Núcleo, Imagem e Composição de Transformações Lineares: uma abordagem gráfica desenvolvida em ambiente computacional
Nucleus, Image and Composition of Linear Transformations: a graphical approach in computational enviroment
Núcleo, Imagem e Composição de Transformações Lineares: uma abordagem gráfica desenvolvida em ambiente computacional
Research, Society and Development, vol. 7, núm. 10, pp. 01-23, 2018
Universidade Federal de Itajubá

Recepção: 18 Maio 2018
Aprovação: 26 Maio 2018
Resumo: O objetivo do presente artigo consiste em apresentar uma nova abordagem de ensino relativa às transformações lineares planas e as implicações de sua aplicação em uma dupla de estudantes do curso de Engenharia Mecânica. Aydin, Hannah et al. e Isik revelaram as dificuldades dos estudantes com o formalismo da Álgebra Linear, apontando a necessidade de elaboração de alternativas pedagógicas que considerem essa problemática. Nesse contexto, procurou-se elaborar e aplicar uma abordagem de ensino sobre as transformações lineares geométricas, focando os conceitos de composição, núcleo e imagem e integrando o software GeoGebra para explorar as relações entre os registros gráfico, algébrico, figural e da língua natural. O estudo foi fundamentado na teoria dos registros de representações semióticas de Duval e se utilizou de recursos computacionais segundo as indicações de Drijvers, Baki, Noss e Hoyles e Borba e Penteado, de modo a permitir explorações diferenciadas das obtidas em ambientes do tipo papel&lápis. Para nortear a construção do experimento, foram utilizados aspectos da metodologia de Design Experiment de Cobb et al., a qual baliza a construção de inovações na área de Educação Matemática. A pesquisa teve caráter qualitativo, sendo constatado que, ao proporcionar aos sujeitos um ambiente favorável para coordenar representações de diferentes registros, houve progressos na compreensão dos conceitos. A utilização do software GeoGebra favoreceu a autonomia na construção do conceito, visto que, utilizando o seu dinamismo, os alunos puderam, de forma independente, elaborar e testar suas conjecturas no próprio ambiente.
Palavras-chave: Álgebra Linear, Transformações Lineares, GeoGebra, Representações Semióticas, Design Experiment..
Abstract: The purpose of this article is to present a teaching experiment on the content of linear transformations in the plane and the results of its application in a pair of students of Mechanical Engineering course. Difficulties of the students in Linear Algebra discipline concerning its formal aspect are pointed by Aydin, Hannah, et al. and Isik, furthermore, new pedagogical practices which considers this problematic are required. In this context, elaborating and applying a teaching approach to geometrical linear transformations is aimed at bringing innovative learning and teaching perspectives. This experiment essentially regards the concepts of composition, nucleus and image and also integrates the GeoGebra software to explore the relations among representations of different registers such as graphic, algebraic, figural and of natural language. The study is grounded on the registers of semiotic representations provided by Duval's theory and on a technology according to the views of Drijvers, Baki, Hoyles and Noss and Borba and Penteado, in order to allow different developments from those reached by paper and pencil environment. For the experiment preparation and conduction, it is used some aspects of the Design Experiment by Cobb et al., a specific method to build an innovative approach to the mathematics education. This research has a qualitative character and the results revealed that providing a favorable environment to the students to coordinate representations of different registers, there was progress in understanding the concepts related to linear transformations, mainly, nucleus and image. The autonomy in building concepts is privileged by the GeoGebra software utilization, regarding its dynamic character, the students could test their conjectures in its environment.
Keywords: Linear Algebra, Linear Transformations, GeoGebra, Semiotic Representations, Design Experiment..
1. Introdução
Nesse artigo objetiva-se discorrer sobre a construção e a aplicação de um experimento de ensino sobre as transformações lineares planas, elaborado de modo a integrar um recurso tecnológico dinâmico e a exploração de registros semióticos. Esse tema faz parte da disciplina de Álgebra Linear e lidar com o formalismo inerente a essa disciplina é um problema para os alunos, conforme apontado por Aydin (2009), Hannah et al. (2011) e Isik (2014). Para o estudante, muitas vezes a compreensão de tópicos dessa disciplina se limita a um conjunto de procedimentos algébricos, sendo constantes as indagações a respeito de “como enxergar” o que representam determinados conteúdos. Tal problemática representou uma das motivações para elaborar uma nova abordagem que considerasse essas inquietações, incluindo então uma exploração geométrica de tópicos relativos às transformações lineares.
