ARTIGO
Antecedentes del perfil del emprendedor brasileño de PYMES de los clusters industriales. Estudio del factor autoconfianza
Antecedentes do perfil do empreendedor brasileiro de pequenas e médias empresas de aglomerados industriais. Estudo do fator autoconfiança
Antecedents of Brazilian small and medium-size’s entrepreneur profile from industrial clusters. The self-trust factor study
Antecedentes del perfil del emprendedor brasileño de PYMES de los clusters industriales. Estudio del factor autoconfianza
Revista de Gestão dos Países de Língua Portuguesa, vol. 16, núm. 1, pp. 22-43, 2017
INDEG-IUL - ISCTE Executive Education
Recepción: 15 Abril 2016
Aprobación: 15 Octubre 2016
RESUMEN: Los estudios contemporáneos tratan de identificar el comportamiento y la formación del perfil emprendedor como promotor de diversos procesos económicos, sociales y culturales. La autoconfianza que debe tener un emprendedor es sin duda uno de los rasgos distintivos a este perfil, pero es poco discutida en la literatura sobre el tema. En este sentido, el trabajo investiga los elementos que componen la variable autoconfianza y su influencia en el resto de variables del perfil emprendedor (innovación, asunción de riesgos, toma de decisiones y creación de empresas). La metodología se desarrolla a partir de un cuestionario estructurado que incluía preguntas sobre una escala ordinal, aplicados al sector del mueble de Ubá en el estado de Minas Gerais, Brasil. Los resultados mostraron que la autoconfianza se asocia más a hablar de oportunidades y de no problemas.
Palabras clave: Confianza, Emprendimiento, Riesgo, Cadena de Innovación, Pequeñas Empresas, PYMES.
RESUMO: Estudos contemporâneos tratam de identificar o comportamento e a formação do perfil empreendedor como promotor de diversos processos econômicos, sociais e culturais. Embora a autoconfiança do empreendedor seja, sem dúvida, uma das características distintivas deste perfil, é, porém, pouco discutida na literatura sobre o tema. Neste sentido, a pesquisa investiga os elementos da variável autoconfiança e sua influência sobre outras variáveis do perfil empreendedor (inovação, gestão de riscos, tomada de decisões, criação de empresas). A metodologia é desenvolvida a partir de um questionário estruturado que incluiu perguntas, para respostas com escala ordinal, aplicado a empresários do setor moveleiro de Ubá no estado de Minas Gerais, Brasil. Os resultados mostraram que a autoconfiança associa-se mais a falar de oportunidades e não de problemas.
Palavras-chave: Confiança, Empreendedorismo, Risco, Cadeia de Inovação: Pequenas Empresas, PME.
ABSTRACT: Contemporary studies attempt to identify the behavior and training of entrepreneurial profile as a promoter of various economic, social and cultural processes. The self-trust that must have an entrepreneur is without doubt one of the distinguishing features within this profile. In this sense, the work provides the items that make up the construct of self-trust and their influence on the remaining variables of the entrepreneur profile (innovation, risks management, decision making and entrepreneurship). The methodology is developed from a structured questionnaire that includes questions on an ordinal scale, exposing the study of Ubá furniture sector located in the state of Minas Gerais, Brazil.
Key words: Trust, Entrepreneurship, Risk, Innovation, Innovation Chain, Small Businesses, SBE.
El proceso emprendedor transciende las fronteras empresariales. Es el resultado de la interacción de múltiples variables, donde evidentemente puede encontrarse la creación de empresas, innovación, redes, asunción de riesgo, entre otras. Basándose en estos preceptos, puede platearse que no existe un modelo único que identifique el perfil del emprendedor (Bojica, 2012) y a su vez sea aplicable a todos los contextos.
En sus cualidades personales también se han identificado variables como son la iniciativa, visión, coraje, firmeza, decisión, actitud humana de respeto, capacidad de organización y dirección (Leite, 2000), entre otras. Pero, a pesar de que la literatura muestra diversos aspectos de las características empresariales, los más estudiados son la necesidad de reconocimiento, seguridad, autorrealización, innovación, persuasión, disposición al riesgo y perseverancia. Por lo que no existe una evidencia concreta que muestre el estudio de la autoconfianza dentro de este tema con un enfoque empresarial. En cambio, el estudio de la confianza está siendo enfocado hacia lo interpersonal, su importancia en el desempeño empresarial, en las relaciones de trabajo y en el crecimiento de los negocios (Nayme et al., 2006; Fundão y Pires, 2014; Silva y Vasconcellos, 2014; Strobino y Texeira, 2014).
Si tenemos en cuenta que la confianza comprende tanto la noción de relevancia motivacional como la previsión (Deutsch, 1958), es un factor decisor en el aprovechamiento de oportunidades. En otro análisis, a pesar de que se establecen diferencias entre confianza personal e institucional (Hömann y Welter, 2005; Thai, 2013), se continúa abordando la temática desde la perspectiva de confiar en los otros y no como autoconfianza.
Resulta evidente que la confianza interpersonal es importante pues el emprendedor no es una persona aislada, tiene relacionamientos con proveedores, competidores, clientes potenciales, accionistas, y con su propia red de relaciones personales. Por lo general los estudios se centran en las redes sociales del emprendedor descuidando las redes empresariales como centro de las operaciones comerciales, empresariales y relacionales. Las cadenas de suministros son todavía un campo en proceso de sedimentación académica, tanto en los aspectos de delimitación conceptual como en las posibilidades operacionales en el ámbito gerencial (Chen, 2004).
En este estudio la cuestión principal trata sobre cuál es el papel de la autoconfianza en relación al perfil del emprendedor dentro de las relaciones con la cadena de suministros. Si bien el emprendedor es capaz de establecer lazos de confianza, el confiar en sí mismo puede ser el punto de partida para obtener mejores resultados en el aprovechamiento de las oportunidades.
DESTAQUE
La estructura de este trabajo es dividida en seis secciones. Para lograr una mejor comprensión y ofrecer respuesta a la interrogante de investigación, se inicia con una revisión de la literatura previa en la que se presenta el estado ¿? actual del perfil del emprendedor. A continuación, presentamos el modelo teórico que refleja la interacción de las variables dentro de dicho perfil, reflejando la importancia de la autoconfianza. Por último, se describen los resultados obtenidos, comentando posteriormente las conclusiones y las consecuencias derivadas de ellos, así como las futuras áreas de investigación.
