Resumen: La diabetes tipo 2 (DM2) es uno de los grandes problemas de salud pública a nivel mundial y uno de los mayores desafíos del siglo XXI. La glucemia es un parámetro de laboratorio fácil de evaluar y ocupa un rol fundamental tanto en el diagnóstico como en el seguimiento de la DM. La determinación de proteínas glicadas, en especial la hemoglobina (HbA1c) y las proteínas séricas (fructosamina) permiten cuantificar el promedio de la misma a lo largo de semanas o meses, complementando el monitoreo glucémico. Los métodos que se implementan para lograr el control glucémico en la enfermedad renal crónica (ERC) se extrapolan de estudios con DM sin ERC, debido a la falta de evidencia de estudios randomizados de alta calidad en esta población. Se debe considerar que en ERC existen cambios metabólicos que determinan que la hemoglobina (Hb) presente comportamientos variables, motivo por el que surge la discusión de si la HbA1c constituye un marcador confiable para definir control glucémico o de utilidad en la predicción del desarrollo de complicaciones en esta subpoblación. Se presenta una revisión acerca del rol de la HbA1c en el paciente con DM sin ERC para luego mostrar las dificultades que se presentan en la subpoblación con ERC, centrándose especialmente en los pacientes en tratamiento de hemodiálisis y diálisis peritoneal.
Palabras clave:hemoglobina glicadahemoglobina glicada.
Abstract: Type 2 diabetes (DM2) is one of the greatest public health problems in the world and one of the biggest challenges of the 21st century. Glycemia is a laboratory parameter that is easy to evaluate and plays a fundamental role both in the diagnosis of DM and in its follow-up. The identification of glycated proteins, especially hemoglobin (HbA1c) and serum proteins (fructosamine), makes it possible to quantify their average over weeks or months, which complements glucose monitoring. The methods implemented to achieve glycemic control in chronic kidney disease (CKD) are extrapolated from studies on DM without CKD, due to the lack of evidence from high quality randomized studies in this population. It should be considered that in CKD there are metabolic changes determining that hemoglobin (Hb) shows variable behaviors; this is why it is discussed whether HbA1c constitutes a reliable marker to define glycemic control or whether it is useful to predict the development of complications in this subpopulation. A review of the role of HbA1c in DM patients without CKD is presented, showing also the difficulties that arise in the subpopulation with CKD, especially among patients undergoing hemodialysis and peritoneal dialysis.
Keywords: mujeres.
Artículo de Revisión
Hemoglobina glicada (HbAa1c). Utilidad y limitaciones en pacientes con enfermedad renal crónica
Glycated Hemoglobin (HbA1c). Usefulness and limitations in patients with chronic kidney disease
Recepción: 31 Enero 2018
Aprobación: 19 Febrero 2018
La diabetes tipo 2 (DM2), es uno de los grandes problemas de salud pública a nivel mundial(1) y uno de los mayores desafíos del siglo XXI. Se considera junto a la obesidad una de las mayores epidemias de las enfermedades crónicas no trasmisibles,(2) con un incremento global alarmante.(3-4) El impacto económico es enorme, en 2010 el gasto global en salud atribuible a la DM fue estimado en US$ 376 billones, lo que implicó un 12% del gasto global total de todas las enfermedades.(5)
La glucemia es un parámetro de laboratorio fácil de evaluar y ocupa un rol fundamental tanto en el diagnóstico como en el seguimiento de la DM. Las pruebas que expresan la hiperglucemia crónica deben ser jerarquizadas dado que constituyen una herramienta que permite evaluar la eficacia de la terapéutica. La determinación de proteínas glicadas, en especial la hemoglobina (HbA1c) y las proteínas séricas (fructosamina) permiten cuantificar el promedio de la misma a lo largo de semanas o meses, complementando el monitoreo glucémico.(6)
La HbA1c permite valorar el control glucémico sin ayunas, en cualquier momento del día, presenta baja variabilidad biológica,(7) no se altera con el estrés y no presenta inestabilidad de la muestra. Estos factores junto a la documentación de que predice el desarrollo de complicaciones crónicas microvasculares(8) y macrovasculares,(9) permite considerarla como una variable para la toma de decisiones en el manejo integral de los pacientes; numerosas guías de recomendaciones sugieren su medición en intervalos regulares.
El incremento en la expectativa de vida en DM como consecuencia de un mejor control, han generado consecuencias inesperadas: una alta incidencia y prevalencia de trastornos crónicos.(10) Aproximadamente el 60% de las muertes a nivel global se relacionan con procesos crónicos, con una proyección de incremento adicional del 15 % hacia 2020.(11)
Una de las alteraciones crónicas más importantes es la enfermedad renal crónica (ERC); su crecimiento se ve favorecido por el envejecimiento de la población, el aumento de la prevalencia de la DM, obesidad, hipertensión arterial y síndrome metabólico, entre las causas más frecuentes. La DM, como factor de riesgo de ERC, presenta un Odds Ratio de 1.66 (1988-1994) con incremento progresivo hacia 2.33 (2007-2012).(12) El costo global de los DM asociada con ER (ERDM), debido a la relación con enfermedades cardiovasculares (ECV) y la necesidad de tratamientos sustitutivos, implica una alta erogación económica.(13)
Los métodos que se implementan para lograr el control glucémico en ERC se extrapolan de estudios con DM sin ER, debido a la falta de evidencia de estudios randomizados de alta calidad en esta población. Se debe considerar que en ER existen cambios metabólicos que determinan que la hemoglobina (Hb) presente comportamientos variables, motivo por el que surge la discusión de si la HbA1c constituye un marcador confiable para definir control glucémico o de utilidad en la predicción del desarrollo de complicaciones en esta subpoblación.(14)
La enorme controversia y limitaciones en esta temática determinan que es un verdadero desafío realizar un revisión para conocer las ventajas y limitaciones en el uso de la HbA1c como herramienta en las diferentes etapas de la ER y poder plantear hacia un futuro alternativas que posibiliten el uso de nuevas opciones, para un mejor abordaje en el diagnóstico, seguimiento y pautas de tratamiento de estos pacientes.