As influências positivas da utilização de recursos computacionais na educação matemática são descritas por autores tais como Drijvers (2015), Baki (2015), Noss e Hoyles (2009), Kelly et al. (2010) e Borba e Penteado (2010). Esses instrumentos podem trazer vantagens pedagógicas quando utilizados de maneira a permitirem explorações diferenciadas das obtidas em ambientes estáticos, tais como o do papel&lápis. Exemplificando, abordagens que se utilizam de ferramentas computacionais dinâmicas permitem que o aluno elabore e teste suas próprias conjecturas, dada a possibilidade de manipulação direta de objetos matemáticos e relações. As ações e decisões do usuário refletem no tipo de feedback obtido por meio desse tipo de recurso e, consequentemente, o uso dessas ferramentas favorece um trabalho mais autônomo e conduz a novas formas de compreensão. Além disso, muitas dessas ferramentas permitem um trabalho que relaciona diferentes representações semióticas.
Apesar disso, esses autores afirmam que recursos computacionais ainda têm pouca inserção no ensino de Matemática, o que revela a importância de se elaborar pesquisas que considerem a integração dessas ferramentas.
Para Drijvers (2015), os fatores cruciais para o sucesso da integração de tecnologia na Educação Matemática incluem a organização das questões que exploram o potencial pedagógico da ferramenta, o papel do professor na condução de abordagens que se utilizam desses recursos e o contexto educacional no qual ele é inserido.
Coerente com esses apontamentos, a presente pesquisa buscou integrar um software dinâmico em uma abordagem que procurou suscitar a busca por novas compreensões.
2. Fundamentação Teórica
Considerando a importância da diversificação dos registros de representações semióticas na abordagem elaborada, os pressupostos teóricos de Duval (1995, 2000, 2006, 2011) fundamentaram este estudo. Esse autor afirma que o acesso a conteúdos da Matemática só ocorre utilizando representações, o que a diferencia de outras ciências.
Duval (2006) define sistema ou registro de representação semiótica como um sistema semiótico que permite três atividades cognitivas, a formação, o tratamento e a conversão. Quando se faz uma operação entre duas representações no interior de um único sistema semiótico, tem-se um tratamento. É o caso, por exemplo, frequentemente utilizado no algoritmo de resolução de sistemas lineares, que prevê diversos tratamentos com representações algébricas. Já quando essa transformação ocorre entre representações de sistemas semióticos distintos, tem-se uma conversão. Por exemplo, dada uma transformação linear de reflexão no plano, pode-se converter sua representação do sistema algébrico para uma representação no sistema gráfico.
Para Duval (2006), é o segundo tipo de transformação que traz avanços pedagógicos, sendo que, ao lidar com representações de diferentes registros, o estudante consegue diferenciar o objeto matemático de sua representação.
Duval (2000) revela que a conversão é afetada por um fenômeno denominado fenômeno da não congruência. A existência de congruência entre duas representações de registros distintos ocorre quando há correspondência semântica entre as unidades significantes que as constituem, uma mesma ordem de apreensão das unidades das duas representações e conversão de uma unidade significante de representação de partida para uma unidade significante correspondente no registro de chegada. Se uma dessas condições não for verificada, a conversão é não congruente. Ainda, uma conversão pode ser congruente em um sentido e não congruente no sentido contrário. O autor revela que tais características da conversão normalmente não são consideradas no ensino de Matemática.
Os registros semióticos podem ser classificados quanto a sua funcionalidade e discursividade. Se as representações de um registro são tratadas de forma algoritmizável, ele é classificado como monofuncional. Caso contrário, ele é denominado multifuncional. Caso permita o discurso, ele é classificado como discursivo.
A abordagem elaborada neste estudo procurou percorrer por registros de diferentes classificações, tendo em vista que utilizou os registros gráfico, algébrico, da língua natural e figural, classificados, respectivamente, como monofuncional não discursivo, monofuncional discursivo, multifuncional discursivo e multifuncional não discursivo.
