ARTÍCULOS
Índice de vulnerabilidad costera del litoral tabasqueño, México
Coastal vulnerability index for the Tabasco State coast, Mexico
Índice de vulnerabilidad costera del litoral tabasqueño, México
Investigaciones Geográficas (Mx), núm. 91, 2016
Universidad Nacional Autónoma de México
Recepción: 24 Agosto 2015
Aprobación: 04 Abril 2016
DOI: 10.14350/rig.50172
Resumen: El incremento del nivel del mar es un evento extremo que impactará gravemente las zonas costeras bajas, como es el caso de Tabasco. A nivel nacional la costa tabasqueña es de los sitios más vulnerables ante tal evento, por lo que es necesario estimar localmente el grado de su vulnerabilidad. Por ello, en este estudio se estimó esa vulnerabilidad mediante la aplicación de la metodología del Índice de Vulnerabilidad Costera utilizando Sistemas de Información Geográfica. Este modelo se ajustó a las condiciones locales de la costa tabasqueña, dado que los datos que exigen las variables que integran la metodología (olas, mareas, nivel del mar, pendiente costera, tasas de erosión y geomorfología) estaban disponibles para el área de estudio, y así contar con la oportunidad de encontrar datos locales del grado de vulnerabilidad de la costa. De acuerdo con los resultados encontrados, tras realizar un álgebra de mapas, los sectores con mayor vulnerabilidad se encuentran justamente frente a los sistemas lagunares costeros más importantes del estado, Carmen-Pajonal Machona y Mecoacán, este último con un mayor grado de vulnerabilidad. Es importante destacar que dicha área se encuentra dentro de la zona de influencia del puerto de Dos Bocas, donde la actividad antropogénica es muy notable. Los datos encontrados serán útiles para la toma de decisiones para el manejo del espacio costero de Tabasco.
Palabras clave: índice de vulnerabilidad costera, Tabasco, cartografía y manejo costero.
Abstract: Sea level rise is one of the most serious events that will impact low-lying lands, as is the case of most of Tabasco State. Historically, the State of Tabasco has been repeatedly impacted by extreme floods, the most recent one occurring in 2007. However, recent studies have shown that coastal erosion is the effect that most directly has impacted the Tabasco’s coastline, as this has even modified soil strata; this is also related to extreme hydrometeorological events associated with environmental changes and changes in the salinity gradient off the coast. In such a situation, future changes in the coastline are almost certain. Tabasco’s coastline has been recognized as one of the most vulnerable zones in the country since Mexico’s first national communication to the UNFCCC in 1997. Therefore, it is important to evaluate the vulnerability of this zone. The purpose of this study was to estimate the vulnerability of the Tabasco’s coastline by applying the coastal vulnerability index method (IVM) using a geographic information system (GIS). This method has been successfully applied in several different places around the world including Canada, the United State, Spain and Indonesia. This model is suitable for the local conditions of Tabasco coast, as the input variables it requires (including waves, tides, sea level, coastal slope, erosion rates and geomorphology) are available for the study area, thus allowing the possibility of estimating the coast’s vulnerability based on local data. Results from map algebra operations showed that the zones of very high or high vulnerability encompass a six-kilometer stretch around the Sánchez Magallanes community, near the del Carmen lagoon in the municipality of H. Cárdenas, Tabasco. This is due to the high-waves regime and other conditions associated to the coastal dune geomorphology as well as the unconsolidated fine sediments prevailing therein. Other high vulnerability zones are found just in front of the major lagoon system in the State of Tabasco, the Carmen-PajonalMachona and Mecoacan lagoons; being the last one the most vulnerable of all. It is worth pointing out that this zone is located within the influence zone of the Dos Bocas port where an intense anthropogenic activity occurs. It is also important to point out that this study is one of the first approaches to the estimation of coastal vulnerability in Mexico. The implementation and application of this model of coastal vulnerability evaluation are significant given the spatial scale of the study and that this is the first time that these variables have been collected for the state of Tabasco. Our results might inform decision-making processes on the proper management of the Tabasco coastline, thus benefiting the local communities.
Keywords: coastal vulnerability index, Tabasco, mapping and coastal management.
INTRODUCCIÓN
Las zonas costeras están severamente amenazadas por el cambio climático (CC), y el incremento del nivel del mar (INM) representa el mayor peligro para estas regiones (IPCC, 2007). Albergan ecosistemas altamente productivos (manglares, arrecifes coralinos, lagunas costeras, marismas, estuarios, entre otros) (Burningham, 2004; Bijlsma, 1996), pero también son de las regiones más pobladas. Actualmente, las áreas costeras están convertidas en grandes urbes debido a la alta concentración económica; se estima que cerca del 50% de la población mundial habita en una franja costera de 100 km (Small y Nicholls, 2003), y este crecimiento poblacional es mayor entre los 0 y 10 m de altitud (McGranahan et al., 2007). Las ciudades costeras bajas, densamente pobladas y con niveles altos de industrialización, pueden enfrentar mayores impactos ante el INM (Aris y King, 2008; McGranahan et al., 2007). La magnitud de los impactos puede ser diferente de una región a otra, ya que nivel del mar cambia de un lugar a otro por condiciones y procesos locales, como la topografía, la geología, los movimientos naturales de tierra, la climatología regional y las actividades antrópicas que contribuyen a cambios en el nivel del agua, como la extracción de fluidos del subsuelo y la oferta de sedimentos que eventualmente llegan a la costa; aun así se recomienda evaluar el impacto del INM en la medida de lo posible (Kebede et al., 2012; Nicholls y Cazenave, 2010). Los impactos potenciales del INM figuran en los planes de desarrollo de gobiernos en todo el mundo, pero la preocupación es mayor para los países en vías de desarrollo, donde ninguna o muy pocas ciudades costeras están preparadas para enfrentar el INM (Nicholls et al., 2008).
