Recepción: 25 Junio 2015
Aprobación: 24 Febrero 2016
DOI: https://dx.doi.org/10.12804/revsalud14.03.2016.01
Resumen: Introducción: el cáncer infantil es poco frecuente y solo representa entre el 0,5% y el 3% de las neoplasias malignas en el mundo. El objetivo de este estudio fue describir el comportamiento del número de casos de cáncer infantil en las comunas de Santiago de Cali entre el periodo 2009 al 2013. Materiales y métodos: se presentan los mapas con la distribución de las tasas de incidencia estandarizadas por edad para cada comuna y se propone una metodología estadística alternativa para obtener probabilidades predictivas de observar cantidades iguales o mayores de casos de cáncer infantil en un periodo igual al del estudio, utilizando técnicas propias de la Estadística Bayesiana. Resultados: en el periodo bajo estudio se observaron 350 casos de cáncer infantil en la ciudad (37% de leucemias), lo que corresponde a una incidencia estandarizada media de 121 casos nuevos por millón de individuos con edades menores de 15 años. Conclusión: las tasas de incidencia de cáncer infantil observadas para la ciudad fueron menores a muchas de las reportadas en la literatura, sin embargo, debe considerarse el hecho de que todos los estudios no comparten las mismas condiciones para la recolección de los datos en términos de tiempo y la definición de población infantil.
Palabras clave: cáncer infantil, leucemias, incidencia, inferencia bayesiana, probabilidad predictiva.
Abstract: Introduction: Pediatric cancer is a rare disease and only represents between 0.5% and 3% of malignant neoplasms in the world. The main goal of this study was to describe the behavior of incidence of pediatric cancer in the administrative units of the urban area of Santiago de Cali in the period 2009 to 2013. Materials and methods: Maps with the distribution of standardized incidence rates by age for each administrative unit are presented. We propose a methodology to obtain the predictive statistical probabilities of observing equal or greater amounts of pediatric cancer cases in a time period equal to the study, using Bayesian statistical techniques. Results: During the period of study, were observed 350 cases of pediatric cancer in the city (37% of leukemia), corresponding to standardized incidence of new 121 cases per million of individuals aged under 15 years. Conclusion: Incidence rates of pediatric cancer observed for the city were lower than many of those reported in the literature, however, should be considered the fact that all studies do not share the same conditions for data collection in terms of periods time and the definition of child population.
Keywords: Childhood cancer, leukemias, Incidence, Bayesian inference, Predictive probability.
Resumo: Introdução: O cancro infantil é pouco frequente e só representa entre o 0,5% e o 3% das neoplasias malignas no mundo. O objetivo deste estudo foi descobrir o comportamento de número de casos de cancro infantil nas comunas de Santiago de Cali entre o período 2009 ao 2013. Materiais e métodos: apresentam-se os mapas com a distribuição das taxas de incidência estandardizadas por idade para cada comuna e se propõe uma metodologia estatística alternativa para obter probabilidades preditivas de observar quantidades iguais ou maiores de casos de cancro infantil em um período de tempo igual ao do estudo, utilizando técnicas próprias da Estatística Bayesiana. Resultados: no período sob estudo se observaram 350 casos de cancro infantil na cidade (37% de leucemias), o que corresponde a uma incidência estandardizada média de 121 casos novos por milhão de indivíduos com idades menores de 15 anos. Conclusão: as taxas de incidência de cancro infantil observadas para a cidade foram menores a muitas das reportadas na literatura, no entanto, deve considerar-se o fato de que todos os estudos não partilham as mesmas condições para a recoleção dos dados em termos dos períodos de tempo e a definição de população infantil.
Palavras-chave: Custo da doença, doença crónica, cuidadores, Colômbia (Decs).
