Artículos de investigación clínica o experimental
Disminución de la incomodidad en el uso prolongado de sillas dinámicas. Estudio longitudinal
Decreased Discomfort in Prolonged Use of Dynamic Chairs
Diminuição da incomodidade no uso prolongado de cadeiras dinâmicas. Estudo longitudinal
Disminución de la incomodidad en el uso prolongado de sillas dinámicas. Estudio longitudinal
Revista Ciencias de la Salud, vol. 14, pp. 81-96, 2016
Universidad del Rosario
Recepción: Noviembre 01, 2015
Aprobación: Enero 15, 2015
Resumen: El incremento de la cantidad de trabajadores de oficina ha conllevado a un aumento del tiempo que se pasa en postura sedente de manera continua; por tal razón, esta condición de trabajo ha sido investigada con el propósito de comprender las manifestaciones de dolor o incomodidad resultantes de hacer trabajos en dicha demanda postural. Objetivo: comparar los datos basales de percepción de incomodidad debida al dolor lumbar con aquellos en función del uso prolongado de la silla, en presencia (CB) o no (SB) de variaciones en la inclinación del asiento. Materiales y métodos: se incluyeron diez trabajadores de oficina; se les asignó la silla modificada o estándar para uso continuo en la jornada laboral durante ocho meses, con seguimiento mensual mediante la medición de incomodidad con la Escala análoga visual. Los datos se analizaron de manera descriptiva y mediante métodos estadísticos, según la distribución de cada conjunto de datos. Resultados: revelan diferencias significativas y una potencial ventaja de la silla CB frente a la silla SB, de acuerdo con la comparación de medias de los reportes de incomodidad en la región lumbar (p=0,04). Además, se encontró que los trabajadores que recibieron intervención ergonómica en la oficina redujeron el aumento de incomodidad en la jornada laboral y el período de seguimiento, comparado con el grupo control. Conclusiones: las variaciones en la inclinación del asiento realizadas en forma dinámica y continua durante lapsos largos (silla dinámica CB) influyen de manera positiva en la disminución de la percepción de incomodidad en trabajadores de oficina.
Palabras clave: dolor lumbar, inclinación del asiento, oficina, sillas.
Abstract: The increase in the amount of office workers, has led to an increase on the continuous time they expend in a sitting posture. Hence, this working situation has been investigated to understand pain or discomfort manifestations under this postural demand. Objective: to compare the basal data of discomfort perception due to back pain with those related to the extended use of chairs, when there is presence (or absence) of seat tilt variations. Materials and methods: the study involved a group of ten office workers. This subjects used a typical office chair (SB chair) or a modified one (CB chair) when they were at work. Then, there was a monthly evaluation of the discomfort using a Visual Analog Scale, during an eight months survey time. Data was descriptively analyzed using statistical methods, depending on the distribution of each data set. Results: revealed potential advantage of CB chair over the SB chair, considering the average comparison of discomfort in the lumbar region (p=0,04). In addition, workers receiving office ergonomic intervention reduced their daily discomfort during the monitored period, compared with the control group. Conclusion: dynamic and continuous variations of seat tilt during long periods of time have a positive influence in reducing the perception of discomfort in office workers.
Keywords: lumbar pain, chair, office, seat tilt.
Resumo: O incremento da quantidade de trabalhadores de escritório, tem levado a um aumento do tempo que se passa em postura sedentária de maneira contínua, por este motivo, esta condição de trabalho tem sido investigada com o propósito de compreender as manifestações de dor ou incomodidade; resultado de realizar trabalhos em dita demanda postural. O objetivo do estudo foi comparar os dados basais de percepção de incomodidade devida à dor lombar com aquelas em função do uso prolongado da cadeira, em presença (CB) ou não (SB) de variações na inclinação da cadeira. Para isto, incluíram-se 10 trabalhadores de escritório, atribuindo-lhes uma cadeira modificada ou standard mensal mediante a medição de incomodidade com a Escala Análoga Visual. Os dados analisaram-se de maneira descritiva e mediante métodos estatísticos, segundo a distribuição de cada conjunto de dados. Os resultados revelaram diferenças significativas e uma potencial vantagem da cadeira CB gente à cadeira SB, tendo em conta a comparação de medias dos reportes de incomodidade na região lombar (p=0,04). Para além, se encontrou que os trabalhadores que receberam intervenção ergonómica no escritório, reduziram o aumento da incomodidade na jornada laboral e do período de seguimento, comparado com o grupo controle. Conclui-se, que as variações na inclinação da cadeira realizadas em forma dinâmica e contínua durante longos períodos de tempo (cadeira dinâmica CB), influem de forma positiva na diminuição da percepção de incomodidade em trabalhadores de escritório.
