Post - colonial agricultural participat ion in livelihood strengthening
Post - colonial agricultural participat ion in livelihood strengthening
Research, Society and Development, vol. 7, no. 2, pp. 01-13, 2018
Universidade Federal de Itajubá

Received: 06 November 2017
Accepted: 22 November 2017
Abstract: Post-colonial agricultural initiatives, programmes and models in Nigeria are aimed at empowering rural farmers to better yields and productivity while creating employment at community level. It necessitates food security, quality domestic food production and improvement in general welfare and livelihood and the farmers. The post-colonial era in Nigeria has witnessed numerous agricultural programmes. Example includes but not the least, the National Accelerated Food Production Project (NAFPP) 1972, Agricultural Development Projects, ADPs 1975, the Accelerated Development Area Project ADAP 1982, and the Multi-state Agricultural Development Projects MSADP 1986. The application of PEA in AVM ensures that positive outcomes and productions are expected through increase in farmers' awareness of modern technologies and practices. AVM is a multidisciplinary and multidimensional approach to improve the livelihood of rice farmers. Structured questionnaire and face to face interview were used to collect the data and SPSS was used to analyse the data. Human livelihood capital is characterized as a two-way thing, that is, it is concerned with both environmental influence on human life and human influences on the environment, focusing on the nature and quality of the relationship that exists between human communities and the ecosystem and how the environment provides the resource base for human existence. AVM prompted a shift from the usual way of financing farm projects to government involvement and providing farmers with information on how to secure loans, credit and financial incentives. Therefore, the study conclude that the introduction and adoption of AVM brought about substantial changes to the farmers livelihood capitals.
Keywords: Post-Colonial, participation, Agriculture, Farmers, Livelihood.
1. Introduction
Nigeria has in recent decades promulgated and implemented various agricultural programmes, policies and model with the aim of empowering rural farmers to better yields and productivity while creating employment at community level. These programmes have had pre, colonial and post colonial effects on agricultural practices in Nigeria, Madukwe (1995). During the pre-colonial periods, rural farmers were taught by the British to practice crop and livestock farming. The colonial period saw an intensification of agricultural productivities by the British.
According to Bishop (2009) The British first step establish the Department of Botanical Research in 1893 in Olokomeji (in former Western Nigeria, now in Lagos, South West Nigeria). Secondly in 1905, they established Cotton-growing Association with the acquisition of 10.35 square kilometers of land referred to as Moor plantation, Ibadan. This was done to supplement the cotton industry sustain the British textile mills. Since the pre-colonial era, Nigeria has seen mass agricultural development initiatives, particularly during the colonial period included the establishment of the Unified Department of Agriculture in 1921, the Kware Irrigation Scheme in 1926, and the Niger Agricultural Project in 1949, Bishop (2009). Notably during colonial period was the establishment of the Federal Ministry of Agriculture, however the extension arm of the ministry was established in 1967 as a result of the diversification of the country from region sections to the creation of 12 states from the four regions.
The post-colonial era has witnessed numerous agricultural programmes. Example includes but not the least, the National Accelerated Food Production Project (NAFPP) 1972, Agricultural Development Projects, ADPs 1975, the Accelerated Development Area Project ADAP 1982, and the Multi-state Agricultural Development Projects MSADP 1986, Jibowo (2005).
Furthermore there are other programmes such as Operation Feed the Nation, OFN 1976, the River Basin Development Authority RBDA 1973, the Green Revolution Programme 1980, the Directorate of Foods Roads and Rural Infrastructure DFRRI 1986, the National Directorate of Employment NDE 1986, the Nigeria Agricultural Insurance Scheme NAIS 1987, the National Fadama Development Project NFDP 1992, the Poverty Alleviation Programme PAP 2000, National Economic Empowerment and Development Strategy- NEEDS 2004, and the National Special Programme for Food Security NSPFS 2003 and in 2009, adopted village model was initiated (Bishop 2009; Ogunsumi 2013; Umar 2013).