El único camino para evaluar la adecuación del tratamiento y realizar intervenciones cuando no se han logrado los objetivos, es el estudio de los niveles de glucemia de ayuno (GA) y/o postprandial (GPP) y el control glucémico a largo plazo (HbA1c y/o monitoreo continuo).
Dados los resultados que se observaron en el Estudio DCCT (Diabetes Control and Complications Trial)(8) y en el UK Prospective Diabetes Study (UKPDS),(15) existe un amplio consenso de un gran beneficio al obtener y mantener los niveles de glucemia dentro del rango establecido.(16) (Tabla 1)
Tabla 1. Objetivos glucémicos en DM

Dado que en estos estudios se excluyeron pacientes con ERC es nuestra intención compartir las dificultades que presentan los pacientes con ERDM para la utilización de la HbA1c como objetivo glucémico, destacando los factores que se agregan frente a este contexto.
En la primera parte haremos una revisión del rol de la HbA1c en el paciente con DM sin ER para luego mostrar las dificultades que se presentan en la subpoblación con ERC, centrándonos especialmente en los pacientes en tratamiento de hemodiálisis y diálisis peritoneal. Lo abordaremos considerando que se trata de un tema controversial.
La Hb es una proteína que se encuentra presente en glóbulos rojos, la misma se encuentra conformada por dos dímeros de globina, cada uno asociado a un grupo hemo.(17) En los adultos, la Hb presenta diferentes denominaciones de acuerdo al tipo de dímero que componen la molécula. Aproximadamente, el 97% corresponde a HbA (α2, β2), el 1.5-3.5% corresponde a A2 (α2, δ2) y <2% a HbF (α2, γ2), variando estos porcentajes de acuerdo a diferentes hemoglobinopatías. Los componentes de HbA fueron identificados por separación de cargas y se denominaron de acuerdo al orden de elución: A0, A1a, A1b y A1c. El significado de este hallazgo en relación a la DM fue contemplado por Rahbar y col., que utilizando electroforesis en gel, reportó elevación de estas fracciones de Hb en DM.(18)
La glicosilación hace referencia a una modificación enzimática que altera la función proteica, la vida media o las interacciones con otras proteínas.(19) La glicación se refiere a la unión no enzimática de un monosacárido (generalmente glucosa) a un grupo amino de una proteína. A pesar de que la Hb ha sido la proteína glicada más estudiada y utilizada, otras han sido evaluadas, tales como la albúmina glicada, la fructosamina y los productos de glicación avanzada.
El paso inicial de la reacción entre la glucosa y la Hb es la condensación entre el carbonilo de la primera y la amina primaria libre de la segunda, generando la formación de una base de Schiff (reacción temprana de Maillard). Esta base no es estable y puede disociarse o presentar un reordenamiento de Amadori, para formar una cetoamina estable.(20) (Figura 1)
Figura 1. Formación de proteínas glicadas

En el caso de HbA1c, la unión de glucosa se produce en forma covalente con el residuo valina NH2- terminal de la cadena β de la HbA, constituyendo aproximadamente un 5-7 % del total de Hb.(21) La glicación puede ocurrir en sitios distintos, como el residuo valina de la cadena α, en la lisina de la cadena α o β(22) así como con otros tipos de hexosas, tal como fructosa 1-6 difosfato o glucosa 6-fosfato.(Tabla 2)

La sobrevida promedio del eritrocito es de 117 días en hombres y 106 días en mujeres. Una muestra sanguínea contiene hematíes de distintas edades, con diferentes grados de exposición a la glucemia, los de mayor sobrevida están más expuestos y los más jóvenes son más numerosos.(23) Estas diferencias determinan que los niveles de glucosa de los 30 días más cercanos a la determinación contribuyan aproximadamente en un 50% a la formación de HbA1c, mientras que el período 90 a 120 días contribuye sólo en un 10%. La modificación de la Hb es irreversible y su tasa de formación refleja el minuto a minuto del ambiente glucémico. Lo mencionado anteriormente permite comprender porque la HbA1c refleja el estatus glucémico, demostrando el promedio de glucosa en sangre de los últimos 3 meses.
La primera mención de la importancia de la determinación de HbA1c por la Organización Mundial de la Salud se realizó en 1985(24) y en 1988 la ADA sugirió en sus recomendaciones que debería ser pesquisada para el monitoreo de DM. A partir de allí, se han desarrollado una gran cantidad de métodos para HbA1c, que consisten en separar la Hb glicada de la no glicada.
