos y estrategias de la organización. Determina la dirección de la organización. Su desarrollo implica habilidades conceptuales.
Táctico (humano): coordina las actividades que se desarrollan en el nivel de gestión operativo, así como el control de la gestión realizada y la toma de decisiones que afectan a un proceso. Su desarrollo implica habilidades humanas.
Operativo (técnico): su función es realizar en forma eficaz las tareas que se realizan en la organización desarrollando funciones de ejecución y control sobre las mismas. Su elaboración implica habilidades técnicas.
Garantizando así la existencia de una identificación e interpretación clara y comprensible por parte de las IPS al momento de establecer y desplegar los FCE como tácticas y actividades asociadas dentro de un SIGCSS, considerando que el direcciona-miento estratégico como lo plantea el PNMCS (Ministerio de Salud y Protección Social, 2016) pretende el mejoramiento de la calidad en la atención y la obtención de resultados evaluables, reconocidos y direccionados para lograr el compromiso de todos los agentes del sistema, para que con ellos se impulsen los modelos de gestión orientados a la excelencia y a la generación de valor social.
Validez de contenido de la metodología de integración
La validez de contenido y confiabilidad de la metodología para el establecimiento de un SIGCSS articulando el SUA con la NTC ISO 9001:2015, se basa en el juicio de expertos (Hernández, Fernández y Baptista, 2014). El contenido, pertinencia y adecuación de la metodología de integración es evaluada mediante un cuestionario autoadministrado enviado a tres expertos del sector salud, bajo los criterios de evaluación de las cinco propiedades básicas formuladas por Moriyama (Segredo, Peréz y López, 2015) (Tabla 5), los cuales fueron adaptados de manera intencional en función del proyecto de investigación.
El análisis de datos de la validación de contenido se realiza por medio del modelo de índice de validez de contenido expuesto por Lawshe (Pedrosa, Suárez, y García, 2014), con el que se obtiene la razón de validez de contenido (RVC), ecuación que ha sido adaptada a la investigación como se ve (Ecuación 8):
Ecuación 8. Razón de validez de contenido


Los resultados de las razones particulares para cada criterio se promedian dando como consecuencia el índice de validez de contenido (IVC), en donde aquellos que son iguales o superiores a 0,8 se consideran como "aceptables", pero los que se encuentran por debajo de este valor deben ser revisados y ajustados para hacer parte de los ítems que conformaran la versión final de la metodología de integración SUA - NTC ISO 9001:2015, según lo propone Fehring (Pedrosa, Suárez y García, 2014).
Para determinar el grado de confiabilidad de la metodología de integración SUA - NTC ISO 9001:2015, se utiliza el método de consistencia interna basado en el alfa de Cronbach (ver Ecuación 5) y se toman como criterios de fiabilidad los siguientes (Cronbach y Shavelson, 2004) (Tabla 6):
| Coeficiente | Criterio |
|---|---|
| Coeficiente alfa >.9 | Es excelente |
| Coeficiente alfa >.8 | Es bueno |
| Coeficiente alfa >.7 | Es aceptable |
| Coeficiente alfa >.6 | Es cuestionable |
| Coeficiente alfa >.5 | Es pobre |
| Coeficiente alfa <.5 | Es inaceptable |
RESULTADOS Y DISCUSIÓN
Resultados de la recolección de información de las relaciones SUA -NTC ISO 9001:2015
Para establecer el nivel de asociación y vinculación de los estándares del SUA y los requisitos de la NTC ISO 9001:2015, se efectúa la correlación de ambas normas por parte de expertos; esta correlación se constituye en el soporte a partir del cual se determinan los criterios a ser tenidos en cuenta para la construcción y establecimiento de las dimensiones de la metodología de integración.
Con la participación de los cinco expertos, se logra el diligenciamiento de la matriz de correlación SUA -NTC ISO 9001:2015, en donde cada uno de ellos proporciona la identificación y relación de los estándares con los requisitos de cada una de las normas, aportando tres respuestas por cada una y su correspondiente observación o recomendación.
De los resultados de la relación de correspondencia efectuada se identifican las tendencias, que indican una relación directa entre ciertos grupos de estándares con ciertos capítulos de la ISO 9001:2015, pero dada la cantidad de ítems evaluados, la consolidación de estos datos requiere del análisis estadístico para la identificación confiable de las correspondencias encontradas.
Análisis exploratorio de los datos: nivel de correlación y confiabilidad
El análisis exploratorio de los datos permite identificar que existen 1599 conteos a partir de los cuales se procede con el cálculo de la varianza muestral y la desviación estándar, de lo cual se estima que la variación entre los datos es alta lo que permite inferir que hay un alto grado de dispersión de los datos con respecto al valor promedio.
Con estos resultados se genera la tabla de frecuencias esperadas y la tabla de porcentajes, con cuyos datos se grafican las relaciones de los estándares del SUA frente a los requisitos de la ISO 9001:2015, observándose la incidencia que tiene un criterio sobre el otro y analizando el comportamiento y tendencia de los valores obtenidos (Figura 1).

