Artículos
Recepción: 25 Octubre 2017
Aprobación: 11 Abril 2018
DOI: 10.14350/rig.59570
Resumen: En México, la Secretaría de Energía (Sener), a través de la Comisión Nacional de Hidrocarburos (CNH), proyecta en lo inmediato la extracción de gas de lutitas o shale gas por medio del fracturamiento hidráulico o fracking en el área fronteriza de Coahuila con Texas. Se prevé que la principal fuente de abastecimiento hídrica será la subterránea, subyacente en el Sistema Acuífero Transfronterizo Edwards-Trinity-El Burro. No obstante, la literatura especializada advierte de los vacíos de conocimiento con relación al funcionamiento hidrogeológico, sociotécnico y ambiental de ese sistema acuífero compartido. De acuerdo con la metodología de evaluación de los Acuíferos Transfronterizos del Programa ISARM/Américas (UNESCO, 2015), este trabajo efectuó un diagnóstico inicial del conjunto de información relativa al Sistema Acuífero Transfronterizo Edwards-Trinity-El Burro, identificado previamente por este Programa, para demostrar que poco se ha estudiado y relacionado el fracking con la perspectiva y gestión de manejo de los sistemas de flujo del agua subterránea transfronteriza, en función de la demanda de agua que implica dicha técnica de fracturamiento. Se consideró, además, que la unidad hidrogeológica en cuestión es un curso hídrico internacional. Asimismo, se llevó a cabo un análisis comparativo entre los marcos jurídicos e institucionales existentes entre Texas y México aplicables a la protección y conservación del agua subterránea con relación al fracking, y se advirtió la existencia de importantes asimetrías en el conocimiento, la evaluación y la gestión de estos cursos de agua compartidos. Los resultados de la presente investigación sugieren que en México existe poco conocimiento e interés en la evaluación sistémica de los acuíferos transfronterizos y, en consecuencia, se observa la falta de un esquema conjunto para la prevención y el control de daños ambientales transfronterizos derivados del fracking.
Palabras clave: Fracking, Acuíferos Transfronterizos, shale gas, ambiente, agua subterránea.
Abstract:
In Mexico, the Secretariat of Energy (SENER), through the National Hydrocarbons Commission, planned the immediate extraction of shale gas using the controversial fracking process in the border area of the State of Coahuila, neighboring the U.S. State of Texas. The main water supply for this economic activity will likely be groundwater from the Edwards-Trinity-El Burro Transboundary Aquifer System, shared by Mexico and the United States, as the surface water of the Rio Bravo basin is already committed according to the 1994 Binational Treaty on Water. The scientific literature suggests the existence of huge information gaps about this aquifer regarding geological, technical, social and environmental subjects, especially on the systemic functioning of the underground water circulating through the aquifer. According to the assessment methodology of Transboundary Aquifers of ISARM/Americas published by UNESCO (2015), this work carried out a baseline diagnosis and evaluation of information related to the Edwards-Trinity-El Burro Transboundary Aquifer System, previously identified by UNESCO. This aims to demonstrate that fracking has been barely studied in relation to the perspective and management of transboundary groundwater flows, considering the demand of water involved in fracking, and also bearing in mind that the hydrogeological unit involved, is an international water course subject to international regulations. In addition, we conducted a comparative analysis of the existing legal and institutional frameworks between Texas and Mexico on groundwater protection and conservation in relation tofracking. This revealed significant asymmetries in the approaches to manage environmental damages derived from fracking, as well as in the knowledge, assessment and management of these shared water courses.
The main findings of this research reveal little knowledge of and interest on a systemic assessment of transboundary aquifers in Mexico; consequently, there is a lack of a joint approach for the prevention and control of transboundary environmental damages associated with fracking. In this case study, information gaps were unveiled related to the geometry of the aquifer (3D-view), the hydrogeological functioning of the system, the characterization of groundwater systems, the definition and monitoring of key water quality indicators, the georeferencing of wells and springs, and the characterization of the human population and economic activities that depend on groundwater located in the Transboundary Aquifer. This in turn translates into the absence of a joint approach seeking effective prevention and management of transboundary environmental damages arising from groundwater fracking; therefore, this activity should be prohibited for being highly polluting, based on two environmental principles: the obligation not to cause significant harm, and the precautionary principle. The former has been established in international conventions and guidelines for the management of transboundary waters; the latter, in international documents that guide environmental protection and conservation.
Keywords: Fracking, Transboundary Aquifers, Shale gas, environmental, groundwater.
INTRODUCCIÓN
La gestión de los Sistemas Acuíferos Transfronterizos (SAT) está convirtiéndose en un asunto prioritario en la agenda internacional, así como en la de aquellos Estados que comparten dichos cuerpos hídricos. El estudio de los SAT es reciente, especialistas como Rivera (2015), señalan que 60% del agua dulce (superficial y subterránea) es atravesada por alguna frontera internacional y 40% de las cuencas internacionales están regidas por algún tipo de acuerdo hídrico. En esa tesitura, el Programa de Naciones Unidas para el Desarrollo, a través de los Objetivos para el Desarrollo Sostenible Agenda 2030 y los 17 Objetivos para Transformar Nuestro Mundo, indica en su objetivo 6: “Asegurar el acceso al agua y saneamiento para todos”, y en el apartado 6.5 dice que, para 2030, se deberá poner en práctica la gestión integrada de los recursos hídricos a todos los niveles, incluso mediante la cooperación transfronteriza (UNESCO, 2012). En el resto de los puntos que conforman el citado objetivo se establecen metas a mucho más corto plazo, tales como el restablecimiento de los ecosistemas y la protección efectiva de los acuíferos frente actividades altamente contaminantes para antes de 2020. Acorde con lo anterior, el Programa Hidrológico Internacional de UNESCO (2012), en su octava fase, Seguridad hídrica: Respuesta a los desafíos locales, regionales y mundiales (2014-2021), impulsa la investigación científica con relación a seis temas clave, entre ellos el número 2, intitulado “Aguas subterráneas en un mundo cambiante”, que establece como prioritaria, en su punto 2.5, la promoción del manejo integral de los acuíferos transfronterizos.
Por otra parte, en 2015, el International Groundwater Resources Assessment Centre (IGRAC) y la UNESCO identificaron en la frontera México-Estados Unidos 11 acuíferos transfronterizos (San Diego-Tijuana, cuenca baja del río Colorado, Sonoyta-Pápagos, Nogales, Santa Cruz, San Pedro, Conejos Médanos-Bolsón de la Mesilla, Bolsón del Hueco, Edwards-Trinity-El Burro, cuenca baja del río Bravo-Grande y Los Mimbres-Palmas). Más tarde, en 2016, Estados Unidos dio por concluido el Programa Federal de Caracterización y Evaluación Binacional de cuatro acuíferos transfronterizos (TAAP, por sus siglas en inglés): Santa Cruz, San Pedro, Conejos Médanos/Bolsón de la Mesilla y Bolsón del Hueco.1 Quedaron al margen del TAAP los otros siete acuíferos transfronterizos identificados por IGRAC, entre ellos, el SAT Edwards-Trinity-El Burro, del que según la literatura especializada, aún no se concluye la caracterización ni la evaluación hidrogeológica y sociotécnica. No obstante, es considerado un reservorio hídrico de carácter estratégico para México por el volumen de agua que podría aportar para una diversidad de actividades económicas, entre ellas, la extracción de hidrocarburos.2 El agua superficial situada en esa cuenca transfronteriza (Río Bravo-Grande) se encuentra comprometida con relación a lo que establece el Tratado de Aguas Binacional de 1944 (Córdova, 2014).
