Resumen: Existe una relación directa entre la vida útil de los productos y su volumen de ventas. El análisis de estos factores es importante para la planificación logística, ya que el acomodo de los productos en el almacén debe facilitar su distribución de acuerdo a su rotación en el inventario. El análisis de los costos en la cadena de suministro es relevante para identificar los elementos que más contribuyen a las ganancias de una empresa. El objetivo del estudio es identificar los artículos con mayor valor de inventario de la empresa mexicana BASAL, clasificándolos en categorías según el método del análisis ABC. Los resultados mostraron que el 80% de las ventas se concentran en 28 artículos, que representan el 22% de los productos de la compañía. Se debe prestar atención a la oferta de artículos con rotación lenta porque aumentarían las ventas totales.
Palabras clave:almacenamientoalmacenamiento, cadena de suministro cadena de suministro, costos costos, logística logística, método ABC método ABC.
Abstract: There is a direct relation between products’ shelf life and their sales volume. The analysis of these factors is important for logistic planning, since products’ positioning in the warehouse must facilitate their distribution according to their rotation in the inventory. The analysis of supply chain costs is relevant to identify the items that most contribute to a company’s profit. This study objective is to identify the items with the highest value of inventory of Mexican company BASAL by classifying them into categories according to the logics of ABC analysis. Results showed that 80% of sales are concentrated in 28 articles, which represent 22% of the company’s products. Attention must be given to the supply of articles with slower movement because they would also increase total sales.
Keywords: storage, supply chain, costs, logistics, ABC method.
Case study
Análisis de la cadena de suministro por clasificación ABC: el caso de una empresa mexicana
Supply chain analysis by ABC classification: the case of a Mexican company

Recepción: 31 Marzo 2018
Aprobación: 23 Noviembre 2018
El presente estudio es de gran relevancia, debido a que analiza la clasificación ABC, directamente relacionada con la logística de las empresas con relación a sus productos. El ciclo de vida y las ventas de un producto son características esenciales que se deben considerar al realizar la planeación logística, siendo importante estudiarlos mediante la curva 80-20 (Ballou, 2004). Al analizar los productos con esta técnica se conoce el desplazamiento en cada uno de los productos de acuerdo a su rotación, la que puede ser alta, media o baja; esto con la finalidad de posicionar los materiales con alta rotación en los principales racks, visualizándolos rápidamente para tener la cantidad suficiente de ellos y reabastecerlos oportunamente. Lo anterior se realiza utilizando la ley de Pareto, la cual propone que no todos los bienes en el inventario de una empresa deben ser controlados de la misma manera, por lo tanto, los artículos más importantes (grupo A), deben llevar un control de inventario más sofisticado que aquellos artículos menos importantes, como los del grupo B y grupo C (Castro, Vélez y Castro, 2011).
En la investigación se analiza la estrategia de un centro de distribución y cadenas de suministro, en el que se estudia el acomodo de los productos o materiales según su alta o baja rotación. De acuerdo con Torres, Salete y Delgado (2017), uno de los problemas que tienen las empresas es la carencia de análisis de los procesos que agregan valor al producto o servicio final. Arellano, Quispe, Ayaviri y Escobar (2017), destacan la necesidad de la fundamentación de las decisiones de la empresa sustentada en información confiable, derivada de registros económicos y financieros, con la finalidad de mejorar el servicio a los clientes y la optimización de los recursos, minimizando los costos de inventarios (Bofill, Sablón y Florido, 2017).
Basal Almacenamiento y Logística, en Congelación, Refrigeración y Secos, es una empresa mexicana fundada en el año 2003, misma que inició sus actividades únicamente con dos almacenes Logísticos, uno de área de congelación y otra de secado. Para el presente estudio se analizó el almacén Bodega B6 (Incom, 2015).
La visión de la empresa, desde la perspectiva del Director General, consiste en contar con un lugar para la refrigeración y congelación de productos perecederos. Por ello, se comenzaron a visualizar los requerimientos y la gran demanda de los clientes por este servicio, generando para este almacén 3 ampliaciones en los últimos años, teniendo el año pasado 2000 empleados y contando con 14.000 trabajadores, actualmente. Un reto para la empresa Basal es la apertura de más mercados, por lo cual se abrió el año pasado otra planta del mismo tipo en Tijuana, funcionando adecuadamente sus instalaciones donde se encuentran laborando 4500 empleados. La empresa tiene una gran demanda en el servicio de congelación rápida mediante el servicio de Blaster Freezer, el que congela la carne a temperaturas de 28 y 32 grados bajo cero, en menos de 24 horas, permitiendo el congelamiento de hasta 22 toneladas de carne fresca de forma rápida.