Las técnicas que se utilizan se basan en diferencias de cargas: cromatografía por intercambio iónico, cromatografía líquida de alta performance (HPLC), electroforesis, en diferencias estructurales (inmunoensayo) o en análisis químico (fotometría y espectrofotometría). La electroforesis y las técnicas de análisis químico son obsoletas, siendo los más utilizados el HPLC e inmunoensayo.
En 1992 el College of American Pathologists reportó discrepancias en los resultados de HbA1c, demostrando que para la misma muestra podían resultar valores desde 4% a 8.1%.(25) Esta evidencia determinó la necesidad de introducir una estandarización; el National Glycohemoglobin Standardization Program (NGSP) en Estados Unidos introdujo el método HPLC utilizado en el estudio DCCT, que medía HbA1c. En Suecia se propuso otra técnica como estándar,(26) así como en Japón,(27) generando dudas con respecto a cuál sería el mejor método. La International Federation of Clinical Chemistry and Laboratory (IFCC), en un intento por generar un programa internacional de estandarización, constituyó un grupo de trabajo en HbA1c, con el objeto de definir un método simple de referencia internacional. Se postuló al método HPLC combinado con espectrometría de masa o con electroforesis capilar con detección ultravioleta,(28) aceptándose su implementación por las sociedades nacionales de química clínica y por una red de laboratorios. Sin embargo, los laboratorios continuaron realizando sus propios ensayos, pero calibrados y comparados con estas referencias.
La HbA1c de IFCC se expresa en mmol/mol Hb cuando se expresa como un porcentaje, el rango de referencia para pacientes sin DM, es aproximadamente 1.5-2% más bajo que los valores de DCCT.(29) Tanto NGSP como IFCC presentan roles complementarios en el proceso de estandarización de HbA1c. Ambos sientan bases sólidas para establecer la exactitud y fiabilidad del método de determinación en un laboratorio de cualquier lugar en el mundo. La NGSP, como las sociedades de Japón y Suecia, ha diseñado ecuaciones de conversión para los métodos propios en relación con IFCC.(26) A la ecuación que permite realizar la conversión de los valores obtenidos de HbA1c se la denomina “ecuación maestra”, existiendo una relación lineal entre el método de NGSP y el de IFCC.(30)
En 2004 se constituyó un grupo de trabajo (ADA/EASD/IDF Working Group of the HbA1c Assay)(31) para poder concertar los conceptos de la definición de HbA1c. Hubo un acuerdo absoluto en algunas definiciones pero no en cuál de los sistemas se debería basar la determinación. Posteriormente, en el año2007, se consensuó que los resultados de HbA1c se informarán en las unidades IFCC (mmol Hb glicada/mol total de Hb) y unidades de NGSP (%). Los sin DM tendrían un rango de rango de 25 a 42 (mmol/mol) y de NGSP 2.5 a 4.2% (HbA1c).32
Otra propuesta fue abandonar el término HbA1c y reportarla como derivada de un promedio de glucemia estimado (eAG). Esta se documentó en base a un estudio prospectivo multinacional, que evidenció la relación lineal entre HbA1c y la glucemia media,(33) generando controversia entre los autores, avalando algunos su uso y otros que no, dado que existía una gran variabilidad entre ambas determinaciones.(34)
Utilidad clínica
La HbA1c en el seguimiento clínico del paciente con DM adquiere relevancia a partir del DCCT que evaluó el tratamiento insulínico intensificado comparado con el convencional, en DM1.(8) La rama intensificada presentó un promedio glucémico menor a 155 mg/dl, con HbA1c media de 7.2%, comparado con la convencional 231 mg/dl y HbA1c de 9.1%, con diferencias estadísticamente significativas.(8) El riesgo de aparición de complicaciones microvasculares se redujo en el grupo intensificado (retinopatía 76%, microalbuminuria 34%, macroalbuminuria 44%, neuropatía 64%), así como la progresión (retinopatía preproliferativa a proliferativa 47%, microalbuminuria 43%, macroalbuminuria 56%, y neuropatía 57%). Las complicaciones macrovasculares no presentaron diferencias significativas entre ambos grupos. Una de las conclusiones a considerar fue que la relación entre HbA1c y el riesgo de complicaciones crónicas microvasculares era lineal, sin que se pueda identificar un nivel donde el riesgo desaparezca. (Tabla 3)

El estudio observacional EDIC(9) continuó al DCCT, evaluó el impacto del tratamiento intensificado a largo plazo y se evidenció una reducción de la progresión de las comorbilidades microvasculares, así como de la incidencia de eventos cardiovasculares(42%) en pacientes intensificados durante el DCCT. Análisis posteriores demostraron que el promedio de HbA1c fue el predictor más importante de progresión de las complicaciones.
