Artigos
Violência e vulnerabilidades urbanas: Teoria da ambiência restritiva
Violence and Urban Vulnerabilities: Theory of Restrictive Ambience
Violência e vulnerabilidades urbanas: Teoria da ambiência restritiva
Dilemas: Revista de Estudos de Conflito e Controle Social, vol. 15, núm. 1, pp. 277-302, 2022
Universidade Federal do Rio de Janeiro
Recepção: 17 Dezembro 2020
Aprovação: 26 Maio 2021
RESUMO: A teoria da ambiência restritiva versa sobre a capacidade atrativa de espaços urbanos em perpetuar o criminoso, tornando-o escravo e senhor ao mesmo tempo, com hipóteses alicerçadas na relação risco-recompensa. Foram criados os índices de ambiência restritiva (IAR) e de violência (IV) por meio da análise de componentes principais. Usou-se a análise exploratória de dados espaciais e modelos de regressão espacial para descobrir padrões de associação (clusters) em Fortaleza, Ceará. Constatou-se que territórios e níveis de violência se relacionam com áreas vulneráveis, explicando a inércia espacial da violência no espaço e no tempo.
Palavras-chave: violência urbana, ambiência restritiva, análise espacial, crime-espaço, inércia da violência.
ABSTRACT: The theory of restrictive ambience deals with the attractive capacity of urban spaces to perpetuate the criminal, making him a slave and master at the same time, with hypotheses based on the risk-reward ratio. In Violence and Urban Vulnerabilities: Theory of Restrictive Ambience, the restrictive ambience index (IAR) and the violence index (IV) were created through principal component analysis. Exploratory spatial data analysis was used to discover patterns of association (clusters) in the city of Fortaleza, Ceará, as well as spatial regression models. It was found that territories and their levels of violence correlate with vulnerable areas, explaining the spatial inertia of violence in space and time.
Keywords: urban violence, restrictive ambience, spatial analysis, space crime, inertia of violence.
Introdução
As relações humanas e as consequências do convívio no meio urbano, onde o aumento da densidade demográfica e outros aspectos sociais e econômicos marcam territorialmente um espaço cada vez menor e mais complexo, têm provocado adversidades à sociedade. Uma delas é a violência. Diversos estudos analisaram as implicações sociais, econômicas e políticas das relações nas cidades sobre a violência (SAMPSON e GROVES, 1989; BEATO FILHO e REIS, 2000; SANTOS, 2016). Sobre território e crimes, as condicionantes da violência se ressignificam espacialmente, tendo caráter diferenciado de acordo com o lugar em que está inserida, uma vez que a violência carrega forte componente espacial (BATELLA e DINIZ, 2010).
A criminologia tem estudado as concentrações espaciais da violência. A teoria da desorganização social ressalta a ineficiência do controle social na comunidade como germinadora de violência, centrando-se nas relações da comunidade (SHAW e MCKAY, 1942). Já a teoria da eficácia coletiva, amparada no capital social, enfatiza a importância de as comunidades manterem os laços sociais, pois, assim, ajudariam a evitar as altas concentrações de crime. Como condicionantes, as características dos bairros, como pobreza e mobilidade residencial, estão positivamente relacionadas à violência (SAMPSON et al., 1997; SAMPSON e GROVES, 1989).
Vertentes teóricas da ecologia do crime o relacionam ao controle do espaço, alegando que qualquer pessoa é um criminoso em potencial. O que definiria a atividade criminosa são as oportunidades favoráveis à prática do crime (FREITAS, 2004). As teorias das atividades rotineiras (COHEN e FELSON, 1979) e da prevenção situacional do crime (CLARKE, 1982) também se enquadram nesse contexto. No entanto, não delimitam e caracterizam os espaços, mas as circunstâncias que criariam oportunidades criminosas.
Segundo outra linha teórica, modifica-se o espaço urbano para a prevenção do crime, o que inclui remodelar o desenho urbano, o urbanismo e a ocupação dos espaços como modo de inibir as ações criminológicas. As teorias da prevenção do crime por meio da arquitetura ambiental (crime prevention through environmental design, ou CPTED, no original) (JEFFERY, 1971), do espaço defensável (NEWMAN, 1972) e da sintaxe (HILLIER e HANSON, 1984) e o conceito de “olhos da rua” (JACOBS, 2000) seguem a mesma linha. O termo “espaço defensável” resume-se a um conjunto de características do ambiente capazes de o colocar sob o controle de seus moradores (COZENS, HILLIER e PRESCOTT, 2002). Nessa ideia, trabalha-se o espaço físico, mas não se delimita a relação entre vulnerabilidades e comunidade no espaço.
Este trabalho relaciona território e crime, enfatizando a análise espacial e mensurando relações entre as vulnerabilidades locais e a localização espacial da violência de forma explícita. A ideia central é incorporar o espaço à análise desejada, levando-se em consideração “a primeira lei da geografia”, de Waldo Tobler (1970): “Tudo está relacionado a tudo o mais, mas as coisas próximas estão mais relacionadas do que as coisas distantes”.
A teoria da ambiência restritiva versa sobre a capacidade de alguns espaços urbanos perpetuarem o criminoso, tornando-o ao mesmo tempo escravo e senhor desse meio. Ela explica por que alguns territórios permanecem violentos no espaço e no tempo, variando a intensidade da violência e delimitando espacialmente essa ambiência restritiva e sua área de influência. Assim, o objetivo deste estudo é analisar e diagnosticar o porquê dessa inércia, da relação e da atração entre esses espaços urbanos vulneráveis e a violência, propondo hipóteses e verificando evidências da teoria.
Para isso, foram criados os índices de ambiência restritiva (IAR) e de violência (IV), por meio da análise multivariada de componentes principais. O IAR objetiva mostrar e classificar os espaços de acordo com o grau da ambiência restritiva, caracterizada como espaços urbanos vulneráveis e de terrenos férteis à violência. O IV tem como objetivo classificar os espaços pela violência, demonstrando suas concentrações no território urbano. Com isso, será possível confrontar a violência (IV) com os espaços de ambiência restritiva traduzidos pelo IAR, observando as vulnerabilidades locais.
Uma análise exploratória de dados espaciais foi usada para descrever e visualizar distribuições espaciais, descobrir padrões de associação (clusters espaciais) e sugerir relações e mensurações entre o espaço (evidenciado pelo IAR) e a violência (traduzida e classificada pelo IV). Também foram usados os modelos de regressão espacial spatial autoregressive model (SAR) e spatial error model (SEM) para a mensuração da causalidade.
Fortaleza, capital do Ceará, foi usada para a averiguação empírica da teoria. A cidade, como todos os grandes centros urbanos brasileiros, apresenta os problemas aqui mencionados: desigualdade social, vulnerabilidades locais, violência e 194 favelas e 841 assentamentos precários em seus 320km2. A verificação de evidências da teoria por meio do IAR e do IV revelou que os espaços dos setores agregados, com seus níveis de violência, se relacionam espacialmente com áreas vulneráveis e a desordem urbana.
Este artigo se estrutura em sete partes, além desta introdução: revisão da literatura; análise da relação entre espaços vulneráveis e violência; apresentação da teoria da ambiência restritiva e suas hipóteses; detalhamento da metodologia e definição dos dados usados; análise exploratória espacial realizada para verificação das evidências e análise dos resultados; apresentação do modelo de regressão espacial; e considerações finais.
Revisão da literatura
Áreas urbanas e violência são temas de um conjunto de teorias e conceitos inseridos no que se convencionou chamar de “ecologia do crime”, em que preponderam relações entre os delitos praticados na geografia urbana e as pessoas. A criminologia ambiental abraça como um grande guarda-chuva as teorias que relacionam crime ao ambiente. Esses arcabouços teóricos (SUTHERLAND, 1939; SHAW e MCKAY, 1942; COHEN e FELSON, 1979; BRANTINGHAN e BRANTINGHAN, 1981; COZENS, HILLIER e PRESCOTT, 2002; SAMPSON, 2010), denominados estudos ecológicos, buscam associar as características estruturais das vizinhanças ao padrão criminal nelas apresentado. Concentração de pobreza, mobilidade residencial e segregação espacial são vistos como fatores correlacionados à concentração dos crimes nesses locais.
Por “desorganização social” entende-se a ineficiência das estruturas comunitárias responsáveis pelo controle social (família, escolas, organizações comunitárias). Em síntese, é a perda de influência das regras sociais de condutas existentes sobre os membros do grupo (SUTHERLAND, 1939; SHAW e MCKAY, 1942). Para essa teoria, o crime floresce quando não há um nível adequado de controle social na comunidade, ou seja, seria o enfraquecimento do capital social, que se vincula à ideia de que a organização e a participação comunitária exercem um papel relevante no controle social (COZENS, HILLIER e PRESCOTT, 2002). De acordo com a teoria, as conexões entre indivíduos facilitam a coordenação e a cooperação para o benefício mútuo (PUTNAM, 1995).
A teoria da eficácia coletiva busca explicar a distribuição não aleatória do crime nos espaços urbanos e porque as características dos bairros, como pobreza e mobilidade residencial, estão positivamente relacionadas ao crime. A eficácia coletiva é definida como “o processo de ativação de laços sociais entre os moradores, a fim de atingir objetivos coletivos, como a ordem pública ou o controle do crime” (SAMPSON, 2010, p. 802). Portanto, as comunidades caracterizadas por uma forte eficácia coletiva seriam resistentes a concentrações locais de crime, vitimização e medo.
Ainda sobre crimes e territórios, a teoria das atividades rotineiras pressupõe que o crime só́ ocorre mediante a convergência no espaço e no tempo de vítima, agressor em potencial e ausência de segurança, sendo esses três fatores os componentes da química do crime (COHEN e FELSON, 1979). Nessa teoria, características do ambiente se somam à motivação pessoal do infrator, além dos aspectos da teoria dos padrões criminais (BRANTINGHAM e BRANTINGHAM, 1981).
Wilson e Kelling (1982), que desenvolveram a teoria das janelas quebradas, ressaltam a relação causal entre desordem e criminalidade. O programa Tolerância Zero, fruto dessa teoria, adicionou como ingredientes a resposta dura da autoridade policial aos pequenos delitos (de infratores) e desordens e o aumento da eficiência do aparato de vigilância (ODON, 2016).
Clarke e Cornish (1995) introduziram a teoria da escolha racional, com a ideia de que o crime é fruto de uma decisão econômica, ou seja, o delinquente faz o cálculo do risco e da recompensa entre a receita do crime e os custos inerentes, inclusive o de ser preso.
Ainda no campo dos espaços, há a teoria da prevenção situacional do crime (CLARKE, 1982), baseada na ideia de que este pode ser prevenido por meio da redução das oportunidades presentes no espaço que o favorecem e do aumento dos riscos para o criminoso. Assim, ela enfatiza a importância da modificação dos espaços para diminuir as oportunidades e aumentar os riscos para o criminoso.
Alguns estudos têm verificado a relação entre violência, espaço e condições socioeconômicas no território. Plassa e Parré (2019), considerando a teoria da desorganização social, analisaram a relação entre fatores socioeconômicos e as taxas de homicídio e, usando a análise fatorial e a análise exploratória de dados espaciais (AEDE), constataram que a criminalidade tem uma geografia, uma concentração espacial.