Introducción
El cáncer infantil es poco frecuente y solo representa entre el 0,5% y 3% de las neoplasias malignas en el mundo (1). Aunque en individuos menores de 15 años la incidencia oscila entre 100 y 180 casos nuevos por cada millón de personas, se ha reportado que el cáncer infantil constituye la segunda causa de muertes en la población con edades entre los 2 y los 19 años. De acuerdo con Bravo et al., se estima que al año se presentan cerca de 160 mil casos nuevos en todo el mundo y que aproximadamente el 56% de estos niños mueren a causa de la enfermedad (2). En el ámbito de América Latina, se han registrado incidencias de cáncer infantil de 128,5 casos por millón de individuos en la Argentina, para 14 regiones de Brasil se registró una incidencia mediana de 154,3 (mínimo 94,7 - máximo 226,2) (3, 4). En México se reportó una incidencia de cáncer infantil de 156,9 casos nuevos por millón de niños y adolescentes menores de 18 años, en el año 2012 (5). De acuerdo con el The Surveillance Epidemiology and End Results (SEER), entidad que recopila más del 90% de los registros de cáncer en la población norteamericana, para los Estados Unidos se pueden observar incidencias de 162 casos por millón (6). Por otro lado, la American Cancer Society, para el año 2009, reportó una tasa de incidencia de 155 casos por millón entre la población hispana de los Estados Unidos, dato que coincide con el valor de 138,5 por millón reportado por Kaats en 2010 para los países de Europa, aun cuando la tasa reportada para los países del reino unido fue de 144,9 por millón para el periodo comprendido entre 2009 y 2011 (7-9).
En cuanto a Colombia, la información actualizada de incidencia de cáncer infantil es poca, solo se encuentra un reporte realizado por el Observatorio Nacional de Cáncer, de leucemia linfoide aguda, en el que se estimó una tasa de 2,5 casos por cada 100000 individuos menores de 15 años en el año 2010 (10). En la ciudad donde se realizó el estudio, el grupo Vigicáncer, en conjunto con el registro poblacional de cáncer liderado por el médico Luis Eduardo Bravo, identificó 1548 casos nuevos de cáncer infantil en el periodo comprendido entre 1992 y 2011, lo que significa que, en promedio, se presentan 77,4 casos nuevos por año (11). En este mismo estudio los autores observaron que el 69,6% de los casos de cáncer infantil de la ciudad se encuentran incluidos en los tres principales grupos de diagnósticos de la Clasificación Internacional de Cáncer Infantil versión 3 (ICCC 3), siendo el 37,3% casos de leucemia (grupo I), el 15,4% linfomas (grupo II) y el 16,3% casos de tumores del Sistema Nervioso Central (SNC o grupo III).
De acuerdo con la información expuesta, los estudios se han enfocado en estimar las tasas de incidencia y las prevalencias de la enfermedad, sin embargo, estos datos son útiles en términos de comparación entre periodos y/o regiones geográficas, pero tienen poca utilidad cuando se pretende predecir el comportamiento de una enfermedad para la que se presentan pocos casos en poblaciones con un número grande de individuos.
En el presente estudio, se presenta una metodología estadística que permite obtener tanto la distribución espacial de los casos de cáncer infantil (leucemias, linfomas y tumores del snc) como la probabilidad predictiva de encontrar un número dado de casos en un periodo igual al de estudio. Para ilustrar el desarrollo metodológico, se utilizaron los registros de casos de cáncer infantil observados en las 22 áreas administrativas (comunas) que componen la tercera ciudad capital colombiana con mayor población en el periodo 2009-2013. Para obtener los resultados, se utilizaron métodos propios de la inferencia estadística Bayesiana, asumiendo que las tasas de incidencia (parámetros) son variables a las que se les puede asociar un comportamiento natural que puede ser modelado usando distribuciones de probabilidad.
