Artículos de investigación clínica o experimental
Recepção: 08 Outubro 2016
Aprovação: 01 Setembro 2017
DOI: https://doi.org/10.12804/revistas.urosario.edu.co/revsalud/a.6489
Resumo: Introdução: a espécie Hyptis martiusii Benth, comumente chamada de “cidrera del campo”, têm múltiplas propriedades biológicas, como ser inseticida, antifúngica e anti-inflamatória. O objetivo deste estudo foi investigar a atividade moduladora do óleo essencial das folhas frescas de Hyptis martiusii em associação com diferentes antibióticos contra as bactérias Staphylococcus aureus, Escherichia coli e Pseudomonas aeruginosa, e avaliar a atividade citotóxica da espécie. Materiais e métodos: o estudo utilizou a concentração inibitória mínima (CIM) como uma forma de avaliar a modulação com uma inoculação de 100 microlitros de cada estirpe bacteriana. As provas de citotoxicidade se realizaram mediante cultivo in vitro de células do tecido conectivo de camundongo (fibroblastos de mamíferos). Resultados: a pesquisa demonstrou que o óleo essencial das folhas de Hyptis martiusii Benth (OEHM) apresenta sinergismo só em associação com os antibióticos gentamicina e imipenem contra as bactérias Pseudomonas aeruginosa e Escherichia coli. No entanto, apresenta antagonismo em associação com amicacina, gentamicina e imipenem contra as três bactérias estudadas. Para além da ciprofloxacina não demonstrou resultados relevantes. Em relação com a atividade citotóxica, a concentração letal média (LC50) expôs um valor de 263,12 μg/ml. Conclusão: finalmente, revelou-se que a H. martiusii apresenta atividade citotóxica sinérgica contra as bactérias avaliadas.
Palavras-chave: atividade antibacteriana, atividade citotóxica, cidreira do campo, Hyptis martiusii, óleo essencial.
Resumen: Introducción: la especie Hyptis martiusii Benth, comúnmente llamada “cidreira do campo”, tiene múltiples propiedades biológicas, como ser insecticida, antifúngica y antiinflamatoria. El objetivo de este estudio fue investigar la actividad moduladora del aceite esencial de las hojas frescas de Hyptis martiusii en asociación con diferentes antibióticos contra las bacterias Staphylococcus aureus, Escherichia coli y Pseudomonas aeruginosa, y evaluar la actividad citotóxica de la especie. Materiales y métodos: el estudio utilizóla concentración mínima inhibitoria (CMI) como una forma de evaluar la modulación con una inoculación de 100 microlitros de cada cepa bacteriana. Las pruebas de citotoxicidad se realizaron mediante cultivo in vitro de células de tejido conectivo de ratón (fibroblastos de mamíferos). Resultados: la investigación demostró que el aceite esencial de las hojas de Hyptis martiusii Benth (OEHM) presenta sinergismo solo en asociación con los antibióticos gentamicina e imipenem contra las bacterias Pseudomonas aeruginosa y Escherichia coli. Sin embargo, presenta antagonismo en asociación con amikacina, gentamicina e imipenem contra las tres bacterias estudiadas. Además de la ciprofloxacina, no demostróresultados relevantes. En relación con la actividad citotóxica, la concentración letal media (CL50) exhibióun valor de 263,12 μg/ml. Conclusión: finalmente, se revelóque la H. martiusii presenta actividad citotóxica sinérgica contra las bacterias evaluadas.
Palabras clave: actividad antibacteriana, actividad citotóxica, cidreira do campo, Hyptis martiusii, aceites esenciales.
Abstract: Introduction: The species Hyptis martiusii Benth. commonly called “cidreira do campo” has multiple biological properties, such as antifungal, anti-inflammatory, and insecticide. The aim of this study was to investigate the modulating activity of the essential oil of the fresh leaves of Hyptis martiusii in association with different antibiotics against the bacteria Staphylococcus aureus, Escherichia coli and Pseudomonas aeruginosa, as also the cytotoxic activity of this species. Materials and methods: The study used the MIC (minimum inhibitory concentration) as a way of assessing the modulation using an inoculation of 100 microliters of each bacterial strain. The cytotoxicity tests were conducted using in vitro culture of mouse connective tissue cells (fibroblasts of mammals). Results: The research demonstrated that the essential oil from leaves of Hyptis martiusii Benth (OEHM) presented synergism only when associated with the antibiotics gentamicin and imipenem against the bacteria Pseudomonas aeruginosa and Escherichia coli. However, it presented antagonism in association with amikacin, gentamicin and imipenem against the three studied bacteria. In addition to the ciprofloxacin showed no relevant results. In relation to the cytotoxic activity the lethal concentration (LC50) exhibited a value of 263.12 μg/ml. Conclusion: Ultimately it was established, that H. Martiusii presents a synergistic cytotoxic activity against the evaluated bacteria.