Analisando os homicídios no território do estado do Paraná, Bondezan, Lucas e Cunha (2018) evidenciaram que a distribuição da violência não ocorre de forma aleatória no espaço geográfico e que os casos de assassinato se encontravam concentrados na Região Metropolitana de Curitiba, existindo transbordamento da violência entre os territórios. Os transbordamentos da violência no espaço foram observados também por Ramão e Wadi (2010), que verificaram que os homicídios variaram de uma área para outra, existindo relação entre esse fenômeno e as desigualdades socioeconômicas na cidade de Cascavel, Paraná.
Espaços vulneráveis e violência
Estudos diversos têm confirmado o padrão espacial da violência (SÁ, 2019; MOREIRA e FOCHEZATTO, 2018). A exclusão territorial torna indivíduos, famílias e comunidades particularmente vulneráveis, abrindo espaço para a violência e o conflito (ROLNIK, 1999).
O conceito de vulnerabilidade se refere a grupos sociais específicos, que se encontram em um determinado território, expostos a um dado fenômeno e fragilizados quanto a sua capacidade de compreender e enfrentar esses riscos (PORTO, 2007).
Lugares também podem ser entendidos como vulneráveis ou expostos a riscos. A importância da espacialidade (localizações e situações) também tem sido discutida, especialmente nos espaços urbanos e a respeito de questões ambientais, situações em que é mais evidente a dimensão espacial da existência social (MARANDOLA e HOGAN, 2009). O ambiente externo à unidade residencial (bairro, por exemplo) é tão importante quanto a própria casa na vida urbana. A formação do território vivido está em consonância com as formas e fontes de vulnerabilidades presentes na geografia (HEWITT, 1997).
Zaluar (2002) fortalece a ideia das vulnerabilidades e desigualdades como fatores condicionantes da violência, ao observar que as favelas, por não disporem de um aparato de segurança pública capaz de proteger a população, acabam constituindo-se como cenários de intensa violência, vitimando pobres e submetendo a população local aos ditames do tráfico.
Sobre a concentração do crime, convencionou-se dizer que “o crime tem endereço”. Cria-se, a partir da degradação urbana, da ausência de empregos, para os jovens principalmente, um mercado paralelo ilegal, em que prevalece a droga, o tráfico (MISSE, 2010). Cria-se uma feira livre, em que os jovens são os vendedores e os traficantes são os comerciantes. Esses ambientes revelam áreas onde a infraestrutura urbana de equipamentos e serviços é precária ou insuficiente. Esse conjunto de fatores, somados a bebidas, armas, drogas e a sensação - ou certeza - de impunidade, abrem janelas e, muitas vezes, portas para a violência.
Teoria da ambiência restritiva
A ambiência não é apenas uma paisagem, uma tela de fundo alheia à sociedade, sem interação com o indivíduo, mas gera ações e reações no tecido social. Em seu estado geográfico, territorial, ela traduz-se como espaço organizado, produzido, dinâmico. Mais do que um espaço físico para o exercício das atividades humanas, é um espaço gerador de sentimentos, pertencimento coletivo, protetor ou antagonista (quando gera medo e violência). Sua essência e aparência mexem com o psicológico, lócus da ação humana para o equilíbrio ou desequilíbrio social e individual.
A teoria da ambiência restritiva versa sobre a relação entre determinados territórios, a concentração da violência e o comportamento do infrator. Essa ambiência conduz o delinquente a um habitat ao mesmo tempo de domínio, segurança e fragilidade, uma vez que delimita sua vida a esses espaços. O criminoso nesse espaço se sente protegido, conhece o ambiente físico e social e, inclusive, tem o poder de modificá-lo pela força ou pelo medo. A ambiência restritiva, ao perpetuar e ambientar o criminoso no território, produz a violência inercial.
A teoria procura responder à razão de determinados territórios permanecerem violentos no espaço e no tempo, ou seja, de haver uma inércia espacial da violência contida em uma área de influência, aumentando e diminuindo sua intensidade no tempo e no espaço.
Crescendo a cidade, crescem os problemas, principalmente quando há um número maior de pessoas por quilômetro quadrado, gerando diversos conflitos entre as pessoas e entre elas e o meio ambiente. Esse contexto é um solo fértil para a ocupação desordenada dos espaços urbanos por invasões, favelas e comunidades que já nascem desconstruídas. Os moradores dessas comunidades perdem ou não consolidam o sentimento de pertencimento, elo importante para o respeito ao espaço público, privado e às leis e aos costumes (SAMPSON e RAUDENBUSH, 2001; MISSE, 2010; SAPORI et al., 2011; BEATO e ZILLI, 2012). A urbanização desordenada, as condições de vida precárias e a falta de policiamento, saúde e educação são elementos propícios à criminalidade. Nesses locais, conforme Silva (2004), a violência urbana absorve simbolicamente uma prática da vida cotidiana, em que a força é usada como princípio organizador das relações sociais.
A violência não é difusa. Segundo Lima (2019), a maior parte dos homicídios no Brasil se concentra na região Nordeste e as vítimas são jovens entre 15 e 24 anos, negros e inseridos em contextos de vulnerabilidade social, urbana e de conflitos interpessoais. Nesses espaços vulneráveis, a falta de ordem e a degradação urbana podem levar à violência. Caso não haja intervenção pública, urbanização, ordenamento e a presença do Estado, com o tempo tudo vira apropriação indébita, invasão de terrenos, “gato” de iluminação, de água, de tudo e de todos. Impera, então, a lei do mais forte - seja pela força, pelo dinheiro, pelo medo ou pela ludibriação -, do invasor com supostos direitos ilimitados e sem obrigações sociais.
Conceito relevante para essa teoria é o de “capital social negativo”, produzido em ambientes restritivos como os de facções criminosas e milícias. Conforme Zaluar e Ribeiro (2009), ele tem a capacidade de comprometer os aspectos positivos do capital social (conforme a teoria da desorganização social) na geração de uma cultura cívica sólida e eficaz de participação na resolução dos problemas locais.
Hipóteses teóricas
A ambiência restritiva é delimitada por uma área de influência. Nesse espaço, o delinquente domina, sente-se protegido, é conhecido pela comunidade - que o teme - e, ao mesmo tempo, nela se camufla. A pouca mobilidade urbana o protege em ruelas, propícias para as atividades de comércio ilegal. Nesse sentido, Misse (2010) destaca que tradicionais mercados ilegais de trabalho, a exemplo da prostituição popular, do pequeno contrabando e da compra e venda de objetos roubados, foram sendo paulatinamente digeridos pelo varejo de drogas ilícitas, que se tornou mais atraente.
Ao se afastar do núcleo territorial, o infrator vai perdendo a autopercepção de “super-homem”. Aí vem o medo e a ideia de que está sendo observado; abrem-se as cortinas da vida real, em que existem a lei, a ordem e a possibilidade de punição. Como que preso por uma força gravitacional, o criminoso atua como um satélite que não pode se afastar do seu núcleo territorial atrativo, restritivo e otimizador de suas ações.
Nossa hipótese é a de que os criminosos, no processamento de suas ações criminais, otimizam a relação entre o risco e a recompensa no espaço e no tempo, formatando sua atuação geográfica a esse espaço otimizador restrito. Logo, se os marginais otimizam suas ações, os crimes com uma melhor relação custo-benefício são preferidos e, consequentemente, o habitat do espaço otimizador é o escolhido. Depreende-se dessa hipótese que tais espaços, delimitados pela ambiência restritiva, são a um só tempo restritivos e otimizadores. Observa-se, então, a relação direta entre as condições vulneráveis do ambiente e seu caráter otimizador de atuação. Cria-se, assim, uma área de influência mental de atuação, cujas dimensões e intensidade das vulnerabilidades nesse espaço e no tempo definirão o tamanho e as variações da violência.
O custo é contabilizado mentalmente não apenas pela possibilidade de prisão, mas por tudo aquilo que atrapalha (prejudica, fragiliza) sua vida delinquente e/ou criminal, incluindo a quebra de seu poder territorial - como qualquer animal territorialista -, o sentimento de estar fora de seus domínios e o medo sobre a própria vida. A ação criminosa preferida dos marginais que otimizam seus crimes deve ser aquela que, dentro dos limites restritivos da ambiência, tem a melhor relação risco-recompensa e, por isso, deixa-os “aprisionados” no espaço delimitado pela ambiência.
As seguintes premissas servem de alicerce na estruturação da ambiência restritiva:
1) A ambiência restritiva emerge de uma situação de vulnerabilidade social, de desigualdade de renda e de ordem (desordem);
2) Os criminosos otimizam a relação risco-recompensa no espaço e no tempo;
3) Há uma inércia espacial da violência e da área de influência;
4) Dá-se a dinâmica criminal satélite, isto é, os criminosos e delinquentes aumentam e diversificam seus crimes ao longo de uma jornada partindo do núcleo do território.
Fatores de vulnerabilidade
Em lugar de apontar causas, optamos por definir os fatores de vulnerabilidades como janelas ou portas abertas à violência. Depreende-se da análise situacional da violência, lastreada por evidências em Fortaleza, que ela é a expressão dos fatores de vulnerabilidade acomodados em uma ambiência restritiva de espaços degradados de uma sociedade subjugada e desigual acometida pela falta de oportunidades e pelo medo.
Os fatores de vulnerabilidade podem ser, em conjunto ou isoladamente, tijolos da construção dessa ambiência restritiva. A desigualdade de renda, a desordem e os aspectos sociais são fatores de vulnerabilidade a que os territórios e comunidades estão expostos. A desigualdade da renda não tem uma relação direta e forte com a criminalidade. A complexidade da criminalidade diminui a influência da desigualdade de renda, ceteris paribus, outras variáveis (BEATO FILHO e REIS, 2000; SAPORI e WANDERLEY, 2001). No entanto, Cerqueira e Lobão (2004) concluem que não há como equacionar a questão da criminalidade sem que sejam superados os grandes problemas socioeconômicos, particularmente os relacionados à desigualdade da renda. Esta leva à desigualdade social, que é traduzida na vida cotidiana na ambiência restritiva: inicia-se como causa, depois vira consequência e faz perpetuar um ambiente propício à violência.
A desordem de um ambiente pode ser de ordem física, social ou pública, traduzida em fatores como perturbação ao sossego alheio, lixo, pichações, desrespeito às delimitações dos espaços públicos e privados, ocupações irregulares. Quanto maior a desordem, maior a degradação urbana.
Conceitos inerentes às hipóteses da ambiência restritiva
Inércia espacial da violência
A concentração da violência que sobrevoa a ambiência é definida como “inércia espacial da violência”. Assim como a inércia da física, a violência tende a permanecer restrita e constante à ambiência restritiva no espaço e no tempo; inerte, até que uma força aumente ou diminua sua intensidade. A violência pode ocorrer em qualquer território habitado pelo homem, mas se concentra em microterritórios.
Embora complementar, não se pode confundi-la com o efeito “inércia temporal”, que, lastreado pela teoria da escolha racional, justifica a criminalidade crescente pela capacidade do criminoso de adquirir experiência ao longo do tempo, da “labuta criminal” (CLARKE e CORNISH, 1985). O efeito inércia temporal seria igual ao learning by doing (SANTOS, 2009). Isso pode ser um dos fatores para um aumento da intensidade na inércia instalada, mas a inércia espacial da violência tem sua lógica no espaço vulnerável, nas dimensões, intensidades e consequências sociais dessas vulnerabilidades.
Dinâmica criminal satélite
Segundo nossa hipótese central, as ações dos marginais em determinada área geográfica, ambiência, são planejadas e efetivadas observando-se que quanto menor o benefício do crime, menores os riscos. Isso está relacionado à existência de uma zona de proteção. Conforme mostra a Figura 1, quanto maior a recompensa, maiores os riscos.