For the purpose of the study, post colonial AVM is focused on, to determine the impact on the livelihood capitals of the rural rice farmers. Further discussions would be guided by the postulation of DFID (2000) and Scoones (1998) sustainable livelihood framework.
Unlike other policies and programmes initiated in the past to improve agricultural productivity in Nigeria; example- Agriculture Development Programmes (ADP), Root and Tuber Expansion Program (RTEP); the National Special Program on Food Security (NSPFS); FADAMA phases 1, 2, 3 and 4; Community Based Agriculture and Rural Development Project (CBARDP) and Adopted Village Model (AVM) as the most recent initiative.
The difference is, AVM is an extension model introduced in other to demonstrate innovative interventions among similar crop producing farmers. It is an intervention to different food crops to make them a model. It is the collection of a number of villages within a demographic zone with similar crop production to make them a model for that particular crop and a reference to other farmer’s who produce similar crops in other areas in Nigeria. In the case of the study, rice farmers in Abia State are adopted to make a model. The model is therefore used as reference to other rice producing areas in Nigeria. In terms of Sustainable Livelihood Framework (SLF), AVM can be categorized into 5 capitals because Scoones (1998) Skills for Community-based Resource Utilisation and Management (SCRUM) and Department For International Development- DFID (2000) believes that it is through the interaction of these 5 capitals that leads to sustainable livelihood.
Technology and innovation initiatives of AVM are participatory in nature while targeted rice farmers are assumed to be at the centre of the project through bottom-up participation. According to Cornwall (2010), participation in the community projects and activities refers to the involvement of the targeted people in responsible and challenging positions, essentially to meet their genuine needs. AVM is constituted to strive towards food security and food sufficiency in Nigeria. Because an estimate of 1.4 billion people still live in extreme poverty around the world, seventy-five (70) per cent live and farm (subsistent farming) in rural areas of developing countries, especially in Sub-Saharan Africa (SSA) and Southern Asia (UN 2011; IFAD 2011). The origin of AVM is traced to the collaboration and consultations between Agricultural Research Council of Nigeria (ARCN) under Federal Ministry of Agriculture and Rural Development (FMARD), they established the adopted village program in 2009 (Ogunsumi 2013).
AVM was fully introduced and operational in 2009 and rice producing villages in Abia State were adjudged potential areas for rice production adoption. Farmer’s in the adopted villages are provided with necessary infrastructure support and equipment, credit facilities, group formation, linkage with input dealers and markets storage systems, information technologies and seeds. The provision of all these services is to empower rice farmer’s to enhance their productive capacities (human capital), yields (natural/physical capital) and income (social/financial capital), meant to improve their wellbeing and livelihood capitals. The AVM intervention period covers 5 years. The services provided to rice farmers through AVM can be categorized into human, social, physical, financial, natural livelihood capitals. These are essentials for the rice farmer’s to have sustainable livelihood outcomes.
2. AVM and Community Farmers
AVM aims to target specific crops dominant in the community, it adopt the Participatory Extension Approach (PEA). PEA is mostly adopted to ensure that all farmers within the target villages are properly mainstreamed into the model. Arguably, the farmer’s are constrained by many factors including poor access to quality rice seeds, credit facilities, poor infrastructure, inadequate access to markets, land and environmental degradations, inadequate research and extension services, Akinola et.al (2013). However, Onwualu et.al (2012) posits that application of PEA in AVM ensures that positive outcomes and productions are expected through increase in farmers' awareness of modern technologies and practices.
3. Rural Transformation, Economic Development and AVM
AVM is seen as leverage for rural transformation and economic development through; a) improved livelihood (livelihood strategies); b) community awareness on modern technology and innovation; c) provision of seedlings and the applications; d) rural farmers means of livelihoods are sustainability. According to Umar (2013) to enhance rural transformation and economic development, rural farmers need to be taught, need to participate, need to be equipped with basic and new trends in agricultural productivities and need to be supported by the government. To acquaint the farmers with improve practices that will increase rice production and enhance their livelihood capitals.
