Original papers
Influence of gravity on torsional surface waves in a dissipative medium
Influence of gravity on torsional surface waves in a dissipative medium
Geofísica internacional, vol. 60, no. 1, pp. 1-13, 2021
Universidad Nacional Autónoma de México, Instituto de Geofísica
Received: 01 January 2019
Accepted: 02 December 2020
Published: 01 January 2021
Abstract: The present paper deals with the possibilities of propagation of torsional surface waves in a viscoelastic medium under gravity field. During the study it may observe that the increase in gravity parameter will increase the velocity of the wave whereas the increase in viscoelastic parameter, decrease the velocity of the wave till the product of angular frequency and viscoelastic parameter is less than unity. It may also observe that as the velocity increases, the curve becomes asymptotic in nature when the time period of oscillation increases. In fact the maximum damping in velocity has also been identified at this cut off point which may be considered as the point where a viscoelastic material becomes a viscous medium. The absorption coefficients have also been calculated for different values of viscoelastic parameter and gravity field. The study may reveals that viscoelastic half space in the absence of gravity field does not allow torsional surface waves whereas in presence of gravity field the waves are propagates and is damped.
Key words: Torsional surface wave, visco-elastic medium, gravity, absorption coefficient.
Resumen: El presente artículo trata sobre las posibilidades de propagación de ondas superficiales torsionales en un medio viscoelástico bajo campo de gravedad. Durante el estudio, se pudo observar que el aumento del parámetro de gravedad aumenta, a su vez, la velocidad de la onda, mientras que el incremento del parámetro viscoelástico disminuye la velocidad de la onda, hasta que el producto de la frecuencia angular y el parámetro viscoelástico sea menor a la unidad. También, se observó que a medida que aumenta la velocidad la curva se vuelve asintótica por naturaleza cuando se incrementa el período de tiempo de oscilación. De hecho, la máxima amortiguación de la velocidad también se ha identificado en este punto de corte, que puede considerarse como el punto en el que un material viscoelástico se convierte en un medio viscoso. Se calcularon los coeficientes de absorción para diferentes valores de parámetro viscoelástico y campo de gravedad. El estudio reveló que el medio espacio viscoelástico en ausencia de campo de gravedad no permite ondas superficiales de torsión, mientras que en presencia de campo de gravedad las ondas se propagan y amortiguan.
Palabras clave: onda de torsión superficial, medio viscoelástico, gravedad, coeficiente de absorción.
Introduction
In the last years, major progresses have been achieved in understanding the origin of the subduction and intraplate seismicity in central Mexico (i.e., García, 2007). For example, the advance in the knowledge of wave propagation from these events, as well as our capacity to estimate the ground motions due to such events. In contrast, the study of seismic events from the southeastern Mexico has been rather limited, in particular the region of the Tehuantepec Isthmus and the Chiapas State.
Southeastern Mexico is featured as a tectonically active zone associated with the interaction of the North American, Caribbean and Cocos tectonic plates. The first two plates are in lateral contact along the Polochic-Motagua Fault System. The Central America Volcanic Arc (AVCA; from the initials in Spanish) is due to the subduction of the Cocos plate beneath the North America to the north, and beneath the Caribbean plate to the south (Figure 1). This volcanic arc stretches more than 1,300 km from the Tacana active volcano, at the Mexico-Guatemala border, up to the Turrialba volcano in eastern Costa Rica. This subduction process in Mexico has given rise to the Chiapas Volcanic Arc (AVC; from the initials in Spanish) that irregularly extends in Chiapas up to El Chichón Volcano.

Pre-Mezosoic basement rocks are present in Central America (in Chiapas, Guatemala, Belice and Honduras). These rocks crop out south of the Yucatan-Chiapas block. The coast parallel Upper Precambrian-Lower Paleozoic Chiapas Massif covers a surface of more than 20,000 km2, and constitutes the largest Permian crystalline complex in Mexico, comprising plutonic and metamorphic deformations (Weber et al., 2006).
