The Relationship between Innovation and Economic Growth: Evidence from Chile and Mexico

La relación entre innovación y crecimiento económico: evidencia de Chile y México

Carolina Zayas-Márquez
Universidad Autónoma de Baja California, México
Luis Alfredo Ávila-López
Universidad Autónoma de Baja California, México

The Relationship between Innovation and Economic Growth: Evidence from Chile and Mexico

Revista Academia & Negocios, vol. 8, núm. 1, pp. 15-22, 2022

Universidad de Concepción

Recepción: 18 Agosto 2021

Aprobación: 20 Diciembre 2021

Abstract: Purpose: This paper analyzes the causal relationship between innovation and long-term per capita economic growth in Chile and Mexico for the period 1996-2015.

Design/methodology: This study uses six innovation indicators, were assessed using Granger`s test of causality: number of patents filed by resident and non-residents, spending on research and development (R&D), R&D activities, high tech exports and scientific and technical articles.

Results: The study found evidence of one-way and two-way causality between innovation and per capita economic growth. Both countries face the challenge of improving the environment to attract enough FDI (foreign direct investment).

Implications: Latin America is a diverse region. According to the 2017 Global Innovation Index, Chile ranked nº 46 while Mexico ranked nº 58, the two countries generally ranked as the most innovative in Latin America.

Originality/value: It is important to note that all these innovation indicators are strongly related to per capita economic growth.

Limitations / Implications: Politicians and academics interested in this topic should know that the two-way relationship between innovation and per capita economic growth does not necessarily reflect the whole situation.

Practical implications: More variables such as education and policy continuity should be studied to improve estimates.

Keywords: Innovation, economic growth, Chile, México.

Resumen: Propósito: Este trabajo analiza la relación causal entre innovación y crecimiento económico per cápita a largo plazo en Chile y México para el período 1996-2015.

Diseño/metodología: Este estudio utiliza seis indicadores de innovación, evaluados mediante la prueba de causalidad de Granger: número de patentes presentadas por residentes y no residentes, gasto en investigación y desarrollo (I+D), actividades de I+D, exportaciones de alta tecnología y artículos científicos y técnicos.

Resultados: El estudio evidencia la causalidad unidireccional y bidireccional entre la innovación y el crecimiento económico per cápita. Ambos países se enfrentan el desafío de mejorar el entorno para atraer suficiente IED (inversión extranjera directa)..

Implicaciones: América Latina es una región diversa. Según el Índice Global de Innovación 2017, Chile ocupó el nº 46 mientras que México obtuvo el nº 58, los dos países se ubicaron en general como los más innovadores de América Latina.

Originalidad/valor: Es importante señalar que todos estos indicadores de innovación están fuertemente relacionados con el crecimiento económico per cápita.

Limitaciones/implicaciones: Los políticos y académicos interesados en este tema deben saber que la relación bidireccional entre innovación y crecimiento económico per cápita no necesariamente refleja la situación completa.

Implicaciones prácticas: Se deben estudiar más variables como la educación y la continuidad de las políticas para mejorar las estimaciones.

Palabras clave: Innovación, crecimiento económico, Chile, México.

INTRODUCTION

Innovation has become a central topic in different fields, economics, engineering, medicine, and so forth. It is also an important issue for enterprises and governments, and it represents a modern world, where comparative advantage of David Ricardo is no longer the key factor of development.

Latin America lags in terms of economic growth and innovation; despite the recent, rapid economic growth experienced by several Latin American countries during the commodity boom. According to Olavarrieta and Villena (2014) Latin America lags behind more advanced economies in terms of innovation. This is not only at the output level: patent applications, high-technology exports (percentage of manufactured exports) and scientific and technical journal articles, including business research; but also at the input level: R&D expenditure (as percentage of the GDP) and researchers in R&D (per million people). Hence, it is not expected that this scenario will dramatically change at least in the short run.

Innovation in Chile and Mexico is not developed, according to the Global Innovation Index 2017 rankings, out of 127 countries; Chile placed 46 and Mexico 58. In recent years, the position of both countries has not improved significantly with respect to other regions, and currently no country in Latin America and the Caribbean has better results in innovation with respect to their levels of development.