Duval (2011) alerta que nos níveis mais avançados de ensino de matemática, frequentemente são privilegiados os registros monofuncionais discursivos e tal fato pode ocasionar problemas ao estudante tanto na diferenciação de um objeto de sua representação como no estabelecimento de conversões. De fato, Karrer (2006) revelou que grande parte dos principais livros didáticos de Álgebra Linear utilizados por uma amostra de universidades estaduais, federais e privadas do Brasil privilegia o registro algébrico em detrimento dos demais, sendo que poucos integram o registro gráfico e, quando o fazem, normalmente não exploram conversões que partem dele.
Diante dessas evidências, justifica-se a importância de elaborar situações didáticas que integrem instrumentos dinâmicos e que permitam ao aluno a construção de uma visão abrangente do objeto matemático, por meio da exploração de representações mono e multifuncionais, discursivas e não discursivas.
Desta forma, além de investigar que aspectos pedagógicos são evidenciados com a aplicação de uma abordagem sobre transformações lineares, construída de modo a integrar a utilização de recursos computacionais com a exploração de registros semióticos, pretendeu-se também avaliar os significados desenvolvidos pelos estudantes no processo de construção e/ou aprofundamento dos conceitos matemáticos.
3. Metodologia
Este trabalhou foi desenvolvido utilizando aspectos da metodologia de Design Experiment de Cobb et al. (2003), específica para pesquisas que envolvem o desenvolvimento de novas abordagens para o ensino de Matemática. Neste tipo de metodologia, elaboram-se experimentos de domínios matemáticos específicos, com vistas a criar inovações no ensino. Pretende-se, com isso, aliar a prática da pesquisa com a prática de ensino.
As situações são propostas visando gerar modificações nos pensamentos usuais dos sujeitos partindo-se de um desenho inicial, o qual representa um conjunto de conjecturas que suportarão um modo diferenciado de aprendizagem.
Nessa metodologia, as conjecturas iniciais são testadas e, se necessário, refutadas. Novas conjecturas são geradas e testadas continuamente durante a execução do experimento. Tal fato dota essa metodologia das características cíclica, iterativa e flexível, tendo em vista que o desenho inicial é reformulado durante o processo, caso a necessidade de adaptações seja revelada pelas produções dos sujeitos.
Essa metodologia privilegia os significados construídos pelos sujeitos e, consequentemente, eles participam da construção dos episódios de ensino, rompendo, assim, a classificação hierárquica usual dos papeis atribuídos ao professor, ao pesquisador e aos estudantes.
Existem várias modalidades previstas no Design Experiment, tais como estudos aplicados a pequenos grupos, experimentos voltados a docentes, a classes numerosas ou a reestruturações escolares. Na presente pesquisa, utilizou-se do primeiro tipo de manifestação, para que fosse possível investigar de forma minuciosa as trajetórias dos sujeitos, suas dificuldades e seus avanços.
Desta forma, pautados em Ponte (2006), foi realizado um estudo de caso, dado que a pesquisa foi desenvolvida sobre uma situação específica e não usual, se comparada com as abordagens usuais de ensino das transformações, e teve o intuito de investigar se poderia trazer novas contribuições para o ensino e para a aprendizagem desse tema. Caracteriza-se como um estudo de natureza qualitativa, que procurou buscar elementos para compreender uma nova situação. A pesquisa consistiu em um design de investigação exploratório que, apesar da natureza empírica, se pautou em aspectos da teoria dos registros de representações semióticas de Duval (2011).
Para conduzir a investigação, adotou-se a Análise de Conteúdo de Bardin (1977), cumprindo as fases de pré-análise, exploração do material e de tratamento dos resultados. Inicialmente foi realizada uma pré-análise de documentos, tais como livros didáticos de Álgebra Linear, ementários de universidades e revisão de literatura científica, com o intuito de mapear como o conteúdo das transformações é usualmente trabalhado. Essa fase revelou a predominância de um trabalho essencialmente algébrico, com foco nas atividades de tratamento. Operações entre registros distintos são pouco desenvolvidas, principalmente as que envolvem o registro gráfico. As ferramentas computacionais, quando indicadas, são voltadas a softwares de exploração algébrica, ou seja, não foi encontrada qualquer menção ao uso de software gráfico e dinâmico. Partindo desse fato, teve-se por hipótese que a elaboração de uma sequência de ensino que considerasse esses elementos poderia trazer ganhos pedagógicos, delimitando, assim, o objetivo da presente pesquisa.