En México, la costa de Tabasco es considerada una de las zonas más vulnerables ante este evento por su ubicación en una extensa llanura inundable y su elevación menor a un metro (SEMARNAP, 1997). Tabasco es territorialmente una de las entidades más pequeñas, pero económicamente una de las más productivas, al ubicarse entre los diez estados con mayores aportaciones al producto interno bruto (PIB) nacional (INEGI, 2013). Con 200 km de litoral costero repartido entre los municipios de Huimanguillo, Cárdenas, Paraíso y Frontera, la región costera del estado constituye el principal motor económico de la entidad, pues allí se realizan actividades económicas preponderantes, como la extracción de crudo, pesca comercial y artesanal y, en menor grado, agricultura y ganadería (Palma et al., 2007). La presencia de importante infraestructura, como el puerto de Dos Bocas, ha sido clave para el crecimiento y desarrollo económicos de la región y el país, impulsando al sector industrial, comercial y petrolero (Cato, 2009). En ese sentido, si la costa tabasqueña es afectada por el cambio climático, particularmente por el INM, tendría un impacto socioeconómico en la región y el país.
Tabasco se ha visto históricamente afectado por eventos extremos, principalmente por inundaciones ocurridas en los últimos 20 años (1995, 1999 y la más drástica en 2007 (Gama et al., 2008; IMTA-IPN-CP, 2008). También existe evidencia de erosión costera, por ejemplo, Hernández et al. (2008) reportaron que en los últimos 30 años el litoral ha sufrido retrocesos costeros en Sánchez Magallanes (-3 a -5 m/año) y en la desembocadura río San Pedro y San Pablo (-8 a -9m). Gornitz (1990) considera que las costas de alto riesgo ante el INM son aquellas con bajo relieve, sustrato erosionable, retroceso histórico de la línea costera y oleaje de alta energía; esas son condiciones que presenta la costa tabasqueña y por lo tanto constituye uno de los sitios más críticos ante la elevación del nivel del mar (Ortiz y Méndez, 1999; Magaña y Gay, 2002). Los promedios anuales de INM en la región Golfo de México oscilan entre 3.1±0.8 mm yr-1 con un incremento al 2090 de 60 cm (IPCC 2007), no obstante modelos recientes indican que el aumento al final de este siglo será mayor a un metro (Rahmstorf, 2012). Los cálculos realizados considerando un escenario de 1 m de elevación en el nivel del mar estiman inundaciones del 12% del territorio tabasqueño, lo que representa poco más de 3 000 km2 (INEUNAM-SEMARNAT, 2008). Ello representaría la modificación en la ecología de recursos de alto valor ecológicos (humedales, sistemas lagunares, entre otros) y socioeconómicos (recursos pesqueros, activos de producción petrolera, puertos, entre otros), que son especialmente importantes para la economía estatal y nacional. Asociado a ello, habitan en una franja de 5 km poco más de 90 000 personas en 147 localidades, algunas ubicadas en la cota de 5 m (INEGI, 2010). Debido a lo anterior, en Tabasco existe gran preocupación gubernamental para atender la problemática del INM y las posibles afectaciones sobre el gran patrimonio socioambiental del estado (Hernández-Santana et al., 2008).
El IPCC (2001) define vulnerabilidad como “la incapacidad de las zonas costeras para afrontar la variabilidad climática y eventos extremos”. Este concepto enfatiza la idea de enfrentar el evento adverso con las fortalezas y debilidades inherentes al sistema costero; en este sentido, los componentes costeros locales ejercen un papel determinante en la vulnerabilidad física de la costa frente al INM (Pendleton, Thieler y Williams, 2010). El IPCC, organismo reconocido para atender todo lo relacionado con el tema de CC, ha determinado que las evaluaciones de vulnerabilidad sobre los sistemas naturales y humanos representan el primer paso para estimar los impactos del CC. Es decir, cualquier estudio de vulnerabilidad parte de la evaluación de impactos físicos en el medio natural (Klein y Nicholls, 1999). Según el Marco de Hyogo una acción clave para evaluar vulnerabilidad es desarrollar sistemas de indicadores junto a metodologías que permitan evaluar el impacto de posibles desastres en el medio (Kappes et al., 2012; EIRD-ONU, 2008).
Bajo este criterio, el presente trabajo intenta evaluar la vulnerabilidad costera del litoral tabasqueño considerando seis variables/indicadores conjuntos (geomorfología, tasa de erosión, pendiente costera, oleaje, rango mareal y nivel del mar), mediante la aplicación de la metodología de Índice de Vulnerabilidad Costera (IVC) (Ojeda et al., 2011; Thieler y Hammar 1999; Shaw et al., 1998; Gornitz, et al., 1992) a fin de identificar, a nivel local, zonas de mayor vulnerabilidad frente a este evento extremo.
MATERIALES Y MÉTODOS
Área de estudio y localización geográfica
La zona costera de Tabasco se ubica entre los 92º 28’ y los 94º 10’ de longitud Oeste, y los 17º 15’ y los 18º39’ de latitud Norte (Hernández Santana et al., 2008; Figura 1), con un litoral costero de 200 km repartido entre los municipios de Huimanguillo, Cárdenas, Paraíso y Centla, que en su conjunto albergan 147 localidades en una franja de 5 km tierra adentro con altitudes que van de 0-5 m, con un aproximado de 92 500 habitantes (INEGI, 2010). El mar adyacente a su línea de costa es el Golfo de México, uno de los mares más complejos y productivos del mundo (Tunnell et al., 2004).