Some other regions, such as Eastern Europe and Asia have experienced a recent economic growth, especially in Eastern Asia (Hu, 2015); some authors attribute this growth to the process of turning imitation to innovation (Hobday, 1995; Mathews, 1995). During the last two decades, Chile has had a high position in a series of economic indicators at a Latin American level, however at international level is still a developing country. Despite the above, in terms of innovation, its performance has been less than regular (Cruz, 2008).

The paper is organized as follows: In section 2 the recent literature is reviewed. In section 3 data and methodology. Section 4 results and discussion. Section 5 presents the summary of Granger causality test results followed by Section 6 where the conclusions are presented.

LITERATURE REVIEW

Multiple authors support that innovation leads to economic growth (Beneki et al., 2012; Wong et al., 2005; Verspagen, 2005; Segerstrom, 1991).

The works of Grossman (1991) and Aghion (2005) have found technological innovation to be the main determinant of growth. According to Mendoza (2017) the Mexican states that had a level of technological innovation in 1995, are those states that had faster growth. This result highlights not only the role of technological innovation as a growth factor of economy. In addition, it is related to the fact that those regions with greater technological innovation are the regions that had a greater economic growth. That is, technological innovation has encouraged economic divergence.

Innovation coming from Private and/or public sector has been under discussion in Chile and Mexico (Torres, 2017; Arros and Ramirez, 2017); In this regard Schumpeter (1961) in The Theory of Economic Development technological advance is related to a never-ending cycle of incoming innovative firms. However, some years later Schumpeter (1975) moved his position from only firms to public policies. Martin and Scott (2000) imply the need to establish a long-term institutional framework for the support of basic research, generic-enabling research, and commercialization. The extent to which support should be directed to each area will vary with the sources of sectoral innovation market failure.

In particular, Fuentes and Mendoza (2001) attributed public investment on infrastructure, an important role as a brake on regional inequality. They found that in the period of convergence 1980-1985, the infrastructure social status represents an important factor in reducing regional differences, not so in the case of the economic infrastructure. In the period of 1985-1998 divergence, the infrastructure variables are not significant, which is consistent with the change in the functions of the Government, which now encourages more the element of private investment.

De Ferranti (2003) argues that the ideal model is where the networks of public institutions and private firms interact in a certain way to develop and catch up with technologies.

DATA AND METHODOLOGY

The methodology chosen in this study is based on Granger (1969). Other causality testing methods reported in the literature include the test proposed by Sims (1972) and the procedure suggested by Pierce and Haugh (1977). In this study we empirically test the relationship between two variables which are: innovation and per capita economic growth. To be precise the causality between innovation and per capita economic growth can be addressed in four different ways: supply-leading hypothesis of innovation-growth nexus, demand-following hypothesis of innovation-growth nexus, feedback hypothesis of innovation-growth nexus, and neutrality hypothesis of innovation-growth nexus.

We intend to test the following hypotheses:

H°₁A: Innovation activities do not Granger-cause per capita economic growth.

H1₁A: Innovation activities Granger-cause per capita economic growth.

H°₁B: Per capita economic growth does not Granger-cause innovation activities.

H1₁B: Per capita economic growth Granger-causes innovation activities.

This study considers two Latin American nations, Chile and Mexico; we use the GDP as a reference for our variables. The empirical investigation considers annual data over the period 1996 to 2015 obtained from the World Development Indicators of the World Bank. Although the data panel is used for a considerable number of variables, this work was based on Avila-Lopez et al., (2019) where more countries were used as references.

Table 1
Descriptive statistics of the variables
CountriesVariables
PARPANRDERRDHTESTJ
Chile0.068/0.0050249/0.0170.395/0.0430.043/0.0030.003/0.0020.142/0.010
México0.010/0.0010.036/0.0030.388/0.0690.006/0.0010.001/0.0000.021/0.002
Source: Own elaboration.