According to Akinola et.al (2013) AVM is a multidisciplinary and multidimensional approach to improve the livelihood of rice farmers in the Abia State. Especially, to positively develop an integral unit among the rice farmers economic development, infrastructural development and other aspects of human development which include education, health, and availability of clean drinking water.
Before the adoption and during the field work as well as observations, it became clear that the model “AVM” had limitations. It was observed that there were issues that constituted constraint to the study. Amongst them were transportation and marketing, communication and links with information, financial skills and assistance from government, lack of production equipment’s and modern production techniques, extension service and farmer linkages.
Other factors, such as access to credit and loans, market structures in terms of port (local and national markets) of sales and identification of potential viable markets. Adaptation to technology changes, capacity building, profit/commercial farming were all lacking before the adopted villages. Based on the aforementioned, the study would explain whether life and farming became significantly improving, if yields and income of the farmers has changed “after” AVM. The study would explain the livelihood capitals of the rice farmer’s before AVM, analyse data collected then provide vivid interpretation of the livelihood capitals of the rice farmer’s.
The study would argue comprehensive AVM programme and impact factors, addressing the issues of the disparities between what the farmer’s “want” and what they “need”. Notably, the government generalized the concept and adopted a pattern of systematic provision of procedures in approaching and application of AVM. As a model, farmers are expected to fit into the model in an attempt to addressing the needs and challenges of the individual and collective farmers.
As such, participation in AVM to an extent exhibited some traces and characteristics of a top-down approach. Central to the study are the five livelihood capitals of the farmers, postulated by the DFID and Scoones as related to the study. Therefore, the study discusses the relationship and association of these capitals in other to determine the impact of AVM on the rice farmers with respect to the Sustainable Livelihood Framework (SLF).
The study explore the 5 livelihood capitals (Natural, Physical, Social, Human and Financial/Economic capitals of the farmer’s) to address the discrepancies as observed during the field work. Moreover, the study is among pioneer studies of AVM but in this case rice farming and AVM in Abia State. It would make significant contribution to the understanding of AVM and rice farming in Abia State with respect to their livelihood capitals which are measure on “before” and “after” AVM adoption. Major variables that guided the study was the ‘age’, ‘education background’, ‘households’, ‘gender’ and ‘experience’. That is to say that recipients of AVM were motivated by age and experience. Therefore, age and experience of rice farmer’s was significant in AVM.
Experience was significant because farmers with more experience and years in farming arguably responded well to the AVM. From the demographics of the farmer’s, their livelihood capitals were positively enhance due to AVM and based on their farming experience. Therefore, the objective of the study centres on the farmer’s demography, Natural, Physical, Social, Human and Financial/Economic livelihood capitals of the rice farmer’s all things being equal. Relevant references and arguments are made to ascertain the degree of association of the capitals to AVM.
The study is chosen because the rice farmers in Abia State were projected to be at the lowest point of rice farming and productions as well as in their social and economic productivities. With low yields due to soil infertility and degradation, with subsistent farming (estimated) at almost zero income, lack of credit facilities, lack access to water and irrigation services, not forgetting quality of extension services.
Prominent instruments adopted for the dissemination of AVM innovation and technologies include the use of picture displays, group formation, linking farmer’s to support services required for rice cultivation and general rice agronomic practices, on and off farm activities to communicate the message of AVM. Therefore, the study will seek to address the following questions.
4. Research Objective
To determine the impact of post-colonial AVM on livelihood capitals of the rice farmers.
5. Methodology
At the creation of Abia State in 1991, it was estimated that the population was 1.19 million. Subsequent census of 2006 shows population increase to 2,833,999. The last census of 2011 shows the population at 3,250,816 (ABSG 2013). “Abia” is an acronym coined from the initial letters of four major tribal groups in the State which includes Aba, Bende, lsuikwuato and Afikpo (ABIA). The State lies between longitudes 7o 231 and 80 021 East of Greenwich meridian and latitudes 5o 491 and 6o 121 North of the equator (Ezeh et.al. 2012). Total land area for the State 5,834 sq.km which is approximately 5.8 per cent of the total land area of Nigeria.