En 1998 se publicó el estudio UKPDS en DM2 que evidenció disminución de complicaciones en relación a la reducción de los niveles de HbA1c.(15) Los niveles promedio de HbA1c fueron del 7.0% en el grupo intensificado, y del 7.9% en el grupo control; esta pequeña diferencia mostró la reducción del riesgo para enfermedad microvascular de un 25%, del 16% en infarto agudo de miocardio (IAM) fatal y no fatal, y 12% para cualquier punto final relacionado con DM, comparado con el grupo de tratamiento convencional. La tendencia en la disminución de eventos cardiovasculares IAM o amputaciones) no fue significativa, sin embargo se constató que por cada 1% de descenso se observaba una reducción del riesgo del 21% para cualquier punto final relacionado con DM, 21% para muertes relacionadas a DM, 14% para IAM, 37% para complicaciones microvasculares, y 43% para amputación. El estudio UKPDS 35 confirmó la relación entre los niveles de HbA1c y complicaciones.(35)
El seguimiento de los pacientes del estudio UKPDS(36) continúo con sus médicos de cabecera anualmente durante los primeros cinco años y mediante cuestionarios los siguientes cinco. Las diferencias de la HbA1c obtenidas se perdieron, a pesar de lo cual se sostenía la reducción del riesgo de eventos micro y macrovasculares después de 10 años, confirmando las observaciones del EDIC. Este fenómeno fue llamado “efecto legado” o “memoria glucémica”, permitiendo demostrar que los beneficios del control glucémico a un nivel lo más cercano posible a lo normal en los primeros años luego del diagnóstico, tienen un efecto prolongado en la reducción del riesgo de aparición de complicaciones crónicas y debe ser jerarquizado. De esta forma, se puede afirmar también en DM2 que la relación entre HbA1c y el riesgo de complicaciones crónicas, especialmente microvasculares, es lineal sin que se pueda identificar un nivel donde el riesgo desaparezca.
El Estudio Kumamoto(37) presentó un diseño similar al DCCT pero en adultos con DM2. A los 6 años de seguimiento se pudo objetivar una relación continua entre el incremento del riesgo de complicaciones y la glucemia, demostrando que una HbA1c menor a 6.5%, GA <110mg/dl y GPP <180mg/dl no presentaban incremento del riesgo de aparición o progresión de retinopatía y nefropatía.
Luego de estos estudios, el impacto del control glucémico en la morbimortalidad cardiovascular de la DM2 siguió siendo objeto de debate. El estudio ACCORD tenía como objetivo determinar si el descenso de HbA1c por debajo de 6% (tratamiento intensivo) reducía los eventos cardiovasculares comparado con niveles de 7 y 7.9% (tratamiento estándar) en pacientes con DM2 con ECV establecida, o con factores de riesgo. El grupo intensivo presentó mayor riesgo de muerte global, interrumpiéndose el estudio antes de su finalización por mayor mortalidad global en esta rama. Se concluyó que el tratamiento intensificado en aquellos que al inicio no tenían ECV, cuya HbA1c era ≤8% presentaban menos eventos cardiovasculares fatales o no fatales, contrariamente a esa observación los que tenían ECV previos mostraban incremento de mortalidad global.(38)
El estudio ADVANCE(39) presentó como objetivo evaluar el impacto del control glucémico y antihipertensivo sobre la reducción del riesgo de eventos cardiovasculares y complicaciones crónicas en pacientes con DM2. Como los anteriores estudios se asignaron un grupo intensivo (HbA1c ≤6.5%) y un grupo de tratamiento estándar (HbA1c 7.3%), concluyendo que luego de 5 años de seguimiento, el primero presentaba una reducción de eventos micro y macrovasculares de 10%. No se evidenció aumento de la mortalidad en el grupo intensivo.
Otra publicación que evaluó efectos del control glucémico intensivo sobre eventos cardiovasculares en pacientes con DM2 es el VADT.(40) Este último grupo no consiguió reducciones significativas en la tasa de eventos cardiovasculares mayores ni muerte, observándose sólo disminución en la progresión de albuminuria y un porcentaje elevado de hipoglucemias.
En estudios epidemiológicos, los niveles de HbA1c >7% se encuentran fuertemente asociados a un incremento significativo del riesgo de desarrollo de complicaciones. Resumiendo, el DCCT, UKPDS y el estudio Kumamoto(37) sientan las bases para el diseño de las guías actuales, confirmando que las complicaciones se pueden evitar con niveles definidos de HbA1c (7% en DCCT, <6.5% en Kumamoto)(37) (Tabla 4),(41) especialmente sobre la enfermedad microvascular, con menor evidencia de su efecto sobre la macrovascular. El efecto sobre la patología macrovascular fue observada en el seguimiento EDIC(9) y en la prolongación de la observación de UKPDS.(36) En el estudio ADVANCE y VADT también se confirma que con niveles <7% se reduce la progresión de nefropatía.