Considerando essas evidências, elaborou-se um experimento que tratou das transformações lineares relacionando diferentes registros semióticos e utilizando o software GeoGebra, o qual foi aplicado pelos pesquisadores em horário extraclasse a dois estudantes voluntários do curso de Engenharia Mecânica de uma Instituição confessional de ensino superior do estado de São Paulo, os quais já haviam tido contato com o tema de modo exclusivamente algébrico.
Na ocasião da aplicação do experimento, um deles cursava o terceiro semestre e o outro o quarto semestre de Engenharia Mecânica, um no período matutino e outro no período noturno. Ambos desempenhavam atividades extracurriculares de monitoria de Cálculo Diferencial e Integral e de Álgebra Linear na instituição. Os encontros ocorreram no período da tarde e, apesar de a instituição disponibilizar laboratórios com o software GeoGebra instalado nos computadores, pelo fato de a amostra ser pequena, o trabalho se deu no próprio notebook do pesquisador. O experimento foi aplicado no ano de 2017, sendo utilizada a versão GeoGebra Classic 5. Os estudantes realizaram uma familiarização com o software de cerca de uma hora, o que se mostrou suficiente para o desenvolvimento do experimento.
O tratamento dos resultados foi pautado nos pressupostos teóricos de Duval e nas evidências apontadas pelos estudos de Drijvers (2015), Baki (2015), Noss e Hoyles (2009), Kelly et al. (2010) e Borba e Penteado (2010) e, para a análise dos dados, foram considerados os registros escritos presentes nas fichas das atividades, a áudio-gravação das falas dos sujeitos e as telas dos computadores capturadas pelo software Camtasia, sendo, na ocasião, utilizada sua versão gratuita por trinta dias.
4. Descrição e Análise do Experimento
O experimento consistiu em três atividades sobre operadores lineares no plano, todas desenvolvidas com foco na análise das relações dos registros gráfico, matricial e algébrico e com apoio da ferramenta computacional GeoGebra.
A primeira tratou dos aspectos geométricos desse tipo de transformação, a segunda tratou da questão da composta de transformações lineares e, na terceira, foram analisados os conceitos de imagem e núcleo. Em todas as atividades, os sujeitos receberam um roteiro de construção no GeoGebra, para que pudessem se familiarizar com a construção na ferramenta e não apenas com seu manuseio.
Conforme relatado, dois estudantes voluntários do curso de Engenharia Mecânica de uma instituição particular de ensino do Estado de São Paulo participaram do experimento. Eles já haviam cursado a disciplina de Álgebra Linear por um foco exclusivamente algébrico. As transformações lineares geométricas não foram tratadas quando cursaram a disciplina e os sujeitos não conheciam o software GeoGebra.
Com isso, inicialmente foi realizada uma atividade inicial com esse software. Em seguida, na Atividade 1, foi apresentada uma explanação das representações algébrica e matricial (matriz em relação à base canônica) dos operadores lineares no plano. Aos alunos foi apresentado o roteiro de construção de uma matriz dinâmica e de sua relação com a representação gráfica no GeoGebra, de modo que, ao alterar um valor da matriz, simultaneamente ocorreria uma alteração gráfica. Optamos pela aplicação da transformação em um quadrado, dado que este tipo de figura favorece a análise comparativa entre o objeto inicial e sua imagem gráfica pela transformação. No quadro seguinte apresentam-se as etapas dessa construção.

A construção dessa etapa gerou a seguinte tela no GeoGebra.

Ao alterar os valores nos controles deslizantes, o aluno poderia observar as alterações simultâneas nas representações dos registros matricial e gráfico. Após essas etapas, foram propostas cinco tarefas para explorar essa construção. Selecionamos, para apresentação neste artigo, a tarefa relativa à reflexão em relação ao eixo y e à expansão na direção do eixo x, conforme apresentado no Quadro 2.

O objetivo da primeira atividade consistiu em familiarizar os estudantes com as transformações geométricas no plano por meio da experimentação no software. Foram solicitadas conversões entre representações algébricas e gráficas em duplo sentido, procurando, desta forma, explorar relações em ambos os sentidos entre um registro discursivo e outro não discursivo. As produções da dupla para essa questão são apresentadas na Figura 2.