Palavras-chave: Dor lombar, cadeiras, escritório, inclinação da cadeira.
Introducción
Existe evidencia de que la postura sedente tiene significativamente más carga en el raquis que la postura de pie (1). Además, cuando la primera es prolongada, se presenta un mayor riesgo relativo de dolor lumbar (DL) en el primer año de trabajo (2, 3, 4, 5). La carga excesiva está relacionada con la marcada disminución de la lordosis lumbar, determinada por el movimiento de retroversión de la pelvis que genera mayor presión en la parte anterior de los discos intervertebrales lumbares que deben soportar el peso del cuerpo (4, 6, 7, 8, 9, 10). Esto conlleva una sobrecarga en los ligamentos posteriores, cápsulas y cartílagos articulares y porción anular de los discos intervertebrales, lo cual genera una deformación de las fibras de colágeno y provoca cierto grado de tensión sobre las terminales nerviosas que producen dolor (nociceptores) (11, 12, 13). Otra consecuencia a largo plazo es la disminución de la nutrición de los discos intervertebrales, debido a la adopción de una misma postura por tiempo prolongado, lo cual repercute en su rápido envejecimiento, deterioro y otras patologías como hernias discales (6, 14, 15).
Como resultado, los macrorreposicionamientos de la pelvis realizados sobre el asiento en postura sedente son la respuesta natural del cuerpo debido a la incomodidad percibida en función del tiempo (7, 16, 17). Estos movimientos permiten liberar las cargas internas, disminuir los estímulos nociceptivos, mejorar la nutrición de los discos intervertebrales en la región lumbar y reducir la fatiga en la región nalga-muslo por falta de oxigenación de los tejidos (18, 19, 20, 21). Sin embargo, la consideración de tiempo prolongado de asumir una postura sedente sumada a otros factores como la activación muscular y el aumento de la carga sobre la zona lumbar limita el movimiento lumbopélvico (22, 23). En concordancia, estudios muestran que existe una relación entre estos movimientos y la percepción de incomodidad (16, 24, 25).
En virtud de lo anterior, son diversos los autores que han recomendado posturas sedentes más dinámicas que favorezcan los cambios constantes del cuerpo y muy pocos los estudios que se han efectuado en pro de esta recomendación (26, 27, 28, 29). Se han hecho pruebas con movimientos continuos de rotación del asiento en el plano horizontal, con una frecuencia de cinco veces por minuto y no menos de dos horas por participante. Después de dos años de pruebas, no se pudo encontrar que la rotación horizontal de la silla influyera en la mitigación del dolor lumbar (30).
Por otra parte, Van Geffen, Reenalda, Veltink y Koopman efectuaron pruebas de dos minutos de duración con movimientos pélvicos en el plano horizontal a partir de un sistema de cuatro barras y hallaron que la incomodidad en postura sedente está asociada con el movimiento lumbar (31). Además, mostraron que dichos movimientos de la articulación lumbosacra contribuyen al mantenimiento de las curvaturas fisiológicas tanto torácica como lumbar. Asimismo, se ha evidenciado la influencia de los movimientos lumbopélvicos en la disminución de la percepción de incomodidad debida al dolor lumbar en postura sedente durante un tiempo de noventa minutos (32). Otros estudios basados en Mandal, que buscan extender la cadera para conservar la curvatura lumbar con inclinaciones del asiento hacia adelante, han demostrado una reducción de la carga intradiscal y un mejor equilibrio de la actividad muscular anterior y posterior del tronco (33, 34, 35). Sin embargo, todos estos no han contado con un diseño experimental prospectivo longitudinal. De acuerdo con lo anterior, se sugiere que las variaciones de inclinación del asiento, hechas en forma dinámica y continua durante largos períodos, influyen en la reducción de la percepción de incomodidad debida al dolor lumbar durante las actividades de oficina.
1. Materiales y métodos
1.1. Aprobación ética
Este proyecto fue avalado por el Comité de ética para la investigación científica, de la Universidad Industrial de Santander, de acuerdo con las consideraciones éticas de la Declaración de Helsinki y el Reporte de Belmont para el tratamiento de humanos en investigación. Además, según la Resolución 008430 de 1993 del Ministerio de Salud colombiano, el estudio se clasificó como de riesgo mínimo.