La costa tabasqueña es resultado de importantes procesos aluviales (West et al., 1969), originados por la dinámica fluvial ejercida por la cuenca Grijalva-Usumacinta (la más extensa y caudalosa de México) (CONAGUA, 2012; Hudson et al., 2005) y los ríos González y Tonalá. De acuerdo con estaciones mareográficas de la región, la marea es de tipo mixta con influencia diurna, el oleaje es moderado en dirección E-W con alturas máximas de 2 metros en condiciones meteorológicas normales; sin embargo, los vientos provenientes del norte aumentan considerablemente el oleaje con alturas de hasta 5 metros (SEMAR, s/f; Lankford, 1977). El litoral tabasqueño alberga recursos naturales de gran importancia ecológica, entre los que destaca la Reserva de la Biosfera Pantanos de Centla (RBPC), considerada la unidad de almacenamiento energético más importante de Norteamérica por su alta productividad primaria (Toledo, 2003). Otros ecosistemas de gran valor son las lagunas costeras Carmen-Pajonal-Machona y Mecoacán, las que al conjuntarse con las aguas interiores provenientes de la subcuenca del Grijalva establecen condiciones estuarinas, que permiten albergar, espacial y temporalmente, fauna de origen marino y dulceacuícola así como peces e invertebrados (Contreras et al., 2002; Sánchez y Barba, 2005). Esta mezcla de ambientes acuáticos constituyen áreas de importancia comercial de donde se extrae el 90% de la pesca del estado (Contreras y Castañeda, 2004).
Asociados a estos cuerpos lagunares costeros, en la parte posterior del cordón litoral de Tabasco, se encuentran comunidades de manglar de las especies Rhizophora mangle (mangle rojo), Avicennia germinans (mangle negro), Laguncularia racemosa (mangle blanco) y Conocarpus erectus (mangle botoncillo) (García y Palma, 1998; Villanueva et al., 2010), adaptadas a diferentes gradientes de salinidad e inundaciones recurrentes.
Implementación del modelo
La utilización de esta metodología se justifica por la aplicabilidad del IVC a cualquier entorno costero, dado que a diferencia del rango mareal los demás factores responsables del cambio en la costa son los mismos (Pendleton, Thieler y Williams, 2010). Partiendo de tal criterio, este modelo ha sido aplicado en diversos litorales costeros, tanto en latitudes tropicales como India, subtropicales como España y aún en regiones cercanas al Ártico como Estados Unidos y Canadá, cada uno con diferentes consideraciones y particularidades (Cuadro 1). El IVC está basado en variables mayormente cuantitativas; no obstante, es necesario aclarar que solo indican la vulnerabilidad relativa de la costa ante el INM. En este contexto, el concepto de vulnerabilidad adoptado, al cual se hará referencia en adelante, queda definido como el grado (o la magnitud) del daño que puede experimentar la costa tabasqueña por el INM en función de su exposición y su capacidad de adaptación.

La primera fase del modelo se centra en la cuantificación de las variables que contribuyen a la evolución de la costa en el área determinada. En este caso, a diferencia de los estudios anteriormente referidos (por ej., EE.UU., Canadá), aplicamos el modelo haciendo consideraciones parecidas a las del estudio de Ojeda et al. (2009), utilizando solo seis variables que se separan en dos grupos (Cuadro 2):
Geológicas/geomorfológicas. Consideradas en función de la resistencia que ofrece cada paisaje costero de la costa frente a la erosión y la susceptibilidad a los procesos de inundación.
Físicas/hidrodinámicas. Consideradas por su contribución a los procesos de erosión e inundación.
Las variables consideradas se centran en las características físicas de la costa y exposición a diversos procesos marinos (oleaje, mareas y cambio relativo en el nivel del mar) (Ojeda et al., 2011) por lo que, en sentido práctico, el mecanismo del modelo implica contraponer las variables constituidas como forzamientos de la vulnerabilidad (variables hidrodinámicas) y la respuesta de la costa mediante sus condiciones terrestres (variables geológicas/ geomorfológicas (Cuadro 2).

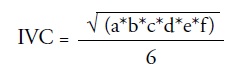
Cada una de las seis variables consideradas se clasifican individualmente en intervalos de vulnerabilidad que van desde 1 (muy baja vulnerabilidad) a 5 (muy alta vulnerabilidad). Esta simple clasificación permite la integración en la siguiente ecuación que finalmente proporciona el IVC.

Cálculo de las variables
La corrida del modelo implicó un sin número de procesos de análisis geográficos con softwares especializados (Arc GIS, Quantum GIS, Arc View), dentro de los que destacan:

Los datos utilizados para cada una de las variables, provenientes de diversas fuentes se insertaron en una base de datos espacial (geodatabase). Los insumos necesarios y el procedimiento de cálculo se resumen en el Cuadro 4.

RESULTADOS Y DISCUSIÓN
Geomorfología
La clasificación obtenida indica que existen sólo dos grados de vulnerabilidad: alto y muy alto, debido a que todo el frente litoral se encuentra ocupado por dunas costeras y cordones litorales de baja altitud. Las geoformas costeras mencionadas se han mantenido gracias a la entrada de sedimentos que son removidos por la hidrodinámica costera y acumulados en esta porción del litoral (West et al., 1969). Actualmente, estas geoformas están perdiendo la batalla contra la erosión marina debido en gran parte a la disminución en la oferta de sedimentos provocado por la construcción del sistema de presas en el río Grijalva, uno de los principales ríos de la cuenca que transportan las mayores cantidades de sedimentos hacia la costa (Syvitski et al., 2005).
