Publicação Contínua

Recepción: 10 Agosto 2022
Aprobación: 15 Noviembre 2022
Publicación: 19 Diciembre 2022
DOI: https://doi.org/10.20952/revtee.v15i34.18000
Resumo: O presente estudo concentra-se na análise de dois aplicativos educacionais voltados para o ensino de botânica no ensino médio, os mesmos foram criados na fábrica de aplicativos, sendo uma plataforma digital brasileira gratuita. O ClikBotânica, aborda a morfologia vegetal, e o Botânica na Palma da Mão, abordando ecologia vegetal. A pesquisa foi estruturada a partir de princípios qualitativos e quantitativos. O processo metodológico foi realizado em três turmas de segundo ano do ensino médio (A, B, C) para as intervenções pedagógicas, cada uma contendo 30 alunos, totalizando 90 discentes. O questionário prévio referente ao conteúdo de morfologia e ecologia, mostrou que os estudantes detêm uma maior afinidade com os conteúdos relacionados à morfologia. Já na ecologia notou-se uma grande dificuldade por parte dos alunos nas resoluções das questões. Após o uso do aplicativo, houve uma redução significativa de questões erradas, principalmente as de ecologia vegetal. Dessa forma nota-se que o uso das Tecnologias da Informação e Comunicação - TICs em sala de aula é algo favorável no ensino da botânica.
Palavras-chave: Biologia vegetal, Ensino-aprendizagem, Tecnologia.
Abstract: The present study focuses on the analysis of two educational applications aimed at teaching botany in high school, they were created in the application factory, being a free Brazilian digital platform. ClikBotânica, addresses plant morphology, and Botânica na Palma da Mão, addresses plant ecology. The research was structured from qualitative and quantitative principles. The methodological process was carried out in three classes of the second year of high school (A, B, C) for the pedagogical interventions, each containing 30 students, totaling 90 students. The previous questionnaire regarding the morphology and ecology content showed that students have a greater affinity with the morphology-related content. In ecology, there was a great difficulty on the part of the students in solving the questions. After using the application, there was a significant reduction in wrong questions, especially those related to plant ecology. Thus, it is noted that the use of Information and Communication Technologies - ICTs in the classroom is something favorable in the teaching of botany.
Keywords: Plant biology, Teaching-learning, Technology.
Resumen: El presente estudio se centra en el análisis de dos aplicaciones educativas destinadas a la enseñanza de la botánica en la escuela secundaria, fueron creadas en la fábrica de aplicaciones, siendo una plataforma digital brasileña gratuita. ClikBotânica, se ocupa de la morfología vegetal, y Botânica na Palma da Mão, que se ocupa de la ecología vegetal. La investigación se estructuró a partir de principios cualitativos y cuantitativos. El proceso metodológico se realizó en tres clases del segundo año de secundaria (A, B, C) para las intervenciones pedagógicas, cada una con 30 alumnos, totalizando 90 alumnos. El cuestionario anterior sobre el contenido de morfología y ecología mostró que los estudiantes tienen una mayor afinidad con el contenido relacionado con la morfología. En ecología, hubo una gran dificultad por parte de los estudiantes para resolver las preguntas. Después de usar la aplicación, hubo una reducción significativa de preguntas incorrectas, especialmente aquellas relacionadas con la ecología vegetal. Así, se advierte que el uso de las Tecnologías de la Información y la Comunicación - TIC en el aula es algo favorable en la enseñanza de la botánica.
Palabras clave: Biología vegetal, Enseñanza-aprendizaje, Tecnología.
INTRODUÇÃO
O ensino de Ciências no Brasil tem seu marco inicial a partir de 1971 com a promulgação da Lei de Diretrizes de Bases (LDB) n°5.692/71, que o tornou obrigatório nas oito séries do então primeiro grau. Apesar das conquistas e avanços alcançados, os processos metodológicos tradicionais persistem, limitando as possibilidades de aprendizagem e gerando várias críticas (Ribeiro & Nunes, 2022). Condição que impulsiona professores a tomar decisões, promover rupturas e renovar as linguagens metodológicas (Paiva, 2009).
