Casuística
Hemoperfusión en pacientes con enfermedades críticas e injuria renal aguda. Reporte de tres casos
Hemoperfusion in critically ill patients with acute kidney injury. Report of three cases
Hemoperfusión en pacientes con enfermedades críticas e injuria renal aguda. Reporte de tres casos
Revista de nefrología, diálisis y transplante, vol. 41, núm. 01, pp. 48-54, 2021
Asociación Regional de Diálisis y Trasplantes Renales de Capital Federal y Provincia de Buenos Aires
Recepción: 27 Abril 2020
Corregido: 26 Mayo 2020
Aprobación: 18 Junio 2020
Resumen: La hemoperfusión es una técnica de aclaramiento extracorpóreo de moléculas de mediano y gran peso molecular, lipofílicas y de alta unión a proteínas plasmáticas, basada en el principio físico de adsorción. Puede usarse de forma aislada o combinada con otras técnicas, como hemodiálisis convencional, hemodiálisis híbrida o terapia de reemplazo renal continua. Se reportan tres pacientes (dos con pancreatitis severa y uno con sepsis asociada a leptospirosis) que desarrollaron injuria renal aguda y fueron tratados mediante hemoperfusión combinada con hemodiálisis convencional en la Unidad de Cuidados Intensivos (UCI). Se evidenció depuración significativa de toxinas urémicas y citoquinas proinflamatorias, además de otras moléculas como enzimas digestivas y creatinfosfokinasa. El futuro de esta técnica adsortiva, innovadora en el tratamiento de condiciones sistémicas inflamatorias, requiere todavía de mayor evidencia para demostrar su utilidad para prevenir la mortalidad de pacientes críticos.
Palabras clave: hemoperfusión, injuria renal aguda, unidad de cuidados críticos, mortalidad, sepsis: hemodiálisis, diálisis renal.
Abstract: Hemoperfusion is a technique for extracorporeal clearance of medium and large molecular weight molecules, lipophilic and highly bound to plasma proteins based on the physical principle of adsorption. It can be used in isolation or in combination with other techniques such as conventional hemodialysis, hybrid hemodialysis or continuous renal replacement therapy. Three patients (two with severe pancreatitis and one with leptospirosis-associated sepsis) in which hemoperfusion combined with conventional hemodialysis in the Intensive Care Unit are reported. All three cases developed in addition to acute kidney injury. Significant clearance of uremic toxins and proinflammatory cytokines is evident, in addition to other molecules such as digestive enzymes and creatine phosphokinase. The future of this innovative adsorptive technique in the treatment of systemic inflammatory conditions requires even more evidence to demonstrate its benefit in the mortality of critically ill patients.
Keywords: hemoperfusion, acute kidney injury, critical care unit, mortality, sepsis, hemodialysis, renal dialysis.
INTRODUCCIÓN
La hemoperfusión, técnica de depuración extracorpórea, consiste en el paso de la sangre a través de materiales que adsorben solutos.(1) Fue utilizada por primera vez en 1948 por Muirhead y Reid con la finalidad de eliminar toxinas urémicas, sin embargo, su uso exclusivo para dicho fin ha sido descontinuado y la aplicación principal es para el manejo de intoxicaciones. Diversos estudios han mostrado su papel prometedor en la depuración de mediadores inflamatorios y su impacto para prevenir la mortalidad, principalmente en pacientes en estado crítico.(2) El presente reporte presenta los primeros tres pacientes en los que se usó la técnica de hemoperfusión en el Perú y una revisión de la literatura.
CASO CLÍNICO 1
Varón de 66 años, hipertenso, con antecedente de colecistectomía y de litiasis renal izquierda con manejo quirúrgico, admitido por dolor abdominal epigástrico de tres días de evolución, cuya intensidad aumentó progresivamente asociado a fiebre, náuseas, vómitos y deposiciones líquidas, produciendo deshidratación moderada. El abdomen estuvo distendido, con ruidos hidroaéreos disminuidos y doloroso a la palpación difusa. No tenía compromiso del estado de conciencia y la diuresis estaba conservada. La tomografía abdominal con contraste evidenció pancreatitis aguda biliar necrotizante Balthazar Grado E. La Tabla 1 muestra los parámetros clínicos y paraclínicos medidos al ingreso hospitalario.