A sample size of two hundred and thirty one (231) respondents was captured through a structured questionnaire out of sum total of 430 farmers within Umuahia south anf Ohafia AVM zones. Therefore, 231 number constituted the sample population of the study. The respondents were zone into two (2) that is, Umuahia zone with one hundred and eleven (111) respondents, Ohafia zone with one hundred and twenty (120) respondents. All the respondents were rice farmers in the various villages. They were sampled based on their knowledge and experience on rice farming in the State.
Therefore, the post-colonial AVM model to address the study objective follows as such;

Where AVM = Adopted Village Model
HC = Human Capital
SC = Social Capital
PC = Physical Capital
FC = Financial Capital
NC = Natural Capital
As an extension model, it is aimed at impacting positively to alleviate the most vulnerable farmers to ensure that the livelihood is improved, sustainable and contribute to food security. The provision of various services to address the livelihood capitals of the rice farmers becomes paramount to evaluate. With respect to the study objective, discussions of the association between post-colonial AVM and the livelihood capitals are regressed herein.
6. Discussion of Findings
Table 1, shows the association between the post-colonial AVM and the livelihood capitals of the rice farmers. In the Table, post-colonial AVM is regressed against the variables that represent the various capitals.
| Model | Unstandardized Coefficients | Standardized Coefficients | t | Sig. | Correlations | ||||
| B | Std. Error | Beta | Zero-order | Partial | Part | ||||
| 1 | (Constant) | .666 | .284 | 2.347 | .020 | ||||
| Seasonal rice income (HC) | .128 | .040 | .255 | 3.221 | .001 | .067 | .222 | .209 | |
| Yield of Rice (PC) | -.098 | .031 | -.238 | -3.122 | .002 | -.097 | -.215 | -.202 | |
| Communicated with Extension officer (SC) | .230 | .113 | .135 | 2.036 | .043 | .097 | .142 | .132 | |
| Current Market Price per unit (FC) | .337 | .068 | .366 | 4.962 | .000 | .277 | .330 | .322 | |
| Land Acquisition (NC) | -.002 | .023 | -.007 | -.102 | .919 | -.119 | -.007 | -.007 | |
From the table, the regression analysis explains the association between post-colonial AVM and the independent variables which represent the five livelihood capitals.
Post-colonial AVM model follows:
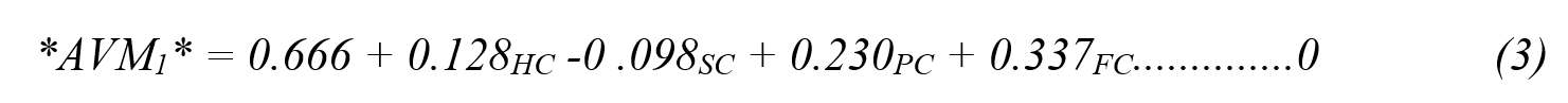
The model, shows that apart from Natural capital .919, other capitals such as human capital .001; physical capital .002; social capital .043 and financial capital, all shows significant associations between Post-colonial AVM and the livelihood capitals of the farmers.

With respect to natural capital (.919) which shows negative association, it is notable to argue that these farmers are already active farmers. They have land access prior AVM possibly through inheritance, renting, sharecropping, and even by custom and traditional rites. As such responding to the issue of land access subsequently shows negative response. IFAD (2015) found that Nigerian government has improved the livelihood capitals of the rural rice farmers by providing them with access to land and credits. In an effort to improve soil fertility, soil degradation, improved irrigation, AVM is adopted in Abia State to assist rural rice farmers against the backdrops of low yields due to soil challenges by subsidizing fertilizers.