Todas as épocas apresentam técnicas de desenvolvimento distintas, que se expõe como produto e viés de mudança social, dessa forma firmam as tecnologias fundamentais, que estão indissociavelmente ligadas ao desenvolvimento da espécie humana (Demizu & Royer, 2016; Santos, 2019). Segundo Santos (2019), as Tecnologias da Informação e Comunicação (TICs) instituem uma potência determinante do processo de mudança social, surgindo como a trave-mestra de um novo tipo de sociedade, a sociedade da informação, permitindo uma gama de novas possibilidades para análise de redes sociais, consequentemente, de redes de colaboração em ciência, tecnologia e inovação (Belloni, 2005).
Na contemporaneidade, a educação vivencia esta era digital, na qual o sujeito principal caracteriza-se por conectar-se com o novo, potencializando o acesso e aprimorando a obtenção das informações (Lima & Moita, 2011). Ambiente propício para a construção de percursos formativos que estejam comprometidos com a aprendizagem significativa que é pautada na emancipação dos sujeitos e no desenvolvimento de sua capacidade de intervir no mundo (Fontes & Silva, 2004).
No ensino, o uso das TICs maximiza a socialização das informações e a interatividade dos alunos, atuando na construção das novas possibilidades de aprendizagem, e rompendo grandes desafios na educação brasileira (Belloni, 2005). As novas demandas educacionais associadas ao avanço das tecnologias nas últimas décadas reconfiguraram as propostas curriculares e ampliam o espaço das novas tecnologias no fazer pedagógico estimulando o desenvolvimento de novas abordagens metodológicas (Silva & Moita, 2011; Ribeiro & Nunes, 2022).
Entre diversos recursos tecnológicos inseridos na educação básica, destacam-se os aplicativos educacionais, por serem uma ferramenta tecnológica do convívio dos discentes, e presente em diversos setores da sociedade (Royer, 2017). Sendo assim uma realidade que se opõe ao distanciamento imposto por parcela significativa de professores que não introduzem esses artifícios na rotina pedagógica (Lutz et al., 2015; Jiménez & Frison, 2022). Autores como Royer et al. (2017) destacam o uso de recursos digitais (aplicativos com tecnologia em 3D) verificando que os mesmos estão cada vez mais atrelados aos paradigmas educacionais, visto que são instrumentos transversais de diversas áreas. Na mesma direção, Lima e Moita (2011) afirmam que a atividade disponibilizada por tais recursos tecnológicos faz com que os alunos tenham uma maior capacidade de aprender e resolver problemas através da interação com o saber.
Considerando as demandas e particularidades do ensino de Ciências e Biologia, a inserção de novas ferramentas tecnológicas e a construção de novos cenários de aprendizagem podem contribuir para a reconfiguração das aulas expositivas, dependência pelo livro didático e, em sentido pedagógico mais ampliado, gerar contribuições positivas para a educação, como a valorização dos conhecimentos científico-tecnológicos (Azevedo, 2008). Chaves et al. (2016) afirma que entre os diversos tópicos da biologia, a botânica é o campo mais desestimulante entre os discentes, talvez por falta de atrativos didáticos e pedagógicos não utilizados pelos docentes. Dessa forma, Possobom (2002) expõe as metodologias estimulantes destacando-se entre elas as tecnologias, fazendo com que aja um despertar no aluno, levando-o a ter interesse e motivação e criando um rico arcabouço de informações em alta velocidade, facilitando as relações sociais e a compreensão dos diversos fenômenos da ciência.
A botânica, em particular, é uma área com expressiva importância para as Ciências Biológicas, porém, são observados problemas e limitações como falta de estímulo em observar as plantas no cotidiano, e grande dificuldade de visualizar interação nossa com as plantas, bem como a escassez de recursos básicos, que comprometem o processo de ensino-aprendizagem da área em questão (Meneses et al., 2009; Melo et al., 2013). Essa condição é observada nos diferentes níveis educativos e precisa ser discutida na perspectiva da superação e busca por alternativas que promovam a renovação das práticas pedagógicas (Meneses et al., 2009).
Partindo deste contexto e das possibilidades que circundam a área em questão, o presente trabalho concentra-se na análise de dois aplicativos voltados para o ensino de botânica no ensino médio, o ClikBotânica que aborda a morfologia vegetal como tema central, e o Botânica na Palma da Mão abordando todo aporte da ecologia vegetal. A ideia surgiu a partir da constatação de que há necessidade de desenvolver novas linguagens e ferramentas para o ensino de botânica e estimular a formulação de alternativas conectadas com as atuais demandas pedagógicas. Deve-se considerar também que este trabalho representa uma tentativa de conexão entre temas abordados nas disciplinas que se concentram em botânica e às vinculadas ao núcleo pedagógico, usando como base as Tecnologias da Informação e Comunicação – TICs.