Entre otras funciones, la compañía se ha desempeñado como Centro de Distribución por casi 5 años, para tiendas como Gigante (vendida a Soriana) y Wal-Mart, distribuyendo productos refrigerados y congelados, como carnes de ave, cerdo y res, pescados y mariscos, frutas y verduras congeladas, helados, pan dulce (ya preparado para hornear). Se cuentan con las certificaciones planta TIF, ISO y certificaciones de alimentos HACCP; las mismas se requieren para comercializar cualquier tipo de carne, pues reciben productos importados para determinados clientes, y dar cumplimiento a las normas de calidad mundiales y de SAGARPA. Este operador logístico tiene entre sus clientes principales, importantes empresas como SuKarne, Proboca, Carnes Viva, Carnes San Juan, Bachoco, Sigma alimentos, Hershey, en congelados, Sasil, USG, Whirlpool, Danfoss, en áreas de secos.
Entre los principales competidores locales están Frialsa, una de las empresas de servicios en congelación a nivel nacional y muy fuerte competidor, debido a sus años de experiencia en el mercado en México (Incom, 2015).
La empresa se clasifica en el concepto 2PL, (Second Party Logistics), ya que como operadora logística se encarga de la subcontratación del transporte y del almacenamiento. Anteriormente, el transporte se realizaba por parte del cliente, luego se solicitó a la empresa que se hiciera cargo de este, entregándole la cartera de transportistas con quienes trabajaba; cobrando adicionalmente el transporte en la embarcación de sus productos y se le realizaba el recibo de sus materiales, para después almacenarlos, llevando el control de su inventario, tanto de materia prima, partes compradas para su ensamblaje en la Bodega 7, como el producto terminado en la Bodega 8.
Las principales funciones encomendadas a la empresa se detallan a continuación:
Optimización y disminución de tiempo de entrega.
Confiabilidad de Inventarios.
Exactitud de pedidos.
Servicios de valor agregado.
Se realizaban las funciones de la plataforma logística con relación a: recepción, administración, incorporación de valor agregado y canalización de mercancía en los dos almacenes. Se realizaron los procesos de expediciones: Recepción y preparación de pedidos, consolidación de mercancía, verificación de mercancía, documentación y transporte, realizando subcontratación de servicios de transporte en camión completo.
Para Whirlpool, los canales de distribución se realizan en Bodega 7 (Figura 1).

En Bodega 9, el canal sería el siguiente (Figura 2):

El diseño de red de distribución dentro de los almacenes se maneja como sigue (Figura 3):

El objetivo del presente documento es identificar los artículos que representan mayor valor del inventario, clasificándolos por categorías de acuerdo a su importancia, mediante la realización del análisis ABC en los artículos del inventario, integrando el gráfico del Método ABC de Pareto, puesto que, según Agüero, Urquiola y Martínez (2016), la reducción de existencias en el almacén recorta costos. Debe promoverse manteniendo el buen servicio al cliente, siendo necesario considerar las políticas internas de inventarios para evitar incrementar sus costos y brindar entregas adecuadas a los clientes (Arboleda y Castillo, 2016).
La diversidad de técnicas contables en el estudio de la rentabilidad de la empresa y la necesidad de implementar mecanismos para incrementar las utilidades da cabida a nuevos sistemas de costeo en los cuales se establece el basado en actividades (ABC) (Cuevas, Chávez, Castillo, Caicedo y Solarte, 2004). La utilidad del modelo ABC se encuentra intrínsecamente relacionada con el estudio de la cadena de valor agregado, pues muestra las actividades con valor y las actividades sin valor, así como su relación con el incremento de los costos (Morillo, 2005). Este modelo ha sido implementado por diversas organizaciones debido a su necesidad de optimizar procesos mediante la gestión estratégica en la cual se requiere utilizar adecuadamente los recursos para generar decisiones convenientes, facilitando la adopción del modelo (Cherres, 2010). Mediante este sistema se genera información útil para el estudio de los costos, incorpora el número de transacciones para generar el resultado de los productos con mayor y menor demanda para la empresa (Morillo, 2005). El modelo ABC pretende asignar correctamente los costos indirectos de fabricación para optimizar los procesos, incrementando la utilidad de la empresa, entre otros (Cuevas y cols., 2004), por lo cual es necesaria la adopción de una metodología que permita su correcta implementación en la empresa (Cherres, 2010), siendo conveniente analizar la causalidad de los costos empresariales y las actividades realizadas, pues existe la necesidad de precisar el cálculo de los costos (Morillo, 2005).
