Artículos originales

Recepción: 04 Abril 2019
Aprobación: 08 Agosto 2019
Publicación: 01 Septiembre 2019
DOI: https://doi.org/10.24016/2019.v5n3.177
Resumen: Introducción: El objetivo principal de la presente investigación fue analizar las propiedades psicométricas del Inventario de Depresión de Beck (BDI-II) en población universitaria de la ciudad de Cajamarca mediante análisis factorial exploratorio (AFE). Método: La muestra estuvo conformada por 326 estudiantes (73.3% mujeres y 26.7% varones) cuya edad promedio fue de 19.7 años (DE= 2.28). Se aplicó el Inventario de Depresión de Beck (BDI-II). Resultados: Los resultados iniciales mostraron un solo factor que explicó el 48.16% de varianza con una confiabilidad de α=.945; no obstante, debido a los antecedentes internacionales, nacionales y a la teoría, se forzó un segundo análisis factorial exploratorio extrayendo dos factores que explicaron el 54.48% de varianza y una confiabilidad de α=.843 para el primer factor y α=.935 para el segundo factor. La validez en relación con otras variables mostró correlación entre el BDI-II y la Escala de Felicidad de Alarcón (r=-.585, p<.001), la Escala de Soledad de Jong Gierveld (r=.392, p<.001) y la Escala de Depresión de Reynolds (r=.708, p<.001). Conclusión: El modelo con dos factores ajusta mejor que el modelo de un solo factor; no obstante, el BDI-II podría tener una estructura unidimensional.
Palabras clave: Depresión, Universitarios, Análisis factorial, Validez, Confiabilidad.
Abstract: Background: The aim of this study was to analyze psychometric properties of Beck Depression Inventory (BDI) in college students from Cajamarca through exploratory factor analysis (EFA). Methods: The sample was conformed by326 students (73.3% female and 26.7% males) whose average age was 19.7 years old (SD=2.28). The beck Depression Inventory (BDI-II) was applied. Results: The initial results showed a single factor explaining 48.16% variance with a reliability of α = .945; however, due to international, national and theoretical background, a second exploratory factor analysis was forced extracting two factors that explained 54.48% variance and a reliabity of = .843 for the first factor and α = .935 for the second on. Validity in relation with other variables shows a correlation between the BDI-II and the Alarcón Happiness Scale (r = - 585, p <.001), Jong Gierveld Loneliness Scale (r = .392, p <. 001) and the Reynolds Depression Scale (r = .708, p <.001). Conclusion: Two factor model fits better than the one factor model; however, the BDI-II could be unidimensional.
Keywords: Depression, College students, Factor análisis, Validity, Reliability.
INTRODUCCIÓN
La depresión es un trastorno que se caracteriza por el deterioro en el ánimo de las personas, la disminución del interés y la pérdida del placer, entre otros síntomas cognitivos y somáticos que provocan malestar en el área social, familiar, personal, académica, etc. (American Psychiatric Association [APA], 2014). La Organización Mundial de la Salud [OMS] (2018), estima que, a nivel mundial, la depresión está presente en 300 millones de personas, lo cual ha generado que se la considere un problema de salud pública, incluso en el Perú.
Se estima que hasta el año 2006, en Lima Metropolitana, la depresión junto a otros desórdenes mentales dio lugar a que el 1% de la población cometiera actos suicidas, mientras que en la sierra y en la selva peruana, el intento de suicidio por depresión o sentimientos negativos fuera de 0.7% y 0.6% de la población, respectivamente (Rondón, 2006). Y para el año 2008, 12% de la población presentaba depresión (Ministerio de Salud [MINSA], 2008). Datos recientes señalan que, en Perú, “la depresión está presente en alrededor del 7% de la población adulta de Lima, siendo más frecuente en mujeres (10%), que en varones (3%)” (Vega, 2018, p.40). Y ocupa el primer lugar de trastornos neuro-psiquiátricos que genera pérdida de años de vida saludables y discapacidad, siendo una de las prioridades en salud mental en el país (MINSA, 2018).
Una de las poblaciones más vulnerables a sufrir violencia, consumir sustancias, o experimentar eventos adversos que comprometan su salud física y mental son los adolescentes (Iriarte, Estévez, Basset, Sánchez & Flores, 2018), pues se ven expuestos a estresores familiares, sociales o académicos (Méndez, Guamán, Siguenza & Espinoza, 2018; Sánchez-Villena, 2018) que los puede lleva a morir prematuramente debido a que se hallan en una etapa de transición hacia la vida adulta y muchas veces no saben reconocer ni manejar sus emociones o sus recursos son poco efectivos para afrontar los eventos adversos. Esta situación se observa también en estudiantes universitarios, lo cual se evidencia en metanálisis que indican la presencia de altos grados de sentimientos de desesperanza, depresión, tristeza, ansiedad, pesadumbre e ideación suicida (Regehr, Glancy & Pitts, 2013; Rotenstein et al., 2016; Mortier et al., 2018).
Una de las teorías más difundidas y conocidas que explican la depresión es la teoría cognitiva de Beck (Clark, Beck & Alford, 1999), cuyas bases dieron pie al desarrollo del Inventario de Depresión de Beck (BDI). El BDI tuvo una primera versión que data de 1961 (Beck, Ward, Menderson, Mock & Erbaugh, 1961). Posteriormente se desarrollaron las versiones revisadas como el BDI-IA (Beck & Steer, 1993) y el BDI-II (Beck, Steer & Brown, 1996). Esta última versión cubría los criterios diagnósticos del DSM-IV (American Psychiatric Association [APA], 1995).