A zona de proteção é aquela onde os marginais têm conhecimento do território. Pelo conceito de distance decay (WEISBURD, BERNASCO e BRUINSMA, 2009), os crimes estão relacionados com a distância em relação à residência do criminoso: a criminalidade cai com o aumento da distância, em virtude de um custo crescente. Segundo Kahn (2014), é comum que criminosos trabalhem com categorias espaciais no momento de praticar certos crimes: território e rotas de fuga, por exemplo. Assume-se aqui que o ponto de origem é o núcleo da ambiência restritiva, e não a casa do infrator. Subtende-se que ali é o habitat do delinquente.
Os crimes vinculam-se aos espaços e não aos infratores individualmente. Daí a queda a partir do núcleo. A zona limítrofe seriam os extremos da ambiência, o polígono ao redor dos incidentes que limita a curva onde há inflexão da taxa de evolução do crime. Surge, então, uma poligonal geográfica invisível aos olhos, mas visível aos sentimentos, aos medos e à coragem da comunidade e do delinquente. A área mostra-se atrativa porque aprisiona os personagens nesse espaço.
Área de influência
A área de influência pode ser conceituada como o poder de atração de um espaço em função da convergência de fatores de vulnerabilidade em um espaço delimitado pelo mapa mental do criminoso. A área mental dos infratores gera uma poligonal física, geográfica. Nessa poligonal instala-se a dinâmica criminal satélite, delimitando o raio de atuação. O infrator visualiza o mapa mental de atuação, mas é nessa área que os sentimentos se fazem presentes, medo ou coragem, tanto em relação à comunidade como aos delinquentes. Essa percepção é coletiva: todos os delinquentes daquela área convergem no mapa mental para uma área média de influência, dado que as condições impostas na ambiência restritiva afetam a todos.
O território é um espaço qualificado pelo domínio de um grupo humano. No caso dos infratores, está relacionado com o status quo da violência, da subjugação daquela comunidade, das atividades ilegais. Para as organizações criminosas, essa identificação permite construir a identidade e serve para satisfazer ao mesmo tempo as necessidades de poder e proteção.
Metodologia
Agregação das áreas de análise
Para os objetivos propostos, esta pesquisa utilizou a base digital do mapa de setores censitários correspondente à malha territorial da pesquisa censitária de 2010. Os dados relativos ao censo estão disponíveis no endereço digital do Instituto Brasileiro de Geografia e Estatística (IBGE)1. Para os dados da violência, a fonte foi a Secretaria de Segurança Pública e Defesa Social do Estado do Ceará (SSPDS-CE).
Dados associados a censos e estatísticas de violência referem-se originalmente a indivíduos localizados em pontos do território. Esses dados são agregados em unidades de análise, delimitadas por polígonos fechados (setores censitários, bairros e municípios). Tais áreas usualmente têm uma delimitação de acordo com uma suposta homogeneidade interna, com indivíduos/moradias que tendem a ser semelhantes entre si, em comparação com outras áreas. Evidentemente, essa premissa nem sempre é verdadeira (DIAS et al., 2002).
Devido aos efeitos de escala e de agregação de áreas, os coeficientes de correlação podem ser inteiramente diferentes para o indivíduo e para as áreas. Esse fenômeno é chamado nas ciências sociais e na epidemiologia de “falácia ecológica” e envolve a conclusão imprópria de relacionamentos no nível individual a partir de resultados agregados no nível de unidade de área.
A agregação de setores censitários aqui proposta compatibiliza áreas violentas com áreas vulneráveis, não havendo inferências cruzadas entre o nível ecológico e o nível individual. A partir dos setores censitários de Fortaleza, com 3.043 áreas, percebeu-se que a maioria das variáveis, calculadas em pequenas áreas (setores censitários), sofria flutuações excessivas em decorrência da escala e/ou agregação. Por exemplo, 33% dos 3.043 setores não tiveram ocorrência de tráfico e 43% não tiveram qualquer ocorrência de homicídios.
Esses problemas são conhecidos como modifiable areal unit problem (maup) (ALMEIDA, 2012). Geralmente são ocasionados por problemas de escala, ou seja, os resultados se modificam na medida em que o número de unidades espaciais (escala) se eleva em um determinado agrupamento. Para que eles sejam controlados, criaram-se, a partir dos 3.043 setores censitários, entidades maiores denominadas setores agregados, formadas por agrupamentos de setores censitários contíguos, considerados os seguintes critérios:
1) Geração de áreas mais homogêneas das condições vulneráveis e criminais, usando a compatibilidade de áreas em que fosse possível observar clusters de violência e diminuir o “efeito beirada”, problemas relacionados com a proximidade dos extremos de duas áreas. Os mapas de kernel (também chamados de mapas de manchas) foram usados nesse processo;
2) Área mínima aproximada de 0,4 a 0,6km2. Esse critério é devido à dinâmica criminal cuja área de influência da violência tem em média 0,5km2, conforme observado nas evidências;
3) Setores agregados incluindo em seu interior as favelas e assentamentos precários, para evitar que uma favela (ou assentamento) esteja em duas ou três áreas;
4) Limites físicos das áreas, respeitando barreiras físicas, para evitar que uma lagoa, avenida ou outras barreiras físicas separassem uma mesma área em partes.
Para se efetivar a agregação inicial, deu-se a interseção entre os 3.043 setores censitários (Figura 2, mapa A) e os 841 assentamentos precários (Figura 2, mapa C) definidos pela Prefeitura de Fortaleza em 20162. Esse processo serviu de base para construção dos 497 setores agregados (Figura 2, mapa B), observando os critérios já mencionados.