PAR is the number of patents filed by residents, PAN is the number of patents filed by non-residents, and RDE is research and development expenditure, RRD is research and development activities, HTE is high-technology exports, and STJ is scientific and technical journal articles, and GDP is per capita economic growth. Values reported here are natural logs of the variables.

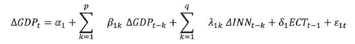
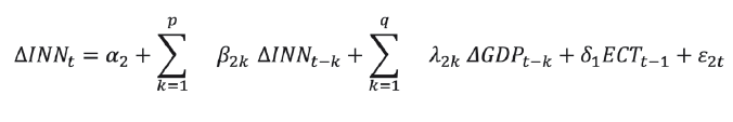
Model 1: For individual country analysis

[1]

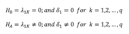
The testable hypotheses are:

[2]

The testable hypotheses are:

[3]

Where ECT is the error correction term, derived from the long-run cointegration equation; p and q are the lag lengths for the estimation; Δ is the first difference operator; and ε1t and ε2t are the independent and normally distributed random error with a zero mean and a finite heterogeneous variance.

Model 2: For panel data analysis

[4]

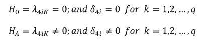
The testable hypotheses are:

[5]

The testable hypotheses are:

[6]

Where i represents a country in the panel,

t represents the year in the panel.

The Augmented Dickey Fuller (ADF) unit root test (Dickey and Fuller 1981) is used for individual country analysis, while the ADF-fisher Chi-square panel unit root test is used for the panel setting. On the other hand, Johansen cointegration test is used for individual country analysis while Fisher/Maddala co-integration test is used in the panel setting.

RESULTS AND DISCUSSION

Table 2
Results of unit root test
CountriesPARPANRDERRDHTESTJGDP
LD/FDLD/FDLD/FDLD/FDLD/FDLD/FDLD/FD
Chile-52.708***/-13.689***-52.750***/-13.678***0.840/ -6.345 ***-52.814***/-13.655 ***-52.708***/-13.689***-52.708***/-13.689***-2.270**/-5.073 ***
México-38.383***/-3.208***-3.222***/-38.381***2.195/-3.000***-37.975***/-3.146***-4.360***/-3.792***-38.412***/-3.241***-3.276***/-6.322***
Source: Own elaboration.* The Statistical significance is at 1% level **The statistical significance is at 5% level and ***The statistical significance at is 100% level

Table 3
Results of JohansenJuselius Cointegration Test Max Test
Countries Cointegration with GDP
PARPANRDERRDHTESTJ
Chile12.543/3.36811.244/4.218*15.028*/1.60912.20409 /3.262
México27.770*/9.7163*38.617959*/10.084*14.744*/8.167*12.800/9.637*17.374*/8.996*37.447046*/9.959*
Source: Own elaboration.* Note: Statistical significance is at 5% level *Means the statistical significance of the cointegrating vector and finally confirms the presence of cointegration between the two variables: innovation and per capita economic growth.

For Mexico we found bidirectional causality between innovation and per capita economic growth (PAR<=>GDP). While in Chile, per capita economic growth does not Granger-cause innovation (PAR<#>GDP).

Case 2: Between patents-non-residents (PAN) and per capita economic growth (GDP).

For Mexico, we found bidirectional causality between innovation and per capita economic growth (PAN<=>GDP). Chile shows a unidirectional causality from per capita economic growth to innovation (GDP=>PAN).

Case 3: Between R&D expenditure (RDE) and per capita economic growth (GDP).

In Chile we found the unidirectional causality from per capita economic growth to innovation (GDP=>RDE). While in Mexico per capita economic growth does not Granger-cause innovation (RDE<#>GDP).

Case 4: Between researcher in R&D activities (RRD) and per capita economic growth (GDP).

For Mexico, there is a bidirectional causality between innovation and per capita economic growth (RRD<=>GDP), while in the context of Chile, per capita economic growth does not granger-cause innovation (RRD<#>GDP).

Case 5: Between high-technology exports (HTE) and per capita economic growth (GDP)

For Chile, there is a bidirectional causality between innovation and per capita economic growth (HTE<=>GDP), while in the context of Mexico per capita economic growth does not Granger-cause innovation (HTE<#>GDP).