En efecto, gracias a la reforma constitucional en materia energética de 2014, se proyecta en México la intensificación de la extracción de gas de lutitas o shale gas por medio del fracturamiento hidráulico o fracking,3 técnica que demanda enormes cantidades de agua subterránea. De acuerdo con el estudio del U. S. Energy Information Administration (2016), se espera un incremento mundial en la producción de shale gas en un 30% en el periodo 2016-2040, y México es uno de los seis países que se convertirá, junto con Estados Unidos, Canadá, China, Argentina y Argelia, en miembro del principal bloque económico productor de dicho gas. Las inversiones permitirán que después de 2030, México pueda aportar volúmenes por arriba de 75% de la producción del gas natural mundial, sugiere el estudio. No obstante, se enfrentan diversos obstáculos para que ello suceda, el estudio de BMI Fitch Group Company plantea cuatro grandes problemas: la inseguridad, la falta de infraestructura, el acceso al agua y el acceso al gas estadounidense a precio bajo (BMI Research Senator House, 2015: 30). En el caso del agua, este estudio advierte que el fracking requiere de 60.6 hm3 de agua para la fracturación en cada pozo.4 Empero, en el caso Coahuila-Texas, que es una de las cinco áreas geográficas en las que se proyecta el fracking, la carencia de estudios puntuales del SAT Edwards-Trinity-El Burro sugiere que desconocer el funcionamiento sistémico del agua subterránea transfronteriza impedirá tomar las medidas necesarias para evitar o prohibir el uso, la extracción y contaminación irracional del agua, frente actividades predatorias como esta.
En efecto, los estudios científicos sobre los SAT en el mundo y en América del Norte son recientes; en el caso citado, son pocos los análisis existentes de sus principales rasgos (geometría; extensión territorial superficial; sistemas de flujo, calidad y cantidad de agua; áreas de recarga, tránsito y descarga; población; usos predominantes del agua, y actividades económicas, entre otros). De acuerdo con la metodología del Programa ISARM/Américas contenido en la publicación de UNESCO (2015) para evaluar los SAT, este trabajo efectuó un diagnóstico exploratorio del conjunto de la información oficial relativa al SAT Edwards-Trinity-El Burro para demostrar que la perspectiva y gestión de manejo transfronteriza, es decir, aquella que considera que la unidad hidrogeológica en cuestión es un curso hídrico compartido y de carácter internacional, es prácticamente inexistente. Asimismo, se llevó a cabo un análisis comparativo entre los mecanismos jurídicos e institucionales existentes entre Texas y México para la protección y conservación efectiva de las aguas subterráneas transfronterizas con relación al fracking, y se advirtió la existencia de una marcada asimetría en estos.
De esta manera, este trabajo abona a lo que Maciel (2006) denomina el reto de identificar los desafíos ambientales a lo largo de la frontera México-Estados Unidos para averiguar la forma en que se podrían afectar las comunidades fronterizas y los retos que ambos países deberán asumir en la integración del mercado energético de América del Norte.
LAS AGUAS SUBTERRÁNEAS TRANSFRONTERIZAS Y EL FRACKING: IMPLICACIONES
En México, el debate político de la integración energética con América del Norte ha sido bien estudiado por diversos especialistas como Bartlett y Vargas (2016), pero desde esa perspectiva crítica pocos han advertido la importancia estratégica del nexo agua-energía, apenas autores como Vargas y Valdés (2006), Maciel (2006), Vargas (2015) y Anglés (2015; 2016) lo señalan de forma marginal.
El fracking es una técnica muy polémica, no obstante, se ha posicionado como una actividad económica muy atractiva para los capitales transnacionales en la porción noreste de la frontera México-Estados Unidos (Eagle Ford Shale, 2017; Comisión Nacional de Hidrocarburos, 2017).5 En 2012, la Agencia Internacional de Energía (IEA, por sus siglas en inglés) posicionó a México en el cuarto lugar mundial por sus recursos “potenciales” de shale gas (681 millones ft3) detrás de China (1 271 millones ft3), Estados Unidos (862 millones ft3) y Argentina (774 millones ft3). Los estudios de Parraguez et al. (2015) y Chen y Carter (2016) analizan el avance del fracking en Texas y Nuevo México; en el primero se destaca que en el periodo 2008-2014 se perforaron más de 10 000 pozos, lo que significa un consumo de agua de cerca de los 166 hm3/año. Así, el estudio de la IEA (2012), intitulado Golden Rules for a Golden Age of Gas, reconoce que en el campo/play de Eagle Ford, situado en el oeste de Texas, se ha reducido el consumo de agua para fracking en un rango de 18.5 hm3/año a 13.6 hm3/año en 2010, gracias a técnicas de tratamiento del agua subterránea. De acuerdo al estudio de Rahm (2011), Eagle Ford es el cuarto campo principal de extracción de gas de lutitas en los Estados Unidos, y el U. S. Energy Information Administration (2016) estima una reserva gasífera de 3 335 000 ft3/día (septiembre). También el citado estudio de Chen y Carter (2016) agrega que los pozos de extracción de agua para el fracking se localizan en un rango menor a los 100 kilómetros de la línea fronteriza con México, situación que permite plantear, inicialmente, preguntas como el posible daño y los márgenes de alteración en la capacidad de respuesta del sistema hidrogeológico, en la cantidad y la calidad del agua subterránea transfronteriza, así como en las zonas de recarga y descarga del SAT Edwards-Trinity-El Burro, de acuerdo con las conclusiones de los estudios realizados en otras áreas geográficas en México, pero con problemas semejantes, de autores como Carrillo-Rivera et al. (1997) y Carrillo-Rivera y Cardona (2012).
El Plan Quinquenal de Licitaciones para la Exploración y Extracción de Hidrocarburos: 2015-2019 del gobierno federal mexicano (Secretaría de Energía, 2016) consideró que la provincia geológica de Sabinas-Burro-Picacho (Coahuila y Nuevo León) es la que tiene el mayor potencial de extracción de hidrocarburos no convencionales y plantea la intensificación del fracking en una superficie de 1 023.9 km2, con un volumen de recurso prospectivo calculado en 500.5 MMbpce en las Rondas 2 y 4.6 En el caso específico de Coahuila, el estudio de Manzanares (2014) señala que en Eagle Ford se identificaron los principales yacimientos de shale gas de toda la frontera México-Estados Unidos, por ello es posible advertir, a la fecha, más de 870 pozos que operan en Texas y 5 en México, y reporta la existencia de proyectos para ampliar la extracción del gas de lutitas a través de 27 000 pozos (con prospección a 2030), la cuarta parte de ellos (6 750) se localizará en Coahuila. Lo anterior coincide con el análisis publicado por la Alianza Mexicana contra el Fracking en dicha zona geográfica; su cartografía revela la existencia de más de una veintena de pozos situados en la frontera de Coahuila con Texas y en un rango no mayor a los 100 km de distancia del río Bravo.7 Debe agregarse que la Organización No Gubernamental Fundar publicó la ubicación y el nombre de las compañías operadoras de los pozos exploratorios de gas de lutitas, de acuerdo con información oficial de la CNH en 2016. En ese estudio se reportan 16 pozos en Coahuila (De la Fuente et al., 2016).
A pesar de lo anterior, la literatura revela que poco se ha estudiado y relacionado el fracking con los procesos y márgenes de alteración de los sistemas de flujo del agua subterránea transfronteriza, es decir, los que se clasifican como locales, intermedios y regionales (Tóth, 1970; UNESCO, 2015), en aquellos casos donde esta actividad se efectúa en SAT compartidos por dos o más naciones. En América del Norte existe un antecedente de fracking en SAT: el caso del Milk River, compartido por Estados Unidos (Montana) y la provincia canadiense de Alberta. Por lo menos desde hace tres décadas se registraron alteraciones preocupantes en los niveles de disponibilidad de agua subterránea de naturaleza transfronteriza (volumen y cantidad) en la parte canadiense, como resultado de la extracción irracional de esas aguas para fracking en la porción estadounidense de ese acuífero; el estudio de O’ Connell (2014) analiza el impacto de dicha actividad en el campo Montana Thrust Belt y concluye que estaba asociado a la presencia de más de 45 800 compañías operadoras de shale gas y petróleo por medio de 2 207 pozos.