Marco teórico e hipótesis
Existe una lógica de previsión del emprendedor, conocida como raciocinio causal (causa) que analiza el emprendimiento como un proceso previsible. Este pensamiento vinculado a un raciocinio causal creativo defiende la hipótesis de que en la medida que el futuro se pueda prever también se podrá controlar. Por otra parte, la lógica de la creación, identificada como raciocinio de acción (efecto) considera que el emprendimiento es un método de evaluación permanente. El emprendedor que se rige bajo esta lógica imagina nuevos fines posibles, utilizando un conjunto de medios (Bojica et al., 2012). Este último supone que en la medida que puede controlar el futuro no debe prever. Los principios de acción son la pérdida aceptable en relación a los resultados esperados y socios estratégicos en vez de análisis competitivo. Pero más que una implementación del conocimiento previo su objetivo es aprovechar al máximo las contingencias que puedan surgir.
Otro elemento que se analiza en este tipo de estudios es la orientación emprendedora, que consiste en permitir la orientación a la innovación, proactividad y la asunción del riesgo en las operaciones de la organización. El objetivo es crear nuevos productos, servicios y procesos o empresas (Lumpkin y Dess, 1996; Covin y Slevin, 1989). Se trata de una búsqueda activa de nuevas oportunidades emprendedoras, por lo que es considerado un factor clave para anticipar las necesidades de un mercado cada vez más dinámico y competitivo (Wang, 2008; Lumpkin y Dess, 1996).
En particular, la literatura ha hecho especial énfasis en la relación de la orientación emprendedora con el desempeño. Esta ha mostrado que las empresas que presentan niveles más elevados de orientación emprendedora tienen los mejores resultados comerciales, con mayores posibilidades de supervivencia y crecimiento (Lumpkin y Dess, 1996; Walter, Auer y Ritter, 2005; Wiklund y Shepherd, 2003; Rauch y Lumpkin, 2009).
Cubico et al. (2010) utilizan los siguientes factores para describir el potencial empresarial: orientación a la meta, tendencias hacia la creatividad y la innovación, el grado de determinación para alcanzar las metas y la percepción personal en cuanto a la manipulación general de situaciones de trabajo; Liderazgo, aptitudes hacia la gestión y el liderazgo; Adaptabilidad, capacidad para percibir los cambios ambientales y la adaptabilidad; Necesidad de logro, el deseo de fama, el éxito, la afirmación social y el respeto de los demás; Necesidad de auto-empoderamiento, el deseo de realización personal a través del puesto de trabajo que, además de los objetivos económicos, debe ser agradable, satisfactoria e interesante; Innovación, la curiosidad por lo nuevo; Flexibilidad, tendencia a reorientar los objetivos propios de acuerdo con la situación externa; Autonomía, necesidad de tener su propio espacio independiente para tomar decisiones y elecciones.
Siguiendo estos criterios, el perfil del emprendedor está determinado por diferentes factores por lo que podemos partir de las premisas de que la innovación (ID), asumir riesgos (RI), tomar decisiones (TM), la creación de empresas (CE) y autoconfianza (CI) son factores positivos en el perfil del emprendedor.
DESTAQUE
Partiendo de estas premisas, se entiende también que las nuevas empresas suelen ser más eficientes, forzando a las empresas existentes a innovar y ser más productivas en términos de competitividad. Los procesos dinámicos de creación de nuevos negocios presentan productos innovadores, procesos y estructuras organizacionales en la economía. Está demostrado en los estudios la integración existente entre la confianza y los modelos de adopción de las tecnologías (Belanche et al., 2012). La asunción de riesgos es inherente en el perfil del emprendedor.
H1a: La autoconfianza contribuye positivamente a la innovación en el perfil del emprendedor.
Estudios sobre emprendimientos en zonas rurales demuestran que hay una aversión al riesgo como factor que explica la falta de emprendimiento en estas regiones (Zhao et al., 2011). Esto es asociado a la experiencia empresarial previa, educación, vínculos sociales, confianza en amigos y familiares en momentos de crisis. ¿Será que esa actitud al riesgo también tiene una relación con la autoconfianza del emprendedor? La confianza es tal vez una de las características del emprendedor que más se destaca y es esto lo que explica en alguna manera la capacidad de asumir riesgos.
H1b: La autoconfianza del emprendedor aumenta la de asumir riesgos.
H1c: La autoconfianza del emprendedor valoriza positivamente la toma de decisiones.
H1d: La autoconfianza del emprendedor contribuye positivamente a la creación de empresas.
Ciertos autores como Ratten (2013), Sánchez Almagro (2003) y Quintana (1999) reconocen la presencia de rasgos de confianza individual dentro del perfil del emprendedor. En ese sentido, conjuntamente con Delgado (2011), también demuestran la influencia de las variables en la creación de empresas, innovación, toma de decisiones y riesgo. En las incidencias de las relaciones de confianza entre grupos, Pullés (2013) y Nyaga (2010) miden la confianza entre grupos de investigación, proveedores y clientes, demostrando que sus escalas poseen un carácter genérico en la demostración de lazos de confianza. Cada uno, a pesar de expresar visiones y aplicaciones diferentes, permiten la adaptación de sus escalas a nuestro estudio, utilizando el cuestionario como instrumentos de recolección.
La confianza aparece como un elemento facilitador de las relaciones, al propiciar beneficios como transferencia de conocimiento, el aprendizaje conjunto, el compartimiento de riesgos y costos asociados a la explotación de oportunidades (Martins, 2013). Por otra parte, estudios demuestran que dentro de los relacionamientos, la confianza genera valor al disminuir los costos en las transacciones (Dyer y Chu, 2003), derivando de esto una gran importancia para el factor confianza.
En este sentido definimos las siguientes hipótesis:
H2: La autoconfianza en el perfil del emprendedor refuerza los vínculos en las relaciones de la cadena de suministros (RCS).
El modelo completo se presenta en la Figura 1.

Metodología
A continuación, explicamos la metodología de investigación. En primer lugar, se presenta la muestra de estudio, su composición y plan de muestreo. A continuación, en la medida de lo posible, hemos desarrollado el instrumento de nuestra investigación con los objetos que miden los constructos mediante la adaptación de escalas existentes.
Muestra
Según Tomaél (2005) el sector de muebles es reconocido mundialmente como un sector tradicional, en el que han predominado las empresas familiares, especialmente las pequeñas y medianas empresas (PYMES). Las empresas investigadas son fabricantes de muebles localizadas en el estado de Minas Gerais, Brasil. Estas poseen un alto grado de diferenciación, en el cual la fragmentación del mercado permite la convivencia de empresas que atienden diferentes nichos, desde la fabricación de muebles para clases socioeconómicas distintas hasta propósitos diversos. Esto lo convierte en un sector atractivo para los emprendedores, por lo que es importante para el trabajo empírico de la investigación.