1.2. Participantes
En el estudio se incluyeron diez participantes que laboran en actividades de oficina con un rango de edad entre 20 y 50 años y un IMC entre 20 y 30 k/m2, aspectos establecidos como criterios de inclusión. Se determinó la presencia de dolor lumbar durante los últimos doce meses como criterio de exclusión. La asignación de los participantes a los tratamientos se hizo a partir del tipo de silla de oficina con el que cada uno contaba previamente mediante una lista de chequeo preliminar. De esta manera, las sillas de oficina modificadas con el sistema de basculación fueron entregadas a aquellas personas cuya silla rutinaria guardaba mayores diferencias con respecto al modelo escogido para comparar entre los dos grupos (CB y SB); así pues, tanto las sillas con el mecanismo de basculación como las sillas del grupo control son similares para hacer una comparación objetiva.
Se buscó que la población a comparar fuera lo más homogénea posible. El porcentaje de hombres (40 %) y mujeres (60 %) fue el mismo en los dos grupos y otras características, que se observan en la tabla 1, se mantuvieron constantes durante todo el estudio y fueron evaluadas con un autorreporte de aspectos psicosociales, que fue elaborado al inicio y al final del estudio.

1.3. Variable independiente
La variable independiente se contempla en un arreglo de un factor en donde la basculación del asiento durante un período de ocho meses (factor A) influye en la variable respuesta, percepción de incomodidad debida al dolor lumbar (Y1), como se muestra en la figura 1.

El factor A “basculación del asiento” se manipuló a partir de dos tratamientos:
Sin basculación (SB): el espaldar del asiento permanece con un ángulo de 105° y el ángulo del asiento es de 5° hacia arriba y permanece fijo.
Con basculación (CB): el espaldar del asiento permanece con un ángulo de 105° y el ángulo del asiento varía entre 5° hacia abajo y 5° hacia arriba. Esta variación obedece a la voluntad del participante.
Las sillas SB y CB utilizadas son de tipo estándar para oficina. Las sillas CB fueron modificadas al integrar a su base un mecanismo que permite que el asiento bascule entre 5° y -5° en el plano horizontal en sentido anteroposterior, como se muestra en la figura 2, lo que facilita el cambio postural a partir de movimientos lumbopélvicos.

1.4. Variable dependiente
La respuesta Y1 fue medida a partir de la escala de Corlett y Bishop, modificada mediante VAS (36). Gracias a la primera escala se determinó el área de la espalda en donde se manifestaba dolor y con la segunda, el grado de intensidad. El VAS consiste en autorreporte compuesto por una línea continua de 100 mm de longitud; en cada extremo se encuentran las etiquetas de “sin incomodidad” e “incomodidad máxima”. Se utilizó una escala de 0 a 100 para tener una variable continua (figura 3).

Como variable de control del ambiente laboral, se hizo una encuesta (autorreporte) con variable politómica ordinal sobre los aspectos psicosociales. Se evaluó la cantidad de trabajo, si existían pausas para descansar, la posibilidad de decidir la velocidad para hacerlo, la oportunidad de ser propositivos con nuevas ideas, la identificación clara del objetivo de la labor, la posibilidad de retroalimentación sobre la calidad del desempeño y el trabajo en equipo.
El estudio se hizo en condiciones reales del empleo; sin embargo, se controló que no existieran modificaciones del personal y cambios en cuanto a las funciones, al tipo de trabajo, a los horarios y a las condiciones tanto físicas como organizacionales.
1.5. Procedimiento
Cada participante leyó y firmó el consentimiento informado con el cual certificó su participación de manera voluntaria en el estudio y con la posibilidad de retirarse en cualquier momento. Se tomaron los datos antropométricos de cada participante y se diligenció un instrumento de medición de variables de tipo psicosocial como herramienta de control del ambiente laboral.
Más adelante, se ajustaron las sillas de acuerdo con las medidas antropométricas de cada persona y se solicitó tramitar el VAS al inicio (a. m.), al mediodía (m.) y al final (p. m.) de la jornada laboral, procedimiento que se repitió una vez al mes. La toma de datos se llevó a cabo en los días 15 a 17 de cada mes durante los ocho meses.
Los participantes desarrollaron sus actividades laborales normales con la silla dada al comienzo del estudio durante todo el tiempo que se efectuó el experimento. En total se obtuvieron tres datos de percepción de incomodidad debida al dolor por jornada por ocho meses.