Nota-se, na produção em língua natural escrita, que a dupla não conhecia os termos de simetria e expansão, o que era esperado, visto que ao cursarem Álgebra Linear, as transformações geométricas não foram desenvolvidas. Para relatar o que ocorria na representação gráfica, a dupla procurou destacar o movimento que ocorria com o lado FH (lado paralelo ao eixo y) do quadrado. Ao final de cada tarefa, os termos simetria, reflexão, expansão, contração, rotação, projeção e cisalhamentos foram apresentados, tendo em vista que eles seriam utilizados na atividade seguinte, relativa à composta de transformações lineares.
Para a realização da Atividade 1, a dupla se deparou com a necessidade de estabelecer conversões entre representações dos registros simbólico-algébrico e gráfico em duplo sentido e destes para a língua natural. Os alunos não apresentaram dificuldades na realização desta atividade, exceto quando a conversão requerida era de uma representação do registro gráfico do software para uma do algébrico no ambiente estático do papel. Neste caso, solicitaram auxílio do professor-pesquisador. Tal dificuldade já era prevista, dado que Karrer (2006) apontou que este tipo de conversão não é efetivamente explorado nos livros didáticos. Esse fato também vem de encontro com Duval (2006), ao revelar que se um indivíduo mostra habilidade em converter em um determinado sentido, isso não garante que ele faça a conversão no sentido contrário. As demais tarefas propostas nessa atividade foram semelhantes e trataram de diversas transformações lineares, tais como cisalhamentos, contrações, projeções, dentre outros.
Na segunda atividade, que tratou da composta de transformações lineares planas, os alunos receberam um roteiro de construção de duas matrizes dinâmicas no GeoGebra. Para a composição, foi solicitado que multiplicassem as matrizes e, em seguida, que efetuassem a relação de dependência entre a matriz obtida e os vértices do quadrado da mesma forma como foi solicitado na atividade anterior. O objetivo dessa atividade consistiu principalmente em verificar a não comutatividade dos operadores lineares planos nos registros gráfico, matricial e algébrico. Os alunos receberam um roteiro de construção no software, obtendo tela semelhante à apresentada na Figura 3.

Antes da apresentação das questões no ambiente estático do papel, uma breve revisão da composta de transformações lineares foi desenvolvida, porém, durante a execução do design, notamos que ela não foi suficiente para que a dupla compreendesse a relação entre a lei algébrica e a forma matricial da composta em relação à base canônica do R2, tendo em vista que a ênfase nessa exposição foi dada ao formato matricial.
Partindo da situação de que eles já haviam cursado Álgebra Linear, conjecturou-se que esse tópico já era de conhecimento dos estudantes, porém, suas produções revelaram que eles não haviam compreendido a relação entre a lei algébrica da composta e o procedimento de obtenção de sua matriz em relação à base canônica e, com isso, a atividade estava sendo realizada de modo mecânico. Diante dessa situação, a execução do experimento foi interrompida para que se realizasse uma explanação mais detalhada sobre essa temática antes do prosseguimento da atividade. Neste contexto foi realizada, de forma genérica, a composição entre duas transformações lineares planas, primeiramente no registro algébrico e em seguida no matricial. Após compreenderem essa relação, os alunos manipularam a construção realizada no software, e puderam observar o impacto que uma alteração na representação matricial acarretava na representação gráfica. Foram realizados vários exercícios sobre composição e, em um deles, foi solicitada uma situação em que a propriedade comutativa não era válida, conforme tarefas do Quadro 3 e produções da dupla nas figuras 4 e 5.

Para essa situação, após a realização da tarefa, a dupla forneceu a seguinte produção escrita, a qual representava a imagem obtida na tela.


Em seguida, os alunos foram questionados sobre os resultados gráficos obtidos e sobre a análise da existência da propriedade comutativa. Inicialmente, o termo “comutativa” não tinha significado para eles, demandando, assim, uma explicação prévia do professor-pesquisador. Após essa explanação, a dupla forneceu a produção presente na Figura 6.

Pode-se notar, pela análise das produções algébricas e dos registros em língua natural, que os estudantes compreenderam que as transformações não comutavam, apresentando domínio na coordenação das representações dos três registros.
Observa-se a influência do software e da abordagem matricial adotados nesse experimento na produção da dupla. Isto porque, quando estudaram Álgebra Linear, o livro texto que adotaram não utilizava a notação matricial como meio de obter a lei algébrica da transformação linear. Ainda, tal livro não fazia qualquer exploração gráfica.