Hemos estudiado los emprendedores del sector de muebles de Ubá, una de las regiones industriales más importantes de la región de Minas Gerais. Para determinar el tamaño y selección de la muestra elegimos el método no probabilístico de conveniencia utilizado en otros estudios de casos con muestras pequeñas (Blasio y Veale, 2009). Al comienzo de la selección de estudios obtuvimos del Sindicato de Industrias de Muebles Ubá (Intersind) la lista de las empresas de fabricación de muebles. Fueron seleccionadas aquellas de reciente formación, con disposición a colaborar en investigaciones, en base a las experiencias con otras investigaciones, según los resultados del negocio y teniendo en cuenta las características de los directivos de estas empresas, los cuales son empresarios-propietarios. Esto nos proporcionó una muestra de 32 (n> 30) emprendedores de la industria de muebles de Ubá, válida para el análisis estadístico (Gallego, 2003).
Recolección de datos
Durante el proceso de recolección de datos se tomaron en cuenta algunos criterios teóricos y empíricos. En primer lugar, fue válido resaltar que la existencia de varias empresas en un mismo espacio geográfico no implica que se establezcan relacionamientos colaborativos (Pinheiro, 2013). Significa que no es una condición necesaria para que las empresas ubicadas en el Polo, tengan relaciones entre ellas.
Al analizar el Polo de muebles de Ubá, fueron importantes las referencias de los estudios previos realizados en este ámbito. Resultados del análisis cualitativo obtenido por Pinheiro (2013) exponen criterios que demuestran cómo los relacionamientos no colaborativos son los más frecuentes en este sector de muebles, independientemente que los empresarios reconozcan la importancia de la colaboración y de compartir información. También se caracteriza por registrar experiencias negativas tales como la copia de productos entre competidores que refuerza la percepción de riesgo y desconfianza. A penas en pequeños grupos de empresas es posible percibir relaciones racionales, resultantes de lazos de parentesco o amistad, los cuales se basan en la confianza y reciprocidad.
DESTAQUE
Otro de los criterios que se tienen en cuenta en el inicio y el desarrollo de la investigación es el criterio de la subjetividad que puede en investigaciones de naturaleza social limitar el resultado de percepción de los empresarios que conformaron la muestra (Xavier et al., 2008). La recolección de datos se llevó a cabo durante agosto y septiembre del 2014. El cuestionario diseñado fue aplicado a los 32 emprendedores de la muestra, permitiendo la realización del estudio y el establecimiento de conclusiones.
Componentes y análisis de datos
En el desarrollo de la investigación un elemento importante es la identificación de las variables, la cuales pueden asumir valores y características diferentes (Dancey y Reidy, 2006). La escala de concordancia está determinada en una escala ordinal que va desde “1 = Desacuerdo Totalmente” hasta “7 = Concuerdo Totalmente” siendo “4 = Ni concuerdo ni desacuerdo” opción media, marcando los números enteros (1-2-3-4-5-6-7). Su aplicación es también conocida como escala Likert, dada por el hecho de la alta confiabilidad obtenida en estudios anteriores (Pullés et al., 2013; Jayaram, Ahire y Dreyfus, 2010; Collado-Agudo et al., 2008), contrastada con una escala multi-items (Bojica et al., 2012).
Las escalas de medición utilizadas fueron validadas nuevamente teniendo en cuenta las propiedades psicométricas que precisan cumplir: unidimensionalidad, fiabilidad y validez (Malhotra et al., 2003; Meneses et al., 2014). Es necesario conocer que no existe una única línea metodológica para evaluar la propiedad de unidimensionalidad. El análisis factorial sigue siendo la herramienta más utilizada para determinar la dimensionalidad de un conjunto de ítems (León, 2006; Dancey y Reidy, 2006). Por lo que para determinar estos criterios aplicamos el análisis factorial del conjunto de ítems presentes en los factores del perfil del emprendedor y los relacionamientos, a través del SPSS 20.0, aplicando el método de componentes principales. El análisis factorial en cada una de las etapas permitió establecer cuáles son los componentes principales de la investigación, resultados que son reforzados con el test no paramétrico. A través de las ecuaciones estructurales se determinó el modelo estructural para corroborar las premisas e hipótesis identificadas.
Las preguntas relativas al cuestionario para determinar el comportamiento de las variables (ver Cuadros 1 y 2), se dirige a desvelar el nivel de aceptación y concordancia de los emprendedores del caso de estudio respecto a las variables del perfil del emprendedor (CI, ID, RI, TM, CE) y los RF, rRC y RO.


Resultados
La discusión sobre la validación de instrumentos de investigación presentados, se realizó a través del análisis factorial y la prueba no paramétrica procesados en el SPSS 20.0, mientras que para el análisis de ecuaciones estructurales es utilizado el programa Lisrel. Por último, esto permitió presentar los resultados de las pruebas de hipótesis.
Test de validación de los resultados
La estadística descriptiva del perfil del emprendedor (ver Tabla 1) muestra que los 32 son válidos en todos los ítems. Las medias de los valores en las escalas muestran que los directivos están entre concuerdo parcialmente (5) hasta concuerdo (6), siendo RI1 y RI3 los únicos ítems con concordancia parcial (3).
| N | Mín. | Máx. | Media | Desviación Típica | Varianza | Asimetría | |||
|---|---|---|---|---|---|---|---|---|---|
| Estadística | Error típico | ||||||||
| CI | CI1 | 32 | 4 | 7 | 5,59 | 1,132 | 1,281 | 0,037 | 0,414 |
| CI2 | 32 | 4 | 7 | 5,56 | 1,045 | 1,093 | 0,095 | 0,414 | |
| CI3 | 32 | 4 | 7 | 6,38 | 0,793 | 0,629 | -1,216 | 0,414 | |
| CI4 | 32 | 1 | 7 | 5,59 | 1,720 | 2,959 | -1,833 | 0,414 | |
| ID | ID1 | 32 | 1 | 7 | 4,91 | 1,553 | 2,410 | -0,551 | 0,414 |
| ID2 | 32 | 1 | 7 | 5,00 | 1,918 | 3,677 | -0,790 | 0,414 | |
| ID3 | 32 | 1 | 7 | 5,06 | 1,759 | 3,093 | -0,860 | 0,414 | |
| ID4 | 32 | 1 | 7 | 5,13 | 1,699 | 2,887 | -1,218 | 0,414 | |
| ID5 | 32 | 1 | 7 | 5,97 | 1,555 | 2,418 | -2,250 | 0,414 | |
| RI | RI1 | 32 | 1 | 6 | 3,44 | 1,501 | 2,254 | -0,207 | 0,414 |
| RI2 | 32 | 2 | 7 | 5,75 | 1,320 | 1,742 | -1,392 | 0,414 | |
| RI3 | 32 | 1 | 7 | 3,06 | 1,813 | 3,286 | 0,560 | 0,414 | |
| TM | TM1 | 32 | 1 | 7 | 4,31 | 1,786 | 3,190 | -0,650 | 0,414 |
| TM2 | 32 | 3 | 7 | 5,28 | 1,224 | 1,499 | -0,017 | 0,414 | |
| TM3 | 32 | 1 | 7 | 5,69 | 1,655 | 2,738 | -1,515 | 0,414 | |
| TM4 | 32 | 1 | 7 | 5,63 | 1,540 | 2,371 | -1,806 | 0,414 | |
| CE | CE1 | 32 | 1 | 7 | 5,31 | 1,942 | 3,770 | -1,149 | 0,414 |
| CE2 | 32 | 1 | 7 | 5,81 | 1,674 | 2,802 | -1,664 | 0,414 | |
| CE3 | 32 | 2 | 7 | 5,94 | 1,343 | 1,802 | -1,159 | 0,414 | |
Estadísticos descriptivos de las variables del PE
También se observa que existe suficiente variabilidad según la desviación típica (σ = Std. Devation). La estadística descriptiva de las variables correspondientes a los RCS posee un comportamiento similar (ver Tabla 2).