Descrição das variáveis
As variáveis selecionadas para representar características estruturais socioeconômicas e de desordem que afetariam as taxas de crime estão apresentadas no Quadro 1. O Quadro 2 apresenta as variáveis utilizadas para compor o IV.
O número de residentes homens e jovens (15 a 19 anos) tenta capturar o fato de que mais de 90% dos presos e vítimas de homicídios são, em média, jovens do sexo masculino. Para diminuir a variação (flutuações extremas dos quantitativos da variável) por setor e capturar melhor a relação desordem e vulnerabilidades locais, foram somadas as ocorrências de 2016 e 2017 (anos de maior violência no período) das variáveis que compõem o indicador “desordem” (Drg, Embrg, Pert e Des.).


“Consumo de drogas” (Drg) fortalece o tráfico nesses espaços, tornando jovens dependentes da droga e/ou do tráfico distribuidores em bocas de fumo. “Tráfico” refere-se às denúncias de atividades de tráfico de drogas confirmadas pelo policiamento in loco. Os homicídios representaram 98,2% do crime violento letal e intencional (CVLI) em Fortaleza em 2018, segundo dados da SSPDS-CE. O CVLI é o indicador de crime mais extremo, contra a vida. Foram incorporados à análise os endereços georreferenciados de 12.565 pessoas que estavam presas em Fortaleza em dezembro de 2018. Trata-se de estoque daqueles que estavam cumprindo pena até aquele momento, sendo um sinalizador dos clusters de violência presentes no espaço urbano.
Seguindo Morenoff et al. (2001), utilizou-se um índice capaz de mensurar tanto a concentração da pobreza quanto a afluência, com a criação da variável Id renda, segundo a fórmula:

P é o total de responsáveis pelo domicílio com renda de até um salário-mínimo e R é o total de responsáveis pelo domicílio com renda superior a 15 salários-mínimos.
Análise de componentes principais
A análise de componentes principais foi usada para criar os índices de apoio à análise da teoria da ambiência restritiva. É uma técnica estatística que busca a identificação de dimensões de variabilidade comuns existentes em um conjunto de fenômenos. Procura-se redistribuir a variação nos dados de forma a obter o conjunto ortogonal de eixos não correlacionados (HAIR, 2009). Verifica-se, com os testes de KMO e Bartlett, se as variáveis são compatíveis em relação a variabilidades comuns para se fazer a análise de componentes principais. A técnica consiste na redução de um conjunto de dados multivariados em componentes, denominados principais, que minimizam a redundância existente entre as variáveis por meio de transformações lineares da matriz, de tal modo que as novas variáveis geradas sejam não correlacionadas entre si, mas expressem sua variabilidade (Ibid.).
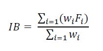
Para construir os índices, usam-se todos os fatores relevantes. Usando como pesos os respectivos autovalores das cargas fatoriais, cria-se a média ponderada para cada setor agregado, isto é, o Índice Bruto (IB), com uso da seguinte equação.

Na equação, wi é a proporção da variância explicada por cada fator e Fi são os escores fatoriais.
O índice IB é padronizado, provocando média zero e desvio padrão igual a 1. O índice estará no intervalo entre 0 e 1. Quanto mais próximo de 1, mais forte serão a violência (IV) ou ambiência (IAR) e quanto mais próxima de 0, mais fracas.
Análise exploratória de dados espaciais
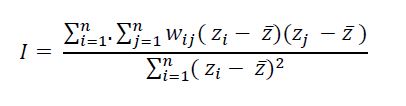
Uma análise exploratória de dados espaciais (aede) é uma técnica para descrever e visualizar distribuições espaciais e descobrir padrões de associação (clusters espaciais) (ANSELIN, 1988). O objetivo primordial é deixar os dados espaciais falarem por si próprios. Uma aede precede uma apropriada modelagem econométrico-espacial. Uma de suas técnicas é o índice I de Moran, que verifica se a hipótese de os dados espaciais serem distribuídos aleatoriamente é verdadeira, conforme a equação a seguir.

Nela, n é o número de áreas, zi é o valor do atributo da área i, é o valor médio do atributo na região e wij são os elementos da matriz normalizada de proximidade espacial. Valores positivos (entre 0 e +1) indicam para correlação direta e negativos (entre 0 e -1), uma correlação inversa.
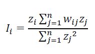
Para verificação de padrões específicos com grande número de áreas, utiliza-se o Índice de Moran Local:

Utilizou-se para a matriz de ponderação espacial wij o critério de contiguidade da vizinhança do tipo “rainha”, ou seja, todas as áreas vizinhas cujas fronteiras tenham extensão diferente de zero serão consideradas. Com relação à identificação de clusters espaciais locais, foi utilizado o método conhecido por local indicators of spatial association (Lisa). Box map é o diagrama de espelhamento de Moran. Correlações do tipo “alto-alto” mostram setores com altas proporções do indicador, cercados de setores com altas proporções do mesmo indicador; “baixo-baixo” mostra setores com baixa proporção, cercados com baixa proporção; “alto-baixo” e “baixo-alto” são setores de transição do indicador.
Modelos de regressão espacial
O uso de modelos tradicionais de regressão da econometria é limitado quando há problemas com qualquer componente espacial, o que levaria a uma quebra de alguns pressupostos tradicionais (ANSELIN, 1988). Dois modelos de alcance global serão utilizados para mensurar a relação entre os índices IAR e IV.
O modelo de defasagem espacial (spatial lag) ou SAR, segundo Almeida (2012), informa que a variável dependente y é influenciada por ela mesma, observada nas regiões vizinhas (Wy).