Las propiedades psicométricas del BDI-I fueron adecuadas, con una consistencia interna de α= .86 para muestras clínicas y de α= .81 para muestras no clínicas. Además, el BDI-I mostró correlacion con la escala de depresión de Hamilton de .72 en población clínica y en .73 en muestra no clínica (Beck, Steer & Garbin, 1988). Por su parte, el BDI-II mostró una confiabilidad de α= .92 en pacientes externos y de α= .93 en población no clínica; la correlación ítem test fue varió entre .39 y .70 en muestra clínica y de .27 a .74 en estudiantes universitarios (Beck et al., 1996).
La versión traducida al español (España) reporta adecuadas propiedades psicométricas para el BDI-II tanto en población general (Sanz, Perdigón & Vázquez, 2003b) como en estudiantes universitarios (Sanz, Navarro & Vázquez, 2003a), y en pacientes diagnosticados con trastornos psicológicos (Sanz, García-Vera, Espinosa, Fortún & Vázquez, 2005), ya que se reportó confiabilidad de α= .87 para los 21 ítems, α=.89 y α=.89 respectivamente. En cuanto a la validez factorial, en las tres poblaciones se reportó que la depresión estaba compuesta por dos factores: uno somático y otro cognitivo, los cuales mostraban correlación moderada o alta.
La investigación de del Pino, Ibáñez, Bosa, Dorta y Gaos (2012) refiere que algunos reactivos del BDI-II, a veces, pueden pertenecer a una dimensión cognitiva-afectiva y otras veces, estos mismos pueden pertenecer a la dimensión somática, por lo que se probaron diferentes modelos factoriales llegando a la conclusión que la depresión es mejor explicada por los dos factores ya mencionados (cognitivo-afectivo y somático) y un factor general (depresión), mostrando mejor ajuste que otros modelos, a lo cual, los autores lo han denominado modelo General, Somático-afectivo y Cognitivo (G-Sa-C), ya que los indices de bondad de ajuste estuvieron por encima de los puntos de corte recomendados (X2(49)= 80.49,CFI=.947, TLI= .959, RMSEA=.056, SRMR= .096).
En México, el estudio de Estrada, Delgado, Landero y González (2015) refiere que el BDI-II mostró una confiabilidad de α=..88 en el factor general, α=.85 en la dimensión cognitivo-afectiva y α=.74 en la dimensión somático-motivacional en la muestra de estudiantes. Los indices de bondad de ajuste fueron adecuados (X2/gl= 2.8, GFI=.91, RMSEA= .062, RMSR= .024, CFI= .886, IFI=.887).
En Perú, Carranza (2013) encontró que el BDI-II en estudiantes universitarios de Lima mostró dos factores (somático-motivacional y cognitivo – afectivo) que explicaban el 38.09% de la varianza total. La confiabilidad fue calculada mediante el coeficiente alfa, dando como resultado un α=.878.
Asimismo, Rodriguez-Amaro y Daniel (2015) estudiaron las propiedades psicométricas del BDI-II en estudiantes de la ciudad de Huancayo. El análisis factorial exploratorio mostró dos factores con confiabilidad alta pues obtuvieron un α= .837 para la dimensión cognitivo-afectiva y α=.808 para la dimensión somática. El analisis factorial confirmatorio mostró indices de bondad de ajuste adecuados (X2 (151)= 210.898, CFI= .961, GFI= .931, RMSEA= .036, RMR= .027) para el modelo de dos factores correlacionados.
En Cajamarca, solo existe un instrumento adaptado para medir la depresión, sin embargo, solo fue validado en población infantil (Ramirez, 2009). Desde ese año no se ha adaptado, ni analizado las propiedades psicométricas de ningún instrumento, y mucho menos se ha creado un intrumento de medición de la depresión, lo cual urge, pues sin ello los psicólogos o profesionales de la salud mental no podemos obtener datos confiables respecto a este trastorno. Más aún cuando los resultados del estudio epidemiológico del Instituto Especializado de Salud Mental Honorio Delgado - Hideyo Noguchi (IESM HS-HN, 2005) muestran que, entre el 10% y 22% de los cajamarquinos experimentan estados de ánimo negativos como tristeza, angustia o tensión de manera muy frecuente, y que la prevalencia anual de los trastornos depresivos es el más frecuente (8.4%), por encima del consumo de sustancias (8.3%), especialmente en personas de entre 18 y 24 años (10.3%) y mayores a 65 años (12.5%). Y que, quienes intentaron y/o lograron consumar el suicidio, una posible consecuencia de depresión, fueron en su mayoría estudiantes de entre 15 a 25 años y de entre 35 y 45 años (Leal-Zavala, 2012; 2016) surge la necesidad de tener instrumentos con propiedades psicométricas adecuadas para nuestro contexto.
Por tales razones, el presente estudio pretende dar las primeras evidencias de validez y confiabilidad del inventario de Depresión de Beck (BDI-II), en estudiantes cajamarquinos a fin de tener un instrumento que de pie a posteriores investigaciones o sirva de herramienta para la medición, evaluación o diagnóstico de la depresión en estudiantes universitarios de la ciudad de Cajamarca.