Posteriormente, las evaluaciones científicas y técnicas por parte del gobierno canadiense y de los especialistas sirvieron para determinar los daños e impactos ambientales transfronterizos derivados del fracking en ese acuífero (Ghaderi et al. 2011; Pétré y Rivera, 2015). Como resultado, se impulsaron esquemas de regulación local y protección y conservación del agua en la porción canadiense con la finalidad de mitigar los impactos derivados del fracking en Montana. De esta manera, el Programa Milk River Aquifer Reclamation and Conservation se convirtió en uno de los programas de gestión del acuífero en cuestión con más éxito (Printz, 2004). El Programa se ejecutó al margen de los Tratados Internacionales signados por ambas naciones en materia de aguas compartidas, es decir, el Boundary Water Treaty U. S.-Canadá, de 1909, y el Great Lakes Water Quality Agreement, de 2013.8
Por lo anterior, es preocupante que en los recientes avances reportados en la caracterización binacional de los acuíferos transfronterizos México-Unidos no se haya incorporado una evaluación integral del SAT Edwards-Trinity-El Burro, al considerar aquellos elementos fundamentales que sugieren algunos de los instrumentos internacionales en materia de gestión y manejo adecuado de estos cursos hídricos internacionales. En esta tesitura, tanto las Directrices sobre seguimiento y evaluación de aguas subterráneas transfronterizas y las Model Provisions on Transboundary Groundwaters (Disposiciones modelo sobre aguas subterráneas transfronterizas), ambas emitidas por la UNECE (2000; 2014), resaltan que hay aspectos de carácter crítico que no se pueden marginar en la definición de un SAT, tales como el volumen de agua compartida entre ambos países, la dirección del flujo de esos cursos transfronterizos con relación a las zonas de recarga-tránsito-descarga, la calidad del agua, la cantidad y el tipo de población que depende del acuífero y la proyección de los usos de agua a futuro, entre otros. Incluso, debe mencionarse que, a pesar de los estudios pormenorizados de este acuífero en su porción estadounidense, para autores como Barker y Ardis (1996), Boguici (2004), Tintera y Savage (2006), Rahm (2011), Wong et al. (2013) y Sánchez et al. (2016), todavía está pendiente la generación de información de su referente hidrogeológico. Como será evidente más adelante, en México existe poca información que considere el SAT como una unidad de gestión transfronteriza; es decir, se carecen de estudios rigurosos sobre el funcionamiento del agua subterránea en el citado acuífero que terminen de confirmar su conexión hidrogeológica transfronteriza, lo que dificulta plantear su manejo desde un enfoque binacional.
EL SISTEMA ACUÍFERO TRANSFRONTERIZO EDWARDS-TRINITY-EL BURRO: UNA APROXIMACIÓN INICIAL
De acuerdo con la UNESCO (2015) e IGRAC (2015), el SAT Edwards-Trinity-El Burro, (Figura 1) situado en la porción norte de Coahuila y en el sur-centro de Texas, posee una extensión territorial del orden de 130 005 km2, de los cuales aproximadamente 22 000 km2 se sitúan en México y el resto en Estados Unidos. Su espesor y definición 3D aún no se conocen con exactitud, pero se advierte que, en función de la zona geográfica de donde se esté extrayendo el agua, podría oscilar entre los 150 y los 330 m s. n. m. (San Antonio y Austin, Texas). Respecto de la cantidad y calidad del agua subterránea, se reporta que en México se estima una extracción del orden de 10 hm3/año, mientras que en Estados Unidos es de 72 hm3/año. En ese país el agua se destina, principalmente, al sector agroindustrial (75%) y el restante (25%) a actividades que comprenden el consumo municipal, la minería y la cría de ganado; en México el agua se destina al sector agrícola y al uso doméstico, aunque no se reportan cifras en concreto. Por lo que se refiere a la calidad del agua, se expresa que es aceptable, aunque en algunos puntos de Texas se detectó contaminación por las salmueras provenientes de los campos de petróleo y escorrentía de origen agrícola (UNESCO, 2015: 47).9

Por otra parte, respecto del número de habitantes que podrían depender de este SAT, existen ciertas discrepancias en los datos, toda vez que el citado documento señala que en 2005 se calcularon 110 614 habitantes en la porción mexicana, y en la estadounidense, 49 000. No obstante, al considerar la poligonal horizontal y superficial del SAT, se efectuó una estimación de su población y los resultados difieren de los ya citados. Si se considera el censo de 2010 efectuado por el Instituto Nacional de Estadística y Geografía (Inegi) en México, 10 municipios fronterizos mexicanos se encuentran por encima del SAT, con una población que asciende a los 518 699 habitantes (34.67%). En Texas, la extensión del SAT corresponde a 37 condados en los que habitan 977 101 personas (65.33%) (U. S. Bureau of Census, 2015). Se observó que en Estados Unidos se sitúa el mayor contingente poblacional sobre el SAT y no en México, eso podría explicar, parcialmente, el incremento de la demanda de agua subterránea en ese país. Aunque debe agregarse que existen cinco años de diferencia en los datos del INEGI con respecto a los estadounidenses, aun así, podría considerarse difícil que la población del norte de Coahuila experimentara a la fecha un crecimiento significativo, toda vez que es un territorio poco poblado y desarrollado con relación a la porción sur de esa entidad en la que se concentra la población en ciudades como Torreón o Saltillo. Por el contrario, en el estado de Texas destacan ciudades como Odessa, Fort Stockton, San Angelo, Del Río e Eagle Pass, mientras que en Coahuila únicamente sobresale Ciudad Acuña y Piedras Negras por su tamaño. No obstante, de los 47 condados y municipios analizados, apenas seis rebasan la cifra de los 100 000 habitantes (Tabla 1).

Respecto a la geometría poligonal horizontal de este SAT, que se encuentra definida en el estudio de IGRAC (2015) y UNESCO (2015), una revisión detallada a la literatura especializada revela, nuevamente, discrepancias. En Texas, la autoridad estatal hídrica, es decir, la Junta del Agua de Texas (TWDB, por sus siglas en inglés), calculó la extensión territorial en 2011 de los acuíferos Edwards y Trinity en 83 641.07 km2; por su parte, Barker y Ardis (1996) y Wong et al. (2013) confirman la conexión geológica-estratigráfica e hídrica de los citados acuíferos; en el estudio de Barker y Ardis (1996) incluso se reporta una estimación de 16 000 km2 adicionales situados en la porción mexicana de estos acuíferos, denominados El Burro y, finalmente, el estudio de Boguici (2004) verifica su conexión hidrogeológica con Edwards y Trinity. Debe mencionarse que en los polígonos definidos por IGRAC (2015) y UNESCO (2015) se aprecia poca claridad con la extensión territorial total del SAT Edwards-Trinity-El Burro, pues faltarían incorporar a la geometría (en su plano horizontal y 3D) los otros cinco acuíferos administrativos mexicanos (Cerro Colorado-La Partida, Presa la Amistad, Palestina, Allende-Piedras Negras y Región Carbonífera), por ello, existe la incertidumbre acerca del incremento en su extensión horizontal, la cual podría ser del orden de hasta 44 434.20 km2,10 a pesar de ello, su mayor extensión territorial seguiría situándose en Estados Unidos.11
La información que la autoridad hídrica mexicana posee del acuífero Serranía del Burro es pobre si se compara con la existente de los acuíferos Edwards y Trinity en Texas, a partir del reporte emitido por la Comisión Nacional del Agua (Conagua, 2015f), situación semejante a los otros acuíferos mexicanos mencionados. De acuerdo a lo que plantea la UNESCO (2015), un aspecto clave para la gestión correcta de estos cuerpos hidrogeológicos compartidos es la definición de los límites laterales y verticales (espesor) que acotan, a su vez, el tamaño real del acuífero, lo que en consecuencia clarifica su tipo (confinado, semiconfinado-no confinado),12 sin embargo, en los informes oficiales mexicanos sólo se aprecia la descripción de sus límites horizontales, los cuales, cabe señalar, son de un carácter convencional o administrativo.
