El estado actual de la Responsabilidad Social Empresarial en México
The current situation of Social Corporate Responsibility in Mexico
El estado actual de la Responsabilidad Social Empresarial en México
Revista Academia & Negocios, vol. 6, núm. 1, pp. 41-56, 2020
Universidad de Concepción
Recepción: 12 Noviembre 2019
Aprobación: 27 Abril 2020
Resumen: El objetivo del presente trabajo es analizar la forma en que las empresas afrontan la Responsabilidad Social Empresarial (RSE), en México. Con la intención de generar información que propicie la incorporación de RSE, este trabajo establece el perfil de las empresas que implantan RSE en México e identifica el modelo de adopción que siguen en dicho proceso. Para esta tarea se utilizaron tres bases de datos de empresas que realizan RSE, con el objetivo de obtener datos relacionados con sector, tamaño y ubicación. Dentro de las conclusiones que se obtuvieron, se encuentra que las empresas grandes incorporan RSE en mayor medida que las pequeñas. De hecho, se identifica que la participación en RSE es directamente proporcional con el tamaño de la firma. También se identificó que el modelo de RSE más utilizado en México es el de Empresa Socialmente Responsable.
Palabras clave: Responsabilidad Social Empresarial, Modelos de Responsabilidad Social, Ventaja Competitiva, Perfil Empresarial.
Abstract: The objective of this study is to analyze how some Mexican companies implement Corporate Social Responsibility (CSR). With the intention of generating information that promotes the incorporation of CSR, this work establishes the profile of the companies that implement CSR in Mexico and identifies the adoption model that they follow. Data related to company sector, size and location was gathered from three databases of firms that have implemented CSR. We can conclude that large companies incorporate CSR to a greater extent than small ones. In fact, participation in CSR is directly proportional to the size of the firm. It was also identified that the most used CSR model in Mexico is that of a Socially Responsible Company.
Keywords: Corporate Social Responsibility, Social Responsibility Models, Competitive Advantage, Business Profile.
INTRODUCCIÓN
El estudio de la Responsabilidad Social Empresarial (en adelante RSE) se ha convertido en un tema relevante en la agenda de investigación en gestión estratégica. Aunque la discusión relacionada con dicho tópico es anterior a su uso dentro de esta disciplina, la publicación del artículo "Integrating Corporate Social Policy Into Strategic Management" de Carroll y Hoy (1984), marca el inicio de una amplia línea de investigación sobre los procesos de integración de políticas de RSE, como parte de la estrategia en la empresa. De acuerdo a Vargas y Olivares (2012), frente a los altos niveles de deterioro de la naturaleza, las organizaciones públicas y privadas han configurado una serie de acciones tendientes a la conservación del entorno, recurriendo a diversos métodos para contrarrestar dicho deterioro.
Conforme a Manescu, C. (2010), este interés académico responde además del reconocimiento de la importancia de este tópico a nivel teórico, que lleva a reflexionar sobre sus causas e impactos, a la observación de la creciente utilización de RSE entre las organizaciones, situación que permite analizar empíricamente cómo y por qué dichas prácticas se incorporan en la estrategia de las empresas. Sousa, Outtes, Pasa y Farache (2010), señalan que “empíricamente y teóricamente, podemos ver que las estrategias que incluyen prácticas de RSE están asociadas con la construcción y uso de ventajas competitivas” (p.295).
Esto ha conducido a que la RSE se analice como un tópico propio de la gestión estratégica, al ser un factor que influye en aspectos relevantes para el desempeño de la empresa, como la retención de talentos, la construcción e impulso de la reputación y el posicionamiento de la marca. Sin embargo, aún existe cierta resistencia a su aplicación, debido a que no se cuenta con una sólida base empírica que ponga de manifiesto sus beneficios, que clarifique el vínculo entre la ventaja competitiva y la responsabilidad social corporativa (Porter y Kramer, 2006). Al respecto, Sethi, Martell y Demir (2015), señalan que los esfuerzos para superar estos inconvenientes mediante iniciativas como el Global Reporting Initiative (2017) y el desarrollo de la norma ISO 26000, no han dado los resultados esperados, debido a que el énfasis principal de estas iniciativas está en el proceso de creación de informes de RSE, más que en generar criterios de medición, que permitan asegurar una implementación robusta o verificar la exactitud de la información.
Recientemente, desde la perspectiva del análisis teórico de la RSE, autores como Murillo, Acosta y Acosta (2019), Pantoja (2019), Carroll y Brown (2018), han validado la existencia de beneficios ambientales, derivado de una correcta implementación de prácticas de RSE, obteniendo como resultado más destacado, la reducción en el uso de recursos naturales, una disminución de contaminantes y desarrollo de nuevos modelos de gestión ambiental, que impulsan la innovación en el uso de nuevas tecnologías; lo anterior, desde la perspectiva del impacto ambiental. Aunado a lo anterior, Jang, Ko, Yanghon y Chungwon (2019) y Toft (2020), refieren que las prácticas enfocadas a la reducción del impacto ambiental permiten, a su vez, mejorar el nivel de conciencia dentro de los grupos de interés, mejorando el entorno social. De acuerdo con Christensen, Hail y Leuz (2019) y Wagner-Tsukamoto (2019), lo anterior ayuda a generar un mayor desempeño financiero a las empresas, permitiendo mantener de forma indefinida o sustentable las prácticas de RSE.
El análisis del estado actual de la RSE en México es pertinente, puesto que podría generar certidumbre sobre el perfil de las empresas que llevan a cabo dicha práctica, y sobre la forma en que se incorporan estas dentro de la gestión estratégica. Para establecer dicho perfil es necesario identificar aspectos como el momento en que usualmente se produce su implementación, es decir desde qué año de vida de las empresas se suele incorporar la RSE en su estrategia, así como el periodo estándar de permanencia de la RSE como parte de esta.
Es importante establecer si la RSE es considerada parte constitutiva del plan estratégico o solo como un aspecto accesorio, encaminado a mejorar la imagen de la empresa. Este conocimiento puede facilitar que empresas que se plantean incorporar RSE conozcan los estándares imperantes y puedan tomarlos en consideración en el diseño de su estrategia; pero también para que los responsables de las políticas públicas tengan un referente que les permita encontrar los mecanismos adecuados para el impulso de estas prácticas.
En específico, el trabajo tiene como objetivo ampliar la información sobre las RSE en México, respondiendo a las siguientes preguntas: ¿Cuál es el perfil en México de las empresas que adoptan las RSE? ¿Por qué es relevante para las empresas mexicanas implementar RSE? El estudio toma como hipótesis general de partida, que las empresas clasificadas como grandes son las que tienen mayor capacidad de implantar RSE y de mantener estas mismas prácticas a lo largo del tiempo, al incorporarlas formalmente en su estrategia.