| N | Mín. | Máx. | Media | Desviación Típica | Varianza | Asimetría | |||
|---|---|---|---|---|---|---|---|---|---|
| Estadística | Error típico | ||||||||
| RF | RF1 | 32 | 3 | 7 | 6,44 | 0,914 | 0,835 | -2,105 | 0,414 |
| RF2 | 32 | 3 | 7 | 6,22 | 1,039 | 1,080 | -1,389 | 0,414 | |
| RF3 | 32 | 2 | 7 | 5,50 | 1,437 | 2,065 | -0,626 | 0,414 | |
| RC | RC1 | 32 | 4 | 7 | 6,28 | 0,958 | ,918 | -1,084 | 0,414 |
| RC2 | 32 | 3 | 7 | 6,19 | 1,061 | 1,125 | -1,264 | 0,414 | |
| RC3 | 32 | 1 | 7 | 5,56 | 1,625 | 2,641 | -1,153 | 0,414 | |
| RO | RO1 | 32 | 1 | 7 | 3,53 | 1,967 | 3,870 | 0,086 | 0,414 |
| RO2 | 32 | 1 | 7 | 4,44 | 1,813 | 3,286 | -0,256 | 0,414 | |
| RO3 | 32 | 1 | 7 | 4,63 | 1,601 | 2,565 | 0,009 | 0,414 | |
| RO4 | 32 | 1 | 7 | 4,94 | 1,917 | 3,673 | -0,726 | 0,414 | |
| RO5 | 32 | 1 | 7 | 3,56 | 1,900 | 3,609 | 0,198 | 0,414 | |
En el análisis factorial, comprobando todos los ítems que en conjunto deberán explicar el perfil del emprendedor se muestra cómo todos son reproducidos con más de un 75%. En los ítems ID y RI donde KMO es igual a 0,562 e 0,502, respectivamente, los valores se encuentran en el límite recomendable, lo que puede ser interpretado de tal manera que los resultados podrían no ser muy satisfactorios (ver Tabla 3). Sin embargo, todos los valores de la esfericidad de Bartlett tienen una Sig. menor que 0,05, tres de ellas con valor cero, lo que indica relaciones significativas entre las variables y por tanto la aplicabilidad del análisis factorial.
| PE | RCS | ||||||||
|---|---|---|---|---|---|---|---|---|---|
| CI | ID | RI | TM | CE | RF | RC | RO | ||
| Kaiser-Meyer-Olkin Measure of Sampling Adequacy (KOM) | 0,588 | 0,562 | 0,502 | 0,700 | 0,583 | 0,614 | 0,670 | 0,510 | |
| Bartlett's Test of Sphericity | Approx. Chi-Square | 21,900 | 36,556 | 14,823 | 23,993 | 17,917 | 33,863 | 31,980 | 41,036 |
| Df | 6 | 10 | 3 | 6 | 3 | 3 | 3 | 10 | |
| Sig. | 0,001 | 0,000 | 0,002 | 0,001 | 0,000 | 0,000 | 0,000 | 0,000 | |
En la variable CI se han identificado en un análisis inicial dos factores (ver Tabla 4), los cuales explican el 75,90% de la varianza acumulada. Un primer factor extraído formado por CI1 y CI2, tiene un criterio orientado al pensamiento positivo por lo que es posible ofrecerle la denominación de “índice de positivismo”. El siguiente factor extraído está formado por CI3 y CI4, haciendo referencia a la seguridad en las capacidades personales por lo que es denominado factor de “seguridad”.
En este primer análisis no se estaría cumpliendo con el criterio de unidimensionalidad, por lo que se elimina el ítem CI4 para obtener el factor dominante, basados en el criterio inicial de Kaiser de mantener los factores de mayor autovalor. El nuevo análisis factorial de la variable generó un KMO igual a 0,611 y un test de esfericidad de Bartlett igual a 0,000 (Chi-quadrado aprix. = 31,038; df = 6).
| Ítems | Análisis factorial con todos los ítems | Análisis factorial con reducción | Modelo Factorial | |
|---|---|---|---|---|
| Componentes | Componente | |||
| 1 | 2 | 1 | ||
| CI1 | 0,880 | 0,006 | 0,870 | CI1=0,870F1+UCI1 CI2=0,802F1+UCI2 CI3=0,686F1+UCI3 |
| CI2 | 0,813 | -0,078 | 0,802 | |
| CI3 | 0,601 | 0,631 | 0,686 | |
| CI4* | -0,388 | 0,828 | Excluidos | |
| ID5 | 0,916 | -0,145 | 0,906 | ID2=0,787F1+UID2 ID4=0,671F1+UID4 D5=0,906F1+UID5 |
| ID4 | 0,817 | - | 0,833 | |
| ID2 | 0,750 | 0,288 | 0,787 | |
| ID1* | -0,344 | -0,192 | Excluidos | |
| ID3* | -0,205 | 0,954 | ||
| RI1 | 0,901 | - | 0,903 | RI1=0,903F1+URI1 RI3=0,903F1+URI3 |
| RI3 | 0,899 | - | 0,903 | |
| RI2* | -0,128 | - | Excluidos | |
| TM4 | 0,893 | - | - | TM1=0,632F1+UTM1 TM2=0,671F1+UTM2 TM3=0,861F1+UTM3 TM4=0,893F1+UTM4 |
| TM3 | 0,861 | - | - | |
| TM2 | 0,671 | - | - | |
| TM1 | 0,632 | - | - | |
| CE2 | 0,878 | - | - | CE1=0,781F1+UCE1 CE2=0,878F1+UCE2 CE3=0,694F1+UCE3 |
| CE1 | 0,781 | - | - | |
| CE3 | 0,694 | - | - | |
La variable CI tampoco cumple con la característica de unidimensionalidad en el primer análisis (ver Tabla 4). Teniendo en cuenta su composición el factor uno está representado por ítems relacionados a ideas innovadoras (ID5, ID4, ID2), en cuanto al factor dos, va dirigido a la solución de problemas (ID3). Según Comrey y Lee (1992) cargas factoriales menores que 0,32 son consideradas pobres. Por tanto, los ítems ID1 y ID3 tienen valores absolutos por debajo de los aceptables en los factores identificados, lo que permite que sean excluidos dada su carga factorial.