En ese tenor, el estudio de Sánchez et al. (2016) ilustra la dicotomía imperante entre la definición oficial y operativa de “acuífero” en México y en Texas; en este último, el Código del Agua (§§ 35.002[6] y 36.001[6]) lo define como un reservorio de agua subterránea o un “depósito de agua específico en el subsuelo que posee límites determinables y que contiene a las aguas subterráneas”. Como señalan estos autores, no es claro si “reservorio de agua subterránea” es equivalente a “acuífero”, pero tampoco lo es si se refiere a sistema de flujo, aunque, en comparación con la concepción mexicana, su definición no es un acto convencional. Sin embargo, lo que se debe hacer notar es que en Texas los límites de los acuíferos están representados por la geología de la roca, lo que considera sus límites horizontales y, además, verticales (visión 3D). En México, la definición de “acuífero” se encuentra en el artículo 3 de la Ley de Aguas Nacionales (LAN, 2016) y dice que es
cualquier formación geológica o conjunto de formaciones geológicas hidráulicamente conectadas entre sí, por las que circulan o se almacenan aguas del subsuelo que pueden ser extraídas para su explotación, uso y aprovechamiento y cuyos límites laterales y verticales se definen convencionalmente para fines de evaluación, manejo y administración de las aguas nacionales del subsuelo.
El problema de esta concepción es que en ella se destaca una incertidumbre en la definición de los límites horizontales y verticales de los acuíferos, por ello, es un acto de conveniencia de la autoridad que soslaya las características de todo el referente hidrogeológico. Además, esta forma de delimitar los acuíferos es un acto de poder que recae en el titular del Poder Ejecutivo Federal, lo que revela la falta de una incorporación sistemática de los conocimientos científicos al respecto y de la democratización de la gestión del agua en México.
Este es un problema no menor, porque ilustra las dicotomías y asimetrías que rigen en el plano jurídico para los procesos de conocimiento y evaluación del agua subterránea en México y en apenas una entidad subnacional de Estados Unidos, es decir, Texas. De esta manera, las conclusiones del estudio citado con relación a la falta de elementos que permitan verificar el tipo de conexión hidrogeológica en los acuíferos fronterizos México-Estados Unidos fortalece la presente hipótesis de trabajo.13
De forma adicional, los programas de evaluación citados para la gestión de estos acuíferos sugieren identificar y monitorear todos los aprovechamientos naturales y artificiales, los usos del agua, la delimitación de la zona de recarga/descarga, el tipo de acuífero (libre, confinado, semiconfinado) y la calidad del agua. Considerando lo anterior, la información oficial disponible de los seis acuíferos administrativos mexicanos que podrían conformar el SAT en cuestión (Tabla 2) arroja falta de información básica de los rasgos mencionados. Únicamente en dos de éstos se apreció mucho mayor cantidad y calidad de información en comparación con los otros cuatro restantes. Un ejemplo es en los acuíferos Allende-Piedras Negras y Región Carbonífera, en donde se reportan estudios más profundos de su estratigrafía, sus zonas de recarga/descarga y el análisis de la calidad del agua en un amplio número de pozos, aunque debe decirse que el monitoreo de esta actividad es difuso, según la propia autoridad. No obstante, en ninguno de los documentos analizados se alude a la naturaleza transfronteriza de estos acuíferos a partir de su conexión hidrogeológica transfronteriza, en ese sentido, apenas los estudios de Boguici (2004) y de George et al. (2011) reportan que en la porción alta de la Serranía del Burro se efectúa la recarga del SAT, y se infiere que su descarga se lleva a cabo en la Presa la Amistad, la Presa Falcón y en los ríos próximos, como San Rodrigo, Escondido, San Diego y Las Vacas, en Coahuila, y en Texas, en los ríos Devils, Sycamore y Nueces.

Respecto del número total de aprovechamientos, el uso y la calidad del agua, existen también discrepancias. Por una parte, en los Decretos Oficiales sobre la Disponibilidad Media Anual publicados por la Conagua (2015a; 2015b; 2015c; 2015d; 2015e; 2015f; 2015g), las cifras relativas al número de aprovechamientos no coinciden con lo que se contabilizó en la base de datos del Registro Público de Derechos de Agua (Repda) (Conagua, 2018), pues para el caso del acuífero Allende-Piedras Negras, en su Informe de Disponibilidad Media Anual se reportan 674 aprovechamientos, mientras que en el Repda se encontraron 981 concesiones. Incluso un análisis de su distribución espacial por medio de la capa de esa misma base de datos (Conagua, s.f.) arrojó imprecisiones sobre su georreferenciación, al verificarse pozos situados en territorio estadounidense o fuera de los límites convencionales-administrativos del acuífero establecidos por la propia autoridad del agua.
De esta manera, se contabilizaron 2 585 concesiones en los seis acuíferos administrativos, en los que el principal uso del agua es de carácter público-urbano (1 561 concesiones), seguido de 507 de tipo agrícola, 328 de tipo pecuario, 129 para diferentes usos, 26 de tipo industrial, 20 de uso doméstico y 14 para servicios. Vale la pena plantear interrogantes respecto a este tema, puesto que en acuíferos como Serranía del Burro, con una extensión territorial del orden de 4 016 km2, se reportan tanto en su Disponibilidad Media Anual como en el Repda, apenas 4 pozos y/o 4 aprovechamientos. Si bien se observaron aspectos positivos como la georreferenciación de los pozos y las cifras correspondientes a los volúmenes concesionados, es necesario actualizar el Repda para establecer, entre otras, la medición en tiempo real de los caudales de agua utilizados por medio del monitoreo de valores como tiempo-calidad-temperatura.14
Sin la previa identificación, caracterización y monitoreo de los anteriores aspectos, será poco viable poseer un conocimiento actualizado de la dinámica socioespacial del SAT, lo que, en consecuencia, haría difícil el establecimiento de un esquema de gestión binacional que contemple medidas para la prohibición o regulación del fracking, como en el caso del SAT Milk River en Canadá-Estados Unidos.
AGUA SUBTERRÁNEA, FRACKING Y CONFLICTO
Según la Conagua (2015g), la disponibilidad del agua en México registra una tendencia a la baja, pues mientras en 2010 fue de 4 090 m3 por habitante, se proyecta que, para 2030, disminuya a 3 815 m3. Este escenario, según esa dependencia, se agravará en regiones del país con condiciones desérticas, como la frontera norte. Así, la disponibilidad natural media en la región hidrológica administrativa VI. Río Bravo, que es donde se sitúa el norte de Coahuila, existe un balance hídrico negativo (Tabla 3).

En oposición a la carencia de volúmenes de agua superficial para concesionar en esa región hidrológica, la existencia de volúmenes de disponibilidad de agua subterránea en toda esa cuenca es del orden de 1 604.54 hm3/año, posicionándose como la opción más viable para la extracción de shale gas. Empero, esta cifra se reduce para todo el estado de Coahuila, es decir, 47.53 hm3/año (Tabla 4), y que en el caso de los seis acuíferos administrativos perteneciente al SAT Edwards-Trinity-El Burro, se reportan volúmenes suficientes de disponibilidad de agua subterránea con un orden de 118.48 hm3/año, superando así la cantidad disponible de agua subterránea en todo el estado de Coahuila (47.53 hm3/año) (Tabla 5).


Si las anteriores cifras se emplean para el otorgamiento de concesiones de agua para fracking, se puede desencadenar el descontento social, revelando, además, los enormes errores en la gestión del agua subterránea en el país. De acuerdo con la denuncia pública que efectuaron los ejidatarios de Jiménez, Coahuila, en 2016,15 en razón de la disponibilidad de agua subterránea, en tan sólo 20 días se podría extraer para el fracking toda el agua subterránea disponible en el acuífero fronterizo Allende-Piedras Negras. De obtener esas compañías la ampliación de su concesión, significaría acabar en 10 días con el agua del volumen disponible y equivalente del acuífero Serranía del Burro (10.89 hm3/año).16
La discrepancia en estos datos es correlativa a la falta de información puntual de evaluaciones rigurosas del agua subterránea. Al respecto, considérense las conclusiones del estudio de Carrillo-Rivera y Cardona (2012), pues son determinantes porque ofrecen evidencia de que en México no se evalúa la dimensión real de los acuíferos, por lo que se soslayan sus dimensiones como el espesor, la determinación del basamento, la calidad del agua y, en consecuencia, el funcionamiento real del sistema de flujos que definen el movimiento del agua subterránea en todo el referente hidrogeológico. Incluso, el estudio de Carrillo-Rivera et al. (2016: 155) señala que se incurre en errores en el cálculo del balance hídrico, pues los datos usados para ello no son evaluados de forma fehaciente, es decir, la recarga total media anual, la descarga natural comprometida (en función de las concesiones, dejando al margen los pozos ilícitos, como los que controla el crimen organizado) y la extracción de agua en pozos que no cuentan en su mayoría con medidor de caudal, entre otros. Lo anterior se apreció en el conjunto de los acuíferos aquí analizados. Sin duda, los instrumentos y documentos ya señalados para la gestión de los SAT exigen el empleo de metodologías de evaluación que superen las limitantes antes mencionadas, porque deben ser la base para el diseño de cualquier modelo de gestión conjunta e, incluso, de hidrodiplomacia para las aguas subterráneas transfronterizas.