Se diagnosticó injuria renal aguda (IRA) AKIN 3 por nefritis tubulointersticial y se indicó hemoperfusión (HP) con cartucho de hemoadsorción HA 330 (Jafron, Zhuhai City, China) por 3 horas, asociada a hemodiálisis (HD) los primeros tres días. La dosis de diálisis incremental fue calculada con la ecuación de Daurgidas, con porcentaje de reducción de urea inicial del 40% y una dosis de diálisis traducida en Kt/V de 1,3 al tercer día, lo que produjo una reducción de toxinas urémicas y mediadores inflamatorios. Al cuarto día continuó solo con HD y, luego de 43 días de estancia hospitalaria, el paciente fue dado de alta.(3-5) El Grafico 1 muestra los cambios en el nivel sérico de la proteína C reactiva (PCR) durante la HP.

CASO CLÍNICO 2
Varón de 72 años con diagnóstico de litiasis vesicular de un año de evolución, admitido por presentar, desde cinco días previos, dolor abdominal en hipocondrio derecho, de intensidad moderada, asociado a náuseas y vómitos. En mal estado general, con deshidratación severa. El abdomen estuvo distendido, con ruidos hidroaéreos disminuidos y doloroso a la palpación difusa. No mostró compromiso del estado de conciencia y desarrolló oliguria. La ecografía abdominal mostró signos de colecistitis aguda litiásica. La tomografía abdominal con contraste demostró pancreatitis aguda biliar Balthazar Grado D. Los parámetros clínicos y paraclínicos medidos al ingreso hospitalario se muestran en la Tabla 1.
Se diagnosticó IRA AKIN 3 por necrosis tubular aguda isquémica y se indicó HD híbrida (Fresenius Medical Care 4008 S) en la modalidad de diálisis de baja eficacia sostenida (SLED) de 6 horas por dos días consecutivos y con dosis de diálisis incremental calculada con la ecuación de Daurgidas modificada, para una reducción de urea inicial del 40%, lográndose reducción de la dosis de vasopresores (Noradrenalina: 0,06 ug/Kg/min). Al tercer día se prescribió HP con cartucho HA 330 (Jafron, Zhuhai City, China) por 3 horas asociado a HD (Fresenius Medical Care 4008 S) por tres días consecutivos con dosis de diálisis traducido en Kt/V de 1,23 inicial. Posteriormente se continuó solo con HD con Kt/V de 1,3 hasta el día 15 de estancia hospitalaria. Durante la evolución el paciente presentó sindrome compartimental abdominal y, finalmente, falleció por disfunción orgánica múltiple.(3-5) El Grafico 2 muestra los cambios en los niveles séricos de citoquinas proinflamatorias y enzimas digestivas durante la HP.

CASO CLÍNICO 3
Varón de 60 años, agricultor, con historia de cuatro días de dolor y edema del segundo dedo de pie derecho luego de mordedura de rata, fiebre, vómitos, ictericia, coluria y convulsiones, sintomatología que persistía a pesar del uso de antibióticos. Al examen clínico el paciente se encontró en mal estado general, con deshidratación moderada e ictérico. El abdomen fue blando, con ruidos hidroaéreos disminuidos, no doloroso a la palpación, sin visceromegalias. La escala de coma de Glasgow fue 14, con compromiso del habla. La ecografía abdominal mostró signos de hepatomegalia asociada a esteatosis hepática moderada. Los parámetros clínicos y paraclínicos medidos al ingreso hospitalario se muestran en la Tabla 1.
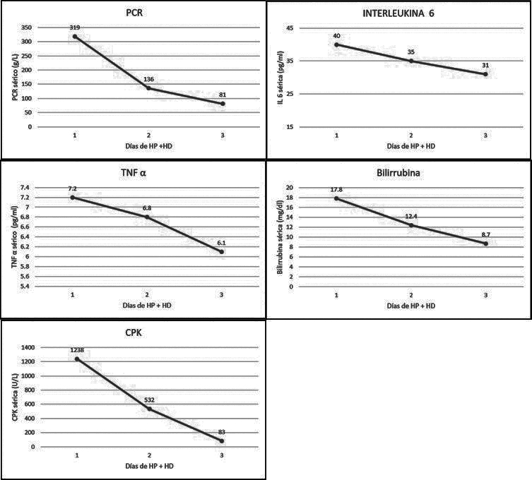
Se diagnosticó IRA AKIN 3 por nefritis tubulointersticial secundaria a sepsis por leptospirosis y se realizó HP con cartucho HA 330 (Jafron, Zhuhai City, China) por 3 horas asociada a HD diaria por tres días consecutivos, con dosis de diálisis incremental calculada con la ecuación de Daurgidas, porcentaje de reducción de urea inicial del 40% y una dosis de diálisis traducida en Kt/V de 1,24 al tercer día.(3-5) Se evidenció una reducción significativa de toxinas urémicas y mediadores inflamatorios, por lo que se decidió suspender la terapia de reemplazo renal (TRR) y se mantuvo el manejo conservador durante los 10 días ulteriores, luego del cual el paciente fue dado de alta. El Grafico 3 muestra los cambios de los niveles séricos de IL6, bilirrubina, CPK y PCR durante la HP, en tanto que el factor de necrosis tumoral alfa (TNFα) no varió en forma significativa.