Por otro lado, la remoción artificial de la duna costera para construir carreteras o viviendas en la costa (Brammer, 2014; Kokot y Chomnalez, 2012) han eliminado gran parte de este relieve que fungía como barrera y que, precisamente, estaba conformado por las zonas de dunas costeras, como se muestra en la Figura 2. Otro factor que ha contribuido a la desestabilización del sistema de dunas ha sido la remocion de la vegetación natural que sirve de protección a estos elementos, lo que ha contribuido a la perdida por erosion eólica. Los múltiples factores que modifican estos paisajes costeros aumentan el grado de vulnerabilidad, aun ante pequeñas variaciones del nivel del mar (Ortiz y Méndez, 1999).

Línea de costa
De acuerdo con los resultados obtenidos, uno de los sitios donde el retroceso costero es significativo corresponde al delta Grijalva-Usumacinta (Figura 3). Al igual que en los trabajos anteriores (Ortiz et al., 2010; Hernández et al., 2008), los resultados obtenidos coinciden en este retroceso de la costa. La situación es algo contradictoria si se piensa que en este sitio representa la desembocadura del sistema fluvial más caudaloso del país y por ende debería tener mayores tasas de sedimentación, lo cual se traduciría en una acreción de la costa mar adentro, sin embargo, hay que considerar los efectos de las corrientes costeras que representan un contrapeso importante para la acumulación de material proveniente de la cuenca alta.

El retroceso costero de este sitio es dinámico debido a la entrada de sedimentos, procesos geológicos internos y la corriente costera, por lo que alcanza pulsos de erosión periódica. Sin embargo, Ortiz y Méndez (1999) comentan que, debido a condiciones naturales, el delta Grijalva-Usumacinta presenta subsidencia de descenso asociado a fallas geológicas que ocasionaron desplazamientos activos, provocando mayor erosión de la playa y retroceso de la línea costera (West et al., 1969), aunque Nicholls y Cazenave (2010) y Gornitz et al., (1994) coinciden en que las actividades antropogénicas, como la extracción de fluidos (petróleo, gas, agua), incrementan la vulnerabilidad local al favorecer el hundimiento de la costa. Esto es especialmente importante, ya que la presencia de activos de producción de hidrocarburos es alta, lo que sumado a la subsidencia que mencionan Ortiz y Méndez (1999), incrementará el grado de vulnerabilidad. Por otro lado, la reducción de las fuentes de sedimentos está directamente vinculada al movimiento de línea de costa (Nicholls y Cazenave, 2010), al considerarse que anualmente las cuencas hidrológicas en condiciones naturales acarrean hacia las costas 20 millones de toneladas métricas (Milliman y Syvitski, 1992).
En este sentido, la cuenca Grijalva-Usumacinta que desemboca en este sector costero representa la mayor descarga al Golfo de México (del lado mexicano), sin embargo, el afluente del Grijalva se encuentra represado. Es claro que existe una disminución en la oferta de sedimentos debido a la modificación de esta cuenca, pero la situación puede ser aún más grave, ya que se encuentra en fase de proyecto la construcción de una presa en el afluente del Usumacinta, un afluente rodeado de zonas serranas que están sufriendo deforestación y representan fuentes eventuales de sedimentos; esto es especialmente importante para la costa tabasqueña, alimentada principalmente por los sedimentos acarreados por esta cuenca (West et al., 1969). El embalse de esta presa contribuirá a un mayor grado de vulnerabilidad si se considera que más de 100 millones de toneladas de sedimentos han sido atrapadas en diques y presas construidos en los últimos 50 años (Syvitski et al., 2005).
Pendiente costera
La costa de Tabasco es prácticamente una planicie costera. Dada esa situación presenta pendientes inferiores al 10%. De acuerdo con los datos extraídos del LIDAR las pendientes máximas son de 9%, lo que indica que un proceso de inundación se extendería rápidamente tierra adentro de la costa tabasqueña (Carbajal, 2011). Este indicador representa directamente la fragilidad de la costa de Tabasco ante el proceso de inundación, por lo que se convierte en una variable dependiente de otras consideradas en este modelo, como la geomorfología.
Oleaje
Los rangos de oleaje más altos se presentan frente al sistema lagunar Carmen-Pajonal-Machona y las comunidades del Ejido Sinaloa 1ra, El Alacrán 1ra y Alacrán Sección Manatinero, en el municipio de Cárdenas; en el municipio de Paraíso las localidades de Barra de Tupilco, Guano Solo, Unión 1ra y 2da. Los sitios mencionados son los mismos que reporta Hernández et al. (2008) con altos índices de erosión; de acuerdo con ello, existe relación entre la altura de oleaje y el grado de erosión costera. Estos efectos son más fuertes durante la incidencia de fenómenos hidrometeorologicos de gran fuerza, como pasó en 1997 con los huracanes Roxanne y Opal (Galmiche-Tejeda y Solana-Villanueva, 2011).