La versatilidad de implementación del sistema de costeo ABC le habilita para utilizarse en cualquier empresa (Cuevas y cols., 2004). Dentro de la cadena de valor en las empresas son analizados los impulsores de costos que se definen como demandantes de costos (Morillo, 2005). Así, el método ABC clasifica y analiza los artículos más importantes en el inventario de la empresa, discriminándolos de acuerdo a su demanda o a su precio unitario por consumo, es decir, analizando su porcentaje mayor en el inventario total (Fucci, 1999). A esta clasificación se le nombra método multicriterio, y se consideran líneas de artículos en el inventario, divididas de acuerdo a su relevancia económica, dada la necesidad de dar atención particular a cada uno de los productos (Toro y Bastidas, 2011).
En el método ABC se presenta la regla 80/20, también conocida como ley del menos significativo, que presenta una correspondencia entre el 20% de artículos con valor del 80% del inventario y el 80% de artículos con valor del 20%, siendo útil para la operación del inventario y la respectiva toma de decisiones. En el método ABC se establecen tres categorías que clasifican los productos según sus prioridades, estableciéndose los Artículos A (mayor importancia), los B (importancia secundaria) y C (poca importancia). Sin embargo, lo más relevante de la clasificación es la identificación de los artículos de mayor importancia y los artículos de poca importancia en los extremos de las categorías, por lo cual, el número de clases es variable, así como el porcentaje de artículos en cada una de ellas. El planteamiento anterior se realizó por Vilfredo Pareto con la finalidad de enfocar las acciones de la organización hacia lo que requiere mayor atención según su movilidad en el inventario (Fucci, 1999).
Los pasos que incluye el método ABC para clasificar los artículos, según Toro y Bastidas (2011), son:
Seleccionar variables por artículos construyendo una tabla para el análisis ABC.
Establecer factores y porcentajes de clasificación para el análisis ABC.
Establecer en las categorías ABC los intervalos correspondientes donde debe identificarse el valor mínimo y máximo de cada uno, calculándose con el planteamiento del inciso anterior.
Asignar el puntaje correspondiente en la clasificación, mediante la utilización de los resultados de los factores de ponderación por artículo, por zona.
La aplicación del método ABC es útil en el análisis de las ventas de la empresa, en el valor de los stocks y en los costos, estableciendo un criterio diferente referente a las decisiones de producción y compras de la empresa al relacionar la rentabilidad como un elemento en cada producto (Fucci, 1999). Según Taboada-González, Aguilar-Virgen, Ibarra-TrujiMo y Ramírez-Barreto (2016), el método ABC permite aumentar la productividad de las corporaciones mediante la adecuada administración de inventarios. También Jara, Sánchez y Martínez (2017), plantean el costo de oportunidad de los altos inventarios, pues se evita el flujo monetario y con ello la inversión.
Tal como se revisó en la investigación desarrollada por Causado (2015), con el objetivo de establecer un sistema de inventarios en el sujeto de estudio, para lograr la reducción de costos de inventario y generar mayor ingreso mediante la proyección de compras y ventas de producto, donde resalta la importancia del manejo de inventarios y plantea diversos modelos aplicables de acuerdo a las prioridades del negocio. Por su parte, Arango, Giraldo y Castrillón (2013), realiza un estudio utilizando un modelo de administración de compras e inventarios con demanda incierta, mediante la aplicación de pronósticos por el algoritmo de Holt-Winters que alimenta un sistema de inventarios por demanda, utilizando el nivel de servicio para calcular las cantidades a comprar de cada producto, el cual a su vez se basa en la clasificación ABC por volumen de los productos para permitir un mayor nivel de servicio, resultante con menor costo, lo que permite evitar la pérdida de ventas por falta de inventario.