Tanto la GA así como la GPP correlacionan directamente con el riesgo de complicaciones. La GPP constituye un factor de riesgo también para eventos cardiovasculares(42) siendo considerada por algunos un mejor predictor de ECV y muerte por todas las causas.(43) Esta asociación parece ser lineal, los valores >140 mg/dl se asocian con incremento de mortalidad por todas las causas y >180 mg/dl mayores complicaciones microvasculares e IAM.(44)
Se debe reconocer que la HbA1c es el resultado de la GA y GPP; la GA parece contribuir más cuando los valores son elevados, a medida de que la HbA1c se acerca al 7%, la responsable parece ser la GPP.(45) Con monitoreo continuo se demostró que los niveles postprandiales a las 2 horas de glucemia, menores a 144 mg/dl, correlacionaban mejor con HbA1c <7.0%.(46) El rol del control pre versus GPP en la reducción de eventos cardiovasculares continúa siendo objeto de controversias, a pesar de existir evidencia de reducción de progresión de ECV con objetivos GPP <144 mg/dl,(47) existen estudios randomizados que no presentan diferencias significativas cuando se comparan control pre y postprandial.(48)
El estudio ADAG(33) analizó la relación existente entre la glucosa plasmática media y la HbA1c, motivado por la escasa evidencia de estudios previos que fueron mayoritariamente en DM1, con un pequeño número de participantes, con mediciones por períodos cortos de tiempo y llevadas a cabo en un sólo momento del día (sin determinaciones nocturnas o postprandiales). Los resultados obtenidos demostraron que existe una relación consistente entre el promedio de glucosa y HbA1c (en un espectro de valores de 5%-13%) en un grupo de personas amplio y heterogéneo (población sin DM, con DM1 o DM2, distintas edades, etnias, presencia de tabaquismo). Se realizaron en promedio 2700 glucemias en cada participante, concluyendo que hay una relación lineal con HbA1c (coeficiente de correlación 0.84) con cierta dispersión, probablemente por errores en la medición de glucosa o variabilidad en el proceso de formación de HbA1c (Figura 2). Lo ideal sería realizar más estudios con mayor diversidad en cuanto a las características de cada sujeto y con un monitoreo de glucosa continuo e ininterrumpido por meses.
La ADA y la American Association for Clinical Chemistry (AACC), han determinado en base al ADAG y a un estudio que relacionó glucemia promedio en distintos momentos del día (preprandial, postprandial y al acostarse) con HbA1c,(49) que existe una correlación muy fuerte (r=0.92) para justificar el reporte de la HbA1c y eAG. (Tabla 5)

Las guías proponen diferentes metas de tratamiento (Tabla 6).(41) Sin embargo, antes de definir el objetivo glucémico final del paciente se deben considerar las características del paciente, preferencias, valores y necesidades.

Tener como objetivo una HbA1c lo más cercana a 7% o 6.5% es una excelente propuesta, para jóvenes o adultos sin complicaciones, con reciente diagnóstico o antigüedad de la DM corta y expectativa de vida prolongada, siempre que no presenten hipoglucemias. Deberían ser más conservadoras esas metas si presenta múltiples comorbilidades, altos niveles de dependencia funcional, presencia o aumento de riesgo de hipoglucemias, sobrevida corta, poca habilidad para el auto-cuidado o dificultades para obtener los objetivos pese a la intensificación del tratamiento.(50)(Figura 3)

Los objetivos glucémicos no deben ser tomados como metas rígidas, deben ser flexibles y adaptables a los cambios de cada paciente y sus condiciones de vida.(51-52) (Figura 4)

Limitaciones de la HbA1c
Existen numerosos factores que pueden impactar en el resultado de una determinación de laboratorio y que deben ser considerados en la toma de decisiones. Los mismos se dividen en biológicos: variaciones en una misma persona (intraindividual) y entre personas (interindividual), pre-analíticos (en relación a la muestra antes de realizar la medición), y analíticos (considera diferencias en los resultados relacionados al método).Variación biológica. La variación intraindividual de HbA1c en personas sin DM es mínima, siendo la interindividual mayor.(53) La evidencia indica que los valores de HbA1c no son constantes entre los individuos, con y sin DM, a pesar de niveles similares de glucosa plasmática o de fructosamina. Esta condición se ha denominado “gap de glicación”, que indica la diferencia entre la HbA1c predecida y la actual, y propone diferencias en la tasa de glicación de la Hb (“glicadores rápidos” y “glicadores lentos”).(54)
La glicación de la Hb ha sido considerada como un proceso no regulado, siendo la tasa de formación directamente proporcional a los niveles glucémicos, con mínima participación de otros factores. Sin embargo, se ha demostrado que esta tasa se ve influenciada por condiciones anaeróbicas, presencia de 2,3 difosfoglicerato 2,3 DPG), fosfatos inorgánicos, PH y aminoácidos libres que actúan como alternativa para la unión con el extremo NH2-terminal. Otro fenómeno que participaría la deglicación, en el que la enzima fructosamina 3-kinasa promueve la remoción de los residuos lisina glicados en numerosas proteínas, entre ellos los de Hb.(55)
La diferencia de niveles de HbA1c en relación a las diferencias raciales se encuentra fuertemente avalada.(56) El estudio NHANES III demostró niveles promedio mayores en raza Mexicana-Americana y negra que en blancos no hispánicos, por presentar un incremento en la glicación o una mayor sobrevida eritrocitaria.(57)
El estudio ARIC (Atherosclerosis Risk in Communities) evaluó a 11.092 adultos sin DM o antecedentes de ECV, confirmando las diferencias interraciales (raza negra valores 0.4% mayores que blancos). Sin embargo, no está claro si esas diferencias son clínicamente significativas.(58)
El mecanismo molecular de las diferencias raciales aún no se encuentra establecido. Las posibilidades incluyen cambios en la tasa de captación de glucosa o metabolismo eritrocitario, en la tasa de adhesión o liberación de glucosa de la Hb o la vida media del hematíe. Independientemente del mecanismo, la variación de HbA1c es muy pequeña (0.4%) y no hay consenso con respecto a utilizar distintos valores de corte en las distintas razas.Variación pre-analítica. La HbA1c se modifica por numerosas condiciones hematológicas, genéticas, y por factores relacionados con enfermedades.(59) (Tabla 7)

Los niveles de HbA1c dependen de: (1) la HbA1c en los reticulocitos cuando son liberados de la médula ósea; (2) la tasa de síntesis o de glicación en relación al envejecimiento del hematíe y a la concentración de glucosa; y (3) la sobrevida del eritrocito circulante. La HbA1c total está en función de una media de valores de Hb glicada, que surge de un rango en hematíes que contienen niveles muy bajos (reticulocitos) hasta aproximadamente el doble de la media para los más “ancianos”.(60) Las modificaciones en la sobrevida eritrocitaria pueden generar cambios en los niveles de HbA1c, existiendo variabilidad interindividual aún en individuos sin enfermedades.