Integrando el modelo de IVC
Las mayoría de las variables que integran el IVC se relacionan entre sí mediante clasificaciones numéricas; estas, a su vez, indican un grado de vulnerabilidad que es asignado a cada sector de la costa según corresponda (Cuadro 5). Por su parte, la variable no numérica (geología/geomorfología) da un valor de vulnerabilidad clasificada cualitativamente de acuerdo con la resistencia relativa del tipo de material del paisaje costero. La tasa de erosión es significativa a lo largo del litoral, las tasas entre -2.32 y 3.31 m/año persisten a lo largo del litoral. Por su parte, la pendiente costera entre 0-2 m indica una clara vulnerabilidad de la costa ante los procesos de inundación, cubriendo un 85% del litoral. La tasa de INM rebasa los pronósticos regionales proyectados por el IPCC (2007), por lo que está clasificado como muy vulnerable. Una vez asignado el grado de vulnerabilidad a cada sector costero, todas las variables se combinaron mediante el álgebra de mapas para obtener el IVC (Figura 4). Es importante señalar que aunque el resultado final se relaciona con una cifra numérica, no debe asociarse con cambios específicos. El número resultante es una combinación de indicadores que al final permitirá identificar zonas específicas, que resultarán mayormente impactados por los efectos combinados del INM. Es claro que estos impactos se darán sobre la porción frontal del sector costero, por lo que a nivel de políticas públicas se ha avanzado en la gestión de esta zona considerándola como zona prioritaria de conservación POET (2013)


Los valores calculados se dividieron en cuatro clases, utilizando como límites los percentiles 25%, 50% y 75% para definir cuatro grados de vulnerabilidad (Ojeda et al., 2011). La utilización de los percentiles sirve para asignar un grado de vulnerabilidad relativa, sin que el valor como tal del IVC se asocie a cambios específicos de tipo físico (Sheik Mujabar y Chandrasekar, 2013). Los resultados finales del IVC indican valores entre 3.16 y 20.39. Los intervalos de vulnerabilidad total calculada por este índice se muestran en el Cuadro 6. Las evaluaciones de vulnerabilidad representa una herramienta prioritaria para lograr el manejo sustentable de los recursos costeros al proporcionar datos esenciales para hacer una gestión adecuada de la zona costera (Sheik Mujabar y Chandrasekar, 2013; CEPAL, 2012). Una misión importante de estas evaluaciones es la de ayudar a los tomadores de decisiones en el rediseño del sistema costero (Farhan y Lim, 2011).
Al correr el modelo de IVC donde se analizaron las seis variables, la zona con el más alto valor de vulnerabilidad resultó ser el sector costero ubicado frente al complejo lagunar Mecoacán, que abarca una longitud lineal costera de 10 km (Figura 5). En los últimos años esta laguna costera ha sido objeto de múltiples estudios, motivado principalmente por su cercanía con el Puerto Dos Bocas, que representa una de las zonas con mayor actividad industrial y que, posiblemente, está impactando de una u otra manera en el sistema lagunar. Medellín et al. (2013) por ejemplo, comentan que con mareas vivas la descarga del río González llega a ser nula; sin embargo, la verdadera explicación puede venir de las múltiples acciones antropogénicas que se desarrollan en la zona de influencia del puerto, además de los procesos de asolvamiento del canal del río.

Por otro lado, en la zona correspondiente al municipio de Cárdenas, a la altura de la localidad de Sánchez Magallanes, se presenta un efecto importante de vulnerabilidad, entre alta y muy alta. El sector vulnerable es de aproximadamente cinco kilómetros (Figura 6), esto es especialmente relevante dado que ahí se ubica una población importante del municipio de H. Cárdenas, trabajos recientes indican la vulnerabilidad de esta zona (Ortiz et al., 2010; Hernández et al., 2008).


CONCLUSIONES
El modelo de medición adoptado de índice de vulnerabilidad costera fue adecuado para usarlo en la costa de Tabasco, sin embargo, la disponibilidad y accesibilidad de la información es muy limitada, por lo menos de parte de organismos, dependencias y algunas instituciones del país.
La variable que incide en menor medida dentro del modelo de índice de vulnerabilidad costera fue la marea, y las más importantes el oleaje y el nivel del mar.
De acuerdo con el índice de vulnerabilidad costera, las áreas cercanas a los sistemas lagunares Carmen-Pajonal-Machona y Mecoacán son de los sitios con mayor vulnerabilidad en la costa de Tabasco.
La vulnerabilidad muy alta y alta, que en conjunto forman seis kilómetros aproximadamente, están ubicadas por la comunidad de Sánchez Magallanes, cercana al sistema lagunar del Carmen, del municipio de H. Cárdenas, Tabasco, esto es debido a cuestiones de altos regímenes de oleaje asociado a una geomorfología de dunas costeras con material de sedimentos finos no consolidados.
Del litoral costero tabasqueño, la zona de muy alta vulnerabilidad es de unos 10 km, ubicada frente al sistema lagunar Mecoacán. Es importante destacar que dicha área se encuentra inmersa en la zona de influencia del puerto de Dos Bocas, donde la actividad antropogénica es notable.
También es preciso destacar que este trabajo representa una de las primeras aproximaciones al cálculo de la vulnerabilidad local de la costa tabasqueña ante el potencial incremento del nivel del mar. Los resultados obtenidos a través de la implementación y ejecución de este modelo de índice vulnerabilidad costera son de gran alcance, dada la escala de estudio y la inclusión de variables en conjunto que por primera vez se realiza en el estado de Tabasco.
Referencias
Appendini, C. M., A. Torres-Freyermuth, F. Oropeza, P. Salles, J. López, y E. T. Mendoza (2013), “Wave modeling performance in the Gulf of Mexico and Western Caribbean: Wind reanalyses assessment”, Applied Ocean Research, vol. 39, pp. 20-30.
Appendini, C. M., A. Torres-Freyermuth, P. Salles, J. López-González y E. T. Mendoza (2014), “Wave climate and trends for the Gulf of Mexico: A 30-yr wave hindcast”, Journal of Climate, vol. 27, núm. 4, pp.1619-1632.
Aris, M. M. y L. King (2008), “Potential vulnerability implications of coastal inundation to sea level rise for the coastal zone of Semarang city, Indonesia”, Environ. Geol., vol. 54, pp. 1235-1245.