Con la información de la empresa se determinó la clasificación ABC por utilidad de los artículos, mediante el manejo del criterio 80% acumulado para A, hasta 95% acumulado para B y el resto para C. Los resultados de dicha clasificación se presentan en las Tablas 1, 2 y 3. Posteriormente, se muestra un cuadro concentrador del análisis de los resultados de la clasificación ABC en la Tabla 4 y finalmente se presenta el gráfico del Método ABC, en la Figura 4.
En la clasificación A inicia el ordenamiento considerando 28 productos, casi el 80% de la utilización, y se muestra que tiene un 79.89% de utilidad. Los artículos agregados en dicha categoría son el 1, 82, 40, 16, 102, 48, 104, 27, 34, 7, 78, 50, 124, 47, 70, 8, 60, 71, 108, 35, 9, 24, 28, 62, 63, 4, 77 y 29. Entre estos ítems se tienen algunos productos que presentan mayor peso, con 20.29 en el artículo número uno, de gran utilidad. El artículo 82 también cuenta con gran peso, siendo 14.06 y su utilidad es muy grande. Al igual que el artículo 40 en el cual su peso es de 12.28 y es el tercero de más utilidad. Los anteriores artículos son los que de forma individual dejan mayores utilidades a la empresa. Los artículos en mención se consideran como los más representativos para la empresa, porque su participación en las ventas es grande y le dejan mayores utilidades al relacionarlos con sus ventas. Por lo cual, se debe analizar su posicionamiento en el almacén y su reabastecimiento oportuno.

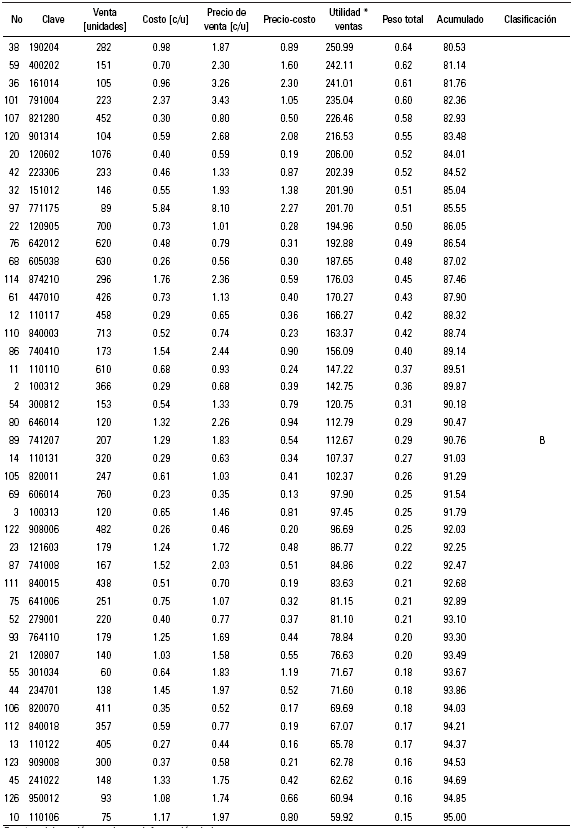
En la clasificación B inicia el ordenamiento considerando 44 productos representantes del 15 por ciento del valor y se muestra un 95% de utilización si se suman con el 80% anterior. Los artículos en dicha categoría son el 38, 59, 36, 101, 107, 120, 20, 42, 32, 97, 22, 76, 68, 114, 61, 12, 110, 86, 11, 2, 54, 80, 89, 14, 105, 69, 3, 122, 23, 87, 111, 75, 52, 93, 21, 55, 44, 106, 112, 13, 123, 45, 126 y 10. En esta clasificación los artículos con mayor peso son el 38, con mayor utilidad y tiene un peso de 0.64. Además del artículo 59 cuyo peso es 0.62. También, el artículo 36 con 0.61 de peso, el cual sumado con los artículos 101, 107, 120 y 20 tienen utilidades mayores a $204 USD, siendo los productos que individualmente dejan mayores utilidades en la clasificación B a la empresa. Dichos artículos se consideran necesarios, aunque no son los más representativos para la empresa porque su participación en las ventas es baja.