1.6. Análisis estadístico
Los datos se analizaron de forma descriptiva de acuerdo con los promedios de percepción de incomodidad por el uso de la silla mes a mes y se graficaron para evidenciar el comportamiento en el transcurso de los ocho meses de seguimiento. Además del análisis descriptivo, se determinó la distribución de los datos mediante el test de contraste Shapiro Wilk adecuado para muestras menores a 50. Para esta prueba, se definió como hipótesis nula (Ho) la distribución normal de los datos, la cual fue aceptada con un nivel de significancia mayor a 0,05 (p > 0,05).
Establecida la normalidad de los datos, se aplicó el test T-student para comparar las medias de la percepción de incomodidad en espalda baja entre el uso de una silla SB y una CB y se estableció como valor de significancia cuando es menor a 0,05 (p < 0,05).
Para los datos no paramétricos, el estadístico utilizado fue la prueba Wilcoxon, que compara las medias de dos muestras relacionadas y se estableció como valor de significancia cuando es menor a 0,05 (p < 0,05).
2. Resultados
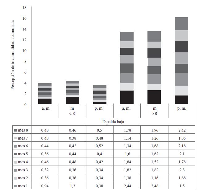
Los valores de incomodidad reportados por los participantes durante los ocho meses de seguimiento se muestran en la figura 4 e indican la evolución de los datos tanto en la silla CB como en la silla SB, en tres momentos de la jornada laboral (a. m., m. y p. m.).

Los resultados demuestran la percepción de incomodidad en espalda baja cuando se usa la silla SB y CB mes a mes. La representación para la silla SB evidencia mayor variabilidad en los reportes de incomodidad a lo largo del seguimiento, mientras los datos de la silla CB oscilan entre 0 y 0,5 aproximadamente, aspecto que representa la consistencia en las respuestas de los participantes. Con respecto a los valores reportados al final de la jornada, el comportamiento de los datos de la silla SB son mucho más altos que en la mañana y al mediodía. Se encontraron mayores variaciones en el reporte de incomodidad durante el uso de las sillas SB en comparación con las sillas CB.
La tabla 2 muestra los promedios de percepción de incomodidad de los datos reportados durante los ocho meses en las tres horas del día para las sillas SB y CB. Los promedios de las sillas SB en espalda baja son similares para el seguimiento a. m. y m., pero en el reporte final se observa un aumento de 0,31. Sobre la silla CB en espalda baja, se observa un promedio de incomodidad más alto para el seguimiento de mediodía; no obstante, el aumento solo es de 0,04 y la desviación de los datos es menor (0,05) en comparación con las desviaciones de la silla SB (0,19), lo cual evidencia la consistencia en los reportes de incomodidad realizados por los participantes durante el tiempo del estudio. El comportamiento de los datos en la espalda media y alta es similar a lo observado en espalda baja tanto en SB como CB. En CB siempre se aprecia un aumento de la percepción de incomodidad al mediodía y luego decreció con valores por debajo de los iniciales.

Ahora bien, la incomodidad total percibida por cada participante durante la jornada laboral se estableció mediante la diferencia de incomodidad entre el final y el inicio de cada jornada. La figura 5 evidencia la variabilidad en los reportes mes a mes para la silla SB. Por su parte, los resultados de las sillas CB muestran un valor negativo para el primer mes y los valores para los subsiguientes se alejaron poco de la línea del cero.

La comparación de medias muestra diferencias significativas entre los datos (p= 0,04), es decir, el tipo de silla (SB y CB) influye en la percepción de comodidad en espalda baja. Con el fin de verificar este resultado, se hizo un análisis robusto de los datos. Para esto, se utilizó la diferencia de percepción de incomodidad en espalda baja entre el inicio y el final de la jornada laboral (tabla 3). En principio, se verificó que el grupo de datos mes a mes presentara una distribución normal, para comparar las medias de los dos grupos (CB frente a SB) por cada período.

Puesto que los datos correspondientes a los meses 1 y 2 no son paramétricos, se empleó la prueba estadística de Wilcoxon para comparar las medias de la percepción de incomodidad entre la silla SB y CB de estos meses. Los resultados indicaron que los valores de significancia son menores a 0,05 para estos dos meses (mes 1 p=0,017; mes 2 p= 0,021); por tanto, se considera que existen diferencias significativas entre las medias de percepción de incomodidad de espalda baja durante los meses 1 y 2. Además, se puede afirmar que en dichos meses, la silla CB obtuvo menor aumento en la percepción de incomodidad en comparación con la silla SB, como se observa en la figura 5.