Three seismogenic sources feature this region. The first one is associated with the subduction of the Cocos plate beneath the North American plate (Figure 1). In this study it is considered that the contact between these two plates reaches a depth of 80 km (Figure 1, right panel). Kostoglodov and Pacheco (1999) analyzed six events from this source. They occurred on April 19, 1902 (M7.5), September 23, 1902 (M7.7), January 14, 1903 (M7.6), August 6, 1942 (M7.9), October 23, 1950 (M7.2), and April 29, 1970 (M7.3). For the September 23, 1902, and April 29, 1970 events, focal depths of 100 km beneath the Chiapas depression were reported by Figueroa (1973), which seems too large and probably related to scarce recordings. In the meantime, three major seismic events that took place in this region have been accurately localized by the SSN. These earthquakes are: September 19, 1993 (Mw 7.2) localized near Huixtla, Chiapas, with a focal depth of 34 km, November 7, 2012 (Mw 7.3), 68 km southwest of Ciudad Hidalgo, Chiapas, with a focal depth of 16 km and a reverse fault mechanism (severe damages affected San Marcos, Guatemala), and the Tehuantepec isthmus zone, September 7, 2017 (Mw 8.2), which constitutes the strongest historical earthquake recorded in Mexico, localized at 133 km southwest of Pijijiapan, Chiapas at a depth of 58 km. Its normal faulting focal mechanism adds to the controversy on the earthquakes of this region (an inverse faulting mechanism was expected). Also noteworthy is the number of aftershocks that amounted to 4,075 in 15 days, forming distributed clusters in all the Tehuantepec Gulf (special Report, SSN, Nov. 2017). Also contrasting are the observed peak accelerations. Even more, the peak accelerations at the horizontal components observed at the coast (NILT ~ 500 gals) contrast with the maximum values observed in stations located in the Chiapas depression (at stations TGBT and SCCB, values of ~ 300 ~ 100 gals, respectively). These contrasting values might be due to the Chiapas Massif that attenuates waves coming from the subduction zone. The second seismogenic source comprises the internal deformation of the subducted plate, and generates seismic events in a depth range between 80 and 250 km. An example is the October 21, 1995 (Mw 7.2) earthquake, localized 57 km from Tuxtla, Chiapas, at a depth of 165 km, which also shows variations in the peak accelerations observed at the recordings of this zone (Rebollar et al., 1999). Another deep seismic event occurred on June 14, 2017 (Mw 7.0), located 74 km to the northeast of Ciudad Hidalgo, Chiapas, with a focal depth of 113 km. The third seismogenic source corresponds to a less than 50 km depth crustal deformation that comprises shallow faults. Approximately 15 faults produce the observed seismicity. The associated seismic events are of moderate magnitudes that cause local damages, as reported by Figueroa (1973). Examples from this third source are the swarms with peak Mc 5.5, that occurred in Chiapa de Corzo during July-October, 1975 (Figueroa et al., 1975).
Considering the past seismic activity, here summarized, and the recent Tehuantepec earthquake (September 7, 2017, Mw8.2), it is of interest to analyze these seismic events to develop an attenuation model for the strong motion for southeastern Mexico (GMPE). In this study, based on the one stage maximum likelihood technique (Joyner and Boore, 1993), we developed empirical expressions to estimate the response spectra for the 5 per cent critical damping, peak ground acceleration (PGA), and peak ground velocity (PGV) for 86 seismic events.
As it is customary accepted, seismic ground motion can be roughly represented by three main factors: source, path, and site effects. This convolutional model is a crude approximation of reality, yet it is useful to assess significant characteristics of ground motion. The effects of surface geology, usually called site effects, can give rise to large amplifications and enhanced damage (see Sánchez-Sesma, 1987). In principle, transfer functions associated to sundry incoming waves with various incidence angles and polarizations can describe site effects. However, the various transfer functions are often very different partially explaining why the search for a simple factor to account for site effects has been futile so far. With the advent of the diffuse field theory (see Weaver, 1982; 1985; Campillo and Paul, 2003; Sánchez-Sesma et al., 2011a), it is established the great resolving power of average energy densities within a seismic diffuse field. The coda of earthquakes is the paradigmatic example of a diffuse field produced by multiple scattering (see Hennino et al., 2001; Margerin et al., 2009). In a broad sense, this is the case of seismic noise (Shapiro and Campillo, 2004) and ensembles of earthquakes (Kawase et al., 2011; Nagashima et al., 2014; Baena-Rivera et al., 2016). Therefore, according to Kawase et al. (2011) the EHVSR in a layered medium is proportional to the ratio of transfer functions associated to vertically incoming P and SV waves, without surface waves. Uniform and equipartitioned illumination give rise to diffuse fields (Sánchez-Sesma et al., 2006). In irregular settings, multiple diffraction tends to favor equipartition of energy in the diverse states: P and S waves and sundry surface (Love and Rayleigh) waves. Sánchez-Sesma et al. (2011b) showed that by assuming a diffuse wave field, the NHVSR can be modeled in the frequency domain in terms of the ratio of the imaginary part of the trace components of Green’s function at the source. This approach includes naturally the contributions from Rayleigh, Love and body waves.