METODOLOGIA
O presente trabalho foi estruturado a partir dos princípios da pesquisa qualitativa, reconhecendo também o potencial de coleta dos instrumentos que produzem dados quantitativos. Descrita por Minayo (1993), uma pesquisa de abordagem qualitativa e quantitativa pode ser entendida como um processo de solucionar um problema, pois são utilizados números, opiniões e informações diversas para serem analisadas e classificadas utilizando técnicas ou recursos estatísticos. Tendo uma discussão sobre tipos de abordagens metodológicas, concentrando uma preocupação mais sensível em relação aos ambientes educativos e aos significados das ações dos indivíduos neste contexto, ressaltando os inúmeros conflitos presentes nas práticas sociais.
Os procedimentos metodológicos foram definidos a partir da utilização de dois aplicativos, que portam conteúdos de botânica trabalhados no Ensino Médio. Os mesmos foram construídos na Fábrica de Aplicativos, uma plataforma digital que permite a criação de aplicativos para celulares e tablets com tecnologia Android, iOS e HTML5.
O ClikBotãnica de Souza (2017)1 (Fig. 1A) trata principalmente o conteúdo sobre morfologia vegetal, sendo formado por pastas que traz informações sobre a morfologia externa de raiz, caule, folhas, flores, frutos e sementes, com fotografias para cada estrutura indicada, curiosidades, jogos e adivinhações ao longo da explanação do conteúdo. O aplicativo também dispõe de uma área onde as pessoas podem deixar dúvidas ou sugestões sobre o tema.
Já o Botânica na Palma da Mão de Batista (2017)2 (Fig. 1B) possui como tema principal a ecologia vegetal, sendo subdividido em pastas com assuntos relacionados às relações ecológicas, polinização, importância dos vegetais e extinção. Há também outras pastas incluindo curiosidades, diversas imagens conectadas ao assunto e informações de como manusear o aplicativo, facilitando assim seu uso.
A pesquisa foi realizada em três turmas do segundo ano do ensino médio (A, B, C) em uma escola estadual localizada na cidade de Vitória de Santo Antão no estado de Pernambuco, cada uma contendo 30 alunos, totalizando 90 discentes. O tema morfologia vegetal foi trabalhado pelas turmas A e B. A turma B respondeu ao questionário após o uso do aplicativo, já a turma A foi utilizada como controle, com os estudantes respondendo aos questionários sem ter acesso ao aplicativo ClikBotânica. O tema ecologia vegetal foi trabalhado nas turmas A e C, onde a turma C usou o aplicativo antes de responder ao questionário, e a A não teve acesso ao aplicativo Botânica na Palma da Mão, sendo assim a nossa turma controle.
Os questionários foram estruturados com dez questões, sendo seis fechadas e quatro discursivas, abordando os assuntos que constituem os aplicativos. O questionário de morfologia vegetal foi elaborado com base nas suas respectivas subáreas, e explorando todo o conteúdo do aplicativo ClickBotânica, o de ecologia vegetal, também foi criado com base nos assuntos abordados pelo Botânica na Palma da Mão, tendo a ecologia como eixo temático principal, sendo eles utilizados com intuito de obter com maior solidez os dados.
Os aplicativos foram disponibilizados a partir dos códigos de QR code gerados pelos mesmos, possibilitando o acesso dos estudantes para instalação em sistema android. Os discentes que usaram o notebook acessaram os mesmos a partir dos links: https://pwa.app.vc/botanica_na_palma_da_mao#/home (Botânica na Palma da Mão de Batista, 2017), e https://pwa.app.vc/clickbotanica#/home (ClikBotânica de Souza, 2017). A utilização foi feita pelos estudantes em grupo ou em duplas para estimular o trabalho em equipe.