Asimismo, se aplicó la prueba T-student para los datos que presentaron una distribución normal, de modo que se pudieran comparar las medias de cada grupo (CB frente a SB). En la tabla 3 se observa que el mes 6 fue el único que presentó igualdad de las medias (p=0,59). Para los otros meses (0, 3, 4, 5, 7), se puede considerar que hay diferencias significativas entre las medias de percepción de incomodidad entre las dos sillas. En este orden de ideas, se debe aclarar que la silla SB tuvo menor aumento de la percepción de incomodidad para la espalda baja en comparación con la silla CB durante los meses 0 y 3. En contraste, la percepción de incomodidad fue menor cuando se usó la silla CB durante los meses 4, 5 y 7, de acuerdo con la figura 5.
El análisis descriptivo de los datos de la diferencia entre a. m. y p. m. muestra que la silla CB reportó, en promedio, un menor aumento de la percepción de incomodidad en espalda baja (-0,057; DS 1,46) en comparación con la silla SB (0,335; DS 0,27). La figura 6 permite visualizar que los datos de la silla CB tienen mayor homogeneidad, puesto que los bigotes que denotan el cuartil inferior y superior están cerca de la caja central y de la mediana de los datos.

En la figura 7 se muestra la diferencia entre a. m. y p. m. para las tres horas del día en las que se hicieron los registros. En SB, se puede observar que la percepción de incomodidad aumentó para las tres partes de la espalda de manera paulatina en el transcurso de la jornada laboral con promedios por encima de 1,45. Al contrario, para el caso de la silla CB, la incomodidad disminuyó durante el transcurso de la jornada laboral con promedios por debajo de 0,53.

3. Discusión
El objetivo del presente estudio fue comparar los datos basales de percepción de incomodidad debida al dolor lumbar con aquellos obtenidos en función del uso prolongado de la silla, en presencia o no de variaciones en la inclinación del asiento. Los resultados revelaron una potencial ventaja de la silla CB frente a la silla SB, a partir de la comparación de medias de los reportes de incomodidad en la región lumbar (p=0,04) entre los dos tipos de silla.
Otros estudios presentan diversos efectos positivos de las sillas dinámicas en la salud de las personas (32). Tal es el caso del trabajo de O’Sullivan, McCarthy, White, O’Sullivan y Dankaerts, en el que los resultados indican que durante un breve período de digitación en postura sedente, los participantes presentaron menor flexión lumbar y menor activación de la musculatura de esta misma zona cuando usaron la silla dinámica en comparación con la silla fija (37). Asimismo, en el estudio de Van Dieen, De Looze y Hermans se encontró una mayor ganancia en estatura cuando los participantes trabajaron en las dos sillas dinámicas en comparación con la silla de espaldar y asiento fijo (p= 0,02) (38). Dicho incremento en estatura es explicado por la recuperación de la altura de los discos intervertebrales, lo cual puede deberse a una menor compresión durante el ensayo experimental. Además, en el reporte total de comodidad presentado por Groenesteijn, Ellegast, Keller, Krause, Berger y De Looze, las sillas dinámicas fueron mejor puntuadas que la silla estándar para oficina; sin embargo, en este mismo estudio se encontró que la baja intensidad en la actividad física (inferior a 3 %), cuyos picos más altos (P95) están alrededor de un 8 %, está influenciada sobre todo por el tipo de actividad y, en menor medida, por el tipo de silla (39).
Es importante mencionar que de los estudios citados solo uno fue de campo y los demás, en condiciones de laboratorio; todos fueron llevados a cabo en cortos períodos, lo cual puede influir en los resultados. En contraste, en el presente estudio, el seguimiento se hizo durante ocho meses in situ, es decir, en el lugar de trabajo de los participantes, de acuerdo con las recomendaciones de De Looze, Kuijt-Evers y Van Dieen, quienes establecen que la comodidad a corto plazo no siempre es la misma que a largo plazo (40). Las condiciones propias del estudio de campo facilitaron el registro de la percepción de incomodidad en diferentes momentos de la jornada laboral.
Los resultados obtenidos de la diferencia entre el mediodía y el final de la jornada laboral evidencian la coherencia en el comportamiento a lo largo del tiempo. Se resalta que los datos del grupo CB presentaron mayor consistencia en comparación con el grupo SB, en el que se observa una dispersión de los datos durante el período de seguimiento. Este último aspecto no corresponde con un patrón de picos de trabajo mensual, pues las mediciones se hicieron en la misma época de cada mes y los mismos días de la semana (martes a jueves).