En el contexto de una disminución de la eritropoyesis se puede evidenciar un incremento de la sobrevida del hematíe y por ende de HbA1c, tal es el caso en la ERC por disminución de niveles de eritropoyetina, en el alcoholismo por disminución de la producción en la médula ósea y en las deficiencias de vitamina B12 y de hierro (incluido el embarazo). En esta última situación, El-Agouza y col.(61) sostiene que los niveles de HbA1c reflejan un balance entre la concentración de Hb y la glucosa plasmática en caso de que esta última se mantenga constante, una reducción en los niveles de Hb pueden llevar a incremento de la fracción glicada, por lo que es muy importante determinar los niveles de hierro para interpretar correctamente los resultados de HbA1c.
La anemia hemolítica, el tratamiento con eritropoyetina y la repleción de los depósitos de hierro y vitamina B12 generan incremento del número de reticulocitos en la circulación general, lo que implica que estas células presenten menor exposición a la glucemia y disminuyan los niveles de glicación, favoreciendo una reducción de HbA1c.(62) De la misma forma, otros trastornos que descienden los niveles son enfermedades hepáticas crónicas, la esplenomegalia, artritis reumatoidea, uso de antiretrovirales y dapsona. Inversamente, la esplenectomía favorece el incremento de la sobrevida eritrocitaria, con el consecuente incremento de HbA1c.
Numerosas hemoglobinopatías influyen en los niveles de HbA1c: HbAS y HbAC en población africana, HbE en asiáticos, y HbD en población de India. El tratamiento con hidroxiurea puede generar interferencias en las mediciones de HbA1c, por el incremento de los niveles de HbF y en segunda instancia porque favorece la carbamilación de la Hb.(63)
Se ha reportado que la ingestión crónica de ácido acetilsalicílico y de dosis elevadas de vitamina C y E, así como otros antioxidantes reducen la tasa de glicación de las proteínas. En estudios in vitro se observó que la vitamina C se une a la Hb, formando una unión estable, que reduce los niveles de HbA1c porque existiría una competencia con la glucosa por la unión a los grupos NH2-terminales de la Hb, posiblemente vía una interacción iónica.(64) El mecanismo de la vitamina C en la glicación es complejo y puede resultar beneficioso, pero otros estudios cuestionan estos hallazgos, dado que no han encontrado diferencias significativas y, si las hubiera, no son clínicamente relevantes.(65)
La ingesta de alcohol (etanol) favorece la formación de acetaldehído, que genera complejos con la Hb a través de una reacción no enzimática. La cantidad de complejos formados es proporcional a la cantidad de acetaldehído que se encuentra disponible, y al igual que otras sustancias se une competitivamente con los residuos valina de la cadena α de los grupos NH2-terminales de la Hb, generando disminución de los niveles de HbA1c.(66)
La hipertrigliceridemia puede llevar a que se detecten niveles bajos de HbA1c por interferencias en el método que se implementa para su medición,(67) mientras que niveles elevados de bilirrubina generan un falso incremento de HbA1c.
Variación analítica
Hay disponibles más de 100 métodos de laboratorio para realizar determinación de niveles de HbA1c. Los más utilizados son aquellos que usan anticuerpos (ensayos inmunológicos) o cromatografía por cambio catiónico (HPLC).
Las distintas variantes de Hb pueden interferir en la medición de HbA1c, por lo que es muy importante tener en cuenta su presencia si los niveles son >15%, y en este caso se debería utilizar un estudio electroforético de la Hb.
La presencia de ERC modifica la relación entre glucemia y Hb como mencionamos anteriormente, complejizando la interpretación y el valor clínico del uso de la HbA1c, dado que se presentan numerosos factores que favorecen el incremento así como la disminución de la glicación, sesgando el verdadero valor de HbA1c. Surgen aquí dos preguntas ¿La relación de la HbA1c con el riesgo de comorbilidades es igual que para los pacientes DM sin ER? ¿Es útil su utilización en el tratamiento de los pacientes en tratamiento sustitutivo?
Enfermadad Renal Crónica en DM
Se entiende como ERC a cualquier alteración renal estructural o funcional, presente por >3 meses. El mejor indicador de funcionalidad renal es el filtrado glomerular (eGFR)(68-69) y la albuminuria es un marcador de daño renal, así como de riesgo cardiovascular, siendo habitualmente el primer marcador de ERDM.(70) No todos los pacientes con daño renal presentan incremento de albuminuria, pudiendo algunos presentar deterioro por otras causas como nefroangioesclerosis.