Em sequência, foi realizado o refinamento dos dados que se baseia na análise de conteúdo (Bardin, 2011), sendo essa um conjunto de técnicas/instrumentos investigativos metodológicos de análise das comunicações, na qual se apresenta em três polos cronológicos: pré-análise; exploração do material; tratamento dos resultados, a inferência e a interpretação, buscando verificar a eficácia dos aplicativos nas aulas de botânica comparando o conhecimento dos alunos que tiveram contato com utilização dos aplicativos aos com sequência didática tradicional.
RESULTADOS
Considerando as abordagens temáticas distintas, permitidas por cada um dos aplicativos, optamos pela análise individualizada dos temas que estruturam cada uma das ferramentas associadas ao ensino de botânica.
Morfologia Vegetal
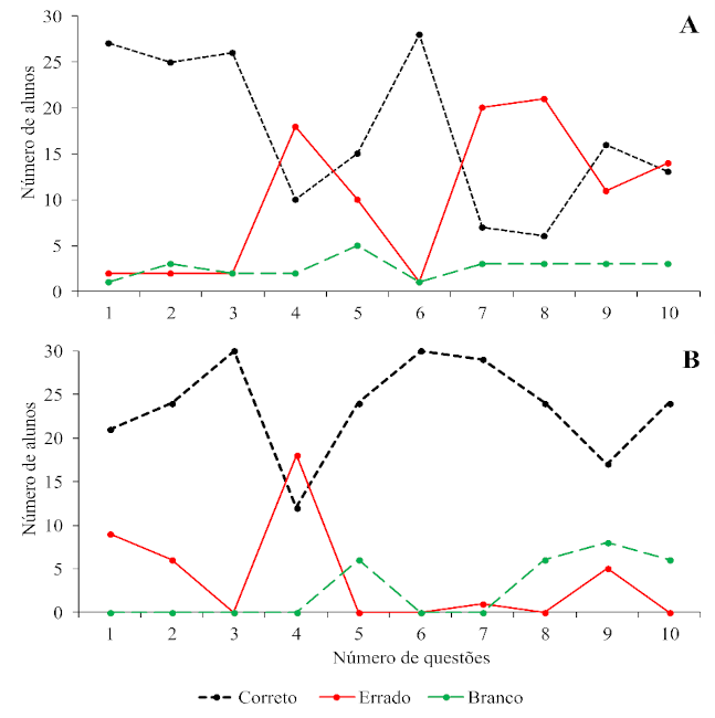
O questionário referente ao conteúdo de morfologia vegetal mostrou que os estudantes detêm uma maior afinidade com os conteúdos relacionados à morfologia externa de folha e caule, uma vez que a maioria acertou as quatro primeiras questões, que tratou dos referentes conteúdos (Fig. 2A). Na primeira questão onde pedia para indicar as partes da folha, obtiveram-se 27 acertos, dois erros e apenas um em branco; na segunda pedia-se a associação de imagens com os tipos de modificações caulinares (gavinha, espinho e acúleo), assim registrou-se 25 acertos, dois erros e três em branco. Na terceira e quarta questão foi abordado a utilização de diversos vegetais na culinária, explanando um exemplo do cotidiano dos alunos, onde teria que associar as respectivas partes dos vegetais (folha, caule e raiz). Na terceira questão obtivemos 26 acertos, dois erros e dois em branco, e na quarta 10 acertos, 18 erros e 2 em branco. Foi nítida a dificuldade de resolução das questões discursivas pelos estudantes. Por exemplo, na questão 8, onde é solicitado citar os dois tipos de raízes que estão presentes nas duas figuras contidas na questão, apenas seis estudantes acertaram, havendo 21 erros e três em branco.
A figura 2B mostra uma melhora no resultado do conteúdo teórico da morfologia vegetal após o uso do aplicativo ClikBotânica, demonstrando assim que o aplicativo é uma estratégia pedagógica com potencial para engajar os estudantes e estimular a construção de novos saberes. Vale ressaltar a modificação de alguns termos botânicos que nos Livros Didáticos (LDs) ainda permanecem sem a devida atualização e nos questionários da turma controle foram colocados de maneira errônea como por exemplo, a classificação das raízes (cabeleira e axial), após ter tido contato com o aplicativo, os estudantes tiveram acesso a novas atualizações da nomenclatura botânica (fasciculada e pivotante). Nessa perspectiva, recursos pedagógicos como livros didáticos, muitas vezes não condiz propostas de ensino com a realidade do aluno.