Case 6: Between scientific and technical journals articles (STJ) and per capita economic growth (GDP).

For both Chile and Mexico we found bidirectional causality between innovation and per capita economic growth (STJ<=>GDP).

Table 4
Summary of cointegration test results
Case 1Case 2Case 3Case 4Case 5Case 6
Chile (0)Chile (2)Chile (0)Chile (0)Chile (1)Chile (0)
México (2)México (2)México (2)México (1)México (2)México (2)
Source: Own elaboration.

Case 1: co-integration between PAR and GDP; case 2: co-integration between PAN and GDP; case 3: co-integration between RDE and GDP; case 4 co-integration between RRD and GDP; case 4: cointegration between HTE and GDP; case 6: co-integration between STJ and GDP. PAR is number of patents by residents, PAN is number of patents by non-residents, and RDE is research and development expenditure, RRD is research and development activities, HTE is high-technology exports, and STJ is scientific and technical journal articles, and GDP is per capita economic growth. 0 stands for absence of co-integration between innovation (PAR/PAN/RDE/RRD/HTE/STJ) and per capita economic growth, 1 stands for presence of co-integrating vector between innovation (PAR/PAN/RDE/RRD/HTE/STJ) and per capita economic growth. Parentheses indicate the number of cointegrating vectors (s).

The short-run causality is verified using the Wald statistics, while long-run causality is verified using the statistical significance of the error correction term. For (PAR / PAN / RDE) innovation is the dependent variable.

*Indicates the statistical significance at 5% level; ** indicates the statistical significance at 10% level.

Table 5
Summary of Granger causality test results
Supply-leading hypothesis of innovation growthDemand-following hypothesis innovation-growth nexus
Case 1Case 2Case 3Case 1Case 2Case 3
ChileChile
Feedback hypothesis of innovation-growth nexusNeutrality hypothesis of innovation-growth nexus
Case 1Case 2Case 3Case 1Case 2Case 3
Chile
MexicoMexicoMexico
Source: Own elaboration.* Indicates the statistical significance at 5% level ** indicates the statistical significance at 10% level

Case 1: co-integration between PAR and GDP; case 2: co-integration between PAN and GDP; case 3: co-integration between RDE and GDP. PAN is the number of patents by non-residents, and RDE is research and development expenditure, RRD is research and development activities, and GDP is per capita economic growth.

CONCLUSION

Although the scenario for innovation could be considered critical, this article provides a view of the importance of the relationship between innovation and economic growth by analyzing the Granger causal nexus between Chile and Mexico using time series data from 1996 to 2015.

In general, for Mexico we found bidirectional causality between innovation and per capita economic growth; these results are aligned with the results of Mendoza (2017). As a main result we found that Chile has a unidirectional causality from per capita economic growth to innovation.

In regard to patents filed by non-residents we found for Mexico bidirectional causality for innovation and per capita economic growth. In contrast Chile has a unidirectional causality from per capita economic growth to innovation. In both cases innovation comes from abroad rather than from nationals.

For the variables: high-tech exports and per capita economic growth, Chile has a bidirectional causality between innovation and per capita economic growth, and Mexico´s per capita economic growth does not Granger-cause innovation.

Chile and Mexico have the challenge of improving the environment to attract sufficient FDI (foreign direct investment). In addition, governments must evaluate the results to reduce the risk of wasting money and have no impact on innovation.

Policy makers and academics interested in this matter should know that the bidirectional relationship between innovation and per capita economic growth does not necessarily reflect the complete situation, more variables such as education and continuity of policies should be studied.

REFERENCES

Aghion, P., Bloom, N., Blundell, R., Griffith, R., & Howitt, P. (2005). Competition and Innovation: An Inverted U Relationship? Quarterly Journal of Economics ,120 (2), 701-728.

Amorós, J. E., Basco, R. y Romaní, G. (2014). Determinants of early internationalization of new firms: The case of Chile. International Entrepreneurship, 12(1), 283–307.

Avila-Lopez, L. A., Lyu, C., & Lopez-Leyva, S. (2019). Innovation and growth: evidence from Latin American countries. Journal of Applied Economics, 22(1), 287-303.