DISCUSIÓN
La HP utiliza el principio biofísico de adsorción y elimina moléculas de la sangre o el plasma mediante su unión directa a la superficie de un elemento adsorbente que posee características físicoquímicas particulares.(1) Actualmente se dispone de una resina macroporosa neutra hecha de copolímero de estireno divinilbenceno como material adsorbente, cuyo diámetro oscila entre los 0,6-1 y 18 mm, y se encuentra dentro de un cartucho de hemoadsorción.(4, 6-7) La HP permite remover moléculas lipofílicas con alta unión a proteínas plasmáticas dentro de un amplio espectro de pesos moleculares, que exceden el límite de peso molecular removido con las TRR continua. Al respecto, son de particular importancia las citoquinas proinflamatorias cuyo peso oscila entre 6kD-51kD, la terapia puede usarse de forma aislada y también combinada con otras terapias extracorpóreas como HD convencional, HD híbrida y las diferentes modalidades de la TRR continua.(8) Debido a que la saturación del material adsorbente es dependiente del tiempo, la recomendación es utilizarlas por 2 a 3 horas, sin embargo, el tiempo puede ampliarse en las formas combinadas de acuerdo al objetivo terapéutico.(4-5)
En los tres casos reportados se utilizó HP con el cartucho HA330 combinada con HD (Figura 1 y 2), además del tratamiento estándar convencional requerido (hidratación, uso de vasopresores, soporte ventilatorio, terapia antimicrobiana). Se documentó el componente inflamatorio sistémico que movilizó moléculas de mediano y gran peso molecular, conllevando a complicaciones multiorgánicas, la IRA fue la más frecuente y representativa, lo que traduce interacción entre el sistema inmunológico y el ambiente.(9-10) Diversos estudios han planteado que la eliminación de las citoquinas inflamatorias a través de la HP ha limitado la progresión de daño tisular sistémico, disminuyendo la incidencia de complicaciones. Además se reporta que el uso del cartucho HA 330 ha permitido reconstruir el sistema inmune, incrementando las subpoblaciones de linfocitos T CD4, principal regulador de la respuesta inmune adaptativa.(8) Asimismo, Tsujimoto y col. demostraron que la HP reduce el número de monocitos CD 14 + y CD 16 +, así como la presencia de TLR4, mejorando la hemodinamia, oxigenación y reduciendo la tasa de mortalidad de pacientes con shock séptico.(11)


En los casos de pancreatitis biliar aguda severa se evidenció que la terapia combinada empleada disminuyó significativamente las concentraciones séricas de mediadores inflamatorios como IL6 y PCR en el 68% y el 35%, respectivamente, luego de las 72 horas de terapia combinada (Grafico 1 y 2), resultados que concuerdan con las conclusiones de Wang y col. al afirmar que la combinación de HP y HD tuvo un efecto favorable en pacientes con síndrome de disfunción multiorgánica, al remover efectivamente IL6 y TNFα, además de inhibir significativamente la activación de NF- κB.(12)
La eficacia de la HP sobre la remoción de PCR se ha demostrado en estudios realizados por Sato y col., quienes reportaron rápida disminución de los niveles séricos de PCR luego de la terapia realizada con HP con Polimyxina B en un paciente con toxicidad pulmonar con amiodarona,(13) asimismo, Li WH y col. reportaron disminución gradual de forma significativa de los niveles séricos de PCR en pacientes con ERCT que se sometieron a terapia combinada de HP y HD.(14) En este reporte también se evidenció reducción de los niveles séricos de enzimas digestivas como amilasa y lipasa en un 69% y un 82%, respectivamente (Grafico 2), un porcentaje menor a lo reportado por Li y col., quienes demostraron disminución de los niveles séricos de amilasa en un 90% luego de la terapia combinada en pacientes con pancreatitis aguda severa.(5)