Since the natural capital is negatively associated to AVM, equation (1) is therefore remodeled as

Human livelihood capital is therefore a two-way thing, that is, it is concerned with both environmental influence on human life and human influences on the environment, focusing on the nature and quality of the relationship that exists between human communities and the ecosystem and how the environment provides the resource base for human existence, (WFO 2013). Therefore, human capital provisions of AVM include, vocational training, extension services, skill training, technical training, project management training, land management training, disease treatment, water management, soil management, employment and marketing skill, packaging skill, education, innovation and creative thinking, knowledge of farm management, ability to sell products, gross income, record keeping, financial management and price determination training.
In Michelle and Dick (2002) assessment, social capital includes any networks that increase trust, ability to work together, access to opportunities, reciprocity; informal safety nets; and membership in organizations. Ohafia area AVM adoption, was the first zone to organize themselves to have a social structure. Farmers in the zone formed social group that meet regularly with the aim to promote the interests of fellow rice farmers. These steps have also been extended to other zones after AVM. They hold meetings every third Thursdays of the month and they also have hierarchy of leadership in each zone. Ephraim et.al (2013) argues that such social formation and organizations usually lead to state of community development and community-driven development which have the potential to develop sustainable projects that are responsive to farmers needs and more importantly, poor and vulnerable farmers.
From equ 3:
The values of the constant β0 to β4 is substituted from the values in the Table
The estimated model is therefore presented as:

According to World Bank (WB 2013) physical livelihood capital of rice farmers is decreasing especially in the developing countries of Africa and Asia. This calls for urgent attention as many have been subjected to low yields perhaps due to lack of basic infrastructure, accessible roads and affordability of farm implements. This was the case in the 2 zones of rice farming in Abia State as witnessed throughout the study. With respect to physical capital, AVM provided the following services transportation, access to markets, auction services, road access, electricity, storage facilities, netting scare crows, processing facilities, irrigation and packaging infrastructure, seed supply and telephone infrastructure. The introduction of AVM brought about substantial changes to the farmers physical livelihood.
Furthermore, financial livelihood capital includes inputs for agricultural production and environmental management such as financing quality seeds, subsidization of fertilizers, financing the provision of adequate water sources and land tillers and inventory (UNDP 2013). Having identified this problem, the adoption of AVM prompted a shift from the usual way of financing farm projects to government involvement and providing farmers with information on how to secure loans, credit and financial incentives. In terms of financial capital, AVM provided the following services to the farmers, access to banks, access to cooperative, money lender, personal savings, access to government subsidies, government grants and relative financing.
Therefore, from the estimated post-colonial AVM model above, the impact AVM on the livelihood capitals of the rice farmers can be predicted from the above regression. The post-colonial AVM capitals are positively related to the livelihood capitals of the rice farmers in Abia State. It implies that as much as there are models like AVM, the general livelihood capitals of the rice farmers would continue to improve. The more AVM services such as skill training, provision of subsidized fertilizers, community engagement programmes, to mention a few, the farmers would continue to improve their farm productivities, attain high yield and earn higher income as well as achieve general sustainability of the livelihood capitals. This would ensure that Nigeria is food sufficient, stable and domestically confident.
7. Conclusion
The broad objective of this study was to evaluate the impact of Adopted Village Model (AVM) on the livelihood capitals of the rice farmers. Both local and international literature about impact of agricultural intervention, technology and innovation adoption was reviewed with respect to AVM in Abia State. The literature revealed that agricultural interventions are necessary prerequisites to accelerate food production. Because increasing domestic food production ensures that a country is food secured and sustained. On the other hand, increasing domestic food production leads to increasing income and profitability hence general improvement in the livelihood capitals of the farmers.
With respect to post-colonial AVM, international practice ensures that such model take into account the importance and relevance of the model, the impact of such model on the rural farmers, their participation and performance of various stakeholders. Literature reveals that interventions can stimulate local culture of food production, self confidence and local content growth. Moreover, there have been various success stories on agricultural intervention around the world of which Nigerian intervention could be cited. Success stories could also be seen in the areas of government interventions, improvement in farm infrastructure, farmers cooperatives intervening, acquisition of relevant farming skills and trainings, access to large land, improvement in the social structures of the community, economic prosperity, increases in income and cooperatives.