In seismic zones, it seems reasonable to use recorded ground motions to compute the average energy densities of earthquake ground motions and assess by their ratios approximate average spectral realizations of site effects (Carpenter et al., 2018). Therefore, the use of a binary variable is clearly very rough and does not account for the presence of dominant frequencies excited during earthquake shaking. The average EHVSR approximately accounts for this. The GMPE has a regional use and they should be free of site effects in order to avoid bias in the model. This research aim is to approximately remove this effect.
In order to evaluate seismic hazard, site effects have to be incorporated back correcting the GMPE using HVSR with the appropriate corrections as proposed by Kawase et al. (2018). Note that HVSR is a proxy of empirical transfer functions in low frequencies with obvious underestimations in higher frequencies. In fact, several authors have stated that, the noise HVSR spectral ratio (NHVSR) provides a reasonable estimate of the site dominant frequency (see Nakamura, 1989). However, its amplitude is subject of controversy (i.e., Finn, 1991; Gutiérrez and Singh, 1992; Lachet and Bard, 1994). In very soft sedimentary environments the NHVSR, the EHVSR and the theoretical transfer functions are in reasonable agreement in low and moderate frequencies (Lermo and Chávez-García, 1994b).
The study of surface waves in a half space is important to seismologists and in understanding of the causes and estimation of damage due to earthquakes. Quite a good amount of information about the propagation of seismic waves is contained in the well-known book by Ewing et al. [11]. Numerous papers on the subject have been published in various journals. In fact, the study of surface waves for homogeneous, non-homogeneous and layered media has been a central interest to theoretical seismologists until recently. Of those, the commendable works by Vrettos [18,19] on surface waves in inhomogeneous medium may be cited. His studies give much information on the effects of non-homogeneity on surface waves caused by line loads. While much information available on the propagation of surface waves, such as Rayleigh waves, Love waves and Stonely waves etc., the torsional surface wave has not drawn much attention and only scanty literature is available on the propagation of such waves. Lord Rayleigh [17] in his remarkable paper showed that the isotropic homogeneous elastic half space does not allow a torsional surface wave to propagate. Later on, Meissner [16] pointed out that in an inhomogeneous elastic half space with quadratic variation of shear modulus and density varying linearly with depth, torsional surface waves do exist. Recently, Vardoulakis [20] has shown that torsional surface waves also propagate in Gibson half space, that is, a half space in which the shear modulus varies linearly with depth but the density remains unchanged. Georgiadis et al [12] has shown that torsional surface wave do exists in gradient elastic half space. Torsional surface waves in an initially stressed cylinder has been studied by Dey and Dutta [10]. The existence and propagation of torsional surface waves in an elastic half space with void pores has been discussed by Dey et al [3]. The propagation of torsional surface waves in a visco-elastic medium has been discussed by Dey et al [4]. The propagation of torsional surface wave in a non-homogeneous isotropic medium lying over a dissipative viscoelastic half space has been studied by Kakar et al [13]. Kumari et al [14] discussed theoretically on the propagation of torsional surface waves in a homogeneous viscoelastic isotropic layer with Voigt type viscosity over an inhomogeneous isotropic infinite half space. Propagation of torsional wave in a viscoelastic layer over a viscoelastic substratum of Voigt types has been studied by Kumari et al [15]. The propagation of torsional surface waves in a homogeneous substratum over a heterogeneous half space have been studied by the same author Dey et al.[5]. Propagation of torsional surface waves in non-homogeneous and anisotropic medium with polynomial and exponential variation in rigidity and constant density has been discussed by Dey et al [6]. Torsional surface wave can propagate in presence of gravity field whether the medium is elastic or dry sandy has been studied by Dey et al [7].In gravitating earth under initial stress regardless of whether medium is taken as sandy or elastic the torsional surface waves will always propagate has been studied by same authors Dey et al.[8]. The presence of initial stress effects the propagation of torsional surface waves in non-homogeneous anisotropic medium has been studied studied by Dey et al[9].
In the present paper attempt has been made to study the torsional surface wave in a dissipative medium under gravity field. It is observed that due to presence of viscoelastic parameter the wave will be damped a little, whereas the gravity field will increase the velocity of propagation. It has also been noted that the torsional surface wave will propagate in the medium under gravity even though the medium is isotropic and there is no dissipative term. The study also reveals that the viscous medium will give maximum damping due to viscosity. The absorption coefficient is seen to diminish as the time period of oscillation increases.