A partir de los anteriores resultados se genera el cálculo del chi cuadrado de Pearson, el cual arroja un resultado de X2= 1122,5 (ver Ecuación 3), determinándose la ausencia de relación por ser el valor calculado diferente de cero (0).
Con los resultados del chi cuadrado de Pearson, se calcula el índice V de Cramer, en el que se considera la variación entre el número de datos y celdas, siendo n=1599 (número de datos) y k=7 (número de categorías con menos valores "los 7 capítulos ISO 9001:2015"), obteniéndose un resultado de 34.2 % (ver Ecuación 4), lo que permite con base a los datos de la Tabla 3 concluir que existe una relación mediana o moderada entre los estándares del SUA y los capítulos de la ISO 9001:2015, con lo cual se acepta la hipótesis de investigación.
Conforme a lo expuesto anteriormente, se determina la confiabilidad del instrumento aplicada a los expertos, utilizando el método de consistencia interna (ver Ecuación 5), el cual genera un valor de 0.852 indicando que el análisis de correlación ISO 9001:2015 - SUA es estadísticamente significativo y confiable (Figura 2).

Resultados de la determinación de los criterios de aceptación de las dimensiones integradas SUA - NTC ISO 9001:2015
Para la determinación del intervalo de confianza se utiliza la tabla t de Student (Tabla 7).

En esta tabla se ubica el valor que concuerda con los grados n-1 de libertad, lo que corresponde a la cantidad de grupos de estándares del SUA y en cuanto al α/2 es (0.05/2)= 0.025 siendo este el alpha, tomando por esta razón el valor 2.1009.
La determinación de los criterios de aceptación de las dimensiones integradas se calculan a partir del intervalo de confianza, el cual se compone de:
= Promedio de los datos, en este caso se toman los 7 promedios de los capítulos de la norma ISO.
tn-1; α /2= Valor tomado de la Tabla 7, (n-1) = 18 (n: cantidad de grupos y subgrupos del SUA 19).
s = Desviación estándar de los datos, obtenidos de los 7 capítulos de la norma ISO 9001:2015. Se hace uso individual de cada desviación estándar para cada uno de los 7 capítulos.
√n = corresponde a la raíz de la cantidad total de los conteos de los grupos y subgrupos de entandares del SUA, en este caso.
De acuerdo con lo anterior, se calculan los promedios y las desviaciones por cada capítulo de la ISO 9001:2015 y a partir del valor determinado de la tabla t de Student (2.1009) se definen los intervalos de confianza aplicando la Ecuación 7, con cuyo resultado se resuelve tomar los valores mayores al intervalo superior obtenido por cuanto estos cuentan con una significancia y confianza del 95 %.
Con todo ello, se obtiene como resultado la definición de las dimensiones integradas de la ISO y el SUA en donde se describen cuáles estándares (grupos y subgrupos de estándares del SUA) están relacionados con cuáles capítulos de la ISO 9001:2015, encontrándose así lo siguiente (Tabla 8):

Resultados de la construcción de la metodología de integración
La elaboración de la metodología de integración SUA - NTC ISO 9001:2015 implica transitar de las variables integradas a sus componentes, los cuales son desarrollados desde lo general a lo particular (Tabla 9) con un enfoque sistémico, que incluye, mantiene y respeta las intenciones particulares, fundamentos como contenido explícito de cada norma.