MÉTODO
Diseño
De acuerdo con Ato, López y Benavente (2013), la presente es una investigación instrumental, pues tiene como propósito estudiar las propiedades psicométricas del Inventario de Depresión de Beck (BDI-II).
Participantes
En el presente estudio se consideraron a 326 participantes elegidos de manera intencional (Hernández, Fernández & Baptista, 2014), quienes eran estudiantes de la carrera profesional de Psicología de una universidad privada de Cajamarca, de los cuales 239 (73.3%) eran mujeres y 87 (26.7%) eran varones cuyo rango de edad fue de entre 15 y 31 años. La edad promedio fue de 19.7 años (DS= 2.28).
La edad promedio de las 239 mujeres fue de 19.6 años (DS= 2.19) con un rango comprendido entre 15 y 29 años. Mientras que la edad promedio de los 87 varones fue de 20 años (DS=2.51) y un rango comprendido entre 17 y 31 años.
Instrumentos
Inventario de depresión de Beck (BDI-II): El BDI-II es un instrumento diseñado por Beck et al. (1996), el cual consta de 21 ítems que miden dos dimensiones de la depresión en escala de cuatro opciones que va de 0 a 3 puntos. Para su aplicación es necesario que los evaluados tengan una edad mínima de 13 años (Beck et al., 1996). La versión del BDI-II utilizada en este estudio fue la de Brenlla y Rodríguez (2006), estandarizada y validada en Argentina, cuya validez de constructo evidencian dos factores: un factor cognitivo y otro somático-afectivo. La confiabilidad de esta versión mostró un =.93 para la población no clínica y = .92 para población clínica. Los estudios instrumentales nacionales también muestran una estructura bidimensional del BDI-II con consistencia interna alta (α= .878).
Escala de Felicidad de Alarcón: Este instrumento fue diseñado por Alarcón (2006), la cual consta de 27 ítems que miden la felicidad mediante reactivos en escala de tipo Likert con cinco opciones que van desde Totalmente de acuerdo hasta Totalmente en desacuerdo. La escala consta de 10 ítems inversos, los cuales son el ítem 2,7,14,17,18,19,20,22,23 y 23. La escala fue desarrollada y validada en 709 estudiantes universitarios mediante Análisis Factorial, cuyos resultados muestran cuatro factores denominados: Sentido positivo de la vida (α=.88), satisfacción con la vida (α= .79) realización personal (α=.76) y alegría de vivir (α=.72). La escala demostró una elevada consistencia interna (α =.916) en población universitaria (Carranza, 2013).
Escala de soledad de Jong Gierveld (ESJG): La escala de soledad fue diseñada originalmente por De Jong Gierveld y Kamphuis (1985). El instrumento consta de 11 ítems con 3 opciones: Sí, más o menos, y no. Sin embargo, estas puntuaciones se deben dicotomizar transformando las respuestas de “más o menos” y “no” a un punto para los ítems 1,4,7,8 y 11; a los ítems 2,3,5,6,9 y 10 se les asigna un punto si la respuesta es “sí” o “más o menos”. Las propiedades psicométricas en el contexto peruano fueron estudiadas por Ventura-León y Caycho-Rodriguez (2017), quienes reportaron confiabilidad de ω =.83. La validez se obtuvo mediante Análisis Factorial Confirmatorio, el cual mostró que el modelo con dos factores relacionados (S-Bχ2/gl =2.05; SRMR=.05; CFI= .95; RMSEA= .05) y el modelo bifactor (S-Bχ2/gl= 1.34; SRMR=.03; CFI= .99; RMSEA= .03) tuvieron mejor ajuste.
Escala de depresión de Reynolds: La escala de depresión de Reynolds consta de 30 ítems con cuatro opciones de tipo Likert que van desde Casi nunca hasta Casi siempre. Para puntuar la escala es necesario transformar los ítems 1,5,10,12,23,25 y 29 de manera inversa. En Perú, la escala ha sido adaptada por Ugarriza y Escurra (2002) en adolescentes de entre 13 y 18 años, no obstante, también se puede aplicar a personas que sobrepasen esta edad. La confiabilidad mostró un α=.84 para los 30 ítems. El análisis factorial exploratorio mostró 6 factores: desmoralización, cólera y tristeza, anhedonia, baja autoestima, somático vegetativo y ansiedad escolar; mientras que el análisis factorial confirmatorio mostró índices de bondad de ajuste adecuados para confirmar al modelo de segundo orden con los seis factores y dos oblicuos.
Procedimiento
La aplicación de los instrumentos se realizó dentro de la universidad. Los responsables de la investigación solicitaron, inicialmente, permiso al director de carrera y al momento de la aplicación se adjuntó un consentimiento informado, el cual fue firmado por los estudiantes que deseaban participar del estudio.
La base de datos fue creada en Microsoft Excel. Para el análisis factorial exploratorio se usó el software FACTOR versión 10.8.04 (Lorenzo-Seva & Ferrando, 2006). Para el cálculo del coeficiente alfa junto a sus intervalos de confianza se usó el software JASP (JASP Team, 2018). Para el cálculo de correlaciones se usó el programa Jamovi (Jamovi Project, 2018). Y, para calcular el ECV y el coeficiente omega jerárquico del modelo bifactorial exploratorio se hizo uso del módulo de Dominguez-Lara y Rodríguez (2017).