Keywords: Antibacterial activity, cytotoxic activity, cidreira do campo, Hyptis martiusii, essential oil.
Introdução
A resistência de bactérias contra fármacos é considerada um problema de saúde pública mundial. Isso levou a necessidade de estudos se voltarem para essa área e que com isso surgissem propostas de iniciativas de controle. Bactérias que tem se destacado por se tornarem resistentes são Staphylococcus aureus, Escherichia coli e Pseudomonas aeruginosa. A espécie Staphylococcus aureus é uma bactéria do grupo dos cocos gram-positivos, tem forma esférica e, geralmente são encontradas na pele e nas fossas nasais de pessoas desprovidas de qualquer doença. Contudo, ela pode causar desde infecções simples, como espinhas e furúnculos, até infecções mais graves, como pneumonia, meningite, endocardite, dentre outras. A Escherichia coli pertence ao grupo das gram-negativas é uma das principais bactérias responsáveis por doenças infecciosas, pois produz enterotoxinas e onde até se sabe tem participação efetiva em diarreias (1, 2, 3, 4, 5, 6).
Jáa bactéria Pseudomonas aeruginosa é um microorganismo patogênico nosocomical, pertencente à família das gram-negativas, causadora de infecções que podem se desenvolver em todo o corpo humano, sendo mais patogênica em pacientes que apresentam um quadro imunológico comprometido. A principal característica dessa bactéria, comum às outras espécies, é a capacidade de persistir em longos períodos em ambientes adversos e de desenvolver uma resistência a agentes antimicrobianos (7).
Existe um grande interesse na descoberta de compostos biologicamente ativos isolados de plantas no tratamento de doenças causadas por microrganismos. Isso se dáà grande preocupação existente no combate aos microrganismos, principalmente bactérias que tem a capacidade de mudar seu material genético e tornar-se resistente a todos os antibióticos que jáforam descobertos e hoje são eficazes (8, 9).
Com isso, os pesquisadores buscam através de pesquisas em laboratório novos fármacos que tenham papel antibacteriano. Essas pesquisas se voltam para as plantas medicinais, pois elas apresentam vários compostos, dentre eles os óleos essenciais. Esses são compostos voláteis formados por vários constituintes químicos, na sua maioria terpenos e fenilpropenos. Os óleos essenciais trazem características fundamentais para os gêneros e/ou para as espécies das plantas. Além disso, exercem funções indispensáveis a sobrevivência vegetal. Particularmente, a atividade antimicrobiana de óleos essenciais de vegetais tem formado a base de muitas aplicações, incluindo a utilização em produtos farmacêuticos, dentre outros (10, 11, 12).
Hyptis martiusii Benth. conhecida popularmente como “Cidreira do campo” é uma das espécies atualmente utilizadas para a extração de óleo essencial para pesquisas em laboratório. Pertencente à família Lamiaceae o gênero Hyptis é formada por cerca de 400 espécies. Várias pesquisas relatam que outras espécies do gênero Hyptis possuem várias atividades biológicas, dentre elas atividades citotóxicas e inseticidas. Além disso, também são relatadas atividades anti-séptica, antifúngica, antiinflamatória, antibacteriana, dentre outras (13, 14, 15).
Com isso, o presente trabalho teve como objetivo investigar a atividade moduladora do óleo essencial das folhas frescas de Hyptis martiusii Benth em associação com diferentes antibióticos frente às bactérias Staphylococcus aureus, Escherichia coli e Pseudomonas aeruginosa, como também avaliar a atividade citotóxica da espécie.