La variable RI a pesar de que en el primer análisis se obtiene un único factor, éste explica el 54,53% de la varianza total. Sin embargo, el ítem RI2 es excluido en el análisis debido a que su carga factorial no es representativa. En correspondencia, las variables TM y CE, se representan en factores únicos, cumpliendo la característica de explicar estos componentes.
En relación a las cargas factoriales de los RF, estas resultan significativas con valores superiores al 68%, extrayendo de ellas el modelo factorial de cada ítem (ver Tabla 5). En este caso se cumple la propiedad de unidimensionalidad generando un solo componente con el 65% de la varianza total explicada. Esta situación se repite en la variable RC con cargas factoriales mayores al 75% y un 58% de la varianza total explicada.
| Ítems | Análisis factorial con todos los ítems | Análisis factorial con reducción | Modelo Factorial | |
|---|---|---|---|---|
| Componentes | Componente | |||
| 1 | 2 | 1 | ||
| RF2 | 0,911 | - | - | RF1=0,893F1+URF1 RF2=0,911F1+URF2 RF3=0,687F1+URF3 |
| RF1 | 0,893 | - | - | |
| RF3 | 0,687 | - | - | |
| RC2 | 0,907 | - | - | RC1=0,876F1+URC1 RC2=0,907F1+URC2 RC3=0,788F1+URC3 |
| RC1 | 0,876 | - | - | |
| RC3 | 0,788 | - | - | |
| RO4 | 0,918 | 0,142 | 0,863 | RO2=0,71F1+URO2 RO3=0,51F1+URO3 RO4=0,86F1+URO4 RO5=0,80F1+URO5 |
| RO5 | 0,879 | 0,118 | 0,803 | |
| RO1 | -0,134 | 0,858 | Excluido | |
| RO2 | 0,372 | 0,752 | 0,705 | |
| RO3 | 0,207 | 0,578 | 0,507 | |
Sin embargo, la variable RO, no cumple con la unidimensionalidad por lo que el ítem RO1 fue eliminado. Las cargas factoriales de este ítem no resultan significativas por lo que según el criterio de Kaiser debería excluirse del estudio (ver Figura 2). De esta forma se un obtiene un solo componente que explica la variable estudiada.

En sentido general, las escalas cumplen también con las características de fiabilidad y validez (ver Tabla 6), con excepción de CE que presenta valores de Alpha de Cronbach inferiores al límite deseable, esto es, inferior a 0.7. Estos resultados implican que es posible continuar con el estudio del perfil del emprendedor, teniendo en cuenta que las variables identificadas cumplen con las características necesarias para análisis robustos.
| Ítems Excluidos | Varianza Total Explicada (%) | Alpha de Cronbach | Alpha de Cronbach con base en Ítems padronizados | Media General | No. Ítems | |
|---|---|---|---|---|---|---|
| CI | CI4 | 62,387 | 0,711 | 0,723 | 5,92 | 4 |
| ID | ID1 y ID3 | 71,169 | 0,786 | 0,795 | 5,36 | 3 |
| RI | RI2 | 81,48 | 0,764 | 0,773 | 3,25 | 2 |
| TM | - | 59,705 | 0,760 | 0,766 | 5,23 | 4 |
| CE | - | 62,039 | 0,685 | 0,689 | 5,68 | 4 |
| RF | - | 69,333 | 0,736 | 0,778 | 6,05 | 3 |
| RC | - | 73,729 | 0,776 | 0,820 | 6,01 | 3 |
| RO | RO1 | 53,590 | 0,706 | 0,699 | 4,39 | 4 |
Validación del modelo propuesto
El análisis no paramétrico de las variables resultantes permitió conocer su comportamiento en la muestra estudiada (ver Tabla 7). Según la interpretación de los resultados, ocurren con igual probabilidad los ítems CI1 y CI2, aceptando las hipótesis nulas, así como se rechazan CI3 y CI5. Por lo que se interpreta que la autoconfianza de los emprendedores está asociada más al hecho de hablar sobre las oportunidades que de los problemas, considerando que pueden dominar buena parte de las adversidades que surgen en su entorno. Esto se considera una actitud positiva, sin embargo podría implicar un alto riesgo de que se estén acumulando problemas al ignorarlos.
| Sig.* | Decisión ** | ||
|---|---|---|---|
| CI *** | CI1 | 0,355 | Retener Hipótesis Nula |
| CI2 | 0,355 | Retener Hipótesis Nula | |
| CI3 | 0,000 | Rechazar Hipótesis Nula | |
| ID *** | ID2 | 0,092 | Retener Hipótesis Nula |
| ID4 | 0,027 | Rechazar Hipótesis Nula | |
| ID5 | 0,000 | Rechazar Hipótesis Nula | |
| RI *** | RI1 | 0,017 | Rechazar Hipótesis Nula |
| RI3 | 0,125 | Retener Hipótesis Nula | |
| TM *** | TM1 | 0,087 | Retener Hipótesis Nula |
| TM2 | 0,269 | Retener Hipótesis Nula | |
| TM3 | 0,010 | Rechazar Hipótesis Nula | |
| TM4 | 0,003 | Rechazar Hipótesis Nula | |
| CE *** | CE1 | 0,000 | Rechazar Hipótesis Nula |
| CE2 | 0,000 | Rechazar Hipótesis Nula | |
| CE3 | 0,000 | Rechazar Hipótesis Nula |
Según este resultado asumimos previamente el criterio de que dichos emprendedores podrían estar utilizando los escasos recursos que poseen para buscar oportunidades. Al hablar solo de este hecho, podemos decir que quizá no estén solucionando sus problemas inmediatos, o carezcan de la capacidad para hacerlo. Esto sugiere que los negocios conviven con problemas que no son resueltos pues se prefiere hablar de nuevas oportunidades. En este sentido volvemos a los análisis anteriores sobre cómo el emprendimiento es relacionado a las oportunidades y cuál es la brecha entre una oportunidad y un problema.
Los problemas existen cuando se detecta una brecha entre el desempeño deseado y el existente (Hitt, 2006), siendo un resultado obtenido. Por lo que este autor es claro en su análisis al determinar que aun cuando hablemos de problemas y su búsqueda por solucionarlos, también encontraremos oportunidades. Y es aquí donde según el autor, el papel de la percepción juega un elemento fundamental en base a la experiencia, necesidades actuales y personalidad del empresario. En otro nivel del análisis, de acuerdo con Valera (2003) la autoconfianza es identificada como una competencia central de los individuos, clasificada como competencias puras que conforman las habilidades cognoscitivas para facilitar la relación entre el desempeño individual y el organizacional. En esencia, define autoconfianza como personalidad.