RESULTADOS
Análisis preliminar de los ítems
En la Tabla 1 se muestra que la media de los ítems del BDI-II oscilan entre .436 (ítem 9: pensamientos o deseos suicidas) y 1.04 (ítem 16 cambios en los hábitos de sueño). En cuanto a la variabilidad, el ítem 10 muestra la más alta y el ítem 4 la más baja. Los valores de la curtosis y asimetría indican una distribución normal univariada, pues los valores oscilan entre ± 1.5 (Pérez & Medrano, 2010) a excepción del ítem 9. No obstante, el análisis de Mardia (1970) mostró p=1.00 para la asimetría y p<.001 para la curtosis, indicando un exceso de esta.

Índice de homogeneidad
Como se observa en la Tabla 2, todos los ítems mostraron una correlación ítem-test corregida superior a .200, criterio establecido por Kline (1993). En cuanto a los ítems que muestran mayor correlación son el ítem 14, el ítem 17 y el ítem 7; mientras que los ítems con menos correlación son el ítem 10 16 y 21

Análisis factorial exploratorio
Para determinar si la muestra era adecuada para aplicar el AFE se utilizó la medida de adecuación de la muestra de Kaiser-Meyer-Olkin (KMO), la cual mostró un valor de .958. La matriz de correlaciones fue estadísticamente significativa (p<.01). Y el test de esfericidad de Barlett mostró un X2(210) = 3706.9 (p<.01). Lo cual indica que es posible realizar un AFE (Abad, Olea, Ponsoda & García, 2012).
Si bien, la recomendación actual es hacer uso de la matriz de correlaciones policóricas por la naturaleza ordinal de los ítems (Richaud, 2005), en esta ocasión se optó por considerar la matriz de correlación de Pearson debido a que se compararon las soluciones factoriales haciendo uso de ambas matrices (Ferrando & Lorenzo-Seva, 2014) mostrando resultados muy similares. Además, la matriz de correlación de Pearson es recomendada si se tiene suficiente cantidad de categorías en los ítems pues muestra más información que la matriz policórica como los índices de bondad de ajuste (Lloret-Segura, Ferreres-Traver, Hernández-Baeza & Tomás-Marco, 2014).
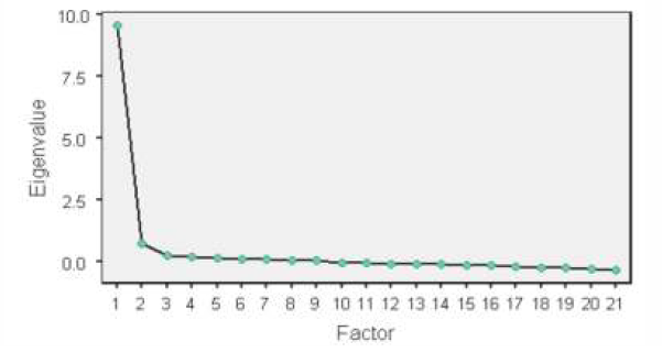
El método de extracción utilizado fue Máxima Verosimilitud (ML) y para determinar el número de factores a retener se hizo uso del análisis paralelo de Horn (1965). No obstante, siguiendo la recomendación de Lloret-Segura et al. (2014) de retener factores con diferentes métodos, también se consideraron, además, el gráfico de sedimentación que sugiere la extracción de dos factores (Ver Figura 1), el tamaño de saturación de los ítems, los cuales fueron mayores a .40, y el número de ítems en el factor, los mismos que superan a los 3 o 4 sugeridos.

Ante ello, y dado que las investigaciones internacionales (Beck et al. 1996; Sanz & García-Vera, 2013; Sanz et al., 2003a; 2003b) y nacionales (Carranza, 2013) apuntan a la existencia de dos factores (cognitivo-afectivo y somático), se llevó a cabo un segundo análisis factorial exploratorio extrayendo dos factores. Para este propósito se usó la rotación Promin (Lorenzo-Seva, 1999) debido a que los factores mostraron una correlación de r= .845. En el caso del modelo monofactorial, este explicó el 48.16% de varianza y mostró un valor Eigen de 10.11. En el caso del modelo de dos factores, estos, de manera conjunta, explicaron el 54.48% de varianza que corresponden al 48.16% para el primero y 6,32% para el segundo con un valor Eigen de 10.11 y 1.326 respectivamente. Además, debido a que en el modelo de dos factores el primero explica una buena cantidad de varianza y los factores muestran una correlación alta (.842), se realizó un modelo bifactor exploratorio mediante la transformación de Schmid – Leiman (Schmid & Leiman, 1957), el cual mostró cargas factoriales superiores en el factor general y un ECV=.871 indicando un factor general fuerte (Rodriguez, Reise & Haviland, 2016).
En el modelo de un factor, los ítems muestran cargas factoriales superiores a .40, siendo el ítem 21 el que mostraba la menor carga factorial y el ítem 14 el con mayor carga factorial (Ver Tabla 3).

Confiabilidad
La confiabilidad fue obtenida a través del coeficiente alfa. El modelo de un solo factor arrojó un α= .944 [.935, .952]. Mientras que el modelo de dos factores mostró un α= .843 [.814, .866] para el primer factor y un α= .935 [.923, .944] para el segundo factor. La confiabilidad obtenida para el modelo bifactorial exploratorio fue de ωH= .892 para el factor general y de ωH= .176 y ωH = .068 para el primer y segundo factor, respectivamente.