Materiales y métodos
El archivo de datos fue suministrado por el grupo que maneja el sistema de Vigilancia Epidemiológica de Cáncer Infantil (Vigicancer) con el registro de los casos nuevos de cáncer en la población de individuos con edad menor a los 15 años en el casco urbano de Santiago de Cali para el periodo 2009-2013. El archivo de datos, además de la información sociodemográfica, contenía información acerca del lugar de residencia del menor y la comuna de la ciudad donde se ubica el barrio de residencia. Para agrupar los individuos por tipo de cáncer se usó la Clasificación Internacional de Cáncer Infantil versión 3 (ICCC 3) disponible en http:// seer.cancer.gov/iccc/iccc3_ext.html
Análisis de datos
Desde el enfoque tradicional de la estadística, los parámetros son valores desconocidos y fijos en la población, que pueden ser aproximados con un margen de error mínimo (estimados) por medio de las mediciones de la variable realizadas en un conjunto de elementos tomados de la población (muestra). Desde el paradigma Bayesiano de la estadística, se asume que el parámetro es una cantidad desconocida que no es fija, sino que por el contrario tiene un comportamiento aleatorio en la población que puede ser modelado usando una distribución de probabilidad cuya información (en términos de probabilidad) puede ser actualizada usando las mediciones de una muestra de elementos. El paradigma Bayesiano de la estadística considera que la estimación de los parámetros se puede realizar combinando la información contenida en la muestra de datos con alguna información externa al experimento que generó las observaciones. La información externa puede ser obtenida de diferentes maneras, entre las más usuales están entrevistar a una persona considerada especialista en el contexto del problema o revisar fuentes históricas o literatura publicada sobre el tema. En todo el proceso de estimación, el estadístico actúa como un facilitador que interpreta la información del especialista y la traduce en términos de probabilidades (o distribuciones de probabilidad) que puedan dialogar con la información contenida en los datos, procedimiento conocido como proceso de elicitación de la información a priori. Básicamente, la información externa o subjetiva es actualizada con la información contenida en los datos mediante la conocida formula de Bayes. En este trabajo, se consideró que el comportamiento en la naturaleza de la variable, número de casos observados en la comuna i, puede ser modelado usando una distribución Poisson de probabilidades y que el comportamiento natural de la cantidad desconocida (la incidencia real de la comuna), denominada parámetro que representa el número esperado de casos de cáncer en la comuna en cualquier periodo, puede modelarse usando una distribución de probabilidades Gamma. Después de combinar la información en forma de distribuciones de probabilidad, se obtiene la distribución actualizada o posterior del pará- metro. Al tener una distribución posterior en cada comuna, se pueden obtener los indicadores que permiten resumir la incidencia de cáncer infantil en cada una de estas.
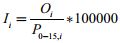
Para el caso de interés, se definió como pará- metro de
interés la incidencia de la i-ésima comuna como:
donde; el subíndice
i identifica a la comuna (i = 1, 2, …, 22), Oi es el número de casos de cáncer
infantil observado durante el periodo comprendido entre los años 2009-2013 en
la comuna, i y PO es la cantidad de niños y niñas que contaban con 15 o menos
años en la i-ésima comuna durante el citado periodo. Las cantidades de menores
en las comunas fueron obtenidas por medio de las proyecciones poblacionales al
año 2010 publicadas en un documento desarrollado por la oficina de Planeación
Municipal (12). Las tasas de incidencia obtenidas fueron estandarizadas tomando
como base la población mundial de menores con el rango de edades de interés.
De acuerdo con Silva, cuando la densidad de población
expuesta dentro del universo de estudio es relativamente baja y la frecuencia
de aparición del evento de interés (enfermedad, infección etc.) también es
baja, la incidencia como indicador para describir el comportamiento de la
distribución presenta variaciones exageradas entre unidades espaciales (en este
caso comunas) que no pueden ser asociadas con el fenómeno o enfermedad en
estudio (13). Para hacer las estimaciones se contaba con datos de Incidencia de
cáncer infantil en una ciudad colombiana Rev. Cienc. Salud. 14(3):315-328 / 319
las comunas de Cali, algunas de las cuales tienen densidades poblacionales de
menores de 15 años muy bajas, así que, además de calcular las incidencias de la
manera tradicional, se optó por obtener las probabilidades predictivas de tener
una cantidad igual o mayor al menor número de casos de cáncer infantil
observado en la i-ésima comuna durante el quinquenio siguiente al estudiado
Dichas probabilidades,
que pueden ser obtenidas combinando la información que se encuentra en la
distribución posterior, estaría contenida en una nueva muestra hipotética de
datos en la que se desearía observar el número de casos, lo que daría como
resultado una nueva distribución de probabilidades (distribución predictiva)3 .
Para el caso de cáncer infantil, la distribución predictiva obtenida fue una
Binomial Negativa.
Análisis bayesiano de los datos
Para contar con información a priori (previa a los datos o
externa) se consultó el trabajo publicado por Bravo et al. en el que los
autores 3 Smith, O’Hagan, Gelman, Bernardo y Tovar para más detalles (14, 15, 16, 17).