Materiais e métodos
Material botânico: o material vegetal foi coletado no mês de março de 2014, no Sítio Barreiro Grande no município de Crato-CE, Brasil, nas coordenadas 7º21’50’’S de latitude e 39º28’39’’W de longitude, altitude: 930m acima do nível do mar, em área de Cerrado da Chapada do Araripe. Foi preparada uma exsicata contendo o material botânico onde em seguida foi identificado e depositado no Herbário Caririense Dárdano de Andrade Lima (HCDAL) da Universidade Regional do Cariri (URCA), sob número de registro 10.185.
Obtenção do Óleo essencial: o óleo essencial de Hyptis martiusii Benth (OEHM) foi extraído no Laboratório de Pesquisa de Produtos Naturais (LPPN), da Universidade Regional do Cariri (URCA) entre os meses de março à abril de 2014. A extração do óleo foi realizada utilizando-se 250 g das folhas frescas que foram colocadas em um balão de vidro de 5 L, juntamente com 1,5 L de água e mantidas em ebulição durante um período de duas horas. Após o período de ebulição o óleo essencial fora extraído do vegetal e condensou-se formando uma mistura heterogênea com a água. A mistura constituída de água e óleo foi coletada em aparelho tipo Clevenger modificado sendo em seguida separada, seca com sulfato de sódio anidro (Na2SO4) e filtrada. O rendimento final foi de 0,72%.
Material bacteriano: foram usadas as cepas bacterianas de Staphylococcus aureus (SA-ATCC25923 e SA358), Escherichia coli (ATCC-CE10536 e CE27) e Pseudomonas aeruginosa (PA-ATCC15442 e PA03). Todas as estirpes foram mantidas em condições ideais de armazenamento, foram deixadas em ágar infusão de coração inclina (HIA, Difco Laboratories Ltda). Antes do experimento, as células foram cultivadas por 24 horas em 37ºC em infusão de cérebro coração (BHI, Difco Laboratories Ltda).
Fármacos: As soluções de drogas antibacterianas foram preparadas de acordo com as indicações do fabricante (Sigma Aldrich, EUA). Para os testes prepararam-se soluções de 5000 μL/mL com os antibacterianos. Os antibióticos adotados foram: amicacina, gentamicina, ciprofloxacino e imipenem.
Atividade Antimicrobiana: a concentração inibitória mínima (CIM) foi calculado por caldo como meio de ensaio usando uma inoculação de 100 microlitros de cada estirpe bacteriana, suspendido em caldo BHI em uma concentração de 105 UFC/mL em 96 placas de microdiluição bem como diluições seriais. Para cada poço, foi adicionado 100 microlitros da solução teste com concentrações finais variando entre 512 - 8 g/mL. Antibióticos padrões foram usados como um controle (amicacina, gentamicina, imipinem e ciprofloxacino), cuja concentração final variou entre 2500 e 2,4 g/mL. As placas foram incubadas a 35º C 24h antes para leituras calorimétricas realizadas com resazurina. CIM’s foram registradas como as menores concentrações para inibição do crescimento (16).
Modulação: o óleo foi testado em uma concentração sub-inibitória (cim/8 μg) com 100 microlitros de uma solução contendo bhi a 10%, solução de teste e suspensão bacteriana. 100 microlitros de solução antibiótica foram adicionados (na proporção de 1:1) até o penúltimo. As concentrações dos antibióticos variaram entre 2.500 e 2,44 ug/mL. As placas foram incubadas a 37° C por 24 h, após o qual, colorimétricas leituras foram feitas utilizando resazurina. Testes foram realizados em triplicata.
O sinergismo foi caracterizado por uma diminuição da cim dos antibióticos enquanto o antagonismo foi definido como o aumento da cim, conforme o método proposto por Coutinho e colaboradores (17).
Teste de citotoxicidade: os ensaios citotoxicidade foram realizados in vitro utilizando a cultura de linhagem de células do tecido conectivo de camundongo (NCTC) clone 929 (fibroblastos de mamíferos atcc ccl-1), cultivada em Minimal Essential Medium (Sigma). O meio de cultura foi suplementado com Soro Fetal Bovino (SFB) inativada por calor (10%), penicilina G (100 U/mL) e estreptomicina (100 mg/mL). As culturas foram mantidas a 37º C em atmosfera úmida com 5% de CO2. A viabilidade destas linhagens foi avaliada através do uso da resazurina como método colorimétrico (18).