Ressalta-se que a verificação algébrica da não comutatividade foi realizada pela dupla, mas para ela o resultado algébrico não foi suficiente para comprovar tal fato. Para isso, os alunos sentiram a necessidade de aplicar as transformações obtidas no quadrado para mostrar que os resultados numéricos das imagens não coincidiam.
O terceiro experimento, referente aos conteúdos de imagem e núcleo, revelou a necessidade de uma breve explicação sobre os assuntos que seriam abordados tais como conjunto imagem, núcleo, domínio, contradomínio e conceitos de funções injetora e sobrejetora, apesar de os alunos já terem estudado esses conteúdos.
O objetivo consistiu em fornecer um ambiente para que o estudante pudesse dar significado a tais conceitos em uma perspectiva gráfica com o apoio do GeoGebra. Essa foi a atividade do experimento que gerou maior gratificação para os alunos.
A explanação desses conceitos foi de grande valia para a resolução da atividade, sendo que foi a partir dela que os estudantes relembraram alguns tópicos para em seguida tratá-los por um enfoque geométrico. Apesar disso, foi observado que a grande quantidade de informações simultâneas presentes no início da atividade provocou cansaço nos voluntários e muitas vezes, quando um conceito era exigido, eles precisavam retornar ao início do experimento.
Com isso, para um redesign, sugere-se que a apresentação de cada conceito seja melhor distribuída, sendo sua explicação prévia inserida pouco antes do exercício que demanda esse conhecimento.
A construção proposta no GeoGebra para essa atividade é apresentada a seguir.


Após essa construção, foram propostas três tarefas de análise de imagem e núcleo. Para esse artigo, foi selecionada a descrição detalhada da primeira tarefa conforme apresentado no Quadro 5.
O objetivo da Atividade 3 consistiu em avaliar, inicialmente no registro gráfico, o núcleo e a imagem de diferentes transformações lineares planas, injetoras e não injetoras.
Em seguida, foi solicitada a determinação desses elementos no registro algébrico, para que o aluno pudesse estabelecer conversões entre representações algébricas e gráficas. A atividade também envolvia tratamentos no registro gráfico.

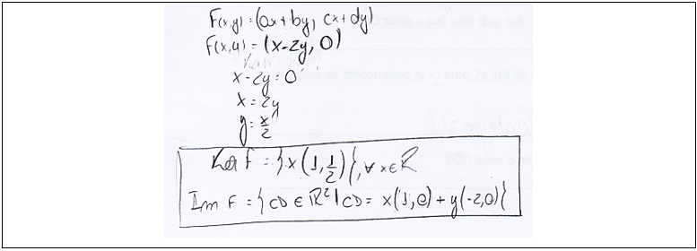
A produção fornecida pela dupla para essas questões é apresentada na Figura 8.

Observa-se que a dupla notou, por meio de tratamentos entre representações do registro gráfico, que a imagem gráfica de qualquer vetor por esta transformação ficaria sobre o eixo x, ou seja, ela evidenciou que o valor de x poderia assumir qualquer valor real, mas y seria sempre zero, estabelecendo, assim, conversões entre representações do registro gráfico para representações do registro da língua natural.
Ainda, os alunos puderam constatar que os vetores com origem na origem do sistema cartesiano e extremidade na reta y = Importar imagen tinham (0,0) como imagem e, consequentemente, a transformação não era injetora. Na última resposta, a dupla apresentou dificuldades em transcrever o resultado em língua natural, porém, ao ser questionada, pôde-se observar que ela entendeu que o núcleo não continha apenas o vetor nulo.
Por fim, pedia-se a determinação algébrica do núcleo e da imagem dessa transformação linear, do modo como eles viram quando do estudo de Álgebra Linear, para comparar com o resultado gráfico. Diante da revisão realizada no início da atividade, a dupla não apresentou dificuldades nessas noções, conforme apresentado na Figura 9.

Ao relacionarem o obtido graficamente com o processo algébrico de imagem e núcleo usualmente realizado nas aulas de Álgebra Linear, os alunos se mostraram surpresos por conseguirem “enxergar” conceitos que consideravam exclusivamente abstratos. Foi discutido que a visualização só é possível em situações de Álgebra Linear tratadas no plano ou no espaço e que essa área do conhecimento transpassava essa questão.