Barrios, M. L. (2012), Variaciones morfodinámicas de la costa deltaica de Tabasco, tesis de licenciatura, Universidad Nacional Autónoma de México, 154 pp.
Brammer, H. (2014), “Bangladesh’s dynamic coastal regions and sea-level rise”, Climate Risk Management, vol. 1, pp. 51-62 [http://dx.doi.org/10.016/j.crm.2013.10.001].
Bijlsma, L., C. N. Ehler, R. J. T. Klein, S. M. Kulshrestha, R. F. McLean, N. Mimuray R. A. Warrick (1996), Coastal zones and small islands. Climate Change 1995: Impacts, Adaptations, and Mitigation of Climate Change: Scientific-Technical Analyses, Contribution of Working Group II to the Second Assessment Report of the Intergovernmental Panel on Climate Change, pp. 289-324.
Burningham, H. (2004), “Coasts: form, process and evolution”, Transactions of the Institute of British Geographers, vol. 29, núm. 1, pp. 140-141. [http://discovery.ucl.ac.uk/104851/].
Cato., J. (2009), Gulf of Mexico Origin, Waters, and Biota, Texas A&M University Press, 136 pp.
Carbajal, J. A. (2011), “Zonas costeras bajas en el Golfo de México ante el incremento del nivel del mar”, en: A.V. Botello, S. Villanueva-Fragoso, J. Gutiérrez, y J.L. Rojas Galaviz (eds.), Vulnerabilidad de las zonas costeras mexicanas ante el cambio climático, segunda edición, Universidad Autónoma Metropolitana Iztapalapa, UNAM-ICMyL, Universidad Autónoma de Campeche, pp. 371-392.
CEPAL (2012), Efectos del cambio climático en la costa de América Latina y el Caribe vulnerabilidad y exposición, CEPAL, Universidad de Cantabria, Instituto de Hidráulica Ambiental, 174 pp.
CONAGUA (2012), Atlas Digital del Agua México 2012, CONAGUA, México.
Sistema Nacional de Información del Agua [http://www.conagua.gob.mx/atlas/ciclo09.html: 14 de mayo de 2015].
Contreras, F. E. y O. Castañeda (2004), “Las lagunas costeras y estuarios del Golfo de México: Hacia el establecimiento de índices ecológicos”, en M. Caso, I. Pisanty y E. Ezcurra, (comps.), Diagnóstico ambiental del Golfo de México, Instituto Nacional de Ecología, México, pp. 373-416.
Contreras, F. E., O. Castañeda, E. Barba y M. A. Pérez (2002), “Caracterización e importancia de las lagunas costeras”, en La pesca en Veracruz y sus perspectivas de desarrollo, C. Quiroga B., J. Aldeco Ramírez, D. Fuentes Castellanos y P. Guzmán Amaya (comps.), Instituto Nacional de la Pesca, Universidad Veracruzana, México.
EIRD-ONU (2008), Marco de acción de Hyogo. Gestión del riesgo de desatres hoy. [http://www.eird.org/gestion-del-riesgo/capitulo1.pdf].
Farhan, A. R y S. Lim (2011), “Resilience assessment on coastline changes and urban settlements: A case study in Seribu Islands, Indonesia”, Ocean and Coastal Management, vol. 54, pp. 391-400.
Galmiche-Tejeda, A. y N. Solana-Villanueva (2011), El contexto de vulnerabilidad de las poblaciones costeras y valores asignados al manglar en Tabasco, Gobierno del Estado de Tabasco, Secretaría de Recursos Naturales y Protección Ambiental, Colegio de Postgraduados, Campus Tabasco, México.
Gama, L. M., C. Villanueva, M. E. Macias, E. J. Moguel y B. Benítez (2008), Inundaciones y lluvias extremas en Tabasco, pp. 160-166. [http://goo.gl/u9aRQ9].
García, L. E. y D. J. Palma (1998), “Asociación suelovegetación en tres zonas fisiográficas de Tabasco”, en: P. Magaña (ed.), Libro de resúmenes del VII Congreso Latinoamericano de Botánica y XVI Congreso Mexicano de Botánica, Universidad Autónoma Metropolitana, México, p. 68.
Gornitz, V., R. Daniels, T. White y K. Birdwell (1994), “The Development of a Coastal Risk Assesment Database: Vulnerability to Sea-Level Rise in the U. S. Southeast”. Coastal and Estuarine Research Federation, vol. 12, pp. 327-338.
Gornitz, V., T. W. White y R. M. Cushman (1992), Vulnerability of the US to future sea level rise, pp. 1-17. [http://www.osti.gov/scitech/servlets/purl/5875484-vJgAJI/].
Gornitz, V. (1990), “Vulnerability of the East Coast, U.S.A. to future sea level rise”. Coastal Research, Special Issue 9, pp. 201-237.
Hernández-Santana, J. R., M. A. Ortiz-Pérez, A. P. Méndez-Linares y L. Gama-Campillo (2008), “Morfodinámica de la línea de costa del estado de Tabasco, México: tendencias desde la segunda mitad del siglo XX hasta el presente”. Investigaciones Geográficas, núm. 65, pp. 7-21. [http://www.revistas.unam.mx/index.php/rig/article/view/17971].
Hudson, P. F., D. A. Hendrickson, A. C. Benke, A. Varela-Romero, R. Rodiles-Hernández y W. L. Minckley (2005), “Rivers of Mexico”, en A. C. Benke y C. E. Cushing (eds.), Rivers of North America, Elsevier Academic Press, pp. 1031-1085.