Aqui, y é a variável dependente; W é a matriz de proximidade espacial; Wy é um vetor n por 1 que expressa as defasagens espaciais e é determinado pela média dos valores da variável dependente observados na vizinhança; é o coeficiente autoregressivo espacial; X é o conjunto das variáveis explicativas exógenas; e é o termo de erro que traduz a influência aleatória.
No modelo de erro autorregressivo espacial (SEM), a dependência espacial é residual, com estrutura autorregressiva de primeira ordem no termo erro:

Aqui, y é a variável dependente; W é a matriz de proximidade espacial; é o termo autorregressivo que mede o grau de dependência espacial no termo de erro do modelo estimado; é o coeficiente autorregressivo; é o vetor de parâmetros relacionados às variáveis independentes; é o termo de erro que traduz a influência aleatória.
Resultados e evidências empíricas
A análise exploratória espacial foi precedida da mensuração do nível e da classificação dos setores por meio da criação dos índices IAR e IV. Além de fornecer informações organizadas sobre o binômio vulnerabilidade versus violência, ela facilita a criação de modelos explicativos mais complexos para averiguar as evidências.
Índice de ambiência restritiva (IAR)
Utilizou-se a análise de componentes principais nas 13 variáveis elencadas no Quadro 1. O resultado do KMO de 0,914 se mostrou satisfatório. As 13 variáveis usadas na construção do índice foram condensadas em três fatores, conforme mostra o Quadro 3: vulnerabilidades (F1), desordem (F2) e desigualdade de renda (F3). Esses fatores explicam 89,1% da variância total dos dados. O método de rotação usado foi o Varimax com normalização de Kaiser, cujo resultado foi obtido após a rotação convergida em cinco iterações.

A distribuição do IAR foi analisada através de agrupamentos de setores por decis. A escolha de decis foi para melhor visualizar em partes de 10%. O primeiro decil (D1) representa os 10% de setores de ambiência restritiva mais fraca conforme o IAR; o D10 representa os 10% de setores agregados de mais forte ambiência restritiva. Para verificação da performance do IAR em relação à violência, foram agrupados os dados por decil da soma das ocorrências referentes ao CVLI e tráfico de 2016 a 2018. Desse modo, amenizam-se as flutuações e outliers ocorridos no período.
Observando-se as curvas que representam a participação das variáveis de violência nos decis (Figura 3), vê-se a relação positiva e exponencial entre os níveis de ambiência restritiva e as respectivas variáveis. Há um aumento significativo a partir do quinto decil. As favelas (Figura 3, seção A) acompanham o nível da ambiência, assim como os homicídios e tráfico. Na Figura 3, seção A, no último decil, D10, 25,3% das favelas estão nesses 10% de setores agregados de maior ambiência restritiva, equivalente a 9% do território de Fortaleza. Nesse mesmo D10, encontram-se 24,4% dos homicídios (Figura 3, seção b) e 25,3% do tráfico (Figura 3, seção C).

Índice de violência (IV)
Para a construção do IV, que leva consigo indicadores criminais do Quadro 2, também foi utilizada a análise de componentes principais. Na composição das variáveis, há sequencialmente 2016, 2017 e 2018 para o tráfico e para os homicídios (CVLI), o que captura os efeitos da dinâmica da violência no tempo e no espaço.
Os dois fatores que condensam as variáveis originais explicam 67% da variância total dos dados. São eles: violência extrema (F1) e tráfico (F2), conforme mostra o Quadro 4. O método de rotação usado foi o Varimax com normalização de Kaiser, cujo resultado foi obtido após a rotação convergida em três iterações. Verificou-se adequação da amostra pelo teste KMO = 0,825.

Para análise de performance, algumas variáveis foram agrupadas em decis do índice de violência, como foi feito para o IAR. Observando-se, na Figura 4, as curvas que representam a participação percentual da variável por decil do IV das favelas, jovens e perturbação, vê-se que há relação positiva e exponencial entre os níveis de violência no espaço e as respectivas variáveis. Na Figura 4, seção A, no primeiro decil, que representa os 10% de setores agregados menos violentos classificados pelo IV, estão 3,6% das favelas. Já no último decil, D10, de setores agregados mais violentos, estão 20% das favelas, em 12% do território de Fortaleza. Nesse mesmo D10, encontram-se 18,7% dos jovens (Figura 4, seção B) e 17,7% da perturbação ao sossego (Figura 4, seção C).

Para análise comparativa espacial entre o IAR e o IV, foi utilizado um mapa temático separando os setores agregados em quatro decis iguais. Na Figura 5, mapa A, a área vermelha é a de mais forte ambiência restritiva. Pode-se observar que essas áreas estão relacionadas com as mais vulneráveis da cidade, os assentamentos precários (Figura 2, mapa C), como também com as áreas de mais violência extrema, homicídios (Figuras 6, mapas A e B). Na Figura 5, mapa B, observa-se que as áreas violentas (cor vermelha) espelhadas pelo IV estão relacionadas com as mais vulneráveis da cidade, representadas pelo IAR (Figura 5, mapa A). Na Figura 5, observa-se visualmente a congruência entre as áreas vulneráveis (mapa A) e a violência representada pelo IV (mapa B), ratificada pela correlação de Pearson positiva (ρ = 0,73) entre as áreas (setores agregados) do IAR e IV.

Evidência da inércia espacial da violência
Uma forma de avaliar a existência de algum padrão de distribuição espacial é por intermédio da intensidade do processo, do número de eventos observados por unidade de área. Utiliza-se o estimador de intensidade de Kernel para esse objetivo. Dado que existe uma forte correlação (ρ = 0,69) positiva entre o IAR e o CVLI, utilizou-se a intensidade de Kernel para os CVLIs (por ser um dado pontual georreferenciado) dos anos de 2012 e 2017.
Nas Figura 6, mapas A e B, a violência, representada pelos homicídios, permanece nas áreas de influência, com maior ou menor intensidade. Em 2012 e 2017, a densidade forte ficou em torno da área vermelha e permaneceu sobrevoando a ambiência restritiva com mudanças de intensidade, evidenciando a inércia espacial da violência.

Na Figura 6, mapa C, foi plotado o Kernel de densidade de homicídios de 2017 sobre os 847 assentamentos precários de Fortaleza, mostrando a compatibilidade espacial de ambos. São 1.077.059 habitantes que vivem em 851 assentamentos precários em Fortaleza, compreendendo 44% da população total da cidade (COSTA LIMA, FREITAS e CARDOSO, 2019).
Evidência da dinâmica espacial satélite e área de influência
Há congruência entre a ambiência restritiva e áreas vulneráveis. Assim, foram realizadas mensurações da distância entre o núcleo dessas áreas e alguns tipos de violência. Foram usados os 841 assentamentos precários, com raios de 50 a 350 metros dos assentamentos, e contada a densidade de indicadores de violência nessas áreas. A densidade da violência em 2017 foi calculada para cada buffer de intervalores de 50 a 350m de distância do núcleo. Dentro da área dos assentamentos, ocorrem em média 36% dos homicídios, numa área que compreende 11,6% do território de Fortaleza. Quando se entra na área de distância de 50 metros de raio, observa-se um aumento de 41%, representando 51% dos homicídios de Fortaleza em uma área de apenas 18,9% da cidade. O tráfico e outras variáveis de violência têm comportamento semelhante. Foi observado que a violência aumenta à medida que se afasta do núcleo da ambiência restritiva. A partir de um raio de 50m, há um forte aumento dos crimes (41%). No entanto, após os 200m do assentamento (o equivalente, em média, a uma área de 0,5km2), há uma queda da intensidade dos indicadores de violência, evidenciando a dinâmica satélite dentro da área de influência, ou seja, que o crime vai aumentando a taxas decrescentes ao se afastar do núcleo até começar a cair nos limites da ambiência restritiva.
Análise das relações espaciais: IAR x IV
A Figura 7, mapas A e B, mostra o box map, que é o diagrama de espelhamento do Índice de Moran e será usado para demonstrar a relação entre as áreas agregadas por meio do IAR e do IV. Observa-se o padrão espacial em clusters e a congruência espacial para ambos os índices plotados nos respectivos mapas. Isso demonstra que os setores com mais forte violência são aqueles com forte ambiência restritiva e que ambos os índices são acompanhados por vizinhanças semelhantes, do tipo AA (alto-alto). Além disso, essas áreas são acompanhadas de áreas de transição, passando de baixa violência (ou ambiência baixa) para áreas de alta violência (ou ambiência forte), no quadrante BA (baixo-alto). As áreas BB (baixo-baixo) são congruentes.