O uso de diferentes métodos de práticas pedagógicas não é tão utilizado segundo os estudantes, desfavorecendo assim o desenvolvimento do ensino aprendizagem, por exemplo, os próprios alunos por acharem a botânica um assunto complexo de se entender, criam barreiras de aprendizagem que dificultam a assimilação desses conteúdos. Dessa forma autores como Lutz et al. (2015), Lima e Moita (2011) abordam que os professores devem inovar suas metodologias em sala de aula e buscar outros meios que traga o assunto trabalhado para o cotidiano do estudante. Outro aspecto pertinente foi a “dificuldade” da professora em manusear os aplicativos por não ter um contato mais frequente com tal ferramenta, por outro lado percebemos uma boa desenvoltura nos alunos em utilizar o aplicativo, onde tornasse um “comando” maior de parte dos alunos do que dos professores. Um investimento na formação continuada dos professores, é necessário para fazer com que eles tenham um melhor engajamento de métodos de ensino em suas aulas (Jiménez & Frison, 2022; Santos et al., 2022).

Nota: A. Referente aos resultados da turma controle. B. Referente aos resultados após o uso do aplicativo ClikBotânica (SOUZA, 2017). Questão 1: partes da folha; Questão 2: relacionar a imagem com os nomes das estruturas (gavinha, espinho e acúleo); Questão 3: abordagem da utilização dos vegetais na culinária; Questão 4: diferentes tipos de raiz, caule e folha; Questão 5: função das partes vegetais (raiz, caule, folha e flor); Questão 6: indicar em um imagem todas estruturas da flor; Questão 7: discutindo modificações foliares (brácteas); Questão 8: diferenciar os 2 tipos de raiz (pivotante e fasciculada); Questão 9: citar exemplos de caule; Questão 10: indicar partes do fruto.
Fonte: Autores (2022).Dessa forma, observou-se que o aplicativo ClikBotânica é um recurso eficaz no ensino aprendizagem de morfologia vegetal. Destacamos as questões três, cinco, seis, oito e dez, onde não obtivemos nenhum erro com o uso do aplicativo. No entanto, o assunto abordado no aplicativo poderia ser explanado de forma mais detalhada, por exemplo, os tipos de caule e raízes, pois não percebemos resultados positivos das respostas dos estudantes pós a utilização do aplicativo nas questões quatro e cinco comparadas as respostas sem a utilização do mesmo (Fig. 2).
Os autores Santos et al. (2022) expõe que o uso da tecnologia estimula os alunos a participarem de diversas dinâmicas em sala, aperfeiçoando assim, o seu aprendizado juntamente com o trabalho em equipe. Onde se percebe uma maior interatividade nas atividades em sala com os estudantes, despertando a curiosidade em manusear os aplicativos, explorando assim todo o conteúdo nele proposto. O uso de dispositivos móveis trouxe uma nova forma de mobilidade, a comunicação podendo ocorrer em diversos lugares, onde o indivíduo tem sua liberdade em desenvolver diversas atividades, possibilitando assim uma gama de possibilidade (Lemos, 2012; Silva et al., 2022).
Ecologia Vegetal
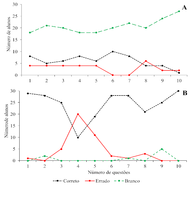
No questionário sobre ecologia vegetal notou-se uma grande dificuldade por parte dos alunos para resolver as questões, principalmente as de cunho discursivo, mais de 60% dos alunos deixaram questões em branco, destacando a sexta questão com 20 alunos sem responder e a sétima com 22 (Fig. 3A). Ambas as questões abordavam os tipos de relações ecológicas, onde podemos destacar três tipos: parasitismo, inquilinismo e mutualismo. De acordo com Soares (2012), diante de um índice alto de questões sem respostas nos questionários previamente aplicados, percebe-se um déficit em metodologias pedagógicas, onde o docente deve buscar novos meios de aprendizagem, para trabalhar novas habilidades dos discentes, tornando-os seres mais críticos e podendo expor suas próprias opiniões.