Para hacer un análisis objetivo del reporte de percepción de incomodidad de cada participante se estableció la diferencia entre el valor indicado al final de la jornada y el valor indicado al inicio de la misma, debido a que el primer registro del día está influenciado por factores extralaborales como el patrón de sueño, el ejercicio físico, las actividades en el hogar y enfermedades recientes, entre otros. En los resultados de la incomodidad percibida durante la jornada laboral mes a mes se puede observar la coherencia con los resultados antes mencionados, pues el grupo SB presenta picos que denotan la variabilidad entre meses, puesto que van desde valores negativos hasta valores positivos. Por su parte, los resultados de las sillas CB muestran un valor negativo para el primer mes y los valores para los subsiguientes meses se alejaron poco de la línea del cero. Sin embargo, es posible que el reporte del mes cero (línea de base) haya sido mayor para el grupo CB porque, a pesar de que los participantes fueron instruidos en el uso y la configuración de las sillas de acuerdo con las características antropométricas de cada uno, solo estaban familiarizados con sillas estándar para oficina. No obstante, el estudio muestra que las variaciones de inclinación del asiento, realizadas en forma dinámica y continua por lapsos largos, influyen en la reducción de la percepción de incomodidad debida al dolor lumbar en las actividades de oficina.
Asimismo, se encontró que los trabajadores que recibieron la intervención ergonómica en la oficina redujeron el aumento de la incomodidad en la jornada laboral y en el tiempo de seguimiento, comparado con el grupo control. De acuerdo con esto, los resultados de la presente investigación contribuyen en gran medida a demostrar la importancia de las intervenciones ergonómicas en la prevención de síntomas musculoesqueléticos, dada la escasa publicación de estudios de campo en materia de Ergonomía (41).
Es importante resaltar que la permanencia en postura sedente por tiempo prolongado no es el único factor de riesgo para presentar dolor lumbar (2). Por ello, los estudios futuros deben incluir en los análisis otros aspectos como los psicosociales y complementar las intervenciones estudiadas hasta el momento en torno a las pausas activas, escuelas de espalda y características del mobiliario para oficina.
Una de las principales dificultades de esta investigación fue la limitación en uso de herramientas de medición objetiva; por tal razón, para estudios futuros se recomienda tener en cuenta instrumentos como estadiómetros, el mat pressure sensors y equipos de electromiografía, entre otras opciones, con el fin de corroborar los resultados aquí obtenidos y comparar los nuevos resultados con otros estudios.
Es de importancia desarrollar estudios posteriores en los que sea posible utilizar equipos para cuantificar los efectos fisiológicos y biomecánicos al utilizar sillas con asientos basculantes.
Este estudio fue desarrollado en condiciones reales de trabajo por un período de ocho meses, lo que conduce a limitaciones en el control de algunas variables que pueden afectar los resultados. Sin embargo, estudios realizados en laboratorio con asientos basculantes y en lapsos más reducidos (noventa minutos) han encontrado resultados similares (32).
A partir de una lista de chequeo previa, en el estudio se controlaron la configuración formal de las sillas y del puesto de trabajo, la población a estudiar, su permanencia en el puesto y la no modificación de sus funciones, con el fin de mantener constantes los aspectos psicosociales durante toda la prueba.
Conclusiones
Las variaciones en la inclinación del asiento realizadas en forma dinámica y continua durante largos períodos influyen de manera positiva en la disminución de la percepción de incomodidad en trabajadores de oficina. Los efectos positivos de las sillas con basculación en el asiento también se hacen evidentes en el corto plazo, de acuerdo con la disminución en la percepción de incomodidad a lo largo de una misma jornada laboral. Además, se evidenció disminución en la percepción de incomodidad para las tres regiones de la espalda, razón por la cual es importante adelantar estudios adicionales referentes al tema que involucren una mayor cantidad de personas libres de dolor.
Agradecimientos
Este proyecto fue realizado con el apoyo de la Universidad Industrial de Santander y Colciencias en el marco de la convocatoria para jóvenes investigadores.
Referencias
1. Callaghan JP, McGill SM. Low Back Joint Loading and Kinematics during Standing and Unsupported Sitting. Ergonomics 2001; 44 (3): 280-94.
2. Lis AM, Black KM, Korn H, Nordin M. Association between Sitting and Occupational LBP. Eur Spine J 2007; 16 (2): 283-98.