Por tanto, basados en estos dos análisis sobre la percepción de un problema u oportunidad y la autoconfianza identificada como personalidad, podemos discernir que el hecho de hablar más de oportunidades que de problemas o viceversa, está en dependencia de la percepción sobre el asunto. Implica que podremos estar tratando un mismo tema en circunstancias diferentes y percibir en un momento problemas y en otros casos, oportunidades. Que los empresarios hablen más de oportunidades que de problemas puede significar que su autoconfianza les proporcione una visión positiva donde otros pudieran encontrar dificultades. Y esa actitud no implica que no solucionen problemas.
En relación a la variable ID, los empresarios del estudio, incentivan el intercambio de ideas para aumentar la capacidad en el trabajo diario. No obstante, a pesar de que los resultados de CI estuvieron alrededor de las oportunidades, en términos de innovación no ocurre con igual sentido la atracción por nuevas oportunidades empresariales, ni trabajar con profesionales innovadores. Esta aparente contradicción en el perfil de los emprendedores se debe a que una vez establecidos sus negocios, las decisiones se basan en mantenerse en el mercado captando nuevos clientes.
Este criterio es reforzado en el análisis de la variable TM, donde son aceptados los ítems relativos a generar soluciones creativas y aprovechar los cambios del mercado. Tomar decisiones es sin duda una de las características más importantes en los emprendedores; por tanto, la rapidez y seguridad en los procesos de decisión pueden conducir al éxito o no de los emprendimientos. No obstante, en el resultado obtenido, se muestra que estos emprendedores no priorizan las decisiones de los asuntos críticos ni consideran desarrollar estrategias para aprovechar oportunidades que aún no han sido descubiertas por la competencia. Si vinculamos esto al análisis realizado de la autoconfianza, entonces sí podemos decir que los emprendedores del estudio están descuidando sus problemas, e incluso las oportunidades que podrían ofrecerles una ventaja competitiva.
DESTAQUE
Quizás por esto, en estudios realizados con anterioridad los emprendedores de muebles no muestren señales de liderazgo. Es sabido que las cadenas de muebles no son líderes en las redes de suministros en las que participan. Los empresarios parecen ser personas que apenas captan bien los cambios del mercado con una visión comercial, sin valorizar otras áreas funcionales de la empresa.
En otro sentido, los emprendedores al rechazar la hipótesis correspondiente a RI1, tienen la percepción positiva de que en la asunción de riesgos no se tiene en cuenta el análisis intuitivo, pues consideran más importante el análisis del plan de negocios. Esto resulta significativo pues indica que algunos de ellos desarrollan técnicas y estrategias empresariales propias de las ciencias administrativas. De cualquier forma, aceptar RI3 implica que los resultados de estos planes de negocio son definidos por factores causales, lo que conduce a la escasa aplicación de proyección.
A pesar de que los emprendedores que conforman la muestra son dueños de empresas, el análisis no paramétrico de CE rechaza todas las hipótesis debido a que estas no ocurren con la misma probabilidad. Tomando en consideración el planteamiento de los ítems, significa que no existe una generalización en la selección de los socios por su competencia en el sector (clientes, proveedores y accionistas). De la misma forma, tampoco se utilizan sistemas de control de costos de producción y de operaciones. Ni todos los emprendedores creen que es necesario dedicar tiempo a planificar el futuro del negocio en función de tener mejores resultados.
El análisis no paramétrico de las variables RCS, permitió establecer que los emprendedores mantienen buenas relaciones con los proveedores, clientes y competidores (ver Tabla 8). Aunque es apenas un criterio de percepción. Los resultados comparativos realizados por Macedo (2014), ubican a las empresas del sector de muebles de Ubá, en el séptimo y decimoquinto lugar de ranking de confianza en el relacionamiento con proveedores y clientes, siendo superados en número por otros sectores como Arapongas, Bento Gonçalves y Mirassol, siendo este último el de mayores resultados de confianza.
| Sig.* | Decisión ** | |
|---|---|---|
| RF *** | 0,274 | Retener Hipótesis Nula |
| RC *** | 0,605 | Retener Hipótesis Nula |
| RO *** | 0,848 | Retener Hipótesis Nula |
Análisis estructural del modelo
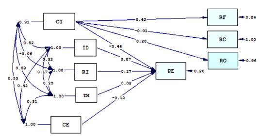
Para realizar la comprobación del modelo, fue posible aplicar el método de ecuaciones estructurales. Los coeficientes del gráfico del modelo estructural están definidos a través de la aplicación del programa Lisrel 9.1 (Student), que permiten, en la Figura 3, mostrar las pruebas de hipótesis y los resultados de las interacciones del modelo.
Se muestra en esta figura como la ID tiene un fuerte efecto positivo sobre el PE.. La RI y la TM no poseen un efecto tan fuerte. Entonces puede plantearse que las premisas relativas a estos ítems no se cumplen totalmente en la muestra seleccionada. En cambio, la CE posee un efecto negativo débil, lo que implica no es una característica que se cumple desde la percepción de los emprendedores encuestados. Significa que crear la empresa y ser dueños de la misma no es lo que les identifica como emprendedores.
En relación a la variable CI tiene un fuerte efecto en el perfil del emprendedor, lo que conlleva a establecer su presencia en los perfiles estudiados, aunque según su percepción es que esta autoconfianza afecta negativamente sus antecedentes emprendedores. Esto refuerza el planteamiento del marco teórico de Bojica et al. (2012) de que no existe un único perfil emprendedor.

La evaluación de cómo la CI impacta las restantes variables dentro del perfil del emprendedor, demuestra que CI impacta fuertemente de manera positiva ID y CE, cumpliendo H1a, H1d. Su efecto en TM es en cambio más débil pero positivo por lo que puede comprobarse H1c. Un resultado relevante, independientemente de que no se soporta H1b, es que esta variable tiene un singular efecto negativo en RI.
DESTAQUE
La otra fase del estudio es cómo la autoconfianza incide en las relaciones con proveedores y clientes. Los resultados de Martins (2013) demuestran que la confianza en los relacionamientos verticales ofrece beneficios relacionales. Entre tanto, el estudio de Macedo (2014) sobre la confianza en las relaciones inter-organizacionales demuestra que los empresarios que confían en sus competidores también confían en sus proveedores y clientes. Al comprobar estas hipótesis desde la perspectiva de la autoconfianza, obtenemos que C impacta positivamente los RF y RO, pero no tiene una percepción positiva en la relación con los clientes. No obstante, dado el fuerte efecto con RF y RO, la hipótesis H2 es soportada en el modelo. Por tanto, nuestros resultados apuntan que si bien la confianza según Macedo (2014) es lo que permite relacionarse con sus competidores y obtener mejores beneficios, la autoconfianza que en sí mismo tiene el empresario también determina esa relación y sus resultados.