El carácter polémico del fracking debiera entonces situar en el mapa político de los SAT la urgencia de considerar la evaluación integral de este SAT y adoptar, en consecuencia, estrictas medidas de protección y conservación de los cursos de agua subterránea transfronteriza en ambos países para evitar, sobre todo, diferendos y conflictos como el del Valle de Mexicali y el revestimiento del Canal Todo Americano en California (Sánchez, 2004), o problemas como en el SAT Milk River.
LAS ASIMETRÍAS EN LA PROTECCIÓN Y CONSERVACIÓN DEL AGUA EN EDWARDS-TRINITY-EL BURRO
A la luz del cuestionamiento existente de los efectos nocivos del fracking en la cantidad y calidad del agua subterránea y, por lo tanto, en la alteración sistémica de los acuíferos transfronterizos, así como las implicaciones en los problemas de salud pública, de la extinción de las especies y de los ecosistemas, así como de la transformación en la organización económica y política del espacio, es relevante analizar la efectividad de los mecanismos de protección y conservación del agua en el contexto de una actividad con fuertes implicaciones ambientales transfronterizas.
En Texas, la industria de los hidrocarburos es regulada por el Estado,17 la Texas Railroad Commission (TRRC, por sus siglas en inglés) ejecuta disposiciones legales para la explotación de hidrocarburos y vigila que la normatividad en materia de protección ambiental se cumpla (Davis, 2012: 183). Sus facultades están previstas en la Ley del Agua de Texas (Texas Water Code), que, en conjunto con la TWDB, regulan y previenen la contaminación del agua por esa industria. Además, esta ley mandata la creación de un Comité de Protección para el Agua Subterránea (Texas Groundwater Protection Committee) en cada condado. Desde la perspectiva de Tintera y Savage (2006), este conjunto de agencias ha contribuido eficazmente a la reducción de casos de contaminación de agua subterránea por extracción de hidrocarburos, incluso gracias a la colaboración financiera de las propias compañías contaminantes.18
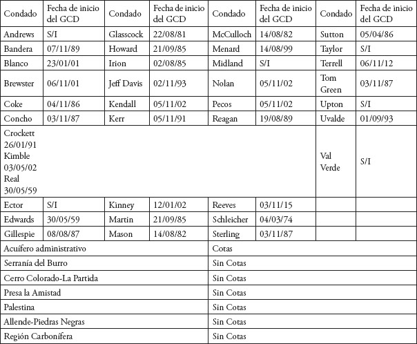
En ese sentido, el TWDB efectúa un seguimiento puntual de uso, calidad, cantidad, tipo de infraestructura, cuidado y protección del agua subterránea. Para ello, creó una figura operativa denominada Distritos de Conservación de Agua Subterránea (Groundwater Conservation Districts [GCD]), que se encargan de ejecutar el plan de gestión y conservación del agua subterránea. La TWDB proporciona ayuda técnica y educativa para que cada Distrito de Conservación ejecute los modelos de monitoreo permanente de la cantidad y calidad del agua, las zonas de recarga y de descarga natural, los volúmenes de extracción y su uso, así como los programas de conservación. Además, obliga a reportar a los usuarios particulares o públicos datos como la localización georreferenciada, la profundidad del pozo, el tipo de usuario, el nombre del usuario, el constructor del pozo y sus niveles piezométricos, entre otros.19 Además, cada uno de estos Distritos está obligado a transparentar los datos mencionados y sus planes anuales de gestión. En suma, estas acciones, en el caso del SAT Edwards-Trinity,20 le confieren un esquema de gestión mucho más integral en el que parecen privar, incluso, mecanismos de alerta temprana en caso de contaminación por descargas residuales o alteración en la calidad del agua, como el fracking.
En contraste, en México los acuíferos se gestionan a partir de un entramado institucional que parece privilegiar el agua superficial. Es la Conagua la que, a través de los Organismos de Cuenca, administra las concesiones de agua. Estos Organismos poseen un cuerpo colegiado consultivo denominado Consejo de Cuenca, conformado por empleados del Estado, usuarios y sociedad, que está encargado de recomendar los lineamientos y planes de gestión en materia de saneamiento y monitoreo de la calidad del agua, así como de promover e impulsar la conservación y mejoramiento de los ecosistemas, entre otros. En lo que se refiere a las aguas subterráneas, los Consejos de Cuenca se auxilian, a su vez, de los Comités Técnicos de Aguas Subterráneas (Cotas)21 para cumplir con sus funciones. Aunque en México existen 653 acuíferos administrativos, a la fecha operan únicamente 88 Cotas (13.5%); en el caso de los acuíferos que conforman el SAT aquí analizado, no hay Cota alguno operando (Conagua 2015g). Si se compara con los Distritos de Conservación de Agua Subterránea texanos situados en el SAT Edwards-Trinity, de los 37 que deberían de operar en cada condado, se registran en funcionamiento 31 (84%), frente a 0% de Cotas operando en la porción mexicana del SAT (Tabla 6).

A pesar de este cúmulo de deficiencias en México en materia de protección ambiental de los acuíferos situados en la frontera, debe agregarse la poca eficiencia de los mecanismos institucionales de conservación del medio ambiente y del agua en el contexto de la relación México-Estados Unidos. El programa bilateral Frontera 2020 (2013-2020), derivado del Acuerdo de La Paz (1983) contempla cinco objetivos,22 el segundo intitulado: “Mejorar el acceso a agua limpia y segura”, sin embargo, no existe alusión explícita alguna a la protección de las aguas subterráneas transfronterizas. Prácticamente su plan de acción está restringido a mejorar las condiciones de la infraestructura hídrica urbana y de saneamiento de las principales ciudades fronterizas, sin contemplar la evaluación de las fuentes de abastecimiento hídrico. Asimismo, hasta el momento, el Tratado de Aguas de 1944 no contempla la gestión integral y conjunta de los acuíferos transfronterizos, por lo que ambas secciones (mexicana y estadounidense) de la Comisión Internacional de Límites y Aguas carecen de atribuciones específicas para este tema, aunque se debe reconocer que ambas oficinas firmaron en 1992 el Acta/Minuta 289 para observar y monitorear la calidad del agua tanto superficial como subterránea, aspecto no contemplado inicialmente en 1944.
De forma muy reciente, en México (agosto de 2017) se publicaron en el Diario Oficial de la Federación (2017, 30 de agosto) los Lineamientos para la protección y la conservación de las aguas nacionales en actividades de exploración y extracción de hidrocarburos en yacimientos no convencionales, en donde se establece un marco regulatorio de protección para el agua que se empleará para el fracking, sin embargo, no se hace mención alguna a la protección efectiva de las aguas subterráneas transfronterizas, ni reconoce esas aguas como cauces internacionales y compartidos. Además, deben resaltarse al menos dos situaciones adicionales que, por su carácter, podrían hacer poco efectivo el contenido de los lineamientos citados en materia de protección de agua subterránea: la primera es que éstos aplican para todas las aguas nacionales, pero una revisión al párrafo quinto del artículo 27 constitucional, sugiere que las aguas del subsuelo no son nacionales de facto, a pesar de tener vigencia la veda decretada el 5 de abril de 2013 por el presidente de la República para la suspensión del libre alumbramiento. Tampoco en la Ley General de Bienes Nacionales se aprecia que el agua subterránea posea ese atributo (H. Cámara de Diputados, 2004). Muy por el contrario, en el Código Civil Federal, en los artículos 933 al 937, se regula el dominio privado del agua subterránea. A ese respecto, el análisis que hace el ministro de la Suprema Corte de Justicia de la Nación Genaro D. Góngora Pimentel en su estudio “Tesis y Jurisprudencia en Materia de Aguas” (2008) –acerca de los precedentes jurídicos relativos al agua–, confirma que el Estado mexicano reconoce la propiedad privada del agua subterránea, y se excluye el carácter federal de los manantiales. Esta es una reforma constitucional pendiente en México para nacionalizar esta agua.