El contenido de cada componente plantea ciertas estrategias y herramientas que han sido identificadas como FCE, que se basan en la recopilación de estrategias y experiencias exitosas identificadas en trabajos de grado de la Maestría en Calidad y Gestión Integral del convenio USTA - Icontec, los cuales respaldan una ruta clara y asimilable para el direccionamiento estratégico de las IPS que deseen alinear sus sistemas de gestión de calidad existentes con las intenciones y exigencias de los estándares de calidad del SUA como modelo de excelencia para alcanzar niveles superiores de calidad en el sector salud.
De esta forma, la "Metodología para el Establecimiento de un SIGCSS articulando el SUA con la NTC ISO 9001:2015", enmarca al sistema bajo un enfoque holístico (como modelo de desempeño), no solo en el plano individual de cada proceso, sino desde la visión global del sistema de gestión de la calidad (Gómez, 2016) para gestionar los procesos y sus operaciones de forma más eficaz y dinámica, en donde las interacciones entre sus procesos y resultados aseguran que se cuente con los recursos necesarios y se gestionen estos adecuadamente para el logro de los objetivos de la calidad en la atención y servicios de salud, determinando las oportunidades de mejora y actuando en consecuencia a estas como criterios de evaluación necesarios para el logro de los altos estándares de calidad.
Resultados de la validez de contenido de la metodología de integración
El análisis e interpretación estadístico demuestra que, en general, los expertos están "Totalmente de acuerdo" al ser consultados sobre los criterios de: comprensible, sensible, justificable y claramente definidos, con respecto a la metodología de integración SUA - NTC ISO 9001:2015 (Tabla 10), exceptuando el criterio de "Datos factibles de obtener", siendo el ítem donde mayor heterogeneidad se presenta en la respuesta dada por los expertos, en consideración a la interpretación que se hace frente al uso del término "mínimos", el cual es relacionado con los requisitos mínimos de habilitación en salud y no con los aspectos mínimos del establecimiento de un SIGCSS a partir de la integración SUA - NTC ISO 9001:2015, como pretendía ser enfocado en el planteamiento de este cuestionamiento (ítem 5.1).
En correspondencia a lo establecido por Lawshe (Pedrosa, Suárez, y García, 2014), un IVC que oscila entre +1 y -1, indica una mejor validez de contenido para las puntuaciones positivas; un índice IVC = 0, indica que la mitad de los expertos han evaluado los ítems como válidos.

De esta forma, los ítems de: comprensible y datos factibles de obtener, con un IVC por debajo de 0,8, fueron ajustados para generar la versión final de la metodología de integración SUA - NTC ISO 9001:2015, conforme a las sugerencias dadas por los expertos frente a estos criterios evaluados con el objetivo de mejorar la interpretación del contenido de la propuesta metodológica (Tabla 11).

Dado que la validez junto a la fiabilidad determinan la calidad que posee la metodología de integración SUA - NTC ISO 9001:2015, se utiliza el método de consistencia interna basado en el alfa de Cronbach para estimar la fiabilidad de la metodología de integración con base en los datos de la Tabla 10.