Nas questões de cunho discursivo, onde aborda descrições das relações ecológicas e exemplos relacionados às imagens que contém nas questões, bons resultados foram obtidos após o uso do aplicativo. Na primeira questão, os alunos teriam que conceituar o termo Relações ecológicas de forma sucinta, assim obtivemos os seguintes resultados, oito acertos, quatro erros e oito em branco no questionário da turma controle, já na turma com o uso do aplicativo tivemos 29 acertos e apenas um erro. Tendo que relacionar as imagens com os tipos de relações ecológicas na décima questão, obtivemos da turma controle um acerto, dois erros e 27 questões deixadas em branco, enquanto a turma que utilizou o aplicativo obtivemos 30 acertos e nenhum erro. Dessa forma, podemos considerar que o conteúdo sobre as relações ecológicas abordado no aplicativo Botânica na Palma da Mão contribui de forma eficaz para o processo de ensino-aprendizagem dos alunos.
Todo esse aporte tecnológico em sala de aula, a esses novos meios metodológicos a autora Lima e Moita (2011) ressalta que a educação vive em uma era digital, onde a inserção desses recursos tecnológicos está cada vez mais ativa, tomando um grande espaço, tanto no meio pedagógico como no meio social. Portanto é de suma importância o investimento na inserção de tais artefatos tecnológicos na educação, fazendo com que insiram novos métodos de ensino e se adequem a tecnologia em sala de aula (Cavassan, 2007; Vieira-Júnior & Melo, 2021; Santos et al., 2022).
Após analisar os dados dos dois questionários previamente aplicados percebemos uma grande falta de carga teórica sobre o ensino da botânica principalmente a parte de ecologia vegetal, onde muitos alunos disseram não sentir segurança em responder as questões, principalmente as discursivas. Dando enfoque para o que retrata Towata et al. (2010) que o ensino de botânica nos dias atuais, ainda é citado pelos próprios estudantes como “chato”, “desestimulante” por não serem trabalhados em sala de aula de forma diversificada. Chaves et al. (2016) afirma que seja talvez por falta de atrativos didáticos e pedagógicos não utilizados pelos docentes, que muitas vezes se prendem ao livro didático, que é o único apoio pedagógico disponibilizado, não buscando novos métodos atrativos para suas aulas.
Na quarta questão é retratado sobre os tipos de polinizados, onde não obtivemos melhoria significativa com o uso do aplicativo. Na turma controle obtivemos oito acertos, quatro erros e 18 questões deixadas em branco, enquanto a turma que usou o aplicativo foi obtido dez acertos, 20 erros e nenhuma questão em branco. Embora a diferença de acertos entre a turma controle e a que usou o aplicativo seja pequena, observamos que todos os alunos que usaram o aplicativo tentaram resolver a questão, isso demonstra que o conteúdo trabalhado no aplicativo estimula o aluno a desenvolver o tema. Mais de 90% dos estudantes acertaram a questão nove após o uso do aplicativo, onde a mesma aborda a importância ecológica e econômica das plantas no meio ambiente. Na turma controle obtivemos quatro acertos, dois erros e 24 questões deixadas em branco, enquanto na turma que usou o aplicativo para responder o questionário obteve-se 25 acertos e cinco questões em branco.
Percebemos que com uso do aplicativo, houve uma redução significativa de questões deixadas em branco e um aumento significativo no número de questões corretas (Fig. 3). Dessa forma, o uso do aplicativo Botânica na Palma da Mão demonstrou uma melhora significativa na assimilação do conteúdo da ecologia vegetal. No ensino, o uso das TICs torna-se um recurso favorável na interatividade dos estudantes, atuando de forma significativa na construção de conhecimento na educação brasileira (Royer et al., 2017; Pompiane et al., 2021; Rocha et al., 2022).
Dessa maneira as contribuições do meio digital para o educacional dos aplicativos utilizados, corrobora com o aplicativo criado por Royer et al. (2017) um aplicativo educacional voltado para o ensino de botânica, utilizando-se software Blender 3D open source onde dispõe de acesso livre e gratuito, sendo assim um ótimo recurso de apoio didático para o meio educacional. Espera-se que o indivíduo formado através de um processo educacional que use de ferramentas pedagógicas tecnológicas, seja um ser capaz de pensar por si próprio e produzir conhecimento (Silva & Silva, 2015; Santos et al., 2022).