En la Tabla 4 se exponen los índices de bondad de ajuste para el AFE de un solo factor extraído. Se observa que el Error de aproximación de la media cuadrática (RMSEA) muestra un valor de .073 (>.06), el Índice de ajuste comparativo (CFI) muestra un valor de .977 (>.95), el índice de bondad de ajuste (GFI) muestra un valor de .989 (>.95). En el caso del modelo con dos factores, se muestra un RMSEA=.053 (<.06), CFI=.989 (>.95) y GFI= .995 (>.95). Siendo, entonces, el modelo con dos factores el que evidencia mejor ajuste.

Validez en relación con otras variables
Para la validez convergente se usó la correlación de Pearson cuyos coeficientes muestran que el BDI-II tiene una correlación moderada con la puntuación total de la Escala de Depresión de Reynolds (r=. 708, p<.001) y con las sub escalas de desmoralización (r=. 657, p<.001), cólera y tristeza (r=. 667, p<.001), anhedonia (r=. 669, p<.001), baja autoestima (r=. 267, p<.001), somático vegetativo (r=. 538, p<.001) y ansiedad escolar (r=. 449, p<.001).
En cuanto a la validez divergente, BDI-II correlacionaba, de manera inversa y moderada con la Escala de Felicidad (r=. -585, p<.001) y sus cuatro sub escalas de sentido positivo de la vida (r=-.548, p<.001), satisfacción con la vida (r= -.497, p<.001) realización personal (r= -.457, p<.001) y alegría de vivir (r=-.484, p<.001).
Respecto a la validez predictiva, el BDI-II correlacionaba inversa y moderadamente con la Escala de Soledad (r=. 392, p<.001), superando el mínimo recomendado (r≥.20).
DISCUSIÓN
El objetivo principal de la presente investigación fue analizar las propiedades psicométricas del BDI-II (Beck et al., 1996) para mostrar las evidencias de su confiabilidad y validez, tanto de constructo como en relación con otras variables, a fin de tener un instrumento adecuado para medir la depresión en contextos universitarios, sobre todo en Cajamarca, donde no contamos con uno.
Por tal motivo, el estudio inició con el análisis descriptivo de los ítems, donde se muestra que el ítem 16, correspondiente a cambios en los hábitos del sueño fue el con mayor promedio, en contraste el ítem 9 que corresponde a Pensamientos o deseos suicidas fue el con menor promedio.
Cuando analizamos el índice de homogeneidad, todos los ítems estuvieron correlacionados por encima del .20 con el total de la escala (Kline, 1993), superando, incluso, criterios más rigurosos pues la correlación ítem – test más baja fue de .48 (pérdida de interés en el sexo), muy cerca al .50 (Hair, Anderson, Tatham & Black, 1999; Robinson, Shaver & Wrightsman, 1991), lo cual sugiere que todos los ítems apuntan hacia la misma dirección y pertenecen al constructo de Depresión.
Para determinar la estructura factorial del BDI-II se optó por el análisis factorial exploratorio(AFE) y no por el confirmatorio (AFC), debido a la falta de antecedentes locales, por lo que consideramos prudente, primero, explorar su estructura, más aún teniendo en cuenta que el BDI-II, aparentemente, es inestable en el sentido de que, algunos ítems cargan más en el factor cognitivo-afectivo, y otras, estos mismos reactivos, muestran mayor carga factorial en la dimensión somática (del Pino et al. 2012). Los resultados iniciales del análisis factorial exploratorio sugirieron la existencia de un solo componente. No obstante, debido a que los estudios internacionales (Beck et al. 1996; Sanz & García-Vera, 2013; Sanz et al., 2003a; 2003b) y nacionales (Carranza, 2013; Rodriguez-Amaro & Daniel, 2015) apuntan a la existencia de dos factores, se hizo un segundo AFE, el cual mostró mejor ajuste que el primer modelo, coincidiendo con las investigaciones ya referidas. Además, las cargas factoriales en este estudio difieren de las investigaciones nacionales, confirmando lo planteado por del Pino et al. (2012), que no todos los ítems siempre pertenecen a la misma dimensión. Esto podría ocurrir debido a diferencias culturales (Prieto & Delgado, 2010) en la manifestación de los sintomas depresivos.
Por otro lado, cabe señalar que la correlación entre los dos factores es alta (.842), lo cual coincide con los hallazgos de Rodriguez-Amaro y Daniel (2015), quienes también encontraron una correlación de .84 entre las dos dimensiones, lo que podría sugerir la existencia de unidimensionalidad (Reise, 2012), y por lo tanto la interpretación de las dos dimensiones del BDI-II no estaría justificada , tal como han concluido Brouwer y Meijer (2013). Esto debido a que si bien los índices de bondad de ajuste mostrados sugieren una mejor explicación del modelo de dos factores frente al modelo de un solo factor, este último también tiene índices nada despreciables. Además, el modelo unidimensional sería más parsimonioso debido a que el coeficiente Omega jerárquico (>.70) junto al ECV (.871) indican a favor de la unidimensionalidad del BDI-II (Rodriguez et al., 2016). Lo anterior contrastaría con la versión original del BDI-II (Beck et al. 1996) y las versiones traducidas al español (Brenlla & Rodriguez, 2006; Sanz & García-Vera, 2013; Sanz et al., 2003a; 2003b). De todas formas, los resultados aquí hallados no son concluyentes, pues aún falta confirmar la estructura mediante métodos confirmatorios como el AFC y con una mayor cantidad de participantes.