IMTA-IPN-CP (2008), Informe de las inundaciones de 2007 en el estado de Tabasco, Senado de la República, 48 pp. [https://goo.gl/gn7e8I].
INE-UNAM-SEMARNAT (2008), Informe final: Evaluación regional de la vulnerabilidad actual y futura de la zona costera mexicana y los deltas mas impactados ante el incremento del nivel del mar debido al cambio climático y fenómenos hidrometeorologicos extremos, 121 pp.
INEGI, 2010. México en cifras. Información Nacional, por entidad federativa y municipios. [http://www3.inegi.org.mx/sistemas/mexicocifras/default.aspx?e=27: 14 de agosto de 2014]
INEGI (2013), Aportación al Producto Interno Bruto (PIB) nacional. [http://cuentame.inegi.org.mx/monografias/informacion/tab/economia/pib.aspx?tema=me&e=27].
IPCC (2001). “Climate Change 2001: impacts, adaptation, and vulnerability”, en J. J. McCarthy O. F. Canziani, N. A. Leary, D. J. Dokken y K. S. White (eds.), Contribution or working group II to the Third Assesment Report of the Intergovernmental Panel on Climate Change (IPCC), Cambridge University Press, Cambridge.
IPCC (2007), Climate Change 2007 Synthesis Report The Core Writing Team Rajendra K. Pachauri Andy Reisinger Synthesis Report Chairman Head, Technical Support Unit IPCC IPCC Synthesis Report, IPCC Core Writing Team Technical Support Unit for the Synthesis Report, Intergovernmental Panel on Climate Change [Core Writing Team IPCC. Geneva, Suiza,
Kappes, M. S., M. Papathoma-Khöle y M. Keiler (2012), “Assesing physical vulnerability for multi-hazards using and indicator-based metodology”, Applied Geography, vol. 32, pp. 577-590.
Kebede, A. S., R. J. Nicholls, S. Hanson y M. Mokrech (2012), “Impacts of Climate Change and Sea Level Rise: A preliminary Case Study Of Mombasa, Kenya”, Journal of Coastal Research, vol. 28, núm. 1A, pp. 8-19.
Klein, R. J. T. y R. J. Nicholls (1999), “Assessment of Coastal Vulnerability to Climate Change”, Ambio, vol. 28, núm. 2, pp. 182-187.
Kokot, R. R. y F. Chomnalez (2012), “Retroceso de la línea de costa en Las Grutas, provincia de Río Negro”, Revista de la Asociacion Geologica Argentina, vol. 69, núm. 1, pp. 88-96.
Lankford, R. (1977), “Coastal lagoons. Their origin and classification”, en M. Wiley (ed.), Estuarine Processes: Circulation, Sediments, and Transfer of Material in the Estuary, Elsevier, pp. 182-215.
Magaña, V. O. y G. C. Gay (2002), “Vulnerabilidad y adaptación regional ante el cambio climático y sus impactos ambientales, sociales y económicos”, Gaceta ecológica, núm. 65, pp. 7-23.
McGranahan, G., D. Balk y B. Anderson (200), “The rising tide: assessing the risk of climate change and human settlements in low elevation coastal zones”, Environment and Urbanizacion, vol. 19, pp. 17-37. DOI: 10.1177/0956247807076960.
Medellín, G., I. Mariño-Tapia, A. Pedrozo-Acuña, C. Enriquez y F. Gonzalez-Villarreal (2013), “Influencia de la marea en la hidrodinamica del sistema Mecoacan-Río Gonzalez, Mexico”, Tecnologia y Ciencias del Agua, vol. 4, núm. 2, pp.71-90.
Milliman, J. D. y J. P. M. Syvitski (1992), “Geomorphic/ Tectonic Control of Sediment Discharge to the Ocean: The Importance of Small Mountainous Rivers”, The Journal of Geology, vol. 100, núm. 5, pp. 525-544.
Nicholls, R. J. y A. Cazenave (2010), “Sea-level rise and its impact on coastal zones”, Science vol. 328, núm. 5985, pp.1517-1520
Nicholls, R. J., S. Hanson, C. Herweijer, N. Patmore, S. Hallegatte, J. Corfee-Morlot, J. Chateau y R. Muir-Wood (2008), Ranking Port Cities with High Exposure and Vulnerability to Climate Extremes: Exposure Estimates. OECD Environment Working Papers 1. Paris: Organisation for Economic Co-operation and Development Publishing, DOI: 10.1787/011766488208.
Ojeda, J., Álvarez, J., Martín-Cajareville, D., FraileJurado, D., Vallejo-Villalta, I. y J. Márquez-Pérez (2011), Análisis preliminar de la vulnerabilidad de la costa de Andalucía a la potencial subida del nivel del mar asociada al Cambio Climático, Consejería de Medio Ambiente, Junta de Andalucía, Sevilla. [http://goo.gl/B4tA2B].
Ojeda, J., J. Álvarez, D. Martín y P. Fraile (2009), “El uso de las tecnologías de la información geografica para el cálculo del Índice de Vulnerabilidad Costera (CVI) ante una potencial subida del nivel del mar en la costa andaluza”. Revista Internacional de Ciencia y Tecnología de la Información Geográfica, vol. 9, pp. 83-100.
Ortiz, M. A. y A. P. Méndez Linares (1999), “Escenarios de vulnerabilidad por ascenso del nivel del mar en la costa mexicana del Golfo de México y el Mar Caribe”, Investigaciones Geográficas, núm. 39, pp. 68-81. [http://goo.gl/980kDq].