En este caso, un alfa de Cronbach de 0.07 es inaceptable (ver Tabla 6), siendo el grado de confiabilidad para los criterios evaluados muy bajo. El valor obtenido se ve afectado por la cantidad de datos y no necesariamentepor el constructor de los ítems y es por esta razón que de la confiabilidad se obtiene un resultado tan bajo.
Algunos autores señalan que como mínimo debe contarse con tres expertos para sustentar la validez de contenido de un instrumento. No obstante, al aplicar variables estadísticas como las requeridas para el cálculo de confiabilidad se recomienda que por lo menos debiera haber entre cinco o diez individuos más a la cantidad de ítems evaluados (Urrutia, Barrios, Gutiérrez y Mayorga, 2014), siendo necesario para el caso requerido contar con entre quince y veinte expertos, por cuanto se dispone de diez ítems para evaluar, con lo cual se puede garantizar un resultado significativamente confiable dando un mejor resultado en comparación con el que actualmente se está obteniendo.
Aun cuando solo se cuenta con tres expertos, lo cual afecta el cálculo y resultado de la confiabilidad obtenida, cabe señalar que los resultados dados por los participantes consultados son consistentes y coherentes entre los mismos. De esta manera, dicho acercamiento da pautas y tendencias para poder lograr un resultado más fiable estadísticamente al involucrar más participantes como expertos en la validez del contenido y poder concluir así de una forma más acertada, reproducible y satisfactoria, con base a la evidencia soportada sobre esta medida de consistencia interna.
CONCLUSIONES
El análisis exploratorio permite calcular el nivel de correlación entre los datos, observándose la incidencia que tiene un criterio sobre el otro y analizando el comportamiento y tendencia de los mismos, identificándose que seis (6) grupos de estándares del SUA no están siendo explicados directamente por algún capítulo de la ISO 9001:2015, debido a la dispersión de los datos obtenidos; doce (12) grupos de estándares del SUA están siendo explicados leve o moderadamente por algún capítulo de la ISO 9001:2015 y un (1) grupo de estándares del SUA está siendo explicado altamente por algún capítulo de la ISO 9001:2015, concluyéndose que "Existe relación entre la norma ISO 9001:2015 y el SUA", conforme a los resultados de correlación estadística del 34 %, los cuales representan una relación mediana o moderada entre estos modelos de gestión.
La confiabilidad del instrumento aplicado a los expertos para la correlación, genera un valor alfa de Cronbach de 0.852, lo cual indica que el análisis de correlación ISO 9001:2015 - SUA es estadísticamente significativo y confiable, garantizando que los resultados obtenidos en la etapa cuantitativa del proyecto permiten comprobar la hipótesis de investigación propuesta, orientando de forma fiable el proceso de recolección de datos y análisis de información de la etapa cualitativa.
A partir de la relación entre el SUA y la norma técnica NTC ISO 9001:2015, pueden establecerse las dimensiones integradas y los componentes de integración por medio de las convergencias y complementariedades entre ambos sistemas, lo que facilita la integración de sus estándares, requisitos y la articulación de la gestión de la calidad existente desde una perspectiva sinérgica que oriente el desempeño de los procesos de atención y servicios en salud de manera eficaz y eficiente con altos estándares de calidad en IPS.
Con el trabajo desarrollado en este proyecto de investigación surge una propuesta metodológica de integración del SUA con la NTC ISO 9001:2015, siendo esta ultima un modelo y plataforma ideal para establecer un sistema de gestión integrado en el sector salud, al ofrecer un marco de referencia que potencia el trabajo desarrollado hasta el momento a nivel organizacional, orientándolo de manera provechosa hacia la acreditación en salud con lo cual puede guiarse de forma práctica y comprensible la integración de los elementos comunes de ambas normas bajo un enfoque tanto sistémico como sistemático desde estrategias definidas como factores clave de éxito (FCE) que surgen del marco teórico de investigaciones previas que se consideran útiles con aportes relevantes en el presente estudio, abordados desde el ciclo PHVA, la estructura de alto nivel y los niveles de gestión.