Respecto a la validez en relación con otras variables, el BDI-II mostró una correlación directa y moderada con la Escala de Depresión de Reynolds (EDAR) (r=.708, p<.001), lo que señala que el BDI-II está midiendo el mismo constructo que el EDAR, es decir, la depresión, lo que coincide con el estudio de (Ugarriza & Escurra, 2002) y evidencia la validez convergente.
La validez divergente se evidenció con la correlación entre el BDI-II y la Escala de Felicidad de Alarcón (Alarcón, 2006) el cual mostró un r=.-585, lo cual coincide con el estudio de (McGreat & Joseph, 1993), quien reportó correlación estadísticamente significativa (r= .-73) entre el Inventario de Depresión de Beck y la Escala de Depresión-Felicidad debido a los sentimientos negativos, contrarios a la felicidad, asociados a la depresión y, por lo tanto, a la bipolaridad de ambos constructos.
Además, el BDI-II mostró una correlación estadísticamente significativa y directa (r=.392) con la escala de soledad de Jong Gieverd (Ventura-León & Caycho-Rodriguez, 2017), lo cual se sustenta teóricamente con estudios que señalan a la soledad como un factor de riesgo para la depresión (Cacioppo, Hughes, Waite, Hawkley & Thisted, 2006; Holwerda et al., 2016), con lo cual se muestra evidencias de validez de criterio.
En cuanto a la confiabilidad, los resultados obtenidos mediante el coeficiente alfa indican un nivel adecuado de fiabilidad, superando el .80 sugerido (Campo-Arias & Oviedo, 2008) tanto para la escala general como para las dimensiones. Es importante recalcar que el coeficiente alfa en este estudio es mayor que los reportados en los antecedentes nacionales (Carranza, 2013; Rodriguez-Amaro & Daniel, 2015). De igual manera, el coeficiente omega jerárquico mostró una buena confiabilidad para el factor general (>.70), lo cual es un indicador a favor de la unidimensionalidad (Reise, Scheines, Widaman & Haviland, 2013), tal como se discutió en párrafos anteriores.
En conclusión, según los resultados expuestos, el Inventario de Depresión de Beck (BDI-II) ha mostrado adecuadas propiedades psicométricas en estudiantes universitarios de la ciudad de Cajamarca, por lo que puede ser un instrumento de medición de la depresión en tal población. Sin embargo, es importante recalcar que este es un estudio inicial del BDI-II en Cajamarca, y por lo tanto los resultados no son concluyentes, pues si bien el AFE sugiere dos componentes, señalamos que una estructura más parminiosa es el modelo unidimensional, sin embrgo aún no está confirmada, por lo que es necesario realizar un AFC y probar la invarianza factorial en hombres y mujeres con un mayor número de participantes.
REFERENCIAS
Abad, F., Olea, J., Ponsoda, V., & García, C. (2012). Medición en ciencias sociales y de la salud. Madrid: Editorial Síntesis.
Alarcón, R. (2006). Desarrollo de una Escala Factorial para Medir la Felicidad. Revista Interamericana de Psicología, 40(1), 99-106.
American Psychiatric Association [APA]. (1995). Manual diagnóstico y estadístico de los trastornos mentales DSM-IV. Barcelona, España: Masson, S.A.
American Psychiatric Association [APA]. (2014). Manual Diagnóstico y Estadístico de los Trastornos Mentales DSM-V. Washington, DC: American Psychiatric Association Publishing.
Ato, M., López, J. J., & Benavente, A. (2013). Un sistema de clasificación de los diseños de investigación en psicología. Anales de Psicología, 29(3), 1038-1059.
Beck, A. T., & Steer, R. A. (1993). Manual for the Beck Depression Inventory. San Antonio, TX: Psychological Corporation.
Beck, A. T., Steer, R. A., & Garbin, M. (1988). Psychometric properties of the beck depression inventory: Twenty-five years of evaluation. Clinical Psychology Review, 8, 77-100.
Beck, A. T., Ward, C., Menderson, M., Mock, M., & Erbaugh, J. (1961). An inventory for measuring depression. Archives of general psychiatry, 4(6), 561-571.
Beck, A., Steer, R. A., & Brown, G. K. (1996). BDI-II. Beck Depression Inventory-Second Edition. San Antonio: The Psychological Corporation.
Bentler, P. (1995). Structural Equations Program. Encino, CA: Multivariate Software, Inc.
Brenlla, M. E., & Rodriguez, C. (2006). BDI-II Inventario de Depresión de Beck segunda edición (2da edición ed.). Buenos Aires: Paidós.
Brouwer, D., & Meijer, R. (2013). On the Factor Structure of the Beck Depression Inventory-II: G Is the Key. Psychological Assessment, 25(1), 136-145. doi:https://doi.org/10.1037/a0029228
Cacioppo, J., Hughes, M., Waite, L., Hawkley, L., & Thisted, R. (2006). Loliness as a specific risk factor for depressive symptoms: cross-sectional and longitudinal analyses. Psychology and aging, 21(1).