Definición y evolución de la Responsabilidad Social
Conforme a lo mencionado por Carroll y Shabana (2010), la Corporate Social Responsibility (en adelante CSR), también llamada Responsabilidad Social Empresarial (RSE) o Prácticas de Empresa Socialmente Responsable (PESR), es definida por la Secretaría de Economía del Gobierno Federal (SE) “como la contribución activa y voluntaria al mejoramiento social, económico y ambiental por parte de las empresas, con el objetivo de mejorar su situación competitiva, valorativa y su valor añadido” (SE, 2016). Por su parte, Freeman (1984) sostiene que la RSE corresponde a prácticas empresariales que ayudan a generar beneficios para las empresas y sus grupos de interés, dicha definición se complementa con el aporte de Porter y Kramer (2006), donde las prácticas se enfocan en generar un valor compartido por parte de las empresas y los grupos de interés o stakeholders, permitiendo generar un ganar-ganar en la relación empresa-sociedad. Conforme a Fifka y Berg (2014), se logra establecer que el fenómeno de la RSE considera prácticas voluntarias y sustentables, además del aspecto social, económico y ambiental que adopta la empresa, con la finalidad de generar beneficios para la sociedad.
Carroll (2008) dentro de su publicación “La historia de la responsabilidad social corporativa: conceptos y prácticas”, clasifica por décadas el estudio del fenómeno:
· Decada de los años cincuenta. Fue la era 'filantrópica' en la cual las empresas donaron a obras de caridad, más que cualquier otra cosa.
· Década de los años sesenta. Se introducen diversos conceptos y prácticas de CSR. Si en los años cincuenta y antes de estos existía una evidencia limitada de la RSE, la década de los sesenta marcó un crecimiento trascendental en los intentos de formalizar o, más precisamente, establecer lo que significaba la RSE. En la década de 1960 exiten diversos esfuerzos por expresar mejor lo que significaba la RSE.
· Década de los años setenta. Las definiciones presentadas durante la década de 1960 mantienen su vigencia.
· Década de los años ochenta. El enfoque en el desarrollo de definiciones nuevas o mejoradas de RSE, dio paso a la investigación sobre RSE y una división en las tendencias asociadas a conceptos alternativos o complementarios y cuestiones como la capacidad de respuesta social corporativa, el desempeño social corporativo, las políticas públicas y la ética empresarial, solo por mencionar algunos.
· Década de los años noventa. La CSR sirve como punto de referencia para abordar temas complementarios.
· El siglo XXI:La tendencia en el nuevo siglo conduce al refinamiento conceptual; pero sobre todo a la investigación empírica que permita validar la corrección de las propuestas. También se observa el surgimiento de nuevos ámbitos en que se utilizan estos conceptos, y su aplicación en la forma de buenas prácticas administrativas, así como la expansión global en el uso de estos conceptos.
Esta perspectiva, conforme a Robins (2011) pone de manifiesto que el énfasis actual en la investigación relacionada con la RSE se encuentra en la realización de trabajo empírico, que permita, entre otras cosas, identificar las tendencias en la utilización de los diversos Modelos de Responsabilidad Social Empresarial (en adelante MRSE), como los resultados que se han obtenido de su utilización. Dicha afirmación se respalda por medio de la investigación planteada por Carroll y Brown (2018), donde se exponen las líneas actuales de investigación en el marco de la RSE. Por lo tanto, los resultados obtenidos en esta etapa no han permitido aún alcanzar un consenso sobre cuál es el mejor MRSE para la empresa, en caso de existir uno que sea aplicable a todas las tipologías empresariales y sus diversas circunstancias.
Modelos de Responsabilidad Social en México
La existencia de una amplia variedad de MRSE, es posiblemente una consecuencia del debate abierto respecto de cuáles y conforme a la OIT (2007) son los elementos que deben ser considerados para el análisis de la RSE. En este contexto, el presente trabajo utiliza 3 elementos que se deberían contemplar en un MRSE, con el fin de reflejar lo contenido en definiciones institucionales, como las señaladas anteriormente por la SE:
· La RSE debe ser aplicada de manera voluntaria,
· La RSE debe ser integrada mediante el uso de técnicas sustentables en la producción y el uso de los recursos naturales, como mecanismo de actuación socialmente responsable dentro de la empresa,
· La RSE debe enfocarse en lo económico, social y ambiental y va dirigida a todos los Grupos de Interés (Stakeholders).
En México se utiliza una considerable cantidad de MRSE; sin embargo, la mayoría de estos, se enfocan solo en una de las áreas mencionadas.
La Tabla 1 muestra que la mayoría de los modelos señalados solo contempla una disciplina o grupos de interés específicos. Como ejemplo, el modelo utilizado por la Secretaría de Trabajo y Previsión Social (STPS) “Empresa Familiarmente Responsable” se enfoca únicamente en los trabajadores de la propia empresa, dejando de lado a los clientes, sociedad civil, inversionistas y promotores, por lo que no es un modelo completo.
| Nombre | Institución que otorga | Enfoque | Número de empresas certificadas |
| Empresa Familiarmente Responsable (EFR) | Secretaría de Trabajo y Previsión Social (STPS) Federal. | Social: Colaboradores internos, específicamente trabajadores. | 384 |
| Empresa Incluyente (DEI) | Secretaría de Trabajo y Previsión Social (STPS) Federal. | Social: Grupos vulnerables, discapacidad, adultos mayores, VIH, LGBTTTI, liberadas, madres de familia, afro mexicanas. | 370 |
| Programa de Industria Limpia | Procuraduría Federal de Medio Ambiente. (PROFEPA) | Ambiental: Cuidado del medio ambiente y cumplimiento del marco legal | 281 |
| Programa de Cumplimiento Ambiental Voluntario | Secretaria de Medio Ambiente y Desarrollo Territorial (SEMADET) | Ambiental: Cuidado del medio ambiente y cumplimiento del marco legal estatal. | 87 |
| International Organization for Standardization 26000 (ISO) | Organización Internacional de Normalización | Social: Gestión responsable con los Stakeholders | Sin registro/modelo no certificable |
| International Organization for Standardization 14000 (ISO) | Organización Internacional de Normalización | Ambiental: Gestión responsable con el medio ambiente | 189 |
| Empresa Socialmente Responsable (ESR) | Centro Mexicano para la Filantropía | Social: Prácticas de responsabilidad generalizadas | 1505 |
| Modelo GRI | Global reporting Org | Comunicación | Sin registro |
| Global Compact | Naciones Unidas | Comunicación | Sin registro |
| Índice de RSE | Bolsa Mexicana de Valores | Evaluación | Sin registro |
Asimismo, la tabla muestra que los MRSE utilizados en el país, abarcan una gran gama de áreas donde pueden ser aplicados, como se mencionó anteriormente. Dichos modelos apuntan a los colaboradores internos (trabajadores), grupos vulnerables, temas enfocados al ambiente y su cuidado, además de abarcar cuestiones relacionadas con la gestión responsable con los Stakeholders. El modelo con menos registros es el otorgado por la SEMADET, con tan solo 87 registros al 2017. Sin embargo, la importancia del cuidado al medio ambiente, sin duda, es un factor que debería seguir impulsando a las empresas a obtener este registro.