Fibroblastos NCTC929 foram plaqueados em placas de microdiluição de 96 cavidades a uma concentração final de 3 x 104 células/cavidade. As células foram cultivadas a 37° C em atmosfera com 5% de CO2. Após isso, o meio de cultura foi removido e os compostos foram adicionados a 200 μL, sendo realizado um novo cultivo por 24 h. Após esta incubação, 20 μL de uma solução de resazurina 2 mM foi adicionada em cada cavidade. As placas foram incubadas por 3h e a redução da resazurina foi determinada através de dupla absorbância nos comprimentos de onda de 490 e 595 nm. O valor do controle (branco) foi subtraído. Cada concentração foi testada em triplicata (18).
Fibroblastos NCTC929 foram plaqueados em placas de microdiluição de 96 cavidades a uma concentração final de 3 x 104 células/cavidade. As células foram cultivadas a 37° C em atmosfera com 5% de CO2. Após isso, o meio de cultura foi removido e os compostos foram adicionados a 200 μL, sendo realizado um novo cultivo por 24 h. Após esta incubação, 20 μL de uma solução de resazurina 2 mM foi adicionada em cada cavidade. As placas foram incubadas por 3h e a redução da resazurina foi determinada através de dupla absorbância nos comprimentos de onda de 490 e 595 nm. O valor do controle (branco) foi subtraído. Cada concentração foi testada em triplicata (17).
Análise estatística: A significância estatística foi avaliada pelo teste Anova de duas vias seguido pelo teste de Bonferroni post hoc (onde p < 0,001 foi considerado significativo). A LC50 (Concentração Letal Média) foi determinada através do cálculo realizado pelo software Probitos Tsk version 1.5.
Resultados
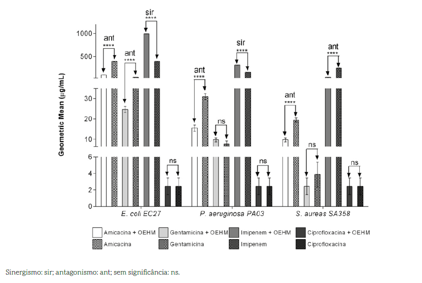
Os resultados referentes à atividade antibacteriana do Óleo Essencial de Hyptis martiusii Benth. —OEHM— são mostrados na figura 1 e na tabela 1. O OEHM exibiu uma CIM de ≥ 1024 μg/mL contra estirpes de bactérias multirresistentes e padrão (um valor CIM de ≤ 256 μg/mL foi considerado clinicamente relevante).


Ao investigar a atividade moduladora, observou-se que quando se associou o OEHM com o antibiótico amicacina houve um efeito antagônico contra as três bactérias utilizadas no teste, Staphylococcus aureus (SA358), Escherichia coli (EC27) e Pseudomonas aeruginosa (PA03), em 50%, 75% e 50%, respectivamente. Da mesma forma o efeito antagônico foi observado em associação com o antibiótico Gentamicina, onde ocorreu uma redução no número de morte das bactérias EC27 em 50%. Por outro lado, não foi observado significância dessa associação frente à SA358, como também à PA03. Quando o OEHM foi combinado com imipenem, diferentemente dos resultados anteriores, apresentou sinergismo frente as cepas de EC27 e PA03 diminuindo em 60% e 50%, respectivamente, a CIM. Entretanto, frente a cepa de SA358 a associação do OEHM com o imipenem mostrou efeito antagônico aumentando em 80% a CIM. O OEHM também foi associado com o antibiótico ciprofloxacino, onde não mostrou significância em relação ao controle.
Na análise citotóxica, a LC50 apresentou um valor de 263,12 μg/ml. Com isso, sugere que doses iguais ou superiores a esta, apresentam um potencial efeito citotóxico frente aos fibroblastos de mamíferos ATCC CCL-1.
Discussão
Extratos e óleos de plantas da família Lamiaceae são descritos na literatura por possuir atividade antimicrobiana, com destaque para os gêneros Mentha e o Origanum com propriedades frente a Escherichia coli, Staphylococcus aureus e Pseudomonas aeruginosa (19, 20, 21).
Vários estudos com espécies do gênero Hyptis são conhecidos demonstrando a capacidade inibitória sobre o crescimento bacteriano. As espécies Hyptis pectinata (L.) Poit, Hyptis ovalifolia Benth, Hyptis passerina Mart. ex Benth. e Hyptis brevipes Poit. são alguns exemplos (22, 23, 24, 25, 26).