Campo-Arias, A., & Oviedo, H. (2008). Propiedades psicométricas de una escala: La consistencia interna. Revista de Salud Pública(10), 831-839.
Carranza, R. (2013). Propiedades psicométricas del Inventario de Depresión de Beck en Universitarios de Lima. Revista de Psicología, 15(2), 170-182.
Clark, D., Beck, A., & Alford, B. (1999). Scientific Foundations of Cognitive Theory and Therapy of Depression. Toronto: John Wiley & Sons.
De Jong Gierveld, J., & Kamphuis, F. H. (1985). The development of a Rasch-type loneliness scale. Applied Psychological Measurement, 9(3), 289-299. doi:10.1177/014662168500900307
del Pino, A., Ibáñez, I., Bosa, F., Dorta, R., & Gaos, M. T. (2012). Modelos factoriales del Inventario de Depresión de Beck-II. Validación con pacientes coronarios y una crítica al modelo de Ward. Psicothema, 24(1), 127-132.
Dominguez-Lara, S. A., & Rodriguez, A. (2017). índices estadísticos de modelos bifactor. Interacciones, 3(2), 56-65. doi:10.24016/2017.v3n2.51
Estrada, B., Delgado, C., Landero, R., & González, M. T. (2015). Propiedades psicométricas del modelo bifactorial del BDI-II (versión española) en muestras mexicanas de población general y estudiantes universitarios. Universitas Psychologica, 14(1), 125-136.
Ferrando, P., & Lorenzo-Seva, U. (2014). El Análisis Factorial Exploratorio de los ítems: algunas consideraciones adicionales. Anales de Psicología, 30(3), 1170-1175. doi: https://dx.doi.org/10.6018/analesps.30.3.199991
Hair, J. F., Anderson, R. E., Tatham, R. L., & Black, W. C. (1999). Análisis Multivariante (5ta ed.). Madrid, España: Prentice Hall.
Hernández, R., Fernández, C., & Baptista, P. (2014). Metodología de la investigación (6ta ed.). México: McGraw Hill.
Holwerda, T., Van Tilburg, T., Deeg, D., Schutter, N., Van, R., Dekker, J., . . . Schoevers, R. (2016). Impact of loleliness and depression on mortality: results from the Longitudinal Ageing Study Amsterdam. The British Journal of Psychiatry, 209, 127-134. doi:10.1192/bjp.bp.115.168005
Horn, J. L. (1965). A rationale and test for the numbers of factors in factor analysis. Psychometrika, 30(2), 179-185.
Instituto Especializado de Salud Mental Honorio Delgado - Hideyo Noguchi [IESM HS-HN]. (2005). Estudio Epidemiológico de Salud Mental en Cajamarca 2003. Lima, Perú. Obtenido de http://www.insm.gob.pe/investigacion/archivos/estudios/2003-SMI010-EESM-C/files/res/downloads/book.pdf
Iriarte, M. T., Estévez, R., Basset, I., Sánchez, A., & Flores, J. (2018). Estado de salud mental de adolescentes que cursan la educación media superior. Revista Iberoamericana de las Ciencias de la Salud, 7(13), 100-124.
Jamovi Project. (2018). Jamovi (Versión 0.9) [Computer Software]. Obtenido de https://www.jamovi.org
JASP Team. (2018). JASP (Version 0.9)[Computer software]. Obtenido de https://jasp-stats.org/
Leal-Zavala, R. (2012). Caracterización del intento suicida en el Hospital Regional de Cajamarca. Revista de Salud Mental, 1(1), 9-14.
Leal-Zavala, R. (2016). Caracterización del suicidio consumado en la división médico legal de Cajamarca y Cajabamba. Revista Perspectiva, 17(1), 77-92.
Lloret-Segura, S., Ferreres-Traver, A., Hernández-Baeza, A., & Tomás-Marco, I. (2014). El análisis factorial exploratorio de los ítems: una guía práctica, revisada y actualizada. Anales de psicología, 30(3), 1151-1169.
Lorenzo-Seva, U. (1999). Promin: A Method for Oblique Factor Rotation. Multivariate Behavioral Research, 34(3), 347-365. doi:DOI: 10.1207/S15327906MBR3403_3
Lorenzo-Seva, U., & Ferrando, P. (2006). FACTOR: A computer program to fit the exploratory factor analysis model. Behavioral Research Methods, Instruments and Computers, 38(1), 88-91.
Mardia, K. V. (1970). Measures of multivariate skewnees and kurtosis with applications. Biometrika, 57, 519-530.
McGreat, R., & Joseph, S. (1993). The depression-happiness scale. Psychological Reports, 73(3), 1279-1282.
Méndez, G., Guamán, M., Siguenza, W. G., & Espinoza, A. (2018). Estudio descriptivo de los sucesos de vida estresores en adolescentes. INNOVA Research Journal, 3(6), 40-52.
Ministerio de Salud [MINSA]. (2008). Guía de Práctica Clínica en Depresión. Lima, Perú: Ministerio de Salud.
Ministerio de Salud [MINSA]. (2018). Plan Nacional de Fortalecimiento de Servicios de Salud Mental Comunitaria 2018-2021. Lima, Perú: Ministerio de Salud.