Os alunos citaram que essa abordagem gráfica deveria ser desenvolvida em aulas regulares, dado que consideraram que ela ampliou suas compreensões sobre esses temas. Neste contexto, em consonância com o revelado por Duval (2011), notamos que a dupla apresentou um salto de qualidade em sua compreensão de imagem e núcleo de uma transformação linear, ao apresentar a habilidade de coordenar diferentes registros desses objetos matemáticos.
Nota-se, novamente avaliando as produções da dupla, que a descrição do conjunto imagem se deu influenciada pelo que era visto no software, ou seja, no lugar da representação usual do vetor genérico (x,y) do R2, a dupla forneceu o vetor (D-C), que representava a imagem do vetor (B-A) no software. Neste caso, eles consideraram o vetor (D-C) como um vetor genérico do plano, dado que podiam movimentá-lo graças ao dinamismo inerente à ferramenta adotada.
Na apresentação dos resultados, inicialmente os voluntários tiveram algumas dúvidas de conteúdo e de nomenclatura. Eles não conseguiam discernir, por exemplo, quando um conjunto continha apenas o vetor nulo e quando era vazio, porém, diante da discussão sobre esses aspectos, a dificuldade foi superada.
A mesma dinâmica foi realizada com outros operadores lineares, injetores e não injetores, tais como G(x,y)=(0, 3x+y) e H(x,y)=(2x, 2y). Os alunos não apresentaram dificuldades nas demais análises de núcleo e imagem e, novamente, forneceram a representação do conjunto imagem influenciada pelo software, ou seja, não representaram um vetor genérico por (x,y), mas sim pelo vetor dinâmico (D-C) presente na tela.
Considera-se que o objetivo da atividade foi atingido, pois os estudantes apresentaram sucesso em relacionar a álgebra com a geometria. Esse experimento demandou muita reflexão por parte dos estudantes, uma vez que não requeria a habilidade de operar apenas mecanicamente com as representações algébricas, mas sim em estabelecer relações entre os conteúdos e entre as diversas representações. Salienta-se que no desenvolvimento desta atividade os alunos passaram a ter total domínio do software.
Ao realizar uma entrevista com os sujeitos, eles revelaram que esta atividade em particular trouxe muita contribuição para a compreensão de imagem e núcleo e da propriedade injetora. Para eles, esses conceitos eram estritamente abstratos e a resolução algébrica ocorria seguindo padrões mecânicos de desenvolvimento. Desta forma, na visão deles, essa foi a atividade que mais contribuiu para que ampliassem a compreensão desses temas. Um dos alunos da dupla afirmou que, para ele, o conteúdo deixou de ser um conjunto de procedimentos e passou a ter significado.
5. Conclusão
As produções dos alunos revelaram que a abordagem apresentada contribuiu para ampliar a compreensão dos tópicos explorados. Segundo os próprios alunos, os experimentos trouxeram uma nova visão sobre os diferentes temas abordados. Eles relataram que os exercícios desse conteúdo, que antes eram resolvidos de modo automático por meio de modelos algébricos de resolução, passaram a ter significado quando abordados na questão visual. Em acordo com o relatado por Duval (2006), observou-se que, ao desenvolver a habilidade de coordenar diferentes registros, a dupla apresentou um salto na qualidade de suas produções.
Da mesma forma que Drijvers (2015), Baki (2015), Noss e Hoyles (2009) e Borba e Penteado (2010), a inserção da ferramenta informática permitiu contatos diferentes dos obtidas no ambiente estático do papel. Isto porque o aluno conseguiu visualizar, de modo simultâneo, as relações entre diferentes registros na tela do software, pôde realizar tratamentos dinâmicos nas representações gráficas, proporcionando novas maneiras de lidar com os objetos matemáticos, culminando, consequentemente, em novas compreensões acerca deles. Além disso, o dinamismo da ferramenta contribuiu para um trabalho mais autônomo, sem tanta interferência do professor. Inicialmente os sujeitos solicitavam que o professor avaliasse suas produções, mostravam-se inseguros com a liberdade que lhes foi apresentada, mas, a partir da segunda atividade, houve uma mudança de comportamento, ou seja, eles passaram a trabalhar de modo mais autônomo. Com a destreza desenvolvida em operar as representações no software, eles foram capazes de criar sozinhos novas estratégias para avaliar suas produções.