Reference
Abia State Government (ABSG). 2013. Abia State profile. Accessed on the 27th of April, 2014 from http://www.abiastate.gov.ng/state-profile/history-of-abia-state.
Akinola, M. O., Ene, M. O., and Baiyegunhi, L. J. S. 2013. The Adopted Village Project and Farm Income of Beneficiary Households in Kaduna State, Nigeria. Stud Tribes Tribals, 11(2): 121-126 (2013).
Bishop, O. O. 2009. Community Farm Extension Model for Agricultural Development in Nigeria. International Journal of Rural. vol. 16 no. 1 October 2009.
Cornwall, G. A. P. 2010. “Youth Participation in Local (Community) Level Development: A Development Strategy”: Paper presented at the Sir Arthur Lewis Institute Memorial Conference, March 24-26, 2010.
DFID. 2000. Sustainable Livelihoods Guidance Sheets. Department for International Development, London, UK.
Ephraim N., Dayo., Tewodaj., John., Muhammad., Gbenga, Tunji, Edward. 2013. From the Group Up: Impacts of a Pro-Poor Community Driven Development Project in Nigeria. World Bank Group. Vol. 81324.
Ezeh, C. I., Anyiro, C. O., Ehiemere, I.O., and Obioma, N. Q. 2012. Gender Issues on Poverty Alleviation Programmes in Nigeria; the Case of the National Fadama 1 Development Project in Abia State, Nigeria. Agris on-line Papers in Economics and Informatics. Volume IV Number 3.
International Fund for Agricultural Development (IFAD). 2015. Rural poverty approaches, policies and strategies in Nigeria. Accessed on the 20th of June, 2015 from http://www.ruralpovertyportal.org/country/approaches/tags/nigeria
IFAD. 2011. Rural groups and the commercialization of smallholder farming: Targeting and development strategies (draft). (Issues and perspectives from a review of IOE evaluation reports and recent IFAD country strategies and project designs.) Rome: International Fund for Agricultural Development.
Jibowo, A.A 2005. History of Agricultural Extension in Nigeria. In : Adedoyin S.F. (ed) Agricultural Extension in Nigeria. Ilorin: Agricultural Extension Society of Nigeria. pp. 1-12.
Madukwe, M.C 1995. Agricultural Extension .Systems and Strategies. In Eboh, E.C, Okoye C.U. and Ayichi, D. (eds). Rural Development in Nigeria: Concepts, Processes and Prospects. Enugu: Auto-century Publishing Company Limited. pp. 265-273.
Michelle, A., and Dick, R.M. 2002. Assessing the impact of agricultural research on poverty using the sustainable livelihoods framework. IFPRI. FCND Discussion Paper 128.
Ogunsumi, L. O. 2013. WAAPP/ARCN/IAR&T Success Stories. Institute Of Agricultural Research and Training, Obafemi Awolowo University, Ibadan.
Onwualu, P. A., Obasi, S.C., and Inyang, A. E. 2012. Adopted village concept as a strategic approach to innovative rural community clustering: a case study of Ubuhu-Oriendu cassava cluster in Nigeria. Raw material research and development council (RMRDC). Nigeria.
Scoones, I. 1998. Sustainable Rural Livelihoods: A Framework for Analysis. IDS Working Paper 72.
Umar, A. 2013. Success story on the adopted villages and schools. National Cereals Research Institute NCRI. Badeggi.
UNDP 2011. The Guidance Note on Recovery: Livelihood. UNDP. Accessed on the 27th of April, 2014 from http://www.unisdr.org/files/16771_16771guidancenoteonrecoveryliveliho.pdf.
UNDP 2013. Livelihoods & Economic Recovery in Crisis Situations. Bureau for Crisis Prevention and Recovery. UNDP.
World Bank 2013. Nigeria Economic Report. World Bank. 77634, No. 1 May, 2013.
World Food Organization 2013. Nigeria: Youth Employment and Social Support Operation. Meeting of the Executive Directors. WFO. 76313. March 26, 2013.