Formulation
For studying the torsional surface waves a cylindrical co-ordinate system is introduced, with z-axis toward the interior of the viscoelastic half space. The half space is under the action of gravity field. The origin of the co-ordinate system is located at the considered point source on the free surface as shown in figure 1. Let r and θ be radial and circumferential co-ordinate respectively. It is assumed that torsional wave travels the radial direction and all mechanical properties associated with it are independent of θ. For torsional surface wave u = w = 0 and v = v(r,z,t) the equation of motion for viscoelastic Voigt type under the action of gravity field may be written as Biot [2].
Where
ρ is the density of the medium,
μ is the modulus of elasticity of the medium,
μ’ is the viscoelastic parameter
and g is the acceleration due to gravity.
For the wave propagating along r direction one may assume the solution of (1) as
where V is the solution of
in which
the velocity of torsional wave
K, the wave number
the velocity of shear wave
a dimensionless quantity
Biot’s gravity parameter
and J0 , the Bessel’s function of the first kind and of zero order.
Substituting in equation (3) the first derivative term of V can vanish then we have
Again substituting
in equation (4) it may be reduced to
where
Equation (5) is known as the Whittaker equation [1] whose solution is
As the surface vanishes as depth increase so solution should vanish at z → ∞ , i.e. for η → - ∞, we may take the solution as
Hence, using equation (7) and putting the value of η, the solution of equation (1) may be written as,
Boundary Condition
The boundary condition for torsional surface waves propagating in viscoelastic medium under gravity is
Applying the above boundary condition then we have
Expanding Whittaker function and taking up to linear term as the surface wave vanish for higher depth (neglecting higher value of z), the velocity equation takes the form
where
Equation (11) shows that the torsional wave in viscoelastic medium under gravity will propagate and the velocity will be damped by the presence of viscoelastic parameter μ’=0.
In case the medium is elastic μ’=0, the velocity equation takes the form
In viscoelastic medium under gravity the wave is damped and the absorption coefficient is given by
per km.
where T is the time period of oscillation.
Numerical Calculation and Discussion of the Results
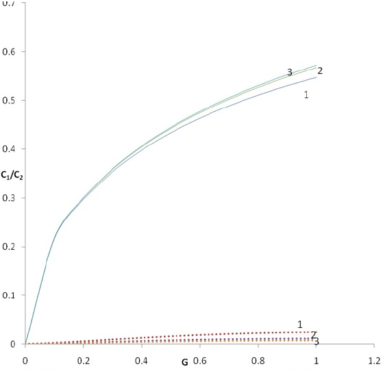
The real and imaginary parts of the velocity equation given in (11) have been computed for different values of and G. The real parts represent the velocity with which torsional surface wave should have been propagated and the imaginary part gives the damping effect of viscoelastic medium in the propagation. The difference between these two results will give the actual velocity of propagation of torsional surface waves. The absorption coefficient τ have also been calculated and presented in Fig.6. Figure. 2 gives the velocity of torsional waves together with damped velocity at different values of G and T at fixed values of as shown in table -1. This Figure shows that as the time period increases the velocity increases and the velocity is much affected by the presence of Biot gravity parameter but the damping is very small. Figure 3 gives similar representation for different values of as given in table -2 and is observed that as the diminishes the velocity of torsional wave increases.


In figure 4 the data are given in table-3 gives the velocity of torsional wave of different time period propagating in the medium and is observed that velocity is much damped when T =0.2 for This shows that when nearly unity the maximum damping of the wave takes place. equals to unity further physically means that viscoelastic medium become viscous and it is quite natural that maximum damping of the wave take place in the viscous medium.

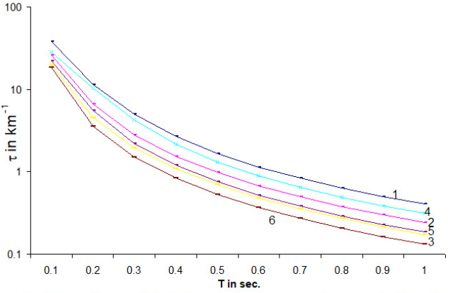
Figure 5 gives a similar exposition of the velocities of the wave for different values of as given in table-4. This fig. also confirms that when is nearly equal to unity maximum absorption of the wave velocity takes place. Figure 6 gives the magnitude of absorption coefficient for different values of and G at different time period of oscillation as given in table- 5. It is observed that damping is more for the slow waves.