Discusión, implicaciones y conclusiones
Como hemos planteado en el trabajo, el espectro de la confianza va desde la economía a la psicología, pasando por la sociología y las ciencias políticas. El resultado es una variedad de definiciones y conceptos. Este componente crea expectativas sobre eventos que ocurren en el futuro. Por tanto, la posibilidad de sufrir algún tipo de pérdida si la confianza no fuera correspondida encierra un elemento de riesgo. También la confianza se relaciona con la fe en las personas, que está probablemente ligada al hecho de que alguien mantendrá su palabra (Robinson y Jackson, 2001) moderada por constructos culturales (Jayaram et al., 2010; Ribbink y Grimm, 2014). Estas definiciones están ligadas a la confianza interpersonal.
En el estudio realizado, la pregunta de investigación fue orientada hacia el papel de la autoconfianza en el perfil del emprendedor y las relaciones en la cadena de suministros. Respondiendo la cuestión, una de las interpretaciones realizadas es que en relación a los resultados los empresarios del sector de muebles de Ubá no planifican, ni controlan, ni valorizan el conocimiento técnico que podría ayudar y apoyar al negocio. Por lo que pueden no realizar una buena gestión de negocios. Esto significa que los emprendedores estudiados siguen la lógica de raciocinio de acción, definida en el marco teórico (Bojica et al., 2012).
El emprendedor bajo este concepto es exageradamente autoconfiante en sus capacidades de captar oportunidades de mercado. De alguna forma, en el formato en que es modelado, el negocio depende entonces de esta capacidad del emprendimiento y de su presencia frecuente en eventos de la red de suministros, tales como ferias, reuniones, visitas y negociaciones. De esta manera, los empresarios parecen ser alentados a relacionarse. Es una forma de compensar otras fragilidades de gestión.
Según estudiosos del tema, la confianza es particularmente importante en momentos de ignorancia sobre lo que la otra parte podría haber hecho y sus acciones futuras (Kim, 2008). Es por esto que la confianza es asociada directamente con el riesgo, en forma de antecedente o como resultado. En el trabajo realizado, la relación entre la autoconfianza y asumir riesgos fue negativa, a pesar de no cumplirse el supuesto planteado, se considera relevante demostrar que al igual que la confianza interpersonal incide negativamente en la percepción del riesgo (Kim, 2008), la autoconfianza podría tener el mismo efecto en los emprendedores pues esa percepción puede estar incidiendo significativamente en la asunción de riesgos.
Son recurrentes en la literatura los planteamientos de que la creación de empresas es un elemento importante en perfil del emprendedor, pero no determinante. Según el caso estudiado estas teorías se refuerzan al demostrar que a pesar de que la muestra era formada por directivos dueños de empresas, estos no consideran a la CE como un factor relevante del PE. Sin embargo, en respuesta de la investigación, la autoconfianza puede determinar este factor.
Finalmente, encontramos que la autoconfianza juega un papel fundamental en las relaciones, en lo principal con proveedores y competidores, independiente de que su impacto sea positivo o no. Como limitación de la investigación es válido señalar el periodo de realización de la misma, pues según los comentarios de los propios encuestados existía en Brasil un alto sentimiento de desconfianza.
En las futuras líneas de investigación, pretendemos ampliar el tamaño de la muestra y analizar la interacción de la autoconfianza con variables como el desempeño empresarial de los emprendedores. Estas potenciales investigaciones son incentivadas también por estudios realizados sobre el papel mediador entre la confianza y el desempeño organizacional (Fundão, 2014), los cuales podrían ofrecer una mejor explicación sobre los resultados de la confianza.
Agradecimientos
La financiación de este proyecto ha sido proporcionada por FAPEMIG - Fundación de Apoyo a la Investigación del Estado (Minas Gerais, Brasil).
Referencias bibliográficas
BELANCHE, D.; CASALÓ, L. y FLAVIÁN, C. (2012), “Integrating trust and personal values into the technology acceptance model: the case of e-government services adoption”. Cuadernos de Economía y Dirección de la Empresa, pp. 192-204.
BLASIO, A.D. y VEALE, R. (2009), “Why say sorry? Influencing consumer perceptions post organizational crises”. Australasian Marketing Journal, vol. 17, pp. 75-83.
BOJICA, A.; RUIZ, M. y FUENTES, M.D. (2012), “La adquisición de conocimiento a través de relaciones interorganizativas y la orientación emprendedora: el papel del capital social de segundo grado”. Cuadernos de Economía y Dirección de Empresas, vol.15, pp. 141-153.
CHEN, I. e PAULRAJ, A. (2004), “Towards a theory of supply chain management: the constructs and measurements”. Journal of Operations Management, vol. 22, pp. 119-150.
COLLADO-AGUDO, J.; RODRÍGUEZ DEL BOSQUE, I. y SAN MARTÍN GUTIÉRREZ, H. (2008), “Análisis del efecto moderador de la estructura de la interdependencia sobre la relación entre la confianza y la satisfacción en relaciones fabricante-distribuidor”. Cuadernos de Economía y Dirección de la Empresa, vol. 35, pp. 057-090.
COVIN, J. y SLEVIN, D. (1989), “Strategic management of small firms in hostile and benign environments”. Strategic Management Journal, vol.10(1), pp. 75-87.
CUBICO, S.; BORTOLANI, E.; FAVRETTO, G. y SARTORI, R. (2010), “Describing the entrepreneurial profile: the entrepreneurial aptitude test (TAI)”. International Journal of Entrepreneurship and Small Business, vol. 11(4), pp. 424-435.
DANCEY, C.P. y REIDY, J. (2006), Estatística sem Matemática para Psicologia. Artemed, Porto Alegre.
DELGADO-VERDE, M.; MARTÍN-DE-CASTRO, G.; NAVAS-LÓPEZ, J. y CRUZ-GONZÁLEZ, J. (2011), “Capital social, capital relacional e innovación tecnológica. Una aplicación al sector manufacturero español de alta y media-alta tecnología”. Cuadernos de Economía y Dirección de la Empresa, vol.14, pp. 207-221.
DEUTSCH, M. (1958), “Trust and Suspicion”. Journal of Conflict Resolution, vol. 2(4), pp. 265-279.
FUNDÃO, M.T. y PIRES, C. (2014), “O papel mediador entre confiança e desempenho organizacional”. Revista de Administração da USP-Rausp, vol. 49, pp. 45-58.
GALLEGO, R. S. (2003), Introducción al análisis de Datos Experimentales: Tratamiento de Bioensayos. (2a ed.). Jaume I: Universidad de Jaume I.
GARTNER, W. (1985), “A conceptual framework for describing the phenomenon of new venture creation”. Academy of Management Review, vol. 10(4), pp. 696-706.
HITT, M. A. (2006), Administración. (9na eds). Pearson Educación, México.