realizan un estudio descriptivo sobre el comportamiento de la incidencia y el
número de casos de cáncer en menores para la ciudad de Cali, en el periodo
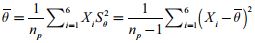
1977-2006 incluido el último año (2). Los autores calcularon las cantidades de
casos de cáncer infantil para la ciudad en seis periodos de cinco años. Con
esas cantidades estimadas, se calculó la media y la varianza, con lo que se
obtuvo un estimador del número de casos de cáncer para la ciudad completa, de
la siguiente manera:
donde np es la cantidad de individuos con 15 o menos años de edad en la
ciudad durante el quinquenio para el que se obtuvo la cantidad de casos (tabla
1). Se aproximaron las cantidades medias de casos por comuna, por medio de las
siguientes funciones de la media y la varianza obtenidas:
donde, Pi es un ponderador que asigna un peso relativo asociado
con el cociente entre la cantidad de menores de 15 años residente en la i-ésima
comuna, sobre el total de la población con la misma edad, proyectada por la
oficina de planeación municipal para el año 2010 en la ciudad (12). La
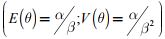
información a priori o externa fue modelada usando una distribución de
probabilidades Gamma con parámetros (α, β) para la que el proceso de
actualización con datos Poisson arroja como resultado otra distribución de la
misma familia (Gamma), pero con parámetros modificados. Para expresar la
información a priori en forma de una distribución de probabilidades, se utilizó
la relación que existe entre la media (E(θ)) y la varianza (V(θ)) con
los parámetros teóricos de la distribución de probabilidad
.

Resultados
Entre el periodo analizado, 2009-2013, en casco urbano de Santiago de Cali se presentaron 350 casos nuevos de cáncer en la población infantil, lo cual representa una incidencia de 606 casos por cada millón de niños y una incidencia media por año de 121 casos (tabla 2). De acuerdo con la Clasificación Internacional de Cáncer Infantil (ICCC), el 37% de los casos corresponden a leucemias (Grupo i), el 23% a tumores sólidos (Grupo iii) y el 17% a linfomas (Grupo ii). El 54% de los casos corresponden a varones y en general el 42% son menores de 5 años (tabla 3).

Tasas de incidencia de cáncer pediátrico por tipo de diagnóstico y comuna en la ciudad de Cali, durante el periodo 2009-2013


Distribución de los casos de cáncer en Cali para el periodo 2009-2013, por género y clasificación del ICCC3

Probabilidades predictivas estimadas para cada grupo de diagnóstico por comuna de la ciudad de Cali para el periodo 2014-2018
El 40% y el 45% de los casos clasificados dentro de los grupos i y ii presentaban edades menores a 5 años, mientras que, más de la mitad de los casos del grupo iii presentaba edades superiores a los 10 años. La comuna 22 ubicada al sur de la ciudad en la que la mayoría de los habitantes pertenecen a estratos socioeconómicos medio alto y alto es la que presenta la mayor tasa de incidencia con 724 casos por cada millón de niños, le sigue la comuna 17 (también en el sur de la ciudad), caracterizada por habitantes de clase socioeconómica media y media alta con una incidencia de 202 casos por millón de habitantes dentro del rango de edad estudiado, y la comuna tres ubicada en el centro de la ciudad, constituida por barrios habitados por familias de escasos recursos (estratos 1, 2 y 3), la cual presenta una incidencia de 348 casos por millón (tabla 2). Al calcular la probabilidad predictiva de tener por lo menos 15 casos de cáncer en la i-ésima comuna en el siguiente quinquenio, se observó que dicha probabilidad toma valores mayores en la zona sur oriental de la ciudad, exceptuando la comuna 22 (tabla 4 y figura 1a-b).

a) Distribución espacial de la incidencia estandarizada de cáncer pediátrico por grupos de edad en Cali para el periodo 2009-2013.
b) Distribución de las probabilidades predictivas de tener por lo menos 15 casos de cáncer pediátrico en las comunas de la ciudad de Cali, para el periodo 2014-2018
En el periodo de estudio se presentaron 129 casos de leucemia (Grupo i), lo cual representa una tasa de incidencia de 221 por millón de niños y una tasa media de incidencia de 44, siendo la forma linfoide la más común (78,3%). Las mayores cantidades de casos de leucemias se presentaron en las comunas 3, 22, 11 y 19 (incidencias estandarizadas acumuladas de 921, 763, 437 y 428, respectivamente). Por otro lado, las menores incidencias estandarizadas acumuladas se presentaron en las comunas 2 y 15 con 46 y 24 casos por millón de niños (tabla 2). En la comuna 22, la probabilidad predictiva de encontrar cinco o más casos de leucemia en los próximos cinco años es aproximadamente cero, mientras que en las comunas 6, 13, 14 y 15 dicha probabilidad es casi 1 (tabla 3 y Figura 2a-b).