Modelo de regressão espacial
Com a existência de autocorrelação espacial observada, a estimação de qualquer modelo que a desconsidere gerará estimativas enviesadas. O índice de ambiência restritiva é composto de três fatores de vulnerabilidades: social (F1), desordem (F2) e renda (F3). Esses fatores representarão as variáveis explicativas e, como variável dependente, o índice de violência.
Foram estimados os modelos OLS, SEM e SAR. Para o processo de escolha do modelo, verifica-se a existência de autocorrelação espacial a partir do multiplicador de Lagrange e do multiplicador de Lagrange robusto, adotando-se então o modelo espacial mais apropriado.
O índice de Moran, de 0,251, foi significativo para os resíduos do modelo OLS, declarando a autocorrelação espacial. Pela Tabela 1, o diagnóstico pelo likelihood ratio deu significativo para ambos os modelos, o que demonstra que os modelo spatial error e spatial lag podem ser usados em substituição do modelo clássico. Pelo critério de akaike info criterion (AIC), o modelo spatial error é o de melhor ajuste e poder explicativo, sendo o de menor AIC e maior valor na função de verossimilhança.
Observando-se os resultados do modelo spatial error, o fator F1, vulnerabilidade social, mostra, pelo efeito marginal, impacto de 44% na violência para cada percentual de mudança do nível da vulnerabilidade social, ou seja, a estrutura socioeconômica vulnerável que predomina na ambiência restritiva é o grande gerador da violência, e variações nessa situação social têm forte impacto. Os fatores F2 e F3 foram também significativos e impactantes. O coeficiente λ foi positivo e significativo, evidenciando que fatores não observados de um determinado setor afetam não só a taxa de violência dessa localidade, mas também dos setores vizinhos.