En la clasificación C inicia el ordenamiento considerando 54 productos, el 5% de la utilización, y se muestra un 100% del total, sumadas la clasificación A y B, los artículos agregados en dicha categoría son el 113, 91, 121, 85, 15, 53, 49, 17, 37, 41, 117, 73, 67, 92, 103, 33, 6, 118, 125, 119, 72, 74, 66, 65, 90, 81, 18, 43, 25, 51, 19, 26, 88, 57, 83, 58, 39, 94, 100, 5, 79, 116, 84, 31, 30, 98, 109, 64, 95, 46, 99, 115, 96 y 56. Los artículos con mayor utilidad son el 113, de 0.15 de peso. El artículo 91, con peso de 0.15, al igual que los artículos 121, 85, 15, los cuales al sumarse con los artículos 53, 49, 17, 37 y 41, tienen utilidades mayores a $51 USD, siendo los productos más representativos de esta clasificación. Los anteriores artículos son los que de forma individual dejan mayores utilidades en la clasificación C a la empresa. Los artículos en mención se consideran muy necesarios, porque son complementarios para otras ventas y es importante conservarlos en el inventario y posicionarlos en lugares poco concurridos debido a sus ventas menores.

Al realizar el análisis ABC en la Tabla 4 se presenta que la clasificación A, con menos artículos tiene mayor participación en las ventas estimándose de 0% a 80 % con 28 artículos, un 22% del total de artículos vendidos por la empresa y un monto de $31,372.91 USD en ventas totales; seguida de la clasificación B, compuesta por un número intermedio de artículos y una participación en las ventas estimada de 35% con 44 artículos, el 15% del total de artículos vendidos y un monto de $5934.65 USD en ventas totales. Finalmente, se encuentra la clasificación C compuesta por un número pequeño de artículos y una participación baja en las ventas representando el 43%, con 54 artículos correspondientes a un 5% del total de artículos vendidos y un monto de $1963.71 USD en ventas totales.

En el Gráfico del Método ABC de Pareto (Figura 4) se puede visualizar la composición de la distribución de los artículos en la empresa, mostrando de manera detallada la categoría A como la más importante, porque representa el 80% de las ventas, compuesta por 28 artículos. Posteriormente se encuentra la categoría B, el 80% de las ventas, y se compone por 44 artículos; luego la categoría C, la cual representa el 5% de las ventas y compuesta por 54 artículos. Situación que permite observar que los artículos vendidos en las categorías B y C son complementos de los de la categoría A.

Los resultados de la aplicación de la metodología ABC en la empresa BASAL en México presentan una discriminación de los artículos que integran su inventario, permitiendo conocer los más importantes para el almacén en estudio. Considerándose importante identificarlos adecuadamente, abastecerlos correctamente y que se pueda atender la demanda de los clientes. Una parte necesaria que se debe cuidar en la cadena de suministro es realizar el pedido oportuno a los proveedores de los requerimientos de la empresa, para dar respuesta a la demanda de los clientes. Al tener un almacén desabastecido se reducen las ventas por carencia de productos, por el contrario, al encontrarse el almacén con un exceso de artículos se tiene el dinero detenido de esas mercancías, generándose pérdidas, porque los flujos monetarios no circulan, posibilitando el daño de los bienes o la obsolescencia de ellos, lo cual genera posibles pérdidas para la empresa. Una labor importante es evitar el exceso de almacén, pues permite incrementar la rentabilidad y utilidad de la empresa.
La empresa BASAL tiene los registros detallados de todos los artículos en el almacén, considerándose una fortaleza de la organización contar con la información completa de las existencias en su bodega. Sin embargo, en la empresa se carece de seguimiento del flujo de artículos en la bodega, pues el personal de estas áreas únicamente tiene la consigna de registrar la entrada y salida de mercancías, porque atienden varias bodegas de otros productos de la empresa. Así, es necesario asignar un encargado de implementar la metodología ABC periódicamente, según las necesidades, la temporalidad e importancia del almacén en la empresa, de tal manera, se elaborarán análisis de los artículos más convenientes de asignar espacio y mejor ubicación en el almacén, todo esto aunado a la satisfacción de la demanda de los clientes. Esta tarea logrará que la empresa incremente su rentabilidad mediante la priorización de los artículos más importantes en la bodega, considerando su localización y tiempo de venta, siendo una labor que beneficia la distribución del almacén, lo cual reduce tiempos y movimientos en la organización.
En la actualidad la gran competencia entre corporaciones prioriza el estudio de diversas metodologías de inventarios en las empresas, debido a que las organizaciones necesitan encontrarse preparadas para poder abastecer las necesidades de sus clientes, dando relevancia a la aplicación de la metodología ABC.