Segundo Falcão e Menezes (27) essa atividade antibacteriana é atribuída à variada constituição química do gênero Hyptis. A atividade antimicrobiana da espécie H. passerina é justificada pela presença de β-epi-acorenol, espatulenol, β-cariofileno; óxido de cariofileno. A atividade da Hyptis platanifolia é justificada pela presença de α-farneseno e α-bisaboleno, no óleo essencial extraído de suas folhas. H. suaveolens Poit. apresentam como constituintes principais os terpenos, dentre eles sabineno, α-terpinoleno, 1,8cineol, β-cariofileno, substâncias estas com atividade antibacteriana. Por fim a atividade da H. fruticosa Salzm. ex Benth. é justificada através dos contituintes marjoritários biciclogermacreno, 1,8-cineol, α-pineno e β-cariofileno (25, 26, 27, 28, 29, 30).
O gênero Hyptis é composto basicamente de monoterpenos e sesquiterpenos, corroborando com resultados de Araújo e colaboradores que identificou no óleo essencial de Hyptis martiusii (OEHM) terpenos, dentre outros constituintes, bem como Oliveira e colaboradores que expressou em seu estudo a presença de 1,8 cineol e o δ-3-careno, componentes majoritários com atividade contra bactérias resistentes. Onde Coutinho e colaboradores e Araújo e colaboradores afirmam que a principal atividade evidenciada na espécie Hyptis martiusii é a antimicrobiana e que essa característica se deve a existência de diterpenos (31-32).
Toscan afirmou em seu estudo que os óleos essenciais que apresentam terpenos, atuam na célula microbiana, provocando alterações na membrana celular, levando a perda de vários componentes celulares, ocasionando, assim, a morte da célula. Além disso, esse estudo atribuiu essa desestruturação da membrana as características lipofílicas dos terpenos, logo as potencializações observadas no trabalho possivelmente estejam relacionadas às interações químicas dos constituintes do óleo com os antibióticos. Da mesma forma, as atividades antagônicas observadas se devem à essas prováveis interações. No entanto, novos estudos devem ser realizados para elucidar quais interações e, assim, possivelmente, explicar o sinergismo e antagonismo sobre os fármacos (33).
A atividade citotóxica de algumas espécies do gênero Hyptis jáfoi identificada em alguns estudos, dentre essas espécies as principais que apresentaram atividade citotoxica foram a H. carpitata, H.martiussi Benth, H. mutabilis, H. pectinata, H. spicigera (34-35).
Além disso, vários compostos jáforam identificados nessas espécies, entre eles lignanas citotóxicas (36).
Com isso, a atividade citotóxica observada no OEHM, através da LC50, se deve, possivelmente, a relação desta espécie com outras do mesmo gênero, jáque existem estudos que mostram a existência desta atividade citotóxica no gênero Hyptis. Além disso, pode-se associar essa atividade a existência de triterpenos com atividade citotóxica na espécie H. martiussi Benth, bem como outros compostos.
As folhas de Hyptis martiusii mostraram ser uma via alternativa na busca de compostos que potencializam a ação de alguns antibióticos. O estudo revelou que a espécie H. martiusii apresenta baixa atividade sinérgica associada a antibióticos contra os três tipos de bactérias analisadas e apresenta atividade citotóxica.
Referências
1. Oliveira AC, Silva RS. Desafios do cuidar em saúde frente à resistência bacteriana: uma revisão. Rev Eletrônica Enferm. 2009;10(1).
2. Stratton CW. Nuances in antimicrobial susceptibility testing for resistant Gram-positive organisms. Antimicrob Infect Dis Newsl. 2000;18(8):57-64.
3. Schneider RN, Nadvorny N, Schmidt V. Perfil de resistência antimicrobiana de isolados de Escherichia coli obtidos de águas superficiais e subterrâneas, em área de produção de suínos. Biotemas. 2009;22(3):11-7.
4. Figueiredo EAPD, Ramos H, Maciel MAV, Vilar MDCM, Loureiro NG, Pereira RG. Pseudomonas aeruginosa: frequency of resistance to multiple drugs and cross-resistance between antimicrobials in Recife/PE. Rev Bras Ter Intensiva. 2007;19(4): 421-7.