3. Chen SM, Liu MF, Cook J, Bass S, Lo SK. Sedentary Lifestyle as a Risk Factor for Low Back Pain: A Systematic Review. Int Arch Occup Environ Health 2009; 82 (7): 797-806.
4. Makhsous M, Lin F, Bankard J, Hendrix RW, Hepler M, Press J. Biomechanical Effects of Sitting with Adjustable Ischial and Lumbar Support on Occupational Low Back Pain: Evaluation of Sitting Load and Back Muscle Activity. BMC Musculoskelet Disord 2009; 10-17.
5. Van Nieuwenhuyse A, Fatkhutdinova L, Verbeke G, Pirenne D, Johannik K, Somville PR et al. Risk Factors for First-ever Low Back Pain among Workers in their First Employment. Occup Med 2004; 54 (8): 513-9.
6. Chaffin DB, Andersson GB, Martin BJ. Occupational Biomechanics. Nueva York: Wiley & Sons; 2006.
7. Vergara M. Evaluación ergonómica de sillas. Criterios de evaluación basados en el análisis de la postura [tesis doctoral]. Castellón de la Plana: Universitat Jaume I; 1998.
8. Ferguson SA, Marras WS, Burr DL, Davis KG, Gupta P. Differences in Motor Recruitment and Resulting Kinematics between Low Back Pain Patients and Asymptomatic Participants during Lifting Exertions. Clinic Biomech 2004; 19 (10): 992-9.
9. Makhsous M, Lin F, Hendrix RW, Hepler M, Zhang LQ. Sitting with Adjustable Ischial and Back Supports: Biomechanical Changes. Spine 2003; 28 (11): 1113-21.
10. Snijders CJ, Hermans PFG, Niesing R, Spoor CW, Stoeckart R. The Influence of Slouching and Lumbar Support on Iliolumbar Ligaments, Intervertebral Discs and Sacroiliac Joints. Clinic Biomech 2004; 19 (4): 323-9.
11. García C, Moraga R, Page A, Torosa L, Verde V. Guía de recomendaciones para el diseño de mobiliario ergonómico. Valencia: Instituto de Biomecánica de Valencia; 1992.
12. Claus AP, Hides JA, Moseley GL, Hodges PW. Is “Ideal” Sitting Posture Real? Measurement of Spinal Curves in Four Sitting Postures. Man Ther 2009; 14 (4): 404-8.
13. Borenstein D, Wiesel S, Boden S. Low Back Pain: Medical Diagnosis and Comprehensive Management. Filadelfia: Saunders; 1989.
14. Kim KH, Choe SB, Haig AJ, Martin BJ. Adaptation of Torso Movement Strategies in Persons with Spinal Cord Injury or Low Back Pain. Spine 2010; 35 (19): 1753-9.
15. Neumann D. Fundamentos de la rehabilitación física. Cinesiología del sistema musculoesquelético. México D. F.: Paidotribo; 2007.
16. Vergara M, Page A. Relationship between Comfort and Back Posture and Mobility in Sitting Posture. Appl Ergon 2002; 33 (1): 1-8.
17. Na S, Lim S, Choi HS, Chung MK. Evaluation of Driver’s Discomfort and Postural Change Using Dynamic Body Pressure Distribution. Int J Ind Ergonom 2005; 35 (12): 1085-96.
18. Dolan P, Adams M, Hutton W. Commonly Adopted Postures and their Effect on the Lumbar Spine. Spine 1988; 13 (2): 197-201.
19. Adams M, Hutton W. The Effect of Posture on the Fluid Content of Lumbar Intervertebral Disc. Spine 1983; 8 (6): 665-71.
20. Adams M, McMillan D, Green TP, Dolan P. Sustained Loading Generates Stress Concentrations in Lumbar Intervertebral Disc. Spine 1996; 21 (4): 434-8.
21. Makhsous M, Lin F, Hanawalt D, Kruger SL, LaMantia A. The Effect of Chair Designs on Sitting Pressure Distribution and Tissue Perfusion. Hum Factors 2012; 54 (6): 1066-74.
22. O’Sullivan PB, Dankaerts W, Burnett AF, Farrell GT, Jefford E, Naylor CS et al. Effect of Different Upright Sitting Postures on Spinal-pelvic Curvature and Trunk Muscle Activation in a Pain-free Population. Spine 2006; 31 (19): 707-12.