Ortiz-Pérez, M. A., J. R. Hernández-Santana, J. M. Figueroa-Mah-Eng y L. Gama-Campillo (2010), “Tasa del avance transgresivo y regresivo en el frente deltaico tabasqueño: en el periodo comprendido del año 1995 al 2008”, en: J. L. Botello, A.V. Villanueva-Fragoso, S. Gutierrez, J. Rojas-Galaviz (eds.), Vulnerabilidad de la zonas costeras mexicanas ante el cambio climático, Instituto EPOMEX, Campeche, pp. 305-324
Palma, D. J., J. Cisneros, E. Moreno y J. A. Rincón (2007), Suelos de Tabasco: su uso y manejo sustentable, Colegio de Postgraduados-ISPROTAB-FUPROTAB, Villahermosa, Tabasco, México, 184 pp.
Pendleton, E. A., E. R. Thieler y S. J. Williams (2010), “Importance of Coastal Change Variables in Determining Vulnerability to Seaand Lake-Level Change”, Journal of Coastal Research, vol. 61, pp.176-183.
POET (2013), (Programa de Ordenamiento Ecológico de Tabasco), [http://goo.gl/Ls4Q2w].
QGIS Desktop 2.4.0 (2011). [http://www.qgis.org/es/site/].
Rahmstorf, S. (2012), “Sea-level rise: towards understanding local vulnerability”, Environmental Research Letters, vol. 7, núm. 2. [http://goo.gl/ts3P9V].
Ramos, R., J. Zavala, L. Gama y M. Ortiz (2004), Indicadores geomorfológicos para evaluar la vulnerabilidad ante el Cambio Climático en las costas de Tabasco y Campeche.
Small, C. y R. J. Nicholls (2003), “A global analysis of human settlement in coastal zones”, Journal of Coastal Research, vol. 19, núm. 3, pp. 584–599.
Sánchez, M. A. y E. Barba (2005), “Biodiversidad de Tabasco”, en: J. Bueno, F. Alvarez y F. Santiago (eds.), La biodiversidad en el estado de Tabasco, Conabio, Instituto de Biología, UNAM.
SEMAR s/f. Frontera, Tabasco. [http://digaohm.semar.gob.mx/cuestionarios/cnarioFrontera.pdf: 3 de abril de 2015].
SEMAR 2014. Predicción de mareas. Disponible a través de la Red Mareográfica Nacional [http://www.semar.gob.mx/hidrocart/estaciones.html: 4 de octubre de 2014].
SEMARNAP 1997. Primera Comunicación Nacional ante la Convención Marco de las Naciones Unidas sobre el Cambio Climático. [http://www2.inecc.gob.mx/publicaciones/consultaPublicacion.html?id_pub=32].
Shaw, J., R. B. Taylor, D. L. Forbes, M. H. Ruz y S. Solomon (1998), “Sensitivity of the Canadian coast to sea-level rise”, Geological Survey of Canada Bulletin, núm. 505. [http://ftp.maps.canada.ca/pub/nrcan_rncan/publications/ess_sst/210/210075/gscbul_505_e_1998_mn01.pdf].
Sheik Mujabar, P. y N. Chandrasekar (2013), “Coastal erosion hazard and vulnerability assessment for southern coastal Tamil Nadu of India by using remote sensing and GIS”, Natural Hazards, vol. 69, núm. 3, pp. 1295-1314. [http://link.springer.com/10.1007/s11069-011-9962-x].
Syvitski, J. P. M., C. J. Vörösmarty, A. J. Kettner y P. Green (2005), “Impact of humans on the flux of terrestrial sediment to the global coastal ocean”, Science, vol. 308, núm. 5720, pp. 376-380.
Thieler, E. y E. Hammar-Klose (1999), National Assessment of Coastal Vulnerability to Sea-Level Rise: Preliminary Results for the U.S. Atlantic Coast. [http://pubs.usgs.gov/of/1999/of99-593/].
Toledo, A. (2003), Ríos, costas, mares. Hacia un análisis integrado de las regiones hidrológicas de México, INESEMARNAT, México. [http://www.inecc.gob.mx/descargas/publicaciones/402.pdf].
Tunnell, J. W., D. L. Felder y S. A. Earle (2004), “El Golfo de México: Pasado, presente y futuro. Una colaboración entre Estados Unidos de América, México y Cuba”, en: M. Caso, I. Pisanty y E. Ezcurra (comps.), Diagnóstico ambiental del Golfo de México, Instituto Nacional de Ecología, México, D.F. pp. 361-371. [http://www2.inecc.gob.mx/publicaciones/consultaPublicacion.html?id_pub=435].
Villanueva-Fragoso, S., G. Ponce-Vélez, C. García y J. Presa (2010), “Vulnerabilidad de la zona costera. Ecosistemas costeros”, en: A. Botello, S. Villanueva, J. Gutiérrez y J. L. Rojas (ed.), Vulnerabilidad de las zonas costeras mexicanas ante el cambio climático, Centro EPOMEX, Campeche, pp. 37-72.
West, R., N. P. Psuty y B. Thom (1969), The Tabasco Lowlands of Southeastern México, Louisiana State University Press, EE.UU. [Traducción al español: R. West, N. P. Psuty y B. Thom, (1986), Las tierras bajas de Tabasco en el sureste de México, traductor: Patricio Escalante Guerra, Biblioteca Básica Tabasqueña. Serie Monografías, Instituto de Cultura de Tabasco, México].
Información adicional
Cómo citar: Núñez G., J. C., R. Ramos R., E. Barba M., A. Espinoza T., L. M. Gama C. (2016), “Índice de vulnerabilidad costera del litoral tabasqueño, México”, Investigaciones Geográficas, núm. 91, Instituto de Geografía, UNAM, México, pp. 70-85,
dx.doi.org/10.14350/rig.50172.