5. Santos ALD, Santos DO, Freitas CCD, Ferreira BLA, Afonso IF, Rodrigues CR, Castro HC. Staphylococcus aureus: visiting a strain of clinical importance. J Bras Patol Med Lab. 2007;43(6):413-23.
6. Matias EFF, Santos KKA, Costa JGM, Coutinho HDM. In vitro antibacterial activity of Croton campestris A., Ocimum gratissimum L. and Cordia verbenacea DC. R Bras Bioci. 2010;8:294-8.
7. Gales AC, Reis AO, Jones RN. Contemporary assessment of antimicrobial susceptibility testing methods for polymyxin B and colistin: review of available interpretative criteria and quality control guidelines. J Clin Microbiol. 2001;39(1):183-90.
8. Austin DJ, Karl GK, Roy MA. The relationship between the volume of antimicrobial consumption in human communities and the frequency of resistance. Proc Natl Acad Sci. 1999;96(3):1152-6.
9. Tavares W. Bactérias gram-positivas problemas: resistência do estafilococo, do enterococo e do pneumococo aos antimicrobianos. Rev Soc Bras Med Trop. 2000;33(3):281-301.
10. Castro HGD, Oliveira LOD, Barbosa LCDA, Ferreira FA, Silva DJHD, Mosquim PR, et al. Teor e composição do óleo essencial de cinco acessos de mentrasto. Quím. Nova. 2004;27(1):55-7.
11. Craveiro AA, Queiroz DC. Óleos essenciais e química fina. Quím. Nova. 1993;16(3).
12. Lis-Bachin M, Deans SG. Bioactivity of selected plant essential oils against Listeria monocytogenes. J Appl. Bacteriol. 1997;82(6):759-62.
13. Judd WS, Campbell CS, Kellogg EA, Stevens PF. Plant Systematics. A phylogenetic approach. Inglaterra: Sinauer Associates Inc. 1999.
14. Coutinho HDM, Costa JGM, Lima EO, Falcão-Silva VSE, Siqueira-Júnior JP. In vitro phototoxic activity of Eugenia jambolana L. and H. martiusii Benth. J Photochem Photobiol. 2009;96(1):63-5.
15. Caldas GFR, Costa IMA, Silva JBR, Nóbrega RF, Rodrigues FFG, Costa JGM, et al. Antiulcerogenic activity of the essential oil of Hyptis martiusii Benth. (Lamiaceae). J Ethnopharmacol. 2011;137(1):886-92.
16. National Comittee For Clinical Laboratory Standards —NCCLS—. Methods for dilution antimicrobial susceptibility tests for bacteria that grow aerobically. Approved standard M7-A5. 5ª ed. Villanova: NCCLS; 2003.
17. Rolon M, Seco EM, Vega C, Nogal JJ, Escario JA, Gomez-Barrio A, Malpartida F. Selective activity of polyene macrolides produced by genetically modified Streptomyces on Trypanosoma cruzi. Int J Antimicrob Agents. 2006;28(2):104-9.
18. Coutinho HDM, Costa JGM, Lima EO, Falcão-Silva VS, Siqueira-Júnior. Enhancement on the antibiotic activity against a Multiresistant Escherichia coli by Mentha arvensis L. and Chlorpromazine. Chemotherapy. 2008;54:328-30.
19. Sylianco CYL, Blanco FR, Lim CM. Mutagenicity, clastogenicity and antimutagenicity of medicinal plant tablets produced by the NSTA pilot plant IV, Yerba briena tablets. Phillipp J Sci. 1986;115:299-305.
20. Tyler VE. The honest herbal. 3ª ed. Binghamton: Pharmaceutical Products Press; 1993.
21. Costa ACD, Santos BHCD, Santos-Filho, L, Lima EDO. Antibacterial activity of the essential oil of Origanum vulgare L. (Lamiaceae) against bacterial multiresistant strains isolated from nosocomial patients. Rev Bra Farmacogn. 2009;19(1B):236-41.
22. Santos PO, Costa MJC, Alves JAB, Nascimento PFC, Melo DLFM, Barbosa-Júnior AM, et al. Chemical composition and antimicrobial activity of the essential oil of Hyptis pectinata (l.) Poit. Quím Nova. 2008;31:1648-52.