23. O’Sullivan PB, Burnett A, Floyd AN, Gadsdon K, Logiudice J, Miller D et al. Lumbar Repositioning Deficit in a Specific Low Back Pain Population. Spine 2003; 28 (10): 1074-9.
24. Fujimaki G, Noro K. Sitting Comfort of Office Chair Design 2005. [Consultado el 20 de agosto de 2015]. Disponible en http://140.131.24.185/prof-rtlin/Research_theory_Data/D.2005HCI%E8%A8%AD%E8%A8%88%E8%AB%96%E6%96%87/1704.pdf
25. Sondergaard K, Olesen C, Sondergaard E, De Zee M, Madeleine P. The Variability and Complexity of Sitting Postural Control Are Associated with Discomfort. J Biomech 2010; 43 (10): 1997-2001.
26. Dunk NM, Callaghan JP. Lumbar Spine Movement Patterns during Prolonged Sitting Differentiate Low Back Pain Developers from Matched Asymptomatic Controls. Work 2010; 35 (1): 3-14.
27. Pope MH, Goh KL, Magnusson ML. Spine Ergonomics. Annu Rev Biomed Eng 2002; 4: 49-68.
28. Harrison DD, Harrison SO, Croft AC, Harrison DE, Troyanovich SJ. Sitting Biomechanics, Part II: Optimal Car Driver’s Seat and Optimal Driver’s Spinal Model. J Manipulative Physiol Ther 2000; 23 (1): 37-47.
29. Graf M, Guggenbühl U, Krueger H. An Assessment of Seated Activity and Postures at Five Workplaces. Int J Ind Ergonom 1995; 15 (2): 81-90.
30. Lengsfeld M, König IR, Schmelter J, Ziegler A. Passive Rotary Dynamic Sitting at the Workplace by Office-workers with Lumbar Pain. Spine J 2007; 7(5): 531-40.
31. Van Geffen P, Reenalda P, Veltink P, Koopman B. Decoupled Pelvis Adjustment to Induce Lumbar Motion: A Technique that Controls Low Back Load in Sitting. Int J Ind Ergonom 2010; 40 (1): 47-54.
32. Maradei F, Quintana L, Castellanos J. Macro Repositioning Movements of Pelvis and Trunk during Simulated Driving Tasks. Int J Ind Ergonom 2015; 46: 19-28.
33. Mandal A. L’Homme assis. Ann Kinésither 1984; 11: 1-7.
34. Lelong C, Drevet R, Chevalier R, Phelip X. Biomécanique rachidienne et station assise. Rev Rhum Mal Ostéoartic 1988; 55: 375-80.
35. Jounvencel MR. Ergonomía básica aplicada a la Medicina del Trabajo. Madrid: Díaz de Santos; 1994.
36. 36. Karwowski W, Marras W. The Occupational Ergonomics. Hand Book. Nueva York: CRC Press; 1999.
37. O’Sullivan K, McCarthy R, White A, O’Sullivan L, Dankaerts W. Lumbar Posture and Trunk Muscle Activation during a Typing Task when Sitting on a Novel Dynamic Ergonomic Chair. Ergonomics 2012; 55 (12): 1586-95.
38. Van DieËn JH, De Looze MP, Hermans V. Effects of Dynamic Office Chairs on Trunk Kinematics, Trunk Extensor EMG and Spinal Shrinkage. Ergonomics 2001; 44 (7): 739-50.
39. Groenesteijn L, Ellegast RP, Keller K, Krause F, Berger H, De Looze MP. Office Task Effects on Comfort and Body Dynamics in Five Dynamic Office Chairs. Appl Ergon 2012; 43 (2): 320-8.
40. De Looze MP, Kuijt-Evers LFM, Van Dieën J. Sitting Comfort and Discomfort and the Relationships with Objective Measures. Ergonomics 2003; 46 (10): 985-97.
41. Amick BC, III, Robertson MM, DeRango K, Bazzani L, Moore A, Rooney T et al. Effect of Office Ergonomics Intervention on Reducing Musculoskeletal Symptoms. Spine 2003; 28 (24): 2706-11.
Información adicional
Para citar este artículo: Maradei MF,
Ávila J, Galindo ZT. Disminución de la incomodidad en el uso prolongado de
sillas dinámicas. Estudio longitudinal. Rev Cienc Salud 2016;14(Especial):81-96.
doi: https://dx.doi.org/10.12804/revsalud14.especial.2016.06
Descargos de responsabilidad: Todos los datos, los registros y las
opiniones reflejadas en el documento son responsabilidad exclusiva de los
autores principales.