La validación de contenido facilita un proceso de realimentación bidireccional que permite la mejora de la formulación de la metodología orientándola hacia un nivel de estandarización bajo un marco de referencia comprensible y común, lo cual se demuestra con los resultados de la validación en donde se identifica una media de 4,5 correspondiente a la posición "De acuerdo" por parte de los expertos frente a los ítems que sustentan la pertinencia y coherencia de la metodología: comprensible, sensible, justificable y claramente definidos.
Es necesario someter la validación de contenido de la metodología de integración con más expertos del sector salud con el objetivo de comprobar con base a la evidencia soportada la pertinencia y coherencia de la misma; por lo cual convendría la aplicación del instrumento "Construcción SUA - ISO" en una muestra de entre 15 y 20 expertos, con el fin de obtener un resultado del alfa de Cronbach altamente significativo que permita una mejor interpretación como extrapolación y generalización del nivel de confiabilidad sobre los resultados obtenidos de la metodología propuesta.
Es conveniente que otros estudios de investigación que pretendan generar propuestas de integración de sistemas de gestión (no únicamente del sector salud), aborden el proceso de correlación o articulación de los mismos tomando como orientación la metodología diseñada en el presente estudio, orientando la correlación bajo parámetros estadísticos como método para la demostración de rigurosidad en los procesos de integración superando aspectos subjetivos y generando diferenciación en la integración de sistemas.
Referencias
British Standards Institution (BSI). (2012). Publicly Available Specification, PAS 99:2012. Recuperado de https://andrewtmarlow.files.wordpress.com/2012/04/pas-99-second draft-1-7.pdf.
Cervantes, V H. (2005). Interpretaciones del coeficiente alpha de Cronbach. Avances en medición, 3(1), 9-28. Recuperado de http://www.humanas.unal.edu.co/psicometria/files/1113/8574/8604/Articulo_1_Alfa_de_Cronbach_9-28_2.pdf.
Cronbach, L., y Shavelson, R. (2004). My current thoughts on coefficient alpha and successor procedures. Educational and psychological measurement, 64(3), 391-418. Recuperado de https://cresst.org/wp-content/uploads/R643.pdf.
Gómez, J. (2016). Guía para la aplicación de ISO 9001:2015. Bogotá D. C., Colombia: Alfaomega -AENOR ediciones.
Hernández, R., Fernández, C., y Baptista, P. (2014). Metodología de la investigación. México D. F., México: McGraw Hill - Interamericana Editores, S. A. de C. V
Ministerio de la Protección Social. (2011). Manual de Acreditación en Salud Ambulatorio y Hospitalario. (Colombia). Versión 003. Recuperado de http://www.acreditacionensalud.org.co/Documents/Manual%20AcreditSalud%20AmbulyHosp2012.pdf.
Ministerio de Salud y Protección Social. (2016). Decreto 780 de 2016, Por medio del cual se expide el Decreto Único Reglamentario del Sector Salud y Protección Social. (Colombia). Recuperado de https://www.minsalud.gov.co/Normatividad.../Decreto%200780%20de%202016.pdf.
Ministerio de Salud y Protección Social. (2016). Plan Nacional de Mejoramiento de la Calidad en Salud. (Colombia). Recuperado de https://www.minsalud.gov.co/sites/rid/Lists/BibliotecaDigital/RIDE/DE/CA/Plan-nacional-de-mejoramiento-calidad.pdf.
Ministerio de Salud y Protección Social. (2016). Mención a la excelencia a 37 IPS del país. (Colombia). Recuperado de https://www.minsalud.gov.co/Paginas/Minsalud-entrega-mencion-a-la-excelencia-a-37-IPS-del-pais.aspx.
Molano Velandia, J. H., y Arévalo Pinilla, N. (2013). De la salud ocupacional a la gestión de la seguridad y salud en el trabajo: más que semántica, una transformación del sistema general de riesgos laborales. Revista Innovar Journal Revista de Ciencias Administrativas y Sociales, 23(48), 21-31. Recuperado de https://revistas.unal.edu.co/index.php/innovar/article/view/40486/42322.
Pedrosa, I., Suárez, J., y García, E. (2014). Evidencias sobre la validez de contenido: avances teóricos y métodos para su estimación. Acción Psicológica, 10(2), 3-18. Recuperado de http://scielo.isciii.es/pdf/acp/v10n2/02monografico2.pdf.
Segredo, A. M., Peréz, J., y López, P. (2015). Construcción y validación de un instrumento para evaluar el clima organizacional en el ámbito de la salud pública. Revista Cubana de Salud Pública, 41(4), 603-619. Recuperado de http://www.medigraphic.com/pdfs/revcubsalpub/csp-2015/csp154d.pdf.
Urrutia, M., Barrios, S., Gutiérrez, M., y Mayorga, M. (2014). Métodos óptimos para determinar validez de contenido. Revista Cubana de Educación Médica Superior, 28(3), 547-558. Recuperado de http://www.medigraphic.com/pdfs/educacion/cem-2014/cem143n.pdf.
Notas