Conclusions
From the above study the following conclusion can be drawn:
Irrespective of the medium (elastic or viscoelastic) without absence of gravity, the torsional wave does not propagate. But in presence of gravity it propagated and damped.
As torsional surface wave propagate in a dissipative medium under gravity, it gives two different wave fronts as equation (11) had two parts. The real part represents the velocity equation with which torsional surface wave should have been propagated and the imaginary part gives the damping effect of the medium.
As the time period of oscillation increases the absorption coefficient decreases which concluded that the absorption coefficient for wave with low frequency is less than that of the wave having higher frequency of oscillation.
References
Bell, W.W. Special functions for Scientists and Engineers, Dover Publications, New York, U.S.A. (1968)
Biot, M.A. Mechanics of incremental deformation, John Willey & Sons, New York (1965). .
Dey, S., Gupta, S. and Gupta, A. K. Torsional surface wave in an elastic half space with void pores, Int. J. Numer. Anal. Methods Geomech. 17, (1993), 197-204.
Dey, S., Gupta, A. K. and Gupta, S., Propagation of torsional surface waves in a viscoelastic medium Int. J. Numer. Anal. Methods Geomech. 19, (1996), 209-213.
Dey, S., Gupta, A. K. and Gupta, S., The propagation of torsional surface waves in a homogeneous substratum over a heterogeneous half space. Int. J. Numer. Anal. Methods Geomech. 20, (1996), 287-294.
Dey S, Gupta A. K. and Gupta S., Torsional surface waves in non-homogeneous and anisotropic medium, J. Acoust. Soc. Am., 99(5), (1996),2737-2741.
Dey S., Gupta A. K. and Gupta S., Propagation of torsional surface waves in dry sandy medium under gravity, Journal of Mathematics and Mechanics of Solids, 3,(1998) 229-235.
Dey S., Gupta A.K., Gupta S. and Prasad A.M.,Torsional surface waves in non-homogeneous Anisotropic Medium under initial stress, J. of Engg. Mech. (ASCE), 125,11,(2000),1120-1123.
Dey S., Gupta A.K. and Gupta S., Effect of gravity and initial stress on torsional surface waves in dry sandy medium, J. of Engg. Mech. (ASCE),128 ,10, (2002),1115-1118,.
Dey, S. and Dutta, D., Torsional wave propagation in an initially stressed cylinder, Proc. Indian Nat. Sci. Acad. A, 58, (1992), 425-429.
Ewing, W. M., Jardetzky, W.S., and Press., F., Elastic waves in layered Media, McGraw-Hill, New York, (1957).
Georgiadis,H.G., Vardoulakis,I., Lykotrafitis,G.,Torsional surface waves in a gradient-elastic half space. Wave Motion. 31,(2000), 333-348.
Kakar , R., Kaur, K. and Gupta, K. C.,Torsional Vibrations in a Non-Homogeneous Medium over a Viscoelastic Dissipative Medium, Int. J. Pure Appl. Sci. Technol., 14(2) (2013), 39-49.
Kumari, P., Sharma, V. K., Propagation of torsional waves in a viscoelastic layer over an inhomogeneous half space, Acta Mech 225, (2014), 1673-1684.
Kumari, P., Sharma, V. K. and & Modi, C., Torsional wave in a viscoelastic layer over aviscoelastic substratum of Voigt types, Journal of Earthquake Engineering, 20,( 2016), 1278-1294.
Meissner, E., Elastic oberflachenwellen mit dispersion in einem inhomogenen Medium, Viertelgahrsschriftder Naturforschenden Gesellschaft in Zurich, 66, (1921), 181-195.
Rayleigh Lord, Theory of sound, Dover, New York, (1945).
Vrettos, Ch., In plane vibrations of soil deposite with variable shear modulus II Line load, Int. J. Numer. Anal. Methods Geomech. 14, (1990), 649-662.
Verttos, Ch., In pulse vibrations of soil deposits with variable shear modulus I. Surface waves, Int. J. Numer. Anal. Methods Geomech. 14, (1990), 209-222.
Vardoulakis, I., Torsional surface wave in inhomogeneous elastic media, Int. J. Numer. Anal. Methods Geomech, 8, (1984), 287-296.
Author notes
* Corresponding author: pulakmath11@gmail.com