Considerando los tres criterios relevantes contemplados en los MRSE, se puede identificar en la Tabla 1 que todos los modelos propuestos cumplen con el criterio de aplicación de forma voluntaria; sin embargo, hay algunos que solo se enfocan en el medio ambiente, dejando de lado lo social y económico, otros se enfocan en la comunicación o evaluación de la propia RSE.
El modelo que cumple con la mayoría de los criterios señalados, es el del distintivo ESR del Consejo Mexicano para la Filantropía A.C (CEMEFI), puesto que cumple con los criterios de aplicación de forma voluntaria, contempla los aspectos sociales, ambientales, económicos e involucra a todos los interesados. Además, es el modelo más utilizado si se considera el número de empresas que cuentan con el distintivo ESR del CEMEFI.
METODOLOGÍA E HIPÓTESIS DE TRABAJO
Con el objetivo de responder a las preguntas del presente trabajo y considerando que el análisis sobre los MRSE pone de manifiesto que el “Distintivo Empresa Socialmente Responsable” del Centro Mexicano de la Filantropía A.C. (CEMEFI), es uno de los más completos y además es el más utilizado en México, pues agrupa 1505 empresas con distintivo (aunque en este trabajo solo se utilizan 1499, que corresponden a las empresas mexicanas incluidas en el conjunto), se utiliza dicha base para realizar el análisis del perfil de empresas que realizan RSE.
Existe un cierto consenso que señala que las empresas grandes tienen mayor capacidad de adoptar la RSE de manera estructurada, dentro de su planeación estratégica y con una visión permanente sobre la duración de las prácticas de la Micro Pequeña y Mediana Empresa (MiPyME), porque las firmas de este conjunto enfrentan dificultades para la implementación de cualquier estrategia que requiera de financiación para la adquisición de nuevos recursos, y generalmente, solo adoptan RSE como resultado de la necesidad de responder a un problema de reputación o conflictos con alguna parte de sus Stakeholders. En este sentido, las hipótesis del estudio son las siguientes:
H1: Existe una relación directa entre el tamaño de la empresa y la adopción de RSE.
H2: Existe una relación directa entre el tamaño de la empresa y la adopción de RSE, como parte integral de la estrategia.
Metodología
Para la realización del análisis se utilizó la base de datos denominada “buscador ESR” elaborada por CEMEFI, permite utilizar filtros para ordenar a las empresas por estado, sector y tamaño. Una vez filtrada la información, se obtuvo la base inicial “buscador ESR”. Asimismo, se ingresó al Sistema de Información Empresarial Mexicano (SIEM), y se descargó la base presentada por la institución (con las mismas variables), estado, sector y tamaño.
Es importante señalar que, aunque la información del SIEM pueda presentar algunos sesgos asociados a su carácter voluntario, su estructura es compatible con la de la base del CEMEFI.
De hecho, aún cuando se presenten desviaciones previsibles, si se toma en cuenta que son las empresas más proactivas las que realizan la RSE y también las que se registran en el SIEM, vale la pena observar estos resultados. En cualquier caso, para identificar estos sesgos también se realiza el análisis utilizando las bases de datos presentes en el Directorio Estadístico Nacional de Unidades Económicas (DENUE), actualizadas en marzo de 2017, del Instituto Nacional de Estadística y Geografía (INEGI), que permite mayor precisión en los datos, mismas bases que se clasifican de acuerdo con CEMEFI para formar una sola base.
Como muestra la Tabla 2, CEMEFI hace la división de tamaños de cada empresa y con relación al INEGI. En el país predominan las micro y pequeñas empresas, donde emplean de dos a 10 empleados las primeras y de 11 a 50 las segundas, dependiendo del sector al cual se enfoquen (ver Tabla 2 para más detalle). Para ser considerada una empresa mediana, según CEMEFI, debe emplear entre veintiséis y doscientas cincuenta personas, dependiendo del sector.
| Sector | Tamaño por número de empleados | |||
| Micro | Pequeña | Mediana | Grande | |
| Agropecuario | 2-10 | 11-25 | 26-100 | >100 |
| Minero y extractivo | 2-10 | 11-50 | 51-250 | >250 |
| Industria manufacturera | 2-10 | 11-50 | 51-250 | >250 |
| Construcción | 2-10 | 11-50 | 51-250 | >250 |
| Comercio | 2-10 | 11-30 | 31-100 | >100 |
| Transporte y comunicaciones | 2-10 | 11-50 | 51-100 | >100 |
| Servicios | 2-10 | 11-50 | 51-100 | >100 |
La Tabla 3 nos muestra una equivalencia de la clasificación de las empresas vista desde el punto de vista de CEMEFI versus INEGI. Con la base de datos resultante de la información de INEGI, además de revisar el agregado nacional, también se analizó una muestra que incluye a Sonora, Zacatecas y las grandes concentraciones Jalisco, Nuevo León, Ciudad de México, por características relevantes; Querétaro y Bajas Californias, debido a su contraste.
| Clasificación de CEMEFI | Clasificación INEGI por actividad económica agrupado de acuerdo con CEMEFI |
| Agropecuario | Agricultura |
| Minero y extractivo | Minería |
| Industria Manufacturera | Manufactureras |
| Construcción | Construcción |
| Comercio | Comercio al por mayor, Comercio al por menor 1, Comercio al por menor 2, Comercio al por menor 3, Comercio al por menor 4 |
| Transporte y comunicaciones | Transportes, correos y almacenamiento, Información en medios masivos |
| Servicios | Servicios financieros y de seguros, Servicios inmobiliarios y de alquiler de bienes muebles e intangibles, Servicios profesionales, científicos y técnicos, Servicios de apoyo a los negocios y manejo de desechos y servicios de remediación, Servicios educativos, Servicios de salud y de asistencia social, Servicios de esparcimiento culturales y deportivos, y otros servicios recreativos, Servicios de alojamiento temporal y de preparación de alimentos y bebidas, Otros servicios excepto actividades gubernamentales |
Al contar con estas tres bases, donde se incluyen los criterios, tamaño, industria y estado, se realizó un cruce entre dos de las bases de datos, mediante una división, entre el número de empresas con distintivo de cada estado y el número de empresas registradas en el SIEM, con la finalidad de conocer la proporción de las empresas que cuentan con el distintivo del CEMEFI, en comparación a las que están registradas legalmente en cada estado y de la misma manera para tamaño de empresa y sector. Ambas bases de datos son actualizadas el año 2017, con la finalidad de identificar la tendencia actual de la adopción del modelo de ESR. La anterior operación se hizo también para el caso de la base de datos de INEGI con CEMEFI.