a) Tasa de incidencia estandarizada por edad para Leucemia en Cali, durante el periodo 2009-2013
b) Distribución de las probabilidades predictivas de tener cinco o más casos de leucemias en Cali durante el periodo 2014-2018
Respecto a la leucemia linfoide aguda, en el periodo comprendido entre 2009 y 2013 se obtuvo una incidencia de 171 casos por millón y una incidencia media por año de 34 casos nuevos por millón de niños. Las comunas con mayores incidencias estandarizadas acumuladas fueron las comunas 3 y 22 con 718 y 763 casos por millón, respectivamente. Los valores de las probabilidades predictivas de tener al menos 5 casos por comuna, son similares a los obtenidos para el grupo completo de leucemias (tablas 2 y 3 y Figura 3a-b).

a) Tasa de incidencia estandarizada por edad para Leucemia Linfoide Aguda en Cali durante el periodo 2009-2013.
b) Distribución geográfica de las probabilidades predictivas de observar cinco o más casos de leucemia linfoide aguda en Cali durante el periodo 2014-2018
En el grupo de diagnóstico de linfomas (Grupo ii) se presentaron 47 casos en el periodo de estudio, de los cuales el 68% corresponde a varones y un poco más de la mitad (51%) corresponde a menores con edades entre 10-14 años. En este grupo, se presentó una tasa de incidencia estandarizada acumulada de 74 casos por millón, lo que corresponde a un incidencia media de 15 casos por millón al año. Las comunas que presentaron mayores tasas de incidencia estandarizadas acumuladas fueron la comuna 3 (415 casos por millón), la 17 (196 casos por millón) (tabla 2). Por otro lado, en las comunas 1 y 19 no se presentaron casos de linfomas. Los mayores valores para las probabilidades predictivas de linformas fueron observados en las comunas 14, 13, 6 y 15 con 0,82, 0,81, 0,80 y 0,77, respectivamente (tabla 4 y Figura 4a-b).

a) Tasas de incidencia estandarizadas por edad para el grupo Linfomas en Cali, durante el periodo 2009-2013.
b) Distribución de las probabilidades predictivas de observar por lo menos cuatro casos de Linfomas en Cali durante el periodo 2014-2018
Dentro de este grupo de diagnóstico, el linfoma de Burkitt representa el 28% de los linfomas, pero solo el 4% de todos los tipos de cáncer. Para aproximar una medida de riesgo de presentación de este tipo de linfoma, se estimó la probabilidad predictiva de tener en una nueva muestra al menos un caso de linfoma de Burkitt, (P (X ≥1)) , obteniéndose las probabilidades más altas (0.,83, 0,84 y 0,74) en las comunas 13, 14 y 15, todas ubicadas en el oriente de la ciudad dentro de una vasta área geográfica habitada por un familias de escasos recursos, la mayoría de ellas inmigrantes de otras regiones del país (tabla 4, Figura 5a-b).

a) Tasas de incidencia estandarizadas por edad para el grupo Linfomas en Cali, durante el periodo 2009-2013.
b) Distribución de las probabilidades predictivas de observar por lo menos cuatro casos de Linfomas en Cali durante el periodo 2014-2018
Respecto al último grupo de tumores estudiado (Grupo III, tumores del Sistema Nervioso Central), en el periodo de estudio fueron observados 71 casos, lo que representa el segundo grupo diagnóstico de cáncer infantil más frecuente. La incidencia estandarizada acumulada registrada para este grupo en el periodo de estudio fue de 125 casos nuevos por millón, lo que en promedio por año corresponde a incidencia de 25. La mayor concentración de los niños tiene edades inferiores a 4 años (45%), el 60% eran menores de género masculino. Las mayores tasas de incidencia estandarizada acumulada fueron observadas en las comunas 22, 3 y 19 con 857, 303 y 290 casos nuevos por millón de niños (tabla 2). Las mayores probabilidades predictivas de presentar al menos cuatro casos nuevos en el próximo quinquenio se encuentran en las comunas 6, 13, 14 y 15 (tabla 4 y Figura 6a-b).