La segunda tiene que ver con la posible controversia de carácter constitucional que podría suscitar el contenido del artículo 416 del Código Penal Federal, en el que se establece la prohibición de inyectar desechos o contaminantes en el suelo causantes de daños a los recursos naturales, la calidad del agua, los ecosistemas o el ambiente. En esa tesitura, el fracking es una actividad que requiere de la mezcla de contaminantes,23 los cuales seguramente no podrán cumplir con lo establecido en las Normas Oficiales 014 y 015 de la Conagua, en donde se definen los parámetros para la inyección o recarga de agua en el subsuelo. Resta mencionar que en la Ley de Aguas Nacionales no existe reglamento o Normas Oficiales en las que se defina el concepto inyección de agua en el subsuelo para extraer hidrocarburos no convencionales.
En coherencia con la perspectiva desarrollada en este trabajo acerca del carácter transfronterizo de las aguas subterráneas, no puede soslayarse el principio que rige toda gestión de cursos de agua compartidos: la obligación de no causar un daño significativo, presente desde la Declaración de Estocolmo de 1972, luego en la Resolución de Naciones Unidas 3129 “Soberanía de los Recursos Naturales Compartidos” y en el Proyecto de Artículos (en calidad de borrador) Resolución 63/124 “El Derecho a los Acuíferos Transfronterizos”. En todos los documentos citados se alude a la responsabilidad de los Estados que comparten aguas transfronterizas para usarlas de forma equitativa y razonable, evitando daños significativos, lo cual, en el caso del fracking, se puede traducir como alteraciones al sistema y composición original del SAT, como fue evidente en el caso del SAT Milk River. Este principio también se puede vincular con el principio precautorio consagrado en la Declaración de Río de 1992, el cual señala que aun careciendo de las evidencias científicas de los daños provocados al medio ambiente, en este caso derivados del fracking, la decisión política debe ser su prohibición total. Al respecto, N. Klein (2015) explica la efectividad de este principio y su aplicación en diversos puntos de Canadá y de Estados Unidos, en donde los movimientos sociales y ambientalistas presionaron para la prohibición del fracking en razón de la apelación a este principio.
Finalmente, los daños ambientales por fracking podrán ser determinados si existe la capacidad de cooperación para la evaluación conjunta de carácter hidrogeológica, sociotécnica y medioambiental de los SAT, pero que en el caso aquí analizado, los efectos proyectados por el fracking hacen que no se pueda postergar más la cooperación en el ámbito de la relación bilateral México-Estados Unidos.
CONCLUSIONES
En el proceso de la construcción del mercado energético de América del Norte, en donde México es una pieza fundamental para las compañías transnacionales por sus reservas prospectivas de shale gas, se ha olvidado la importancia de la relación intrínseca entre la producción energética y el agua. El caso del SAT Edwards-Trinity-El Burro revela la importancia estratégica del agua subterránea, no sólo por su convergencia con los yacimientos de hidrocarburos no convencionales, sino por ser un elemento sine qua non para la extracción del gas de lutitas en un espacio donde el agua superficial ya se encuentra comprometida con el vecino país del norte.
Además, el caso aquí analizado revela que en el tema del fracking poco se ha reflexionado en los impactos de esta actividad económica con relación al uso y disposición de cauces de agua internacionales, como las aguas subterráneas transfronterizas. En consecuencia, se ha minimizado la importancia de la identificación, evaluación y correcta gestión de los SAT por parte de los países que los comparten.
Desde esta perspectiva, se evidenció que se carecen de evaluaciones rigurosas de esa agua, sobre todo en los acuíferos mexicanos como Serranía del Burro y los otros cinco acuíferos administrativos que, según los especialistas, están vinculados con los acuíferos texanos Edwards y Trinity. Aspectos como la falta de una precisión con respecto a su delimitación vertical y horizontal, el análisis riguroso de la formación geológica y la falta de monitoreo de la calidad y cantidad de agua aprovechada, entre otros, impiden tener una evaluación profunda, la cual, a su vez, impide un control mucho más efectivo del agua que se extrae en la frontera actualmente. Por otra parte, aunque se reconoce que el fracking es una actividad que se ha llevado a cabo en Texas por lo menos desde hace más de un lustro, se identificó que, a diferencia de México, existe una política mucho más rigurosa para el seguimiento y control del comportamiento de los patrones que definen calidad, cantidad, uso, descarga y recarga natural y artificial de los sistemas acuíferos, así como la protección y conservación del agua. En México, por el contrario, las regulaciones en torno al uso de agua subterránea en el fracking son recientes y, además, son objeto de controversia tan sólo por el ámbito de su aplicación.
Más allá del debate de la cantidad exacta de agua que demanda el fracking, lo cierto es que esa actividad altera las componentes verticales y horizontales del acuífero, con daños que podrían rebasar escalas locales que lograrían impactar hasta en cientos de kilómetros a la redonda. El resultado, sin duda, serán impactos ambientales transfronterizos irreversibles en menos de dos décadas si no se identifica, evalúa, mitiga o prohíbe el fracking. Lo anterior sugiere que podría aplicarse la estricta observancia de los principios de la obligación de no causar daños significativos plasmados en las directrices para gestionar aguas transfronterizas, y también el principio precautorio, como mecanismos de inhibición y prohibición del fracking.
Cabe recordar entonces que los instrumentos internacionales del derecho de las aguas internacionales como cauces compartidos sugieren que los Estados ejecuten todas las medidas necesarias para evitar daños mayores que pudieran afectar a uno u otro Estado, por efecto de un uso irracional del agua. En ese sentido, México y Estados Unidos reconocen en el Tratado de 1944 la existencia de tres cuencas compartidas, es decir, la de los ríos Bravo, Colorado y Tijuana, pero no así de las aguas subterráneas transfronterizas. Por esa razón, programas como el TAAP han contribuido al conocimiento de los SAT, aunque sigue pendiente la evaluación conjunta de acuíferos transfronterizos como el aquí analizado. En esa tesitura, los planes del Estado mexicano para efectuar licitaciones y concesiones de agua para la industria del fracking en el área fronteriza Coahuila-Texas debiera ser motivo suficiente para emprender los esfuerzos necesarios con el fin de establecer las medidas de cooperación bilateral necesarias para conocer, con mayor profundidad, los rasgos que caracterizan el agua subterránea transfronteriza y, con ello, posicionar en el mapa político de los SAT México-Estados Unidos al Edwards-Trinity-El Burro.
Al final quedó claro que sin una adecuada caracterización y evaluación científica de los SAT será difícil establecer esquemas de protección y conservación del agua subterránea homologados o conjuntos, por lo que seguirán prevaleciendo las asimetrías existentes en el conocimiento, la evaluación y gestión del agua subterránea con relación al fracking entre México y Estados Unidos.
REFERENCIAS
Alianza Mexicana contra el Fracking (2016). Mapeo del fracking en México. México: Cartocrítica, Investigación, mapas y datos para la sociedad civil. Recuperado de http://nofrackingmexico.org/mapeo-fracking/
Anglés, M. (2015). Desarrollo energético vs. sustentabilidad ambiental. En M. Carmona y A. Acuña (Coords.), La Constitución y los derechos ambientales (pp. 33-51). Ciudad de México: IIJ-UNAM.