Con la intención de atender uno de los objetivos del presente trabajo, que es validar estadísticamente que el tamaño de la empresa influye en aquellas empresas que adoptan la RSE sobre las que no, es fundamental, para este caso específico, que obtengan distintivo ESR.
Por lo anterior, el método adecuado para cumplir con este objetivo es: Inferencias acerca de la diferencia entre dos proporciones poblacionales, basado en Anderson, Sweeney y Williams (2012) y UNAM (s.f.). Esta metodología es conveniente por la naturaleza de los datos con los que se cuenta, pues se trata de cuatro clasificaciones de tamaño empresarial, donde cada tamaño cuenta con una proporción de empresas con distintivo de ESR, respecto de su población total (empresas totales existentes en el país).
Sin embargo, los anteriores autores realizan una estimación con solo dos muestras, por lo mencionado en el párrafo que antecede este trabajo. Se cuenta con cuatro muestras (casos de éxito con ESR), por lo cual, se aplican cálculos simultáneos entre las muestras o porcentaje de la población (clasificación por tamaño) que cuentan con ESR. Lo anterior no modifica la metodología, pues en cada combinación habrá un tamaño mayor al otro, por lo que nuestra inferencia sigue de acuerdo con la metodología mencionada, debido a que son muestras de poblaciones independientes.
A continuación, se describen las diferencias con sus respectivas variables a analizar:

De acuerdo con Anderson y cols. (2012):
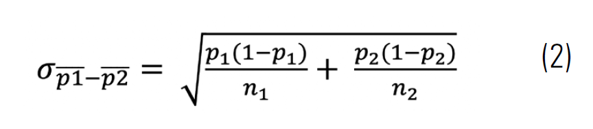
Para las inferencias acerca de estas diferencias, seseleccionan dos muestras aleatorias independientes,una de unidades de la población n1 y otra de n2 unidades de la población 2. Las diferencias que interesaconocer son las siguientes: La diferencia entrelas dos proporciones poblacionales está dada por p1-p2. Para el caso de la estimación puntual de p1-p2 es el mostrado en la ecuación (1), que es el estimadorpuntual de la diferencia entre dos proporciones poblacionales. Por consiguiente, el estimador puntual de ladiferencia entre dos proporciones poblaciones, es ladiferencia entre las proporciones muestrales de dosmuestras aleatorias simples independientes. Comoocurre con otros estimadores puntuales

tiene una distribución muestral que refleja los valores quepodría tomar

si se tomaran repetidas muestrasaleatorias simples independientes. La media de esta distribución muestral es p1-p2, y elerror estándar de

es el descrito en la ecuación(2) (p. 429-430)
Equation (1)
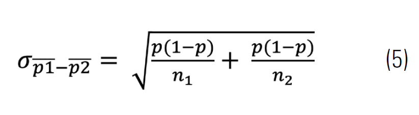
Equation (2)Asimismo, Anderson y cols. (2012), señalan que “si los tamaños de las muestras son suficientemente grandes para

sean todos mayores o iguales que cinco, la distribución muestral de p1-p2 puede ser aproximada por una distribución normal” (p.430). Por lo anterior, para este caso la distribución muestrales muy aproximada a la normal, pues de acuerdo con lo expuesto en el párrafo anterior, los resultados son para la gran empresa 729.05, mediana 321.41,pequeña 360.43 y micro 57.99, todos mayores a 5.El siguiente paso es proponer la prueba de hipótesis acerca de p1-p2.
Para el fin del presente estudio, es como sigue:

donde H1: No existe diferencia entre tamaños de empresaque adoptan PRSE. H2: Existe diferencia entre tamaños de empresa queadoptan PRSE. De acuerdo con Anderson y cols. (2012), “Si se suponeque es verdadera como igualdad, las proporcionespoblacionales son iguales p1=p2=p. En este caso

es como sigue” (p. 431): El error estándar de

cuando p1=p2=p se obtiene

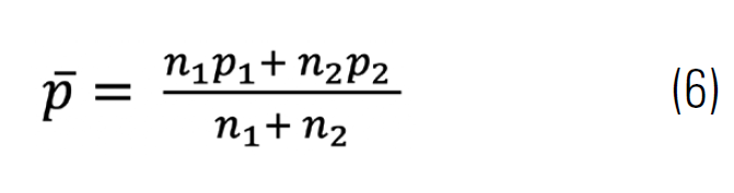
Anderson y cols. (2012), indican que “con objeto de obtener un solo estimador puntual de, se combinan los estimadores puntuales de las dos muestras. Ver ecuación (6).Estimador combinado de p cuando p1=p2=p.

El estimador combinado de p es un promedio ponderado de p1 barra menos p2 barra. Al sustituir p por p barra en la ecuación (2) se obtiene una estimación del error estándar de p1 barra menos p2 barra. Dicha estimación del error estándar se usa en el estadístico de prueba. La fórmula general del estadístico para una prueba de hipótesis acerca de la diferencia entre dos proporciones poblacionales, esel estimador puntual dividido entre la estimación de(

Estadístico de prueba para prueba de hipótesis acerca de p1 barra menos p2 barra

Como ya se ha comprobado, las muestras son grandes o infinitas, por lo cual, el anterior estadístico puede ser y es aplicado para este caso.
RESULTADOS
El valor mínimo de z de las diferencias entre dos proporciones(en las diferentes combinaciones de tamaños)fue de 17.54, por lo cual, con un nivel de confianza del 99%, donde al ser la calculada mayor que el valor tabular de la distribución normal, se rechaza H0 y se acepta Ha, donde se valida estadísticamente que existe diferencia entre tamaños de empresas para contar con un distintivo ESR y se concluye que las empresas grandes tienden a obtener más distintivos de ESR que el resto de los tamaños de empresas.Para más información sobre los cálculos realizados,ver el documento anexo. Es importante mencionarque este análisis incluye solo a las 1499 empresas mexicanas con distintivo ESR de CEMEFI. Y considera la base de datos INEGI del mes de marzo de 2017,clasificando los tamaños de acuerdo con CEMEFI (s.f).