23. Souza LKH, Oliveira CMA, Ferri PH, Oliveira JG, Souza AH, Fernandes ODL, Silva MDR. Antimicrobial activity of Hyptis ovalifolia towards dermatophytes. Memórias do Intituto Osvaldo Cruz. 2003;98:963-5.
24. Oliveira CMA, Silva MRR, Kato L, Silva CC, Ferreira HD, Souza LKH. Chemical composition and antifungal activity of the essential oil of Hyptis ovalifolia Benth. (Lamiaceae). J Braz Chem Soc. 2004;15:756-9.
25. Zellner BD, Amorim ACL, Miranda ALP, Alves RJV, Barbosa JP, Costa GL, et al. Screening of the odour-activity and bioactivity of the essential oils of leaves and flowers of Hyptis passerina Mart. from the Brazilian Cerrado. J Braz Chem Soc. 2009;20:322-32.
26. Lucchese AM. et al. Óleos essenciais do gênero Hyptisda região do semi-árido da Bahia. En: Simpósio Brasileiro de Óleos Essencias (Anais). Campinas: Instituto Agronômico de Campinas; 2005. p. 118.
27. Falcão DQ, Menezes FS. Revisão etnofarmacológica, farmacológica e química do gênero Hyptis. Rev Bras Farm. 2003;84(3):69-74.
28. Lucchese AM, Zaim1 CYZ, Machado SS, Rodrigues OS, Moreira JS, Santos AOA, et al. Comparação da atividade antimicrobiana de óleos essenciais extraídos de espécies do semi-árido baiano. En: Reunião Anual da Sociedade Brasileira de Química (Anais). Águas de Lindóia: Sociedade Brasileira de Química; 2006. p. 285.
29. Nantitanon W, Chowwanapoonpohn S, Okonogim S. Antioxidant and antimicrobial activities of Hyptis suaveolens essential oil. Sci Pharm. 2007;75:35-46.
30. Menezes IAC, Marques MS, Santos TC, Dias KS, Silva ABL, Mello ICM, et al. Antinociceptive effect and acute toxicity of the essential oil of Hyptis fruticosa in mice. Fitoterapia. 2007;78:192-5.
31. Xu DH, Huang YS, Jiang DQ, Yuan K. The essential oils chemical compositions and antimicrobial, antioxidant activities and toxicity of three Hyptis species. Pharm Biol. 2013;51(9):1125-30.
32. Araujo CCE, Lima MAS, Montenegro RC, Nogueira M, Costa-Lotufo LV, Pessoa C, Odorico MM, Silveira ER. Cytotoxic abietane diterpenes from H. martiusii Benth. J Biosc. 2006;61(3-4):177-83.
33. Araújo EC, Silveira ER, Lima MAS, Neto MA, Andrade IL, Lima MAA, Mesquita ALM. Insecticidal activity and chemical composition of volatile oils from Hyptis martiusii Benth. J Agric Food Chem. 2003;51(13):3760-2.
34. Fragoso-Serrano M, Gibbons S, Pereda-Miranda R. Anti-Staphylococcal and Cytotoxic Compounds from< EM EMTYPE=. Planta Med. 2005;71(3):278-80.
35. Cavalcante ECA, Lima MAS, Montenegro RC, Nogueira M, Costa-Lotufo LV, PESSOA C, Moraes OMM, Silveira ER. Cytotoxic abietne diterpenes from Hyptis martiussi Benth. Z Naturforsch. 2006;61(3-4):177-83.
36. Oliva MM, Galucci N, Zygadlo JA, Demo MS. Cytotoxic activity of Argentinean essential oils on Artemia salina. Pharm Biol. 2007;45(4):259-62.
Autor notes
Autora responsable de la correspondencia: martareginakerntopfm@outlook.com
Informação adicional
Para citar este
artículo: De Figueirêdo FRSDN, Bitu Primo AJ, Monteiro AB, Tintino SR,
Delmondes GA, Sales VS, Rodrigues CKS, Bezerra Felipe CF, Coutinho HDM,
Kerntopf MR. Avaliação da atividade moduladora e citotóxica do óleo essencial
das folhas de Hyptis martiusii Benth. Rev Cienc Salud. 2018;16(1):49-58.
Doi: http://dx.doi.org/10.12804/revistas.urosario.edu.co/revsalud/a.6489