Anglés, M. (2016). Fracturación hidráulica y su impacto en los derechos humanos a un medio ambiente sano, al agua y a la salud. En M. J. Ackerman (Coord.), Fracking. ¿Qué es y cómo evitar que acabe con México? (pp. 31-57). Ciudad de México: IIJ-Tirant Humanidades.
Barker, R. A., y Ardis, A. F. (1996). Hydrogeologic Framework of the Edwards-Trinity Aquifer System, West Central Texas. U. S. Geological Survey Professional Paper, 1421-B, 1-76. Recuperado de https://pubs.usgs.gov/pp/1421b/report.pdf
Bartlett, M., y Vargas, R. (2016). Reforma energética: el poder duro y consensuado para imponerla. México: Senado de la República.
BMI Research Senator House (2015). Mexico Oil & Gas Report Q1 2016. Includes 10-Year Forecast to 2024. Londres: Business Monitor International Ltd.
Boguici, R. (2002). Transboundary Aquifers of the Del Rio/Ciudad Acuña-Laredo/Nuevo Laredo Region. Texas Water Development Board Contract Report to the U. S. Environmental Protection Agency, Region 6. Austin: Texas Water Development Board.
Boguici, R. (2004). Hydrogeology of Edwards-Trinity Aquifer of Texas and Coahuila in the Border Region. En Aquifers of the Edwards Plateau: Texas Water Development Board, Report (Vol. 360) (págs. 91-114). Austin: Texas Water Development Board . Recuperado de http://www.twdb.texas.gov/publications/reports/numbered_reports/doc/R360/Ch04.pdf
Carrillo-Rivera, J. J., y Cardona, A. (2012). Groundwater Flow Systems and Their Response to Climate Change: A Need for a Water-System View Approach. American Journal of Environmental Sciences, 220-235.
Carrillo-Rivera, J. J., Cardona, A., y Margain, R. (1997). Groundwater Flow and Environmental Impact in Mexico. Geografía y Desarrollo, Revista del Colegio Mexicano de Geografía A.C., 15, 17-26.
Carrillo-Rivera, J. J., Peñuela, L., Huizar, A. Cardona, A., Ortega, A., Vallejo, J. y Hatch, G. (2016). Capítulo 10. Conflictos por el agua subterránea. En Geografía de México. Una reflexión espacial contemporánea (Tomo 1) (pp.151-166). México: Instituto de Geografía, UNAM.
Chen, H., y Carter, K. E. (2016). Water Usage for Natural Gas Production Through Hydraulic Fracturing in the United States from 2008 to 2014. Journal of Environmental Management, 170, 152-159. Recuperado de https://doi.org/10.1016/j.jenvman.2016.01.023
Comisión Internacional de Límites y Aguas. (1973). CILA, Acta No. 289 “Observación de la calidad de las aguas a lo largo de la frontera entre México y los Estados Unidos”. Comisión Internacional de Límites y Aguas entre México y los Estados Unidos. Sección Mexicana. Recuperado de http://www.cila.gob.mx/actas/289.pdf
Comisión Nacional de Hidrocarburos (2010). Estadísticas de Petróleo y Gao. Recuperado de https://portal.cnih.cnh.gob.mx/estadisticas.php el 1a de diciembresde 2010.
Conagua (s.f.). índice de archivos KMZ. México: Conagua. Recuperado de http://siga.conagua.gob.mx/REPDA/Menu/MenuKMZ.html el 28 de mayo de 2018.
Conagua (2015). Norma Oficial Mexicana NOM-011-CONAGUA-2015. Recuperado de http://www.dof.gob.mx/nota_detalle.php?codigo=5387027&fecha=27/03/2015 el 20 de diciembre de 2017.
Conagua (2015a). Actualización de la disponibilidad media anual de agua en el acuífero Allende-Piedras Negras (501), estado de Coahuila. Ciudad de México: Comisión Nacional del Agua, Gerencia de Aguas Subterráneas.
Conagua (2015b). Actualización de la disponibilidad media anual de agua en el acuífero Cerro Colorado-La Partida (503), estado de Coahuila. Ciudad de México: Comisión Nacional del Agua, Gerencia de Aguas Subterráneas.
Conagua (2015c). Actualización de la disponibilidad media anual de agua en el acuífero Palestina (0513), estado de Coahuila. Ciudad de México: Comisión Nacional del Agua, Gerencia de Aguas Subterráneas.
Conagua (2015d). Actualización de la disponibilidad media anual de agua en el acuífero Presa la Amistad (0522), estado de Coahuila. Ciudad de México: Comisión Nacional del Agua, Gerencia de Aguas Subterráneas.
Conagua (2015e). Actualización de la disponibilidad media anual de agua en el acuífero Región Carbonífera (0512), estado de Coahuila. Ciudad de México: Comisión Nacional del Agua, Gerencia de Aguas Subterráneas.
Conagua (2015f). Actualización de la disponibilidad media anual de agua en el acuífero Serranía del Burro (0526), estado de Coahuila. Ciudad de México: Comisión Nacional del Agua, Gerencia de Aguas Subterráneas.
Conagua (2015g). Estadísticas del agua en México. Edición 2015. Comisión Nacional del Agua. Ciudad de México: Semarnat.
Conagua (2018). Consulta a la base de datos del Repda. México: Conagua. Recuperado de http://app.conagua.gob.mx/repda.aspx el 28 de mayo de 2018.
Córdova, G. (2014). La ciudad y sus actores, la sustentabilidad del agua en Ciudad Juárez. México: El Colegio de Chihuahua.
Davis, C. (2012). The Politics of “Fracking”: Regulating Natural Gas and Drilling Practices in Colorado and Texas. Review Policy Research, 29(2), 177-191. Recuperado de http://onlinelibrary.wiley.com/doi/10.1111/j.1541-1338.2011.00547.x/full
De la Fuente, A., Guerrero, J. C., Del Pozo, E., Arredondo, Ó. (2016). El sector de hidrocarburos en la Reforma Energética: retrocesos y perspectivas. Ciudad de México: Fundar, Centro de Análisis e Investigación, A. C. Recuperado de http://fundar.org.mx/el-sector-hidrocarburos-en-la-reforma-energetica-retrocesos-y-perspectivas/
Diario Oficial de la Federación (2017, 30 de agosto). Lineamientos para la protección y conservación de las aguas nacionales en actividades de exploración y extracción de hidrocarburos en yacimientos no convencionales. Recuperado de http://www.dof.gob.mx/nota_detalle.php?codigo=5495543&fecha=30/08/2017 el 28 de mayo de 2018.
Eagle Ford Shale (2010). Eagle Ford Shale. News, MarketPlace, Jobo. Recuperado de https://eaglefordshale.com el 1a de diciembrs de 2010.
Edwards Aquifer Authority (s.f.). Edwards Aquifer Authority. Recuperado de http://www.edwardsaquifer.org/ el 1a de diciembrs de 2017o.
George, P. G., Mace, R. E., y Petrossian, R. (2011). Aquifers of Texas. Report 380. Austin: Texas Water Development Board. Recuperado de http://www.twdb.texas.gov/publications/reports/numbered_reports/doc/R380_AquifersofTexas.pdf
Ghaderi, S., Jack, T., y Wolbing, G. (2011) Water in Alberta. With Special Focus on the Oil and Gas Industry (Education Paper). Recuperado de http://www.hydrocarbonmetagenomics.com/wp-content/uploads/2013/07/WaterReport1.pdf
Góngora, D. (2008). Tesis y jurisprudencia en materia de aguas. En E. Rabasa y C. Arriaga (Eds.), Agua: aspectos constitucionales. México: UNAM.
H. Cámara de Diputados (2004) Ley General de Bienes Nacionales. Recuperado de http://www.diputados.gob.mx/LeyesBiblio/pdf/267_190118.pdf el día 10 de diciembre de 2017.