El perfil de las empresas mexicanas que adoptan la RSE
Mediante el uso de la base de datos del CEMEFI y del SIEM (2017), aplicando la metodología descrita anteriormente, en la Tabla 4 se presenta el porcentaje de participación de empresas que realizan RSE a nivel estatal. Se identificó que los estados con mayor porcentaje de empresas certificadas, con relación a su población empresarial total, son: Sonora, Sinaloa y Ciudad de México, por el contrario, los estados con menor porcentaje son Nayarit, Baja California Sur y Zacatecas. Estos datos pueden mostrar, a pesar de ser bajos, un cierto sesgo optimista, porque las empresas se registran de forma voluntaria en el SIEM, y eso podría implicar que solo las empresas más formalizadas y mejor gestionadas, se registren en dicha base. Asimismo, nos muestra un panorama de la participación de cada estado en cuanto al porcentaje de empresas que cuentan con algún tipo de certificación. Liderando el grupo Sonora con una participación del 1.73%, seguida de Sinaloa con un 0.62% y Morelos con una 0.38%. Por el contrario, Tlaxcala y Nayarit se sitúan en los puestos más bajos con un porcentaje del 0.02%. Mientras que Zacatecas y Baja California Sur, solo alcanzan una participación del 0.01%, encontrándose al final de la lista.
Por su parte, la Tabla 4 muestra las empresas con distintivo ESR en México, respecto del total de empresas nacionales en 2017. Ciudad de México alcanzó los 535 distintivos, Jalisco 148 y Sinaloa 143, quien lidera la lista. Los estados que se encuentran con menor número de registros son: Tlaxcala con dos, Baja California Sur, Nayarit y Zacatecas con dos cada uno.
| Estado | Núm. De empresas certificadas | Núm. De empresas registradas ante SIEM | Porcentaje de empresas certificadas por estado | |
| Aguascalientes | 4 | 2.359 | 0.17 | |
| Baja California | 15 | 11.194 | 0.13 | |
| Baja California Sur | 2 | 13.673 | 0.01 | |
| Campeche | 10 | 8.413 | 0.12 | |
| CDMX | 535 | 88.621 | 0.60 | |
| Chiapas | 5 | 4.219 | 0.12 | |
| Chihuahua | 36 | 31.942 | 0.11 | |
| Coahuila | 22 | 13.635 | 0.16 | |
| Colima | 8 | 1.998 | 0.40 | |
| Durango | 8 | 9.924 | 0.08 | |
| Estado de México | 90 | 53.823 | 0.17 | |
| Guanajuato | 33 | 28.190 | 0.12 | |
| Guerrero | 4 | 3.910 | 0.10 | |
| Hidalgo | 5 | 12.059 | 0.04 | |
| Jalisco | 148 | 52.926 | 0.28 | |
| Michoacán | 14 | 52.486 | 0.03 | |
| Morelos | 7 | 1.849 | 0.38 | |
| Nayarit | 2 | 9.299 | 0.02 | |
| Nuevo León | 105 | 31.841 | 0.33 | |
| Oaxaca | 4 | 5.224 | 0.08 | |
| Puebla | 34 | 22.884 | 0.15 | |
| Querétaro | 31 | 18.881 | 0.16 | |
| Quintana Roo | 26 | 20.720 | 0.13 | |
| San Luis | 11 | 8.308 | 0.13 | |
| Sinaloa | 143 | 23.249 | 0.62 | |
| Sonora | 105 | 6.081 | 1.73 | |
| Tabasco | 6 | 7.477 | 0.08 | |
| Tamaulipas | 34 | 28.617 | 0.12 | |
| Tlaxcala | 3 | 12.169 | 0.02 | |
| Veracruz | 22 | 58.610 | 0.04 | |
| Yucatán | 25 | 34.754 | 0.07 | |
| Zacatecas | 2 | 16.744 | 0.01 | |
En la Tabla 5 elaborada con información del SIEM, puede observarse que las diferencias entre porcentajes son significativas, pues del total general de las empresas con distintivos, ESR es un 0.22% respecto del total registradas en SIEM. El porcentaje de empresas con distintivo ESR, respecto del total de empresas formales existentes en el país (INEGI) es un 0.030%, el cual es muy bajo, pero ilustra de manera general la fase en que se encuentra la RSE en México, y se observa una diferencia de un 0.19% entre empresas que cuentan con un sentido de mayor formalidad (registradas en SIEM), en comparación con el total de empresas existentes en México.
| Entidad Federativa | Con distintivo | Total nacional | Porcentaje ESR respecto del total nacional |
| Aguascalientes | 4 | 56.292 | 0.0071% |
| Baja California | 15 | 116.831 | 0.0128% |
| Baja California Sur | 2 | 33.671 | 0.0059% |
| Campeche | 10 | 39.396 | 0.0254% |
| Chiapas | 5 | 185.907 | 0.0027% |
| Chihuahua | 36 | 119.197 | 0.0302% |
| Ciudad de México | 535 | 460.699 | 0.1161% |
| Coahuila | 22 | 103.870 | 0.0212% |
| Colima | 8 | 35.008 | 0.0228% |
| Durango | 8 | 60.619 | 0.0132% |
| Estado de México | 90 | 606.325 | 0.0148% |
| Guanajuato | 33 | 255.618 | 0.0129% |
| Guerrero | 4 | 154.851 | 0.0026% |
| Hidalgo | 5 | 117.043 | 0.0043% |
| Jalisco | 148 | 360.539 | 0.0410% |
| Michoacán | 14 | 225.076 | 0.0062% |
| Morelos | 7 | 100.328 | 0.0070% |
| Nayarit | 2 | 56.258 | 0.0036% |
| Nuevo León | 105 | 163.795 | 0.0641% |
| Oaxaca | 4 | 204.193 | 0.0019% |
| Puebla | 34 | 299.915 | 0.0113% |
| Querétaro | 31 | 82.203 | 0.0377% |
| Quintana Roo | 26 | 59.609 | 0.0436% |
| San Luis Potosí | 11 | 104.106 | 0.0106% |
| Sinaloa | 143 | 108.191 | 0.1322% |
| Sonora | 105 | 107.435 | 0.0977% |
| Tabasco | 6 | 71.946 | 0.0083% |
| Tamaulipas | 34 | 126.476 | 0.0269% |
| Tlaxcala | 3 | 71.792 | 0.0042% |
| Veracruz | 22 | 294.104 | 0.0075% |
| Yucatán | 25 | 114.917 | 0.0217% |
| Zacatecas | 2 | 62.708 | 0.0032% |
| Total general | 1499 | 4.958.918 | 0.0302 % |
Tipo de Actividad
De acuerdo con Mazurkiewicz (2004), la aplicación de RSE no es la misma para cada empresa o sector, es decir, de acuerdo con el tipo de industria o sector, cada firma impacta de manera diferente en el ambiente y sociedad, y para cada empresa también influirá su tamaño y su cultura. Lo anterior se puede observar con los registros en el órgano correspondiente mexicano.