Mortier, P., Cuijpers, P., Kiekens, G., Auerbach, R., Demyttenaere, K., Green, J., . . . Bruffaerts, R. (2018). The prevalence of suicidal thoughts and behaviours among college students: a meta-analysis. Psychological Medicine, 48, 554-565. doi:10.1017/S0033291717002215
Organización Mundial de la Salud [OMS]. (2018 de Marzo de 2018). Centro de prensa de la Organización Mundial de la Salud. Obtenido de https://www.who.int/es/news-room/fact-sheets/detail/depression
Pérez, E. R., & Medrano, L. (2010). Análisis Factorial Exploratorio: Bases Conceptuales y Metodológicas. Revista Argentina de Ciencias del Comportamiento, 2(1), 58-66.
Prieto, G., & Delgado, A. R. (2010). Fiabilidad y validez. Papeles del Psicólogo, 3(1), 67-74.
Ramirez, R. (2009). Adaptación del inventario de depresión infantil de Kovacs en escolares de la ciudad de Cajamarca. Tesis de licenciatura, Pontificia Universidad Católica del Perú, Lima, Perú.
Regehr, C., Glancy, R., & Pitts, A. (2013). Interventions to reduce stress in university students: A review and meta-analysis. Journal of Affective Disorders, 148(1), 1-11.
Regehr, C., Glancy, D., & Pitts, A. (2013). Interventions to reduce stress in university students: A review and meta-analysis. Journal of Affective Disorders, 148(1), 1–11. doi:10.1016/j.jad.2012.11.026
Reise, S. P. (2012). The rediscovery of bifactor measurement models. Multivariate Behavioral Research, 47(5), 667-696. doi:10.1080/00273171.2012.715555
Reise, S. P., Scheines, R., Widaman, K. F., & Haviland, M. G. (2013). Multidimensionality and structural coefficient bias in structural equation modeling: A bifactor perspective. Educational and Psychological Measurement, 73(1), 5-26. doi:10.1177/0013164412449831
Richaud, M. C. (2005). Desarrollos del análisis factorial para el estudio de ítems dicotómicos y ordinales. Revista Interdisciplinaria, 22(2), 237-251.
Robinson, J. P., Shaver, P. R., & Wrightsman, L. S. (1991). Criteria for Scale Selection and Evaluation. Measures of Personality and Social Psychological Attitudes, 1-16. doi:https://doi.org/10.1016/B978-0-12-590241-0.50005-8
Rodriguez, A., Reise, S. P., & Haviland, M. G. (2016). Evaluating bifactor models: Calculating and interpreting statistical indices. Psychological Methods, 21(2), 137-150. doi:10.1037/met0000045
Rodriguez-Amaro, E., & Daniel, F. (2015). Propiedades psicométricas del Inventario de Depresión de Beck en estudiantes de secundaria de Huancayo, 2013. Revista de Investigación Universitaria, 4(2), 71-78.
Rondón, M. B. (2006). Salud Mental: un problema de salud pública en el Perú. Revista Peruana de Medicina Experimental y Salud Pública, 23(4), 237-238.
Rotenstein, L., Ramos, M., Torre, M., Segal, B., Peluso, M., Guille, C., . . . Mata, D. (2016). Prevalence of Depression, Depressive Symptoms,and Suicidal Ideation Among Medical Students A Systematic Review and Meta-Analysis. Jama, 316(21), 2214-2236.
Sánchez-Villena, A. (2018). Relación entre estrés académico e ideación suicida en estudiantes universitarios. Eureka Revista Científica de Psicología, 15(1), 28-38.
Sanz, J., & García-Vera, M. P. (2013). Rendimiento diagnóstico y estructura factorial del Inventario de Depresión de Beck-II (BDI-II). Anales de Psicología, 29(1), 66-75.
Sanz, J., García-Vera, M. P., Espinosa, R., Fortún, M., & Vázquez, C. (2005). Adaptación española del Inventario para la Depresión de Beck-II (BDI-II): 3. propiedades psicométricas en pacientes con trastornos psicológicos. Clínica y Salud, 16(2).
Sanz, J., Navarro, M. E., & Vázquez, C. (2003a). Adaptación española del Inventario para la Depresión de Beck-II (BDI-II): 1. Propiedades psicométricas en estudiantes universitarios. Análisis y Modificación de Conducta, 29, 239-288.
Sanz, J., Perdigón, A. L., & Vázquez, C. (2003b). Adaptación española del Inventario para la Depresión de Beck-II (BDI-II): 2. Propiedades psicométricas en población general. Clínica y Salud, 14(3), 249-280.
Schmid, J., & Leiman, J. N. (1957). The development of hierarchical factor solutions. Psychometrika, 22, 53-61. doi:10.1007/bf02289209
Ugarriza, N., & Escurra, M. (2002). Adaptación psicométrica de la Escala de Depresión para Adolescentes de Reynolds (EDAR) en estudiantes de secundaria de Lima Metropolitana. Persona, 5, 83-130.
Vega, J. (2018). Depresión: un enfoque general para los profesionales de la salud. Lima, Perú: Universidad Peruana Cayetano Heredia.
Ventura-León, J. L., & Caycho-Rodriguez, T. (2017). Validez y fiabilidad de la escala de soledad de Jong Gierveld en jóvenes adultos peruanos. Psiencia Revista Latinoamericana de Ciencia Psicológica, 9(1), 1-18.