Acreditamos que esse experimento ou parte dele possa ser aplicado em aulas regulares. O software é de fácil compreensão, os alunos entendem rapidamente seu funcionamento, porém, com a finalidade de ter melhor rendimento nas primeiras atividades é recomendável que se faça uma familiarização dos principais comandos, para que o foco do experimento seja voltado à construção do conceito e não ao uso da ferramenta.
Pretende-se que esse estudo possa representar uma contribuição para a área de Educação Matemática, representando uma forma complementar de ensino em Álgebra Linear. Para trabalhos futuros, sugere-se a elaboração de abordagens que incluam a diversidade de registros e explorem a potencialidade das ferramentas dotadas de dinamismo nas mais diversas disciplinas dos cursos de exatas.
Referências
AYDIN, S. The factors effecting teaching Linear Algebra. In: World Conference on Educational Sciences. 2009. In: WORLD CONFERENCE ON EDUCATIONAL SCIENCES, 2009, Nicosia, North Cyprus. Procedia - Social and Behavioral Siences. Nicosia, North Cyprus: ELSEVIER LTDA, 2009, p. 1549 – 1553.
BAKI, A. Integration of Technology into Mathematics Teaching: past, presente and future. In: SUNG JE CHO (ed.). Selected Regular Lectures from the 12th International Congress on Mathematical Education. Switzerland: Springer International Publishing, 2015. p. 17-26.
BARDIN, L. Análise de conteúdo. Lisboa: Edições 70, 1977
BORBA, M.; PENTEADO, M.G. Informática e Educação Matemática. São Paulo: Autêntica, 2010.
COBB, P.; CONFREY, J.; DISESSA, A.; LEHRER, R.; SCHAUBLE, L. Design experiments in education research. Educational Researcher, v.32, n.1, p. 9-13, 2003.
DUVAL, R. Sémiosis et pensée humaine. Berna: Peter Lang, 1995.
DUVAL, R. Basic Issues for Research in Mathematics Education. In: CONFERENCE OF THE INTERNATIONAL GROUP FOR THE PSYCHOLOGY OF MATHEMATICS EDUCATION, 24, 2000, Hiroshima. Proceedings of the 24th PME. Hiroshima: Department of Mathematics Education Hiroshima University, 2000. p. 55-69.
DUVAL, R. A cognitive analysis of problems of comprehension in a learning of mathematics. Educational Studies in Mathematics, Springer, v. 61, p. 103-131, 2006.
DUVAL, R. Ver e ensinar a matemática de outra forma: entrar no modo matemático de pensar os registros de representações semióticas. São Paulo: PROEM, v. 1, 2011.
DRIJVERS, P. Digital Technology in Mathematics Education: why it works (or doesn’t). In: SUNG JE CHO (ed.). Selected Regular Lectures from the 12th International Congress on Mathematical Education. Switzerland: Springer International Publishing, 2015. p. 135-151.
HANNAH, J.; STEWART, S. THOMAS, M. Teaching Linear Algebra: one lecturer’s engagement with students. Mathematics: traditions and new practices. Austrália: AAMT & MERGA, 2011.
ISIK, A. et al. Linear Algebra from students’ perspectives. Middle eastern & African Journal of Educational Research, 2014. p. 29 – 40.
KARRER, M. Articulação entre Álgebra Linear e Geometria: um estudo sobre as transformações lineares na perspectiva dos registros de representação semiótica. São Paulo, 2006. Tese (Doutorado em Educação Matemática) – Programa de Estudos Pós-Graduados em Educação Matemática, Pontifícia Universidade Católica de São Paulo. (372p.)
KELLY, A.; LESH, R.A.; BAEK, J.Y. Handbook of Design Research Methods in Education. Innovations in Science, Technology, Engineering and Mathematics Learning and Teaching, 2010. Disponível em https://www.amazon.com/Handbook-Design-Research-Methods-Education/dp/0805860592. Acesso em: 04 jul. 2017.
NOSS, R.; HOYLES, C. The technological mediation of Mathematics and its learning. Human Development: giving meaning to Mathematical signs: Psychological, Pedagogical and Cultural Processes, Basel, v. 52, n. 2, p. 129-147, 2009.
PONTE, J. P. Estudos de caso em Educação Matemática. Bolema, n. 25, p. 105-132, 2006