Al filtrar las empresas seleccionadas por tipo de actividad, se identifica que el sector industrial es donde existe más participación de empresas que realizan RSE, mientras que el sector comercio, por el contrario, es donde se presenta menor participación, como se puede observar en la Tabla 6.
| Tipo de industria | Número de empresas certificadas | Porcentaje del total de empresas (%) |
| Industria | 514 | 0.97 |
| Comercio | 260 | 0.06 |
| Servicios | 731 | 0.38 |
Esta misma tabla proporciona información sobre porcentajes de empresas certificadas por tipo de actividad y por estado. De las cuales las dedicadas a los servicios son las que han adquirido mayor número de algún tipo de certificación, alcanzando un total de 731, seguida de las empresas dedicadas a la industria y, finalmente, con menor número de certificaciones las empresas dedicadas al comercio, con solamente 260 registros.
También se obtuvo el dato de las empresas que cuentan con un distintivo ESR, por tipo de actividad económica a nivel nacional en 2017. La Tabla 7 lo ilustra con detalle, encontrándose con ventaja las empresas dedicadas a los servicios, seguida de la industria manufacturera, por el contrario, las actividades menos favorecidas son los sectores agropecuario, de transporte y comunicaciones y el minero y extractivo.
| Actividad Económica | Con distintivo | Total a nivel nacional | Porcentaje ESR respecto del total por actividad |
| Agropecuario | 78 | 21.048 | 0.3706% |
| Comercio | 182 | 2.260.366 | 0.0080% |
| Construcción | 120 | 27.043 | 0.4437% |
| Industria Manufacturera | 341 | 528.153 | 0.0646% |
| Minero y extractivo | 51 | 3691 | 1.3817% |
| Servicios | 659 | 2.060.753 | 0.0319% |
| Transporte y comunicaciones | 68 | 57.864 | 0.1175% |
| Total general | 1.499 | 4.958.918 | 0.0302% |
Tamaño de la empresa
Las hipótesis de este trabajo enfatizan en la relación entre tamaño de la empresa y la incorporación de RSE. Para verificar la corrección de dichas hipótesis, se calculó el porcentaje de empresas que realizan RSE, respecto del total. Las empresas se subdividieron en micro, pequeñas, medianas y grandes, según la clasificación implementada por CEMEFI para referir el tamaño de la empresa. Se identifica, a escala nacional, que las empresas grandes cuentan con mayor participación en el uso de RSE con un 6.7% del total de las empresas registradas en el SIEM, por el contrario, de las empresas micro, solo cuentan con el 0.0012% de la participación en México.
En la Tabla 8 de acuerdo con datos de SIEM, se muestra una clasificación de las empresas dependiendo del número de trabajadores que se emplean y su relación con el porcentaje de empresas certificadas. Si se emplean hasta diez personas, entonces, se considera una microempresa, si emplean de 11 hasta 50 se denomina pequeña, si caen entre 51 y 250 encontramos una mediana, por lo tanto, una empresa que tenga más de 250 trabajadores se considera grande.
| Tamaño Empresa | Número de trabajadores | Porcentaje de empresas certificadas |
| Grande | 250+ | 6.7586 |
| Mediana | 51-250 | 0.6700 |
| Pequeña | 11-50 | 0.1408 |
| Micro | 0-10 | 0.0012 |
También es posible describir la relación entre empresas con distintivo ESR y su tamaño en México, según clasificación CEMEFI (2017). Por lo tanto, la Tabla 9 nos muestra que las empresas grandes (756), son las que cuentan con mayor número de distintivos, seguidas de las pequeñas (361) y poniendo al final de la lista a las micro, pues solo alcanzan 58 distintivos a nivel nacional.
| Tamaño empresa | Con ESR | Total nacional | Porcentaje ESR respecto del total por actividad |
| Grande | 756 | 21.208 | 3.5647 |
| Mediana | 324 | 40.504 | 0.7999 |
| Pequeña | 361 | 227.751 | 0.1585 |
| Micro | 58 | 4.669.455 | 0.0012 |
| Total general | 1.499 | 4.958.918 | 0.0302 |
| s | |||
Sobre la base de la información presentada, se puede constatar que el patrón de incorporación de la RSE en México, en las empresas, se encuentra directamente relacionado con el tamaño de la empresa. Además, se observa que la participación de RSE se produce mayoritariamente en el sector industrial, asimismo, el mayor porcentaje de participación se encuentra dentro de los estados con ciudades metropolitanas.
Puede observarse que continúa la relación entre ESR con el tamaño de empresas de acuerdo con INEGI y la clasificación de CEMEFI (Tablas 2 y 3), la cual, al clasificar por tamaño de acuerdo con la actividad económica, cuenta con el 3.57% de las empresas grandes, mostrando un descenso conforme disminuye el tamaño.
De acuerdo a la clasificación de SIEM, se observa un porcentaje de 6.76%, debido a que se considera una clasificación por tamaño de empresas general y no de acuerdo a la actividad, lo cual marca una diferencia entre las tablas 8 y 9 en este tamaño de 3.20%, misma que es significativa, pues se debe principalmente a que se clasifica mayor número de empresas como grandes (ver Tabla 2), en comparación con el modo general (ver Tabla 8). Existe un aumento en la Tabla 9, respecto de la 8 en los tamaños mediano y pequeño, derivado de la situación descrita, al pasar de estos dos últimos tamaños mencionados al tamaño grande.
Del 1.387.881 de empresas registradas, el 92.07% pertenece a microempresas, de las cuales solo 35 cuentan con distintivo ESR, 20 de estas 35 están ubicadas en la Ciudad de México. El 6.10% pertenece a las pequeñas empresas con 212 distintivos, en este caso, 100 de las 212 están ubicadas en la Ciudad de México. El 1.18% es representado por las medianas empresas obteniendo 192 distintivos, la mayoría ubicadas en Ciudad de México y Jalisco. Finalmente, el 0.65% pertenece a grandes empresas con 504 distintivos en total, de los cuales se distribuyen en su mayoría en los estados deCiudad de México, Jalisco y Nuevo León.
DISCUSIÓN DE RESULTADOS
Los resultados obtenidos ponen de manifiesto que el interés y la atención puesta en la RSE, por parte de sus teóricos y promotores, no es compartida por las empresas en México. En efecto, la incorporación de la RSE por parte de las empresas en México es marginal. Esto puede deberse a muchas causas que es conveniente mentalizar, porque de su comprensión depende el incremento en el número de organizaciones que utilicen la RSE.
La incorporación de la RSE como parte de la estrategia de la empresa, favorece el desarrollo de iniciativas que se originan en la firma, lo que contribuye a fortalecer el posicionamiento de marca, renovar la imagen corporativa, obtener la preferencia y la lealtad de los clientes y promover la armonía entre la empresa y la comunidad en la que opera (Aguilera y Puerto, 2012). Por su parte, Muñoz (2013) argumenta que los estudios planteados, refuerzan la necesidad de aplicar RSC, sustentada en la estrategia propia de la empresa, tomando en cuenta el core business como factor de cambio y competitividad.