En DM1, la incidencia acumulada de ERDM varía en un rango de 20% a 40% luego de 20-25 años de evolución de la enfermedad,(71) observándose en los últimos años una disminución de la misma, probablemente como consecuencia del tratamiento insulínico intensificado, del avance de las herramientas para el monitoreo y el desarrollo de nuevas estrategias destinadas al manejo multifactorial de los pacientes. La ERDM es una complicación más frecuente en DM2 que en DM1, y su incidencia se encuentra en ascenso. En un estudio publicado en Australia(72) se evidenció que aproximadamente la mitad de los pacientes con DM2 presentan ER.
La DM constituye la causa más frecuente de enfermedad renal en estadio avanzado (ESRD), contabilizando un 50% del total de casos en países desarrollados. La incidencia se ha estabilizado en los últimos años, pero continúan evidenciándose tasas elevadas en distintos subgrupos de alto riesgo (afroamericanos, americanos nativos e hispánicos).(73) El riesgo acumulado para ESRD entre poblaciones con antigüedad de 20 años de DM, difiere de menos de 1% a 13%.(74)
Los costos son extraordinariamente elevados. El costo anual en pacientes con ESRD causado por DM en Australia en 2009 fue seis veces mayor para aquellos en terapia de reemplazo renal (hemodiálisis y diálisis peritoneal), comparado con el tratamiento con terapias conservadoras, y en Estados Unidos se estimó en un rango de U$S20.000 para aquellos incluidos en Medicare y U$S40.000 para menores de 65 años.(75) Según Nichols y col.,(76) el mismo se incrementa según el nivel de albuminuria: U$S2.764 para albuminuria normal, U$S3.618 para albuminuria moderadamente incrementada, y U$S56.745 para severamente incrementada.
El control de la glucemia en pacientes con ERC constituye un desafío especial aún en estadios iniciales.(77) La dificultad se incrementa al agregarse múltiples alteraciones en la homeostasis de glucosa-insulina (Figura 5)(78) que se presentan a medida que cae el eGFR, lo que determina la dificultad en definir el objetivo de HbA1c en este subgrupo de pacientes.
La insulina habitualmente es captada y degradada a nivel tubular renal. Cuando el eGFR <40 ml/min evidencia pequeños cambios en el metabolismo de la misma y cuando los niveles son <20 ml/min, la degradación de ella cae abruptamente. El tejido hepático y el muscular también presentan alteraciones relacionadas a la degradación, favoreciendo un incremento de la vida media de la insulinemia.(79)

La resistencia a la insulina (IR) en ERC se presenta como consecuencia de mecanismos clásicamente conocidos, como la obesidad y alteraciones metabólicas relacionadas a la uremia (inflamación crónica, toxinas no urémicas, stress oxidativo, acidosis metabólica, déficit de vitamina D, exceso de grasa visceral). Clínicamente la IR se relaciona con la generación de ateroesclerosis, pérdida proteico-energética y complicaciones cardiovasculares. La disminución en la secreción de insulina por hiperparatiroidismo secundario y deficiencia de vitamina D se ha estudiado ampliamente en la ERC. El tratamiento del hiperparatiroidismo y el tratamiento con vitamina D incrementa la secreción de insulina y puede mejorar la intolerancia a la glucosa,(80) demostrando que estos dos factores influyen en la acción secretoria de la célula β.
Los niveles de HbA1c pueden ser menores que el verdadero valor en ERDM, subestimando la hiperglucemia. Esta situación se produce principalmente por la presencia de anemia o hemólisis, y por el uso de agentes eritropoyéticos o de suplementos de hierro. La sobrevida eritrocitaria puede disminuir en un 30%-70% como consecuencia de la elevación de los niveles de urea, que favorece la pérdida de la superficie lipídica de la membrana celular de los hematíes e interfiere con el metabolismo intracelular, generando un incremento en la fragilidad celular y acortamiento de su sobrevida, lo que favorece la aparición de anemia y una menor exposición del glóbulo rojo al ambiente hiperglucémico, implicando una disminución de los niveles de HbA1c.
Otro factor que influye en este contexto es el uso de agentes estimulantes de la eritropoyesis, que incrementan el número de hematíes inmaduros en la circulación, con menor probabilidad de estar expuestos a glicación. Brown y col.(81) ha demostrado que la proporción de glóbulos rojos nuevos y viejos pueden variar de acuerdo al uso de eritropoyetina recombinante humana (inicio de tratamiento, suspensión o modificación de dosis), lo que permite observar que a medida que se incrementa el hematócrito, los niveles de HbA1c se reducen, con niveles de glucemia constantes. (Figura 6)

La anemia es una complicación que muestra un incremento en la incidencia y prevalencia en forma significativa(82) a medida que el eGFR cae por debajo de 70 ml/min en hombres y de 50 ml/min en mujeres.(83) Varios factores son causales de esta situación, principalmente la inadecuada producción de eritropoyetina, la deficiencia de hierro o ácido fólico, y la disminución de la sobrevida eritrocitaria.