HÖMANN, H.-H. y WELTER, F. (2005), Trust and Entrepreneurship. Edward Elgar, Alemania.
JAYARAM, J.; AHIRE, S. y DREYFUS, P. (2010), “Contingency relationships of firm size, TQM duration, unionization, and industry context on TQM implementation: A focus in total effects”. Journal of Operations Management, vol. 28(4), pp. 345-356.
KIM, D.J.; FERRIN, D. y RAO, R. (2008), “A trust-based consumer decision-making model in electronic commerce: The role of trust, perceived risk, and their antecedents”. Decision Support Systems, vol. 44, pp. 544-564.
LEITE, E. (2000), O Fenômeno do Empreendimento: Criando Riquezas. Bagaço, Recife.
LEÓN, A.B. (2006), “La unidimensionalidad de un instrumento de medición: Perspectiva Factorial”. Revista de Psicología, vol. XXIV(1), pp. 53-80.
LUMPKIN, G. y DESS, G. (1996), “Clarifying the entrepreneurial orientation construct and linking it to performance”. Clarifying the Academy of Management Review, vol. 21(1), pp. 135-172.
MACEDO, R.D.C. (2014), “Confiança nos relacionamentos interorganizacionais: mais do que uma simples questão de estratégia comercial”. Tesis de Maestria presentadaen Universidade Federal de Minas Gerais, Belo Horizonte.
MALHOTRA, N.K.; MARTÍNEZ, J. F. y ROSALES, M.E. (2003), Investigación de Mercados. Un enfoque aplicado, (4ta ed.), Pearson Educación, México.
MARTINS, G.S. (2013), “A Medida de Confiar é Confiar sem Medida? Estudo sobre o Efeito da Confiança na Criação e na Captura de Valor na Relação Comprador-Fornecedor”. Tese de Doutorado em Administração de Empresas, Escola de Administração de Empresas de São Paulo, Fundação Getulio Vargas, São Paulo.
MENEZES, J.; BARRIOS, M.; LOZANO, L.M.; BONILLO, A.; TURBANY, J.; COSCULLUELA, A. y VALER, S. (2014), Psicometría. UOC, Cataluya.
NAYME, J.G.; FISCHER, R.M.; MAZZON, A. (2006), “Fator de confiança interpersonal no ambiente de trabalho”. Revista de Administração da USP-Rausp, vol. 41, 442-452
NYAGA, G.N.; WHIPPLE, J. y LYNCH, D. (2010), “Examining supply chain relationships: Do buyer and supplier perspectives on collaborative relationships differ?”. Journal of Operations Management. vol. 28(2), pp. 101-114.
PINHEIRO, L. (2013), Intervenientes nos Relacionamentos Interorganizacionais e seus desdobramentos: Um Estudo na Indústria Moveleira no Brasil. Tese de Doutorado, Centro de Pós-Graduação e Pesquisas em Administração, Faculdade de Ciências Econômicas, Universidade Federal de Minas Gerais.
PULLÉS, D.C.; GUTIÉRREZ, L.J. y LLORENS, J. (2013), “Transactive memory system and TQM: exploring knowledge capacities”. Industrial Management & Data Systems, vol.113, pp. 294- 318.
QUINTANA, C. (1999), “Capacidad emprendedora y Racionalización Organizativa: Estudio Teórico-Empírico de su Papel en la Creación y Desarrollo de Empresas Andaluzas”. Tesis Doctoral, Universidad de Málaga.
RATTEN, V. (2013), “Cloud computing: A social cognitive perspective of ethics, entrepreneurship, technology marketing, computer self-efficacy and outcome expectancy on behavioural intentions”. Australasian Marketing Journal, vol. 21, pp. 137-146.
RAUCH, A.W. y LUMPKIN, G.F. (2009), “Entrepreneurial orientation and business performance: an assessment of past research and suggestions for the future”. Entrepreneurship Theory and Practice, vol. 33(3), pp. 761-787.
RIBBINK, D. y GRIMM, C.M. (2014), “The impact of cultural difference on buyer-suplier negotations: An experimental study”. Journals of Operations Management, vol. 32, pp. 114-126.
ROBINSON, R. y JACKSON, E. (2001), “Is trust in others declining in America? An age-period- cohort analysis”. Social Science Research, vol. 30, pp. 117-145.
SÁNCHEZ ALMAGRO, M.L. (2003), “Perfil Psicológico del Autoempleado”. Tesis Doctoral, Universidad Complutense de Madrid.
SILVA, V. y VASCONCELLOS, G.M. (2014), “Redes sociales, perfil empreendedor e trajetória”. Revista de Administração da USP-Rausp, vol. 49, pp. 77-88.
STROBINO, M.R.C. y TEIXEIRA, R.M. (2014), “Empreendedorismo feminino e o conflito trabalho-família: estudo de multicasos no comércio de material de construção da cidade de Curitiba”. Revista de Administração da USP-Rausp, vol. 49(1), pp. 59-76.
THAI, E.T. (2013), “Social capital, networks, trust and immigrant entrepreneurship: a cross country analysis”. Journal of Enterprising Communities: People and Places in the Global Economy, vol. 7, pp. 108-125.
TOMAÉL, M.I. (2005), “Redes de Conhecimento: O Compartilhamento da Informação e do Conhecimento em Consórcio de Exportação do Setor Moveleiro”. Tesis de Doctoral, Universidade Federal de Minas Gerais, Belo Horizonte.
VALERA, O. (2003), “Competencias y desempeño humano: mito o realidad”. Revista Latinoamericana de Administración, 30.
VILLENA, D. J. (2004), “Emprendimentos: a necessidade de se aprender a empreender”. In D.J. Villena et al., Empreendedor, Trabalho Didático, Faculdade Novo Milênio.
WALTER, A.; AUER, R. y RITTER, T. (2005), “The impact of network capabilities and intrepreneurial orientation on university spin-off performance”. Journal of Business Venturing, vol. 21, pp. 541-567.
WANG, C. (2008), “Entrepreneurial orientation, learning orientation and firm performance”. Entrepreneurship Theory and Practice, vol. 32(4), pp. 635-657.
WIKLUND, J. y SHEPHERD, D. (2003), “Knowledge-based resources, entrepreneurial orientation, and the performance of small and medium sized business”. Strategic Management Journal, vol. 24(3), pp. 1307-1314.
XAVIER, W.S.; MARTINS, G. y LIMA, A.A. (2008), “Fortalecendo empreendimentos em TI: qual a contribuição das Incubadoras”. Gestão da Tecnologia e Sistemas de Informação, vol. 5(3), pp. 433-452.
ZHAO, W.J.; BRENT, R. y ECHTEMER, C. (2011), “Capital social y emprendimiento turístico”. Annals of Tourism Research, vol. 38(4), pp. 1570-1593
Notas
Notas de autor