Beneki, C., Giannias, D., & Moustakas, G. (2012). Innovation and economic performance: the case of Greek SMEs. Regional and Sectorial Economic Studies, 12(1), 31-42.

CONACyT (2014). DECRETO por el que se aprueba el Programa Especial de Ciencia, Tecnología e Innovación 2014-2018. Decree to approve the Special Program of Science, Technology and Innovation 2014-2018. DOF, Wednesday, July 30th, 2014.

Cornell University, INSEAD, and WIPO (2013). The Global Innovation Index 2013: The Local Dynamics of Innovation, Geneva, Ithaca, and Fontainebleau.

Cruz, A. (2008). La Ruta de la innovación en Chile. Journal of Technology Management & Innovation, 3(1), 1-9.

De Ferranti, D., Pewrry, G.E., Gill I., Guasch, J.L., Maloney, W.F., Sanchez Paramo, C., & Schady, N. (2003). Closing the gap in education and technology. Washington, D.C.

Granger, C.W.J. (1969). Investigatig causal relations by econometric models and cross-spectral models. Econometrica, 37, 424-438.

Grossman, G. M. & Helpman E. (1991). Innovation and growth in the global economy. Cambridge, MA: MIT Press.

Hobday M. (1995). Innovation in East Asia: The Challenge to Japan. Brookfield, VT: Edward Elgar.

Hu, A. G. (2015). Innovation and economic growth in East Asia: An overview. Asian Economic Policy Review, 10(1), 19-37.

Maradana, R. P., Pradhan, R. P., Dash, S., Gaurav, K., Jayakumar, M., & Chatterjee, D. (2017). Does innovation promote economic growth? Evidence from European countries. Journal of Innovation and Entrepreneurship, 6(1), 1-23.

Martin, S., & Scott, J. T. (2000). The nature of innovation market failure and the design of public support for private innovation. Research Policy, 29(4-5), 437-447.

Mendoza, J. E. (2017). Innovación tecnológica y crecimiento regional en México, 1995-2000. The Mexican Journal of Economics and Finance, 1(3), 187-201.

Olavarrieta, S., & Villena, M. G. (2014). Innovation and business research in Latin America: An overview. Journal of Business Research, 67(4), 489-497.

Pierce, D.A & Haugh, L, (1977). Causality in temporal systems: Characterization and survey, Journal of Econometrics, 5, 265-293.

Segerstrom, P. S. (1991). Innovation, imitation, and economic growth. Journal of political economy, 99(4), 807-827.

Sim, C. (1972). Money, income and causality. American Economic Reviezu, 62, 54O552.

Schumpeter, J., 1961. Reprint of 1934 edition, The Theory of Economic Development. Cambridge, MA: Harvard University Press.

Schumpeter, J., 1975. Colophon edition of 1942 edition, Capitalism, Socialism and Democracy. New York: Harper and Row.

Torres Alonso, E. (2017). La innovación en el sector público: tendencias internacionales y experiencias mexicanas. Documentos y aportes en administración pública y gestión estatal, (28), 229-233.

Valdivia, V. A., & Ramírez-Alujas, Á. V. (2017) Innovación en el sector público chileno: la experiencia y aprendizajes del laboratorio de gobierno. Revista de Gestión Pública, 4(1), 43-80.

Verspagen, B. (2005). Innovation and economic growth. The Oxford handbook of innovation.

Villareal, M. (2010). The Mexican Economy after the Global Financial Crisis, Congressional Research Service 7-5700, 41402.

Wong, P. K., Ho, Y. P., & Autio, E. (2005). Entrepreneurship, innovation and economic growth: Evidence from GEM data. Small business economics, 24(3), 335-350.

World Economic Forum. (2008). Bridging Skills and Innovation Gaps in Latin America: Country Implementation of the Competitiveness Lab. Retrieved June 7, 2017 from http://www3.weforum.org/docs/WEF_Bridging_Skills_Innovation_Gaps_Latin_America.pdf

HTML generado a partir de XML-JATS4R por