En caso de ERDM, la anemia se presenta más tempranamente que la que se desarrolla por otras causas(84) e incluso puede presentarse en pacientes con creatinina sérica dentro de rangos normales.(85) De acuerdo a diversas publicaciones, la prevalencia de anemia (Hb <12 g/dL) es mayor en ERDM (53.8%), seguida la relacionada a causa vascular (43.6%), hipertensión arterial (42.2%), entre otras.
Control glucémico en ERDM
El manejo glucémico en pacientes con ERDM se ha transformado en una verdadera encrucijada, cada vez más complejo y en cierta medida controversial, destacando que la mayoría de los estudios clínicos importantes en DM1 y DM2 excluyeron a la población en estadios de ERC avanzada. De acuerdo a las recomendaciones de las guías NKF-KDOQI (National Kidney Foundation-Kidney Disease Outcomes Quality Initiative) de 2012 los pacientes con HbA1c de 7.9% presentan mayor sobrevida que los de <6.5% y los de >8%.(86)
Existen discrepancias en los niveles de HbA1c para evaluar el control metabólico en hemodiálisis si se compara con la correlación de estos parámetros en el DCCT.(87) Esto motivó cuestionamientos a la validez de la medición de HbA1c para predecir eventos en pacientes con ERC avanzada y ser utilizada en el tratamiento individualizado de las personas bajo tratamiento sustitutivo, determinando la NKF-KDOQI que acepe que existen defectos en los métodos para monitorear el control glucémico en ERDM avanzados a través de este método, pues su correlación con la glucemia es muy variable, jerarquizando como herramienta el automonitoreo.
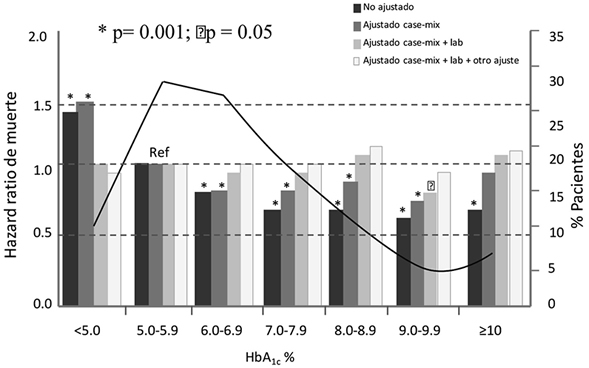
Se ha demostrado mayor mortalidad relacionada a mayores niveles de HbA1c, incluso en pacientes sin DM,(88) los resultados de los estudios son difíciles de extrapolar dado la diversidad de resultados obtenidos en otros. En un estudio realizado en Estados Unidos sobre 24.875 pacientes en diálisis con DM1 y DM2, no hubo diferencias con respecto a curvas de sobrevida y HbA1c evaluado durante 12 meses, concluyendo que deberían individualizarse los objetivos de HbA1c en esa población y no aplicar las mismas recomendaciones que a los pacientes sin ERC avanzada.(89) Kalantar-Zadeh y col., en una muestra de 23.18 pacientes en hemodiálisis se opuso a lo anteriormente mencionado, demostrando que niveles de HbA1c >10% se encontraban relacionados a un riesgo 41% mayor para mortalidad por causa cardiovascular y todas las causas. El seguimiento fue de 36 meses y se ajustó por inflamación y malnutrición.(90) Williams y col. en 2010, sostuvo que niveles de HbA1c en los extremos (inferior y superior) presentaban asociación con peor sobrevida (Figura 8) y que en ausencia de estudios randomizados y controlados, no se debería recomendar un control glucémico agresivo en todos los pacientes con DM en hemodiálisis, sosteniendo la propuesta de la individualización del tratamiento en este grupo poblacional.(91)

Como resultado de estos estudios y otros, es evidente que la asociación entre control glucémico y sobrevida es muy débil en el contexto de ESRD. Sin embargo, la mayoría de los estudios muestran que el riesgo de mortalidad en los pacientes en hemodiálisis está aumentando en valores bajos o altos (<6% ó >8%) o sea conforman una forma de “U”.(92) Los valores de riesgo de mortalidad dependen de la población estudiada.(93-94) Los valores de riesgo de mortalidad dependen de la población estudiada.(92-94)
Con la aparición del monitoreo continuo de glucosa, Beck RW(95) sugiere que el valor de HbA1c puede ser falaz para individualizar el tratamiento, por tratarse de un promedio que puede mostrar perfiles glucémicos diarios muy diferentes, con un mismo valor de HbA1c, aún en DM sin ER. Es probable, como vimos anteriormente, que la variabilidad se acentúa en ERDM en estadios avanzados.
Resumiendo podemos concluir que estimar control glucémico a través de la HbA1c puede ser útil en la evaluación del riesgo en una población, pero no parece ser parámetro que pueda ser considerado para la orientación en el tratamiento individual de ERDM en estadio avanzado para definir el perfil metabólico diario y poder proceder a la modificación terapéutica.
Cómo citar este artículo:: De'Marziani G, Elbert AE. Hemoglobina glicada (HbAa1c). Utilidad y limitaciones en pacientes con enfermedad renal crónica. Rev Nefrol Dial Traspl. 2018; 38(1):65-83.