O modelo spatial lag (SAR) teve ρ relevante e significativo, sugerindo que o nível de violência (IV) de determinado setor agregado (ambiência restritiva forte ou fraca) está influenciando positivamente os valores da violência em sua vizinhança.
Considerações finais
O artigo expõe a teoria da ambiência restritiva e suas hipóteses juntamente com os fatores de vulnerabilidade, delimitando-os em uma área em que a violência se instala. Os fatores são: vulnerabilidade social, vulnerabilidade de renda e vulnerabilidade de ordem. Conceitos aderentes foram definidos: inércia espacial da violência, dinâmica criminal satélite e área de influência.
Foram construídos os índices de ambiência restritiva (IAR) e de violência (IV), usando a técnica de análise multivariada de componentes principais. O objetivo foi espelhar espacialmente, através dos setores agregados, o nível de ambiência restritiva e da violência. Com a análise exploratória de dados espaciais e modelos de regressão, verificou-se a existência de relação espacial nos setores agregados entre os níveis de ambiência restritiva (IAR) e de violência (IV).
Os resultados mostraram evidências da teoria da ambiência restritiva. Quanto mais forte for a ambiência restritiva, revelando vulnerabilidade social, de renda (desigualdade) e de ordem (desordem), mais forte é a incidência de violência nessas áreas.
A teoria da ambiência restritiva contribui para o tema, ao explicar por que alguns territórios permanecem violentos no espaço e no tempo, aumentando ou diminuindo a intensidade da violência. Além disso, a teoria delimita espacialmente essa ambiência restritiva e sua área de influência. A pesquisa utilizou, para as evidências empíricas, os espaços violentos e vulneráveis de Fortaleza, juntamente com variáveis socioeconômicas largamente usadas na literatura para rastrear espaços vulneráveis.
Referências
ALMEIDA, Eduardo. Econometria espacial aplicada. Campinas: Alínea, 2012.
ANSELIN, Luc. Spatial Econometrics: Methods and Models. Boston: Kluwer Academic Publishers, 1988.
BATELLA, Wagner Barbosa; DINIZ, Alexandre Magno Alves. “Análise espacial dos condicionantes da criminalidade violenta no estado de Minas Gerais”. Revista Sociedade & Natureza, vol. 22, n. 1, 2010.
BEATO FILHO, Claudio; REIS, Ilka Afonso. “Desigualdade, desenvolvimento socioeconômico e crime”. In: HENRIQUES, R. (org). Desigualdade e pobreza no Brasil. Rio de Janeiro: Ipea, 2000, pp. 385-403.
BEATO FILHO, Claudio; ZILLI, Luís Felipe. “A estruturação de atividades criminosas: Um estudo de caso”. RBCS, vol. 27, n. 80, pp. 71-88, 2012.
BONDEZAN, Kézia de Lucas; LUCAS, Miriã de Sousa; CUNHA, Marina Silva da. “Determinantes socioeconômicos da criminalidade no estado do Paraná: Uma análise espacial”. Anais do XXII Encontro de Economia da Região Sul, 2018.
BRANGTINGHAM, Paul; BRANTINGHAM, Patricia. Environmental Criminology. Beverly Hills: Sage, 1981.
CERQUEIRA, Daniel; LOBÃO, Waldir. “Criminalidade, condições socioeconômicas e polícia: Desafios para os governos”. Revista de Administração Pública, vol. 38, n. 3, pp. 371-400, 2004.
CLARKE, Ronald. “Situational Crime Prevention: Its Theoretical Basis and Practical Scope”. Crime and Justice, vol. 4, pp. 225-256, 1982.
CLARKE, Ronald; CORNISH, Derek. “Modeling Offenders’ Decisions: A Framework for Research and Policy”. Crime and Justice, vol. 6, pp. 147-185, 1995.
COHEN, Lawrence; FELSON, Marcus. “Change and Crime Rate Trends: A Routine Activity Approach”. American Sociological Review, vol. 44, pp. 588-68, 1979.
COSTA LIMA, Mariana Quezado; FREITAS, Clarissa Figueiredo Sampaio; CARDOSO, Daniel Ribeiro. “Modelagem da informação para a regulação urbanística dos assentamentos precários em Fortaleza”. Urbe: Revista Brasileira de Gestão Urbana, vol. 11, e20180199, 2019.
COZENS, Paul; HILLIER, David; PRESCOTT, Gwyn. “Criminogenic Associations and Characteristic British Housing Designs”. International Planning Studies, vol. 7, n. 2, pp. 119-136, 2002.
DIAS, Taciana de Lemos et al. “Problemas de escala e a relação área-indivíduo em análise espacial de dados censitários”. Informática Pública, vol. 4, n. 1, pp. 89-104, 2002.
FREITAS, Wagner Cinelli de Paula. Espaço urbano e criminalidade: Lições da Escola de Chicago. São Paulo: Método, 2004.
HAIR, Joseph F. et al. Análise multivariada de dados. Porto Alegre: Bookman, 2009.
HEWITT, Kenneth. Regions of Risk: A Geographical Introduction to Disasters. Harlow: Longman, 1997.
HILLIER, Bill; HANSON, Julienne. The Social Logic of Space. Cambridge: Cambridge University Press, 1984.
JACOBS, Jane. Morte e vida de grandes cidades. São Paulo: Martins Fontes, 2000.
JEFFERY, Ray. Crime Prevention Through Environmental Design. Beverly Hills: Sage, 1971.
KAHN, Túlio. Estudos sobre violência e criminalidade no Brasil atual. São Paulo: Conjuntura, 2014.
LIMA, Renato Sérgio de. “Segurança pública como simulacro de democracia no Brasil”. Estudos Avançados, vol. 33, n. 96, pp. 53-68, 2019.
MACHADO DA SILVA, Luiz Antonio. “Sociabilidade violenta: Por uma interpretação da criminalidade Contemporânea no Brasil urbano”. In: RIBEIRO, Luiz Cesar de Quiroz (org). Metrópoles: Entre a coesão e a fragmentação, a cooperação e o conflito. São Paulo: Perseu Abramo, 2004, pp. 291- 351.
MARANDOLA, Eduardo; HOGAN, Daniel Joseph. “Vulnerabilidade do lugar vs. vulnerabilidade sociodemográfica: Implicações metodológicas de uma velha questão”. Revista Brasileira de Estudos de População, vol. 26, n. 2, pp. 161-181, 2009.
MISSE, Michel. “Crime, sujeito e sujeição criminal: Aspectos de uma contribuição analítica sobre a categoria ‘bandido’”. Lua Nova, n. 79, pp. 15-38, 2010.
MOREIRA, Romilson do Carmo; FOCHEZATTO, Adelar. “Análise espacial da criminalidade no estado da Bahia”. Revista de Desenvolvimento Econômico, vol. 3, n. 38, pp. 52-80, 2018.
MORENOFF, Jeffrey; SAMPSON, Robert; RAUDENBUSH, Stephen. “Neighborhood Inequality, Collective Efficacy, and the Spatial Dynamics of Urban Violence”. Research Report, vol. 39, n.3, pp. 517-558. 2001.
NEWMAN, Oscar. Defensible Space: Crime Prevention Through Urban Design. Nova York: Collier Books, 1972.
ODON, Tiago Ivo. Tolerância zero e janelas quebradas: Sobre os riscos de se importar teorias e políticas. Brasília: Senado Federal, 2016.
PLASSA, Wander; PARRÉ, José Luiz. “A violência no estado do Paraná: Uma análise espacial das taxas de homicídios e de fatores socioeconômicos”. Economia e Desenvolvimento, vol. 31, pp. 1-16, 2019.
PORTO, Marcelo Firpo de Souza. Uma ecologia política dos riscos: Princípios para integrarmos o local e o global na promoção da saúde e da justiça ambiental. Rio de Janeiro: Fiocruz, 2007.
PUTNAM, Robert. “Bowling Alone: America’s Declining Social Capital”. Journal of Democracy, vol. 6, n. 1, pp. 65-78, 1995.
RAMÃO, Fernanda Pamplona; WADI, Yonissa Marmitt. “Espaço urbano e criminalidade violenta: Análise da distribuição espacial dos homicídios no município de Cascavel/PR”. Revista de Sociologia e Política, vol. 18, n. 35, pp. 207-230, 2010.
ROLNIK, Raquel. “Exclusão territorial e violência”. São Paulo em Perspectiva, vol. 13, n. 4, pp. 100-111, 1999.
SÁ, Álvaro Robério de Souza. “A criminalidade no estado de Pernambuco: Uma análise aspacial dos determinantes das ocorrências de homicídios e roubos”. Revista de Estudos Sociais, vol. 20, n. 43, pp. 4-27, 2019.
SAMPSON, Robert. “Collective Efficacy Theory”. In: CULLEN, Francis; WILCOX, Pamela (orgs). Encyclopedia of Criminological Theory. Thousand Oaks: Sage, 2010, pp. 802-812.
SAMPSON, Robert; GROVES, Byron. “Community Structure and Crime: Testing Social Disorganization Theory”. American Journal of Sociology, vol. 94, n. 4, pp. 774-802, 1989.
SAMPSON, Robert; RAUDENBUSH, Stephen; EARLS, Felton. “Neighborhoods and Violent Crime: A Multilevel Study of Collective Efficacy”. Science, vol. 277, pp. 918-924, 1997.
SANTOS, Márcia Andréia Ferreira. “Abordagens científicas sobre as causas da criminalidade violenta: Uma análise da teoria da ecologia humana”. Revista Levs, n. 17, pp. 46-74, 2016.
SANTOS, Marcelo Justus. “Dinâmica temporal da criminalidade: Mais evidências sobre o ‘efeito inércia’ nas taxas de crimes letais nos estados brasileiros”. Economia, vol. 10, n. 1, pp. 169-194, 2009.
SAPORI, Luis Flávio; WANDERLEY, Claudio Burian. “A relação entre desemprego e violência na sociedade brasileira: Entre o mito e a realidade”. Cadernos Adenauer, n. 1, pp. 42-73, 2001.
SAPORI, Luis Flavio; SENA, Lucia Lamounier; SILVA, Braulio Figueiredo Alves da. “Mercado do crack e violência Urbana na cidade de Belo Horizonte”. Dilemas, Rev. Estud. Conflito Controle Soc., Rio de Janeiro, vol. 5, n. 1, pp. 37-66, 2012.
SHAW, Clifford; MCKAY Henry. Juvenile Delinquency and Urban Areas. Chicago: University of Chicago Press, 1942.
SUTHERLAND, Edwin. Principles of Criminology. Philadelphia: Lippincott, 1939.
TOBLER, Waldo R. “A Computer Movie Simulating Urban Growth in the Detroit Region”. Economic Geography, vol. 46, pp. 234-240, 1970.
WEISBURD, David; BERNASCO, Wim; BRUINSMA, Gerben. Putting Crime in its Place: Units of Analysis in Geographic Criminology. Nova York: Springer, 2009.
WILSON, James; KELLING, George. “Broken Windows: The Police and Neighborhood Safety”. Atlantic Monthly, vol. 249, n. 3, pp. 29-38, 1982.
ZALUAR, Alba. “Oito temas para debate: Violência e segurança pública”. Sociologia, problemas e práticas, n. 38, pp. 19-24, 2002.
ZALUAR, Alba; RIBEIRO, Ana Paula. “Teoria da eficácia coletiva e violência: O paradoxo do subúrbio carioca”. Novos Estudos Cebrap, n. 84, pp. 175-196, 2009.
Notas
Autor notes