a) Tasa de incidencia estandarizada para Tumores SNC en Cali, durante el periodo 2009-2013.
b) Distribución de las probabilidades Predictivas de observar por lo menos cuatro casos de Tumores SNC en Cali durante el periodo 2014-2018
Discusión y conclusiones
Entre el 2009 y el 2013 se observaron 350 casos nuevos de cáncer infantil en la ciudad de Santiago de Cali, capital del departamento del Valle del Cauca, tercera región con mayor desarrollo industrial y económico de Colombia, situada al suroccidente del país. La cantidad de casos de cáncer infantil representa una incidencia por año de 121 casos por millón de habitantes con edades comprendidas entre 0 y 15 años, tasa de incidencia aparentemente menor a las reportadas por otros autores para países latinoamericanos como Argentina y México y para países desarrollados como Estados Unidos. Durante el periodo de estudio, se observó que un 37% de los casos de cáncer infantil en la ciudad correspondieron al grupo de leucemias, lo que representa una tasa de incidencia estandarizada de 44 casos por millón de individuos, dato que coincide con el registrado por Kaatsch para Europa (8). En este grupo se destaca la leucemia linfoide aguda que representa el 78,3% de los casos de leucemias registrados con una tasa de incidencia estandarizada 34 por millón, valor similar al registrado en la Argentina (37,7 por millón) para el periodo comprendido entre 2000 y 2008. Dentro de los casos registrados para el grupo ii, los linfomas representan el 13% de los casos de cáncer infantil y su incidencia fue de 15 por millón, dato comparable con el valor de 15,6 reportado en la Argentina, el de 16,3 reportado por el seer en EE.UU. y Incidencia de cáncer infantil en una ciudad colombiana el valor de 15,2 reportado para Europa (3). El linfoma de Burkitt fue el menos común entre los observados, dado que representó solo un 3,7% de los casos de cáncer infantil con una incidencia de 4 casos por millón de menores de 15 años. Respecto a los tumores de Sistema Nervioso Central (CNS), en el periodo de estudio se registraron 71 casos en el casco urbano de Santiago de Cali, lo que corresponde a una tasa de incidencia de 25 por millón, mientras que los casos de meduloblastomas representaron una incidencia de 6 casos por millón.
Es posible que la tasa de incidencia obtenida para la ciudad no sea comparable con las de los otros países debido a las diferencias metodológicas observadas en los estudios revisados en la literatura. Por ejemplo, en la Argentina se estimaron las tasas de incidencia para población de menores de 14 años en un periodo de 8 años, en Brasil los autores no establecen rangos de tiempo y centran los análisis en los rangos de edad de los menores de 18 años y, quizá, el estudio realizado en México es el que guarda mayores semejanzas con el aquí realizado, pues utiliza la información de quinquenios, aunque el rango de edades en la población es de 0 a 18 años (3-5). También es importante tener en cuenta que, aun cuando el sistema de salud de la ciudad cuenta con dos entidades encargadas de realizar el registro detallado y riguroso de casos de cáncer infantil, el sistema de salud colombiano presenta fuertes limitantes en términos de acceso, lo que implica que puede haber un subregistro importante debido a la falta de diagnóstico temprano, hecho que afecta directamente la estimación de la tasa de incidencia. En términos más de cálculo, es posible que la tasa de incidencia de la ciudad sea menor a las observadas en otros países debido a que el tiempo considerado fue corto (cinco años), dentro de una ciudad donde la población expuesta estimada para el año 2010 fue de, aproximadamente, 600 mil individuos. Este hecho podría constituirse en una limitante para hacer comparativos los resultados del estudio, pues, generalmente, las estimaciones de la incidencia se realizan sobre la base de millones de individuos. Considerando esas limitantes, se decidió desarrollar una metodología que utiliza los métodos de Bayes mediante el uso de distribuciones predictivas para estimar las probabilidades de observar cantidades de casos nuevos por comuna en un periodo igual al de la colecta de datos, además de las tasas de incidencia estandarizadas. Las probabilidades predictivas fueron obtenidas asumiendo que la distribución natural de casos de cáncer infantil en las comunas de Cali puede ser modelada al utilizar una distribución de probabilidades Poisson y que la distribución natural de la cantidad esperada de casos por comuna en el quinquenio se puede modelar al utilizar una distribución de probabilidades Gamma. Contar con la probabilidad predictiva de ocurrencia de casos permite tener una visión más amplia de lo que se esperaría que ocurra en la zona de estudio si no se aplican políticas públicas de salud para el manejo de la enfermedad, lo que a su vez ofrece la opción de planear campañas de búsqueda y estrategias de seguimiento. Las probabilidades estimadas para cada región geográfica (en este caso la comuna) pueden ser obtenidas mediante un software como el r haciendo interface con un sistema de información geográfico que permita colocar en un mapa señales de alarma ante los cambios en los valores de las probabilidades. Contar con este tipo de herramientas facilita el seguimiento y el control de los casos nuevos de cáncer infantil.