De los dos pacientes con pancreatitis aguda biliar severa, uno falleció luego de la estancia en UCI, evento atribuible a las comorbilidades que presentó el paciente durante su evolución y a las limitaciones en abordaje precoz con la terapia estándar. En el caso de sepsis por leptospirosis se documentó aclaramiento significativo del 75% de los niveles séricos de PCR luego de 72 horas de la terapia combinada, contrastante con los cambios en los niveles séricos de IL6 y TNFα que mostraron disminución solamente del 23% y 16%, respectivamente (Grafico 3). Estos resultados concuerdan con lo reportado por Schädler, quien evidenció reducción promedio de 5-18% de los niveles séricos de IL6 por paso de sangre a través del cartucho CytoSorb en pacientes sépticos. Sin embargo, no observaron un impacto significativo en la mortalidad.(15) Asimismo, Huang y col. demostraron que la HP no solo tendría un efecto antiinflamatorio al reducir significativamente los niveles séricos de IL1, IL6 y TNFα, sino también mejoraría en la hemodinamia y la disfunción orgánica medida por el Score SOFA en 44 pacientes sépticos.(16) Coincidentemente, el estudio EUPHAS, un ensayo clínico randomizado controlado realizado en el 2009, mostró que la HP con Polimyxina B redujo efectivamente los niveles de citoquinas proinflamatorias (IL1, IL6 y TNFα), mejoró la disfunción orgánica y redujo la mortalidad al día 28 en pacientes con sepsis intraabdominal por GRAM negativos.(17)
Por otro lado, en el caso se evidenció disminución significativa de los niveles séricos de moléculas como la bilirrubina total y la creatinfosfoquinasa en un 51% y un 93%, respectivamente (Grafico 3), evento atribuible a la terapia combinada empleada, concordante con lo reportado por Li y col., quienes evidenciaron reducción significativa de los niveles séricos de bilirrubina total en un 60% luego de la terapia HP con filtro HA 330 y HD en 37 pacientes con pancreatitis aguda severa.(5) Lo anterior contrasta con lo reportado por Hu y col., quienes demostraron leve disminución de los niveles de bilirrubinas totales con el uso de filtro HA 330 II en una cohorte de pacientes con hepatitis B.(18) Estos resultados reflejan la capacidad del filtro HA 330 de adsorber también moléculas lipofílicas de alta unión a proteínas plasmáticas como la bilirrubina, sin embargo, es necesario controlar la depuración de dicha molécula en casos ulteriores a fin de determinar su eficacia.
La HP asociada a la HD ofrece beneficios a los esquemas clásicos de manejo de este tipo de pacientes, siendo de particular importancia la estabilización hemodinámica, la depuración de citoquinas proinflamatorias y la regulación de la respuesta inmune, factores que pueden modificar la evolución clínica del paciente crítico, sin embargo, la evidencia para evaluar su impacto en mortalidad a corto y largo plazo aún debe ser observada con más estudios.
BIBLIOGRAFÍA
1) Gurland HJ, Davison AM, Bonomini V, Falkenhagen D, Hansens S, Kishimoto T, et al. Definitions and terminology in biocompatibility. Nephrol Dial Transplant. 1994;9(Suppl. 2):4-10.
2) Muirhead EE, Reid AF. A resin artificial kidney. J Lab Clin Med. 1948;33(7):841-4.
3) Daurgidas JT, Blaker PG, Ing TS. Manual de diálisis. 5a ed. Barcelona: Wolters Kluwer, 2015.
4) Ankawi G, Fan W, Pomarè Montin D, Lorenzin A, Neri M, Caprara C, et al. A new series of sorbent devices for multiple clinical purposes: current evidence and future directions. Blood Purif. 2019;47(1-3):94-100. doi: 10.1159/000493523.
5) Li Z, Wang G, Zhen G, Zhang Y, Liu J, Liu S. Effects of hemodialysis combined with hemoperfusion on severe acute pancreatitis. Turk J Gastroenterol. 2018;29(2):198-202. doi: 10.5152/tjg.2018.17415.