Una gran cantidad de empresas maneja inventarios grandes y otras manejan inventarios pequeños, ante la flexibilidad de los códigos con mayor requerimiento se debe estar atenta a que haya suficiente reabasto, cuidando la parte de sobre existencia. En cuanto a los productos intermedios se deben mantener estos inventarios estables y reabastecer en situaciones de menor inventario. Los productos de menor movimiento no dejan de ser de interés, pues son más de un 50 % de los códigos que se podrían manejar a clientes o proveedores para satisfacer sus necesidades, teniendo un buen control; no dejan la ganancia que los de la clasificación AB, pero están dentro de nuestros inventarios.
En el presente análisis se presenta el cálculo de los artículos de mayor ganancia y es necesario tener en constante reabasto para tener márgenes de utilidad a la empresa. Son pocos los artículos que generan más utilidades, por tanto, es posible señalar que es de suma importancia este cálculo, pues le permite al gerente representar y tomar las decisiones necesarias para tener los artículos con un margen de ganancia en la empresa. Los demás artículos con menor porcentaje de participación son importantes también, pues, aunque no se venden tan frecuentemente como los artículos de clasificación A, es necesario tomarlos considerarlos, porque también forman parte de esta participación de ventas en la empresa.
En este estudio se permite visualizar qué artículos dejan más ganancia, razón por la cual es necesario que la empresa tenga un constante reabastecimiento de dichos bienes para mantener los márgenes de utilidad, pues son pocos los artículos de más utilidades. Resulta de suma importancia realizar este cálculo, porque le permite al gerente representar y tomar las decisiones necesarias para proveer aquellos que generen mayor ganancia. Los demás artículos de menor porcentaje de participación son importantes también, aunque no se venden tan frecuentemente como los artículos de clasificación A, es necesario considerarlos porque también forman parte de esta participación de ventas en la corporación.
Se puede concluir en este apartado sobre la importancia de los operadores logísticos, como el futuro próximo para la administración de la cadena de suministros de las empresas, ya que realizan su logística por necesidad del cliente o como centro de distribución para mover y vender sus materiales en el mercado local, como estrategia de distribución logística. Muchas empresas requieren servicios de almacenamiento, transportación, distribución de sus materiales, compitiendo en los mercados locales, nacionales o internacionales; los canales de distribución final son importantes para los clientes, incluyendo aquellos que requieren un manejo especial para sustancias peligrosas o químicas.
El proceso de distribución de la empresa es eficaz, tiene fluidez en recibo, en almacenamiento, en embarques; en lo único que se debe trabajar y que está mejorando es el proceso de picking para su embarque, puesto que buscan un producto y no encuentran en la posición que lo envía el sistema. Es importante este tema pues en una ocasión por tres semanas se estuvieron realizando conteos cíclicos, se suscitó un problema en cuanto a un producto que no se envió a una de las plantas, por lo cual se han tomado medidas necesarias; el resultado fue el fracaso en un envío. Hasta el momento existe un reclamo del cliente, y se debe mejorar en la realización de un inventario a todo el almacén, pues esta práctica no existía: La preparación de pedidos hará que este proceso sea más rápido y se va a capacitar a los montacarguistas para el manejo del escáner, además de la realización de inventarios continuos.
Es importante que la empresa BASAL tenga la visión de establecer un análisis del almacén de manera conveniente, para que pueda tomar decisiones de abastecimiento y alimentar la cadena de suministro que permite que se incremente la utilidad del negocio, todo esto mediante estudios de inventario que posibiliten decidir lo que más conviene a la organización. Es recomendable que la empresa analice su inventario con la metodología ABC debido a que le permitirá disminuir los costos de almacenaje, teniendo mayor flujo de sus productos en bodega. Siendo una práctica relevante porque permite a los recursos de la empresa puedan destinarse a la atención del cliente, en su defecto, los recursos se podrán invertir en tareas apremiantes para la empresa. El beneficio para el cliente derivado de la implementación de la metodología ABC es la certidumbre en el abastecimiento de mercancías, la adquisición de artículos en buen estado sin obsolescencia, el establecimiento de relación estrecha con la empresa mostrando lealtad a los productos adquiridos, a su vez dar certeza a sus consumidores y actividades, evitando paros en la línea de producción.
http://www2.udec.cl/~ran/ojs/index.php/ran/article/view/82 (html)