Referencias
1. Piñeros M, Gamboa O, Suárez A. Mortalidad por cáncer infantil en Colombia durante 1985 al 2008. Panam Salud Pública. 2011;30(1):15-21.
2. Bravo L, Ramirez O, Alvarez MR, Ramirez N, Ardila J, Montenegro P. et al. Protocolo para el desarrollo de un sistema de vigilancia epidemiológico de cáncer infantil para las ciudades de Pasto, Neiva, Ibagué y Cali. Eur J Cancer. 2013. doi: 10.1016/j.ejca.2012.08.001
3. Moreno F, Loria D, Abrieta G, Terracini B. Childhood cancer: Incidence and early deaths in Argentina, 2000-2008. Eu J Cancer 2013;43:465-73. doi: 10.1016/j.ejca.2012.08.001
4. Camargo B, Oliveira M, Souto M, Souza R, Ferman S, Pompeaino C, et al. Cancer incidence among children and adolescents in Brazil: First report of 14 population-based cancer registries. Int J. Cancer. 2009;126:715-20. doi: 10.1002/ijc.24799
5. Rivera R, Shalkow J, Velasco L, Cardenas R, Zapata M, Olaya A, et al. Descriptive Epidemiology in Mexican children with cancer under an open national public health insurance program. BMC Cancer. 2014;14(1):790. doi: 10.1186/1471-2407-14-790
6. The Surveillance, Epidemiology and End Result. Disponible en: http://seer.cancer.gov/
7. American Cancer Society. Datos y Estadísticas Sobre Cáncer entre los hispanos/latinos 2009-2011. Atlanta: American Cancer Society. Disponible en: http://www.cancer.org/acs/groups/content/@epidemiologysurveilance/documents/document/acspc-027826.pdf 2009.
8. Kaatsch P. Epidemiology of childhood cancer. Cancer Treat Rev 2010;36(4): 277-85. doi: 10.1016/j. ctrv.2010.02.003.
9. Instituto Nacional de Salud. Protocolo de vigilancia en salud pública: cáncer infantil. 2014. Disponible en: http://www.ins.gov.co/lineas-de-accion/Subdireccion-Vigilancia/sivigila/Protocolos%20SIVIGILA/ PRO%20Cancer%20Infantil.pdf Acceso: agosto 14 de 2014.
10. Vera AM, Pardo C, Duarte MC, Suarez A. Análisis de la mortalidad por leucemia aguda pediátrica en el Instituto Nacional de Cancerología. Biomédica 2012; 32(3): 355-64.
11. Bravo L, García L, Collazos P, Ramírez, O. Descriptive epidemiology of childhood cancer in Cali, Colombia 1977-2011. Colomb Med 2013; 44(3):155-64.
12. Silva L, Rodríguez A, Vidal C. Análisis espacial de la mortalidad en áreas geográficas pequeñas. El enfoque Bayesiano. Reva Cub Sal Pub 2003;29(4):314-22.
13. O’hagan A. Kendall’s Advanced Theory of Statistics 2B, 2.a ed. U.K.: Bayesian Inference; 1994.
14. Gelman A, Carlin JB, Rubin DB. Bayesian Data Analysis, 2.a ed., New York: Chapman and Hall, 2004.
15. Bernardo JM, Smith AFM. Bayesian Theory. Chichester: John Wiley and Sons, 1994.
16. Tovar JR. Eliciting Beta prior distributions for binomial sampling. Rev Bras Biom. 2012;30(1):159-72.
17. Smith R. Bayesian and Frequentist Approaches to Parametric Predictive Inference. Carolina U.S.A.: BayesianStat 1998.
Notas
Información adicional
Para citar este artículo: Tovar CJR, Gómez GA. Incidencia de
cáncer infantil en una ciudad colombiana. Rev Cienc Salud. 2016;14(3):315-328.
doi: https://dx.doi.org/10.12804/revsalud14.03.2016.01