6) Pomarè Montin D, Ankawi G, Lorenzin A, Neri M, Caprara C, Ronco C. Biocompatibility and Cytotoxic Evaluation of New Sorbent Cartridges for Blood Hemoperfusion. Blood Purif. 2018;46(3):187-95. doi: 10.1159/000489921.
7) Honoré PM, De Bels D, Barreto Gutierrez L, Spapen HD. Hemoadsorption therapy in the critically ill: solid base but clinical haze. Ann Intensive Care. 2019;9(1):22. doi: 10.1186/s13613-019-0491-1.
8) Liu LY, Zhu YJ, Li XL, Liang YF, Liang ZP, Xia YH. Blood hemoperfusion with resin adsorption combined continuous veno-venous hemofiltration for patients with multiple organ dysfunction syndrome. World J Emerg Med. 2012;3(1):44-8. doi: 10.5847/wjem.j.issn.1920-8642.2012.01.008.
9) Hato T, Dagher PC. How the innate immune system senses trouble and causes trouble. Clin J Am Soc Nephrol. 2015;10(8):1459-69. doi: 10.2215/CJN.04680514.
10) Weisheit CK, Engel DR, Kurts C. Dendritic cells and macrophages: sentinels in the kidney. Clin J Am Soc Nephrol. 2015;10(10):1841-51. doi: 10.2215/CJN.07100714.
11) Tsujimoto H, Ono S, Hiraki S, Majima T, Kawarabayashi N, Sugasawa H, et al. Hemoperfusion with polymyxin B-immobilized fibers reduced the number of CD16+ CD14+ monocytes in patients with septic shock. J Endotoxin Res. 2004;10(4):229-37. doi: 10.1179/096805104225005814.
12) Wang YT, Fu JJ, Li XL, Li YR, Li CF, Zhou CY. Effects of hemodialysis and hemoperfusion on inflammatory factors and nuclear transcription factors in peripheral blood cell of multiple organ dysfunction syndrome. Eur Rev Med Pharmacol Sci. 2016;20(4):745-50.
13) Sato N, Kojima K, Horio Y, Goto E, Masunaga A, Ichiyasu H, et al. Successful treatment of severe amiodarone pulmonary toxicity with polymyxin B-immobilized fiber column direct hemoperfusion. Chest. 2013;143(4):1146-50. doi: 10.1378/chest.12-0994.
14) Li WH, Yin YM, Chen H, Wang XD, Yun H, Li H, et al. Curative effect of neutral macroporous resin hemoperfusion on treating hemodialysis patients with refractory uremic pruritus. Medicine (Baltimore). 2017;96(12):e6160. doi: 10.1097/MD.0000000000006160.
15) Schädler D, Pausch C, Heise D, Meier-Hellmann A, Brederlau J, Weiler N, et al. The effect of a novel extracorporeal cytokine hemoadsorption device on IL-6 elimination in septic patients: A randomized controlled trial. PLoS One. 2017;12(10):e0187015. doi: 10.1371/journal.pone.0187015.
16) Huang Z, Wang SR, Su W, Liu JY. Removal of humoral mediators and the effect on the survival of septic patients by hemoperfusion with neutral microporous resin column. Ther Apher Dial. 2010;14(6):596-602. doi: 10.1111/j.1744-9987.2010.00825.x.
17) Hong B, Ling Z, Songmin H, Tao Z, Ruichao Y. Continuous venovenous hemofiltration and hemoperfusion in successful treatment of a patient with crush syndrome and acute pancreatitis. Ren Fail. 2012;34(3):383-6. doi: 10.3109/0886022X.2011.647370.
18) Hu XB, Gao HB, Liao ME, He MR. The use of HA330-II microporous resin plasma adsorption in the treatment of chronic severe hepatitis. Zhongguo Wei Zhong Bing Ji Jiu Yi Xue. 2007;19(12):760-1.
Notas de autor
luis.cruz.l@upch.pe
Información adicional
Cómo citar este artículo (How to cite this article):: Cruz Llanos LE, Valenzuela Córdova CR, León Rabanal CP, Cieza Zevallos JA. Hemoperfusión en pacientes con enfermedades críticas e injuria renal aguda. Reporte de tres casos. Rev Nefrol Dial Traspl. 2021; 41(1):48-54.
Conflicto de intereses:: Los autores declaran no poseer ningún interés comercial o asociativo que presente un conflicto de intereses con el trabajo presentado.