Sin embargo, la evidencia empírica (ver Tabla 1) pone de manifiesto que pocas empresas incorporan la RSE, a pesar de sus beneficios potenciales para la empresa, el medio ambiente y para la sociedad en su conjunto. Esta situación ha generado un amplio debate. Desde una perspectiva económica, la pregunta que se encuentra en el núcleo de dicho debate, es si es posible compatibilizar el objetivo de maximización de la eficiencia en la empresa, expresado en la obtención de beneficios extraordinarios, tan altos como sea posible, y el objetivo de establecer RSE, puesto que implica la asunción de costos adicionales que reducen los beneficios de la firma, y por tanto, su eficiencia económica.
Esta pregunta puede tener dos respuestas, asociadas a la naturaleza del mercado en que participa la empresa en cuestión:
La primera es que, si el mercado tuviera un comportamiento competitivo, estos objetivos serían incompatibles para una empresa individual, porque no le sería posible maximizar su eficiencia si debiese asumir los costos adicionales que implican la RSE. Sus costos serían más altos y sus beneficios más bajos que los del promedio, del resto de los competidores. De hecho, en competencia perfecta, estos sobrecostos implicarían su salida del mercado. Esto conduce a que las empresas que participan de mercados competitivos solo incorporarían RSE si dicha práctica no le implicara costes, o dichos costes fueran homogéneos para todos los participantes del mercado, como puede ser el cumplimiento de una restricción legal, enfocada a proteger el medio ambiente o los derechos de los trabajadores. Esto puede ser una explicación al bajo uso de RSE en la empresa en México, pero también genera un cuestionamiento al criterio de voluntariedad en el uso de RSE en los diversos MRSE. ¿Debiera el Estado impulsar mediante la incorporación en la legislación, el uso de RSE en mercados que tienden a ser competitivos? Este debate excede los objetivos de este trabajo; pero ciertamente forma parte del debate asociado a la RSE.
La segunda respuesta asume que el mercado funciona en competencia imperfecta. En este caso, ambos objetivos, bajo ciertas condiciones, son compatibles, pues no existe una función de producción homogénea para todos los participantes del mercado. Cada empresa, de hecho, utiliza una función de producción específica que conlleva costos y beneficios diferenciados, por lo tanto, puede decidir incorporar o no la RSE en su estrategia, sin afectar con ello, necesariamente de forma negativa, su tasa de beneficios.
Esta respuesta es mucho más compleja que la anterior, dado que puede descomponerse en múltiples casos, y su análisis requiere de más elementos teóricos para ser abordada, pero es importante intentarlo, porque la mayor parte de las empresas, y sobre todo las de mayor dimensión, actúa en mercado de competencia imperfecta. Entre las posibles aproximaciones teóricas que permiten dar respuesta a esta pregunta, se encuentra la de la Teoría de Recursos y Capacidades (en adelante TRC) (Fong, Flores y Cardoza, 2017).
En el contexto de la TRC, la incorporación de RSE puede considerarse como la incorporación de nuevas competencias a la empresa, que permite modificar su función de producción, de forma tal que pueda dotar a su producto o servicio con los atributos clave en la decisión de compra del cliente objetivo, y que este esté dispuesto a pagar un sobreprecio por disfrutar de dicho atributo. Si esto sucede así, la empresa puede incorporar RSE y mantener o mejorar su tasa de beneficios. En mercados donde los consumidores son sensibles a la protección del medio ambiente, o al comportamiento ético, por ejemplo, las empresas pueden proporcionar bienes o servicios que incorporan dichos atributos, inclusive pueden disfrutar de una ventaja competitiva, gracias a que incorporaron oportunamente la RSE.
CONCLUSIONES Y LÍNEAS FUTURAS DE INVESTIGACIÓN: LA RSE COMO PARTE DE LA ESTRATEGIA DE LA EMPRESA
Desde el marco de la TRC, se considera que cuando una empresa, en particular pequeña, decide o se ve obligada a incorporar una innovación (en este caso asociada a la RSE), debe iniciar un proceso de aprendizaje e innovación que le obliga a mejorar diversas capacidades, tanto de orden funcional como estratégico, en específico su capacidad de absorción de conocimiento. Estas capacidades, una vez obtenidas, pueden ser utilizadas también en la consecución de otros objetivos estratégicos, y mejoran la respuesta de la empresa ante cambios en el mercado. Esto implica que aún cuando la incorporación de la RSE no contribuya directamente a mejorar la tasa de beneficios de la empresa, podría hacerlo de forma indirecta al contribuir a potenciar un comportamiento innovador.
Esta situación permite compatibilizar objetivos estrictamente económicos, con otros objetivos coincidentes con las RSE, impulsados por los diversos grupos de interés de una empresa (Stakeholders). El control de los Stakeholders sobre la estrategia de la empresa es creciente, como resultado de una mayor disponibilidad de información que fluye en todas direcciones, cada vez a mayor velocidad. Esta información propicia que se sancionen comportamientos empresariales considerados no aceptables y propicia la supervisión de lo que hacen los gestores por parte de los Stakeholders, en protección de sus intereses. Esto hace que las empresas deban prestar atención al cumplimiento de la eficiencia productiva, pero también de la información que emiten a sus grupos de interés, con el fin de asegurar su permanencia en el mercado (Mazurkiewicz, 2004).
Como se ha mencionado, incluso cuando en términos teóricos es compatible la eficiencia económica y la incorporación de RSE, en términos empíricos se observa que las firmas tienen una posición reactiva ante dichas prácticas (Ver Tabla 1). La presión de los Stakeholders sobre el comportamiento de la empresa, puede inducir un comportamiento estratégico positivo; pero también puede impulsar comportamientos oportunistas para mejorar la imagen corporativa de la empresa, sin que esto implique realizar cambios reales en la estrategia que sigue la firma, sobre todo si esto implica una estructura de costes que genere desventaja competitiva o riesgos para la empresa y en ese sentido su uso puede ser fácilmente revertido, tal como se señala en Global Compact (2017).
De forma resumida se puede señalar que los resultados obtenidos en este trabajo permiten concluir que las hipótesis planteadas son confirmadas, pues: (1) las empresas grandes son las que más utilizan RSE; (2) El tamaño de la empresa afecta directamente el uso de la RSE.
Por otro lado, se identificó que el modelo más implementado en México es el de Empresa Socialmente Responsable, esto se concluye por el número de empresas con el distintivo. No obstante, lo anterior se considera una limitación del estudio, porque ser el modelo más utilizado no es sinónimo de ser el mejor, debido a la existencia de diversas variables que afectan los incentivos para que las empresas adopten o no un modelo, como el nivel de rigor de la auditoría o la complejidad para la obtención de cada distintivo, lo que puede ser una variable importante al momento de generar aseveraciones universales.