IGRAC (2015). Transboundary Aquifers of the World (map). Map. Scale 1 : 50 000 000. Delft: UNESCO International Hydrological Programme. Recuperado de https://www.un-igrac.org/es/resource/transboundary-aquifers-world-map-2015
Inegi. (2010). México en cifras. Coahuila de Zaragoza. México: Inegi. Recuperado de http://www.beta.inegi.org.mx/app/areasgeograficas/?ag=05
IEA (International Energy Agency) (2012). Golden Rules for a Golden Age of Gas. World Energy Outlook. Special Report on Unconventional Gas. París: OECD-IEA. Recuperado de http://www.worldenergyoutlook.org/media/weowebsite/2012/goldenrules/WEO2012_GoldenRulesReport.pdf
Jackson, R., Vengosh, A., Davies, W., Darrah, R., Sullivan, F., y Petrom, G. (2014). The Environmental Costs and Benefits of Fracking. Annual Review Environmental Resources, 327-362. Recuperado de http://www.annualreviews.org/doi/abs/10.1146/annurev-environ-031113-144051
Klein, N. (2015). Esto lo cambia todo. El capitalismo contra el clima. Ciudad de México: Ediciones Culturales Paidós.
Maciel, A. (2006). El agua como tema de seguridad nacional para Estados Unidos en la frontera con México. En R. Vargas y J. L. Valdés Ugalde (Coords.), Recursos naturales estratégicos. Los hidrocarburos y el agua (pp. 133-165). Ciudad de México: CISAN-UNAM.
Manzanares, J. L. (2014). Uso de agua en la extracción de gas de lutitas en el noreste de México. Retos de regulación ambiental. Estudios Sociales, XXII (44), 171-197. Recuperado de http://www.scielo.org.mx/scielo.php?script=sci_arttext&pid=S0188-45572014000200007
O’Connell, S. (2014). The Milk River Transboundary Aquifer in Southern Alberta. Geological Survey of Canada. DOI: 10.4095/295603
Organización de las Naciones Unidas (1973). Resolución 3129 de la Asamblea General del 14 de diciembre de 1973. Recuperado de http://www.un.org/es/comun/docs/?symbol=A/RES/3129(XXVIII)&Lang=S&Area=RESOLUTION
Organización de las Naciones Unidas (2008). Resolución aprobada por la Asamblea General el 11 de diciembre de 2008 [sobre la base del informe de la Sexta Comisión (A/63/439)] 63/124. “El derecho de los acuíferos transfronterizos”. Recuperado de http://www.gwp.org/Global/ToolBox/References/Cross%20Cutting%20Issues%20-%20Spanish/Transboundary/Resolucion%20aprobada.pdf
Parraguez, M. L., Ugarte, A., y Campero, G. (2015). Shale Gas in the United States: Transforming Energy Security in the Twenty-first Century. Norteamérica, 10(1), 7-38. DOI: org/10.20999/nam.2015.a001
Pétré, M. A., y Rivera, A. (2015). A Synthesis of Knowledge of the Milk River Transboundary Aquifer (Alberta, Canada-Montana, U. S. A.). Geological Survey of Canada. DOI: 10.4095/295754
Printz, J. (2004). Milk River Aquifer Reclamation & Conservation Program 1999-2004. Summary Report.
Programa de Naciones Unidas para el Desarrollo. (2018). PNUD México. Objetivos de Desarrollo Sostenible Post-2015. Recuperado de http://www.mx.undp.org/content/mexico/es/home/post-2015/sdg-overview/
Rahm, D. (2011). Regulating Hydraulic Fracturing in Shale Gas Plays: The Case of Texas. Energy Policy, 39, 2974-2981. DOI: org/10.1016/j.enpol.2011.03.009
Rivera, A. (2015).Transboundary Aquifers Along the Canada-USA Border: Science, Policy and Social Issues. Journal of Hydrology: Regional Studies, 4, 623-643. DOI: org/10.1016/j.ejrh.2015.09.006
Sánchez, A. (2004). El revestimiento del Canal Todo Americano. Tijuana: El Colegio de la Frontera Norte.
Sánchez, R., López, V., y Eckstein, G. (2016). Identifying and Characterizing Transboundary Aquifers Along the Mexico-US Border: An Initial Assessment. Journal of Hydrology, 535, 101-119. DOI: org/10.1016/j.jhydrol.2016.01.070
Secretaría de Energía (2016). Programa quinquenal de licitaciones para la exploración y extracción de hidrocarburos 2015-2019. Gobierno de la República. Recuperado de https://www.gob.mx/sener/acciones-y-programas/programa-quinquenal-de-licitaciones-para-la-exploracion-y-extraccion-de-hidrocarburos-2015-2019
Simonian, L. (1999). La defensa de la tierra del jaguar. Una historia de la conservación en México. México: Semarnat-Conabio-IMERNAR.
Tintera, J. J., y Savage, L. (2006). Effects of Oil and Gas Production on Groundwater. En R. E. Mace, S. C. Davidson, E. S. Angle y W. F. Mullican (Eds.), Aquifers of the Gulf Coast of Texas. Texas Water Development Board. Report 365 (págs. 255-260). Austin: Texas Water Development Board. Recuperado de https://www.twdb.texas.gov/publications/reports/numbered_reports/doc/R365/R365_Composite.pdf
Tóth, J. (1970). A conceptual Model of the Groundwater Regime and the Hydrogeologic Environment. Journal of Hydrology, 164-176. DOI: org/10.1016/0022-1694(70)90186-1
Tribunal Latinoamericano del Agua (s.f.). Veredictos. Recuperado de http://tragua.com/2016/10/veredictos/ el 28 de mayo de 2018.
Tribunal Latinoamericano del Agua (2016). Tribunal Latinoamericano del Agua. IX Audiencia pública. Casos sobre controversias hídricas en México y Guatemala. Recuperado el 20 de octubre de 2016 del Caso Eventual implementación de la técnica del fracking y el trasvase de agua en los ejidos de Palmira y Emiliano Zapata, Municipio de Jiménez, Coahuila. Recuperado de http://tragua.com/wp-content/uploads/2016/10/FRACKINGcoahuila.pdf
TWDB (2016). Texas Water Development Board Official Web Site. Austin: TWBD. Recuperado de http://www.twdb.texas.gov/
U. S. Bureau of Census (2015). Texas State Census. Recuperado de https://www.census.gov/geo/reference/guidestloc/st48_tx.html
U. S. Energy Information Administration (2016). International Energy Outlook 2016. Washington, DC: U. S. Energy Information Administration, Office of Communications. Recuperado de https://www.eia.gov/outlooks/ieo/pdf/0484(2016).pdf
UNECE (2000). Directrices sobre seguimiento y evaluación de aguas subterráneas transfronterizas. Recuperado de http://www.unece.org/fileadmin/DAM/env/water/publications/documents/guidelinesgroundwaterspa.pdf
UNECE (2014). Model Provisions on Transboundary Groundwaters. Génova: United Nations Economic Commission for Europe. Recuperado de https://www.unece.org/fileadmin/DAM/env/water/publications/WAT_model_provisions/ece_mp.wat_40_eng.pdf
UNESCO (2012). Programa Hidrológico Internacional (PHI), Octava Fase, Seguridad Hídrica: Respuestas a los Desafíos Locales, Regionales y Mundiales. Plan Estratégico. PHI-VIII 2014-2021. Recuperado de http://unesdoc.unesco.org/images/0021/002180/218061s.pdf
UNESCO (2015). Estrategia regional para la evaluación y gestión de los Sistemas Acuíferos Transfronterizos en las Américas. Montevideo: UNESCO. Recuperado de http://unesdoc.unesco.org/images/0023/002353/235394s.pdf
Vargas, R. (2015). Reforma energética: de servicio público a modelo de negocios. Política y Cultura, 43, 125-145. Recuperado de http://www.scielo.org.mx/scielo.php?pid=S0188-77422015000100007&script=sci_arttext&tlng=pt
Vargas, R., y Valdés, J. (2006). Recursos naturales estratégicos. Los hidrocarburos y el agua. México: CISAN, UNAM.
Wong, C. I., Kromann, J. S., Hunt, B. B., Smith, B. A., y Banner, J. L. (2013). Investigating Groundwater Flow between Edwards and Trinity Aquifers in Central Texas. Groundwater, 52(4), 624-639. Recuperado de http://onlinelibrary.wiley.com/doi/10.1111/gwat.12106/full
Notas