La utilización de la RSE en México es muy baja, a pesar de que su uso en la mayoría de los casos es compatible con el mantenimiento del objetivo de eficiencia económica. Esto puede deberse a diversas causas, entre ellas, que no existe una fuerte demanda por parte de los Stakeholders para que su uso se incorpore en la estrategia de las empresas. En este sentido, cabría preguntarse si la política pública encaminada a proteger el medio ambiente, los derechos laborales, la ética y la inclusión, entre otros, debiera ser más proactiva e inclusive introducir normativa de uso obligado, generando así, nuevas líneas de investigación que aporten mayor solidez a la explicación del fenómeno.
REFERENCIAS
Aguilera, A. y Puerto, D. (2012) Crecimiento empresarial basado en responsabilidad social. Revista Pensamiento & Gestión, 32, 1-26.
Anderson, D., Sweeney, D. y Williams, T. (2012). Estadística para administración y economía (11a. ed). México, D.F.: Cengage Learning Editores.
Carroll, A. (2008). A history of corporate social responsibility: concepts and practices. In The Oxford Handbook of Corporate Social Responsibility, Andrew C. and others, eds. Oxford: Oxford University Press, 19-46.
Carroll, A. B., y Brown, J. A. (2018). Corporate social responsibility: A review of current concepts, research, and issues. In Weber, J. & Wasieleski, D. (Eds.) Corporate Social Responsibility. U.K.: Emerald Publishing Co, pp. 39-69.
Carroll, A. B., y Hoy, F. (1984). Integrating corporate social policy into strategic management. The Journal of Business Strategy, 4(3), 48.
Carroll, A. B., y Shabana, K. M. (2010). The business case for corporate social responsibility: A review of concepts, research and practice. International Journal of Management Reviews, 12(1), 85-105.
CEMEFI. (2017). Buscador ESR. Recuperado el 10 de Julio de 2018, de: https://www.cemefi.org/buscadoresr/#/
CEMEFI. (s.f). Cuadro tamaño de empresas. Recuperado el 09 de Julio de 2018 de: https://www.cemefi.org/esr/images/Cuadro%20tamano%20de%20empresas.pdf
Christensen, H. B., Hail, L., y Leuz, C. (2019). Adoption of CSR and Sustainability Reporting Standards: Economic Analysis and Review (No. w26169). National Bureau of Economic Research.
Fifka, M. S., y Berg, N. (2014). Managing corporate social responsibility for the sake of business and society. Corporate Social Responsibility and Environmental Management, 21(5), 253-257.
Fong C., Flores K., y Cardoza L. (2017). La teoría de recursos y capacidades: un análisis bibliométrico. Nova Scientia, 9(19), 411-440.
Freeman, E. (1984) Strategic management: a stakeholder approach, Pitman series in business and public policy. Boston: Pitman.
Global Compact. (2017). Progreso de comunicación. Recuperado el 04 de Noviembre de 2017, de: https://www.unglobalcompact.org/what-is-gc/participants/2133
Global Reporting Initiative. (2017). Los 10 principios del pacto mundial. Recuperado el 03 de Noviembre de 2017, de: https://www.globalreporting.org/Pages/default.aspx
INEGI. (2017). Directorio Estadístico Nacional de Unidades Económicas, Recuperado el 10 de Julio de 2018, de: http://www.beta.inegi.org.mx/app/mapa/denue/default.aspx
Jang, S., Ko, Hyesoo, C., Yanghon, W., Chungwon, R. (2019) CSR, social ties and firm performance. Corporate Governance, 19(6), 1310-1323.
Manescu, C. (2010). Strategic Corporate Social Responsibility and Economic Performance. En C. Belu y C. Manescu. (Ed.), Economic Implications of Corporate Social Responsibility and Responsible Investments, 2-31. Gothenburg, Sweden: University of Gothenburg
Mazurkiewicz, P. (2004). Corporate environmental responsibility: Is a common CSR framework possible? World Bank, 2, 1-18. Retrieved October 25, 2017, from: http://siteresources.worldbank.org/EXTDEVCOMSUSDEVT/Resources/csrframework.pdf
Muñoz, J. (2013). Ética empresarial, Responsabilidad Social Corporativa (RSC) y Creación de Valor Compartido (CVC). Journal Globalization, Competitiveness & Gobernability, 7(3), 76-88.
Murillo, I., Acosta, A., y Acosta, A. (2019) Apropiación de las PyMEs de practicas de RSE: Casos agronegocio turístico en Sinaloa, Revista de Investigación Latinoamericana en Competitividad Organizacional RILCO, 1(2).
OIT. (2007). Calidad de vida de los trabajadores. Recuperado el 22 de 09 de 2017, de: http://www.ilo.org/inform/online-information-resources/research-guides/lang--es/index.htm
Pantoja, R. (2019) Acciones de responsabilidad social de la organización CEDAGRO, como instrumento para la preservación del medio ambiente del municipio de Sabanalarga, Atlántico, Repositorio digital, Universidad Simón Bolívar.
Porter, M., y Kramer, M. (2006). Strategy and Society: The Link between Competitive Advantage and Corporate Social Responsibility. Harvard Business Review, 84(12), 78–92.
Robins R. (2011). Does corporate social responsibility increase profits? Business Ethics -The magazine of corporate social responsibility. Recuperado el 21 de 10 de 2017, de: www.business-ethcs.com.
Secretaría de Economía – SE. (2016). Definición de Responsabilidad Social Empresarial. Recuperado el 23 de Octubre de 2017, de: https://www.gob.mx/se/articulos/responsabilidad-social-empresarial-32705
Sethi, S. P., Martell, T. F., y Demir, M. (2015). Enhancing the role and effectiveness of corporate social responsibility (CSR) reports: The missing element of content verification and integrity assurance. Journal of Business Ethics, 144(1), 59-82.
SIEM (2017). Base de datos, empresas registradas. Recuperado el 03 de Noviembre de 2017, de: https://www.siem.gob.mx/siem/
Sousa, J., Outtes, L., Pasa, C. y Farache, F. (2010). Strategic Corporate Social Responsibility Management for Competitive Advantage, Strategic corporate social responsibility management for competitive advantage. BAR - Brazilian Administration Review, 7(3), 294-309.
Toft, K. (2020). Political CSR and the Second Aspect of the Social Liberal Corporation. In book: Corporate Responsibility and Political Philosophy.
UNAM. (s.f). Pruebas de hipótesis para dos muestras. Geociencias: México. Recuperado el 27 de Noviembre de 2017, de: http://www.geociencias.unam.mx/~ramon/EstInf/ Clase15.pdf
Vargas M., y Olivares, L., (2012) Responsabilidad ambiental empresarial: el caso de “Hotelera Posadas”. El Periplo Sustentable, 22, 163-188.
Wagner-Tsukamoto, S. (2019) In search of ethics: from Carroll to integrative CSR economics. Social Responsibility Journal, 15(4), 469-491.