Nota: A. Referente aos resultados da turma controle e B. referente aos resultados após o uso do aplicativo Botânico na Palma da Mão (BATISTA, 2017). Questão 1: conceituar relações ecológicas; Questão 2: conceituar polinização; Questão 3: abordagem sobre polinização por morcegos (quiropterofilia); Questão 4: abordagem sobre polinização abiótica; Questão 5: características florais vinculadas aos agentes polinizadores; Questão 6: tipos de relações ecológicas; Questão 7: conceituar alguns tipos de relações ecológicas, citadas na questão; Questão 8: associar imagens com as síndromes de polinização; Questão 9: importância ecológica e econômica das plantas; Questão 10: imagens relacionando com os tipos de relações ecológicas.
Fonte: Autores (2022).Diante dos resultados obtidos através dos questionários com o uso dos aplicativos que foram de forma bem positiva, comparando com os resultados dos questionários da turma controle, onde um bom quantitativo de alunos deixaram muitas questões em branco e onze estudantes entregaram sem absolutamente nenhuma resposta (totalmente em branco), tais resultados confirmam as afirmações dos autores Santos et al. (2022) e Rocha et al. (2021), onde destacam o uso da tecnologia em sala de aula como um recurso estimulante para o aluno, fazendo com que ele possa participar ativamente de dinâmicas em sala, potencializando o seu aprendizado juntamente com o trabalho em equipe. Vale ressaltar que tal recurso pedagógico fortalece a postura docente, tornando o professor mais criativo e dinâmico, possibilitando uma maior articulação entre a teoria e prática, assim favorecendo o aprendizado dos seus alunos (Ruppenthal et al., 2011; Vieira-Júnior & Melo, 2021; Santos et al., 2022).
CONCLUSÃO
Os aplicativos possibilitam o despertar de competências no ensino aprendizagem dos alunos, fazendo com que os mesmos criem reflexões e diálogos por meio de diferentes possiblidades pedagógicas. Servindo como ótimos recursos de apoio didático para o ensino de botânica, ou qualquer outra área. Segundo os dados apresentados e analisados na seção anterior, os alunos tiveram um melhor desempenho na resolução na maioria das questões com o auxílio dos dois aplicativos.
A renovação das práticas pedagógicas é uma das urgências de nossos tempos e entre os desafios associados a esse processo está o desenvolvimento de uma cultura digital capaz de aproximar a dinâmica da sala de aula dos outros contextos em que os estudantes estão imersos. Essa constatação assume ainda maiores dimensões quando consideramos as limitações e lacunas históricas no ensino de Botânica. Os aplicativos são ferramentas potenciais que, se estiverem inseridos em um cenário desafiador, criativo e comprometido com as aprendizagens, abrem novas perspectivas para a construção de novos significados e conhecimentos.
Agradecimentos
Os autores agradecem a professora Gisele e toda equipe gestora da Escola de Referência em Ensino Médio Professor Antônio Dias Cardoso, localizada na cidade de Vitoria de Santo Antão – PE. Ao Me. Sinzinando Albuquerque-Lima e a Ma. Wilderlânea Ximenes pelas valiosas contribuições científicas-metodológicas no desenvolvimento desse estudo. E a CAPES, pela concessão de bolsa a nível de graduação ao primeiro autor.
REFERÊNCIAS
Azevedo, R. O. M. (2008). Ensino de ciências e formação de professores: diagnóstico, análise e proposta. 2008. 163 f. Dissertação (Mestrado em Educação e Ensino de Ciências na Amazônia) - Universidade do Estado do Amazonas, Manaus, AM.
Bardin, L. (2011). Análise de conteúdo. São Paulo: Edições 70.
Belloni, M. L. (2005). Mídia-educação: da tecnologia à comunicação educacional. In: O que é mídia-educação. Campinas, SP: Autores Associados. cap. 1-2, p.1-29.
Cavassan, O. (2007). Biodiversidade do cerrado: uma proposta de trabalho prático de campo no ensino de botânica com professores e alunos do ensino fundamental. In: Barbosa, L. M.; Santos-Junior, N. A. (orgs.) A botânica no Brasil: pesquisa, ensino e políticas públicas ambientais. Sociedade Botânica do Brasil, São Paulo, p. 506-510.
Chaves, J. O.; Veras, D. S.; Araújo, W. P.; Oliveira, L. S. (2016). Utilização de metodologias diferenciadas na disciplina de biologia em incentivo ao ensino investigativo no ensino médio. Anais III Congresso Nacional de Educação, Campina Grande, Realize Editora.
Demizu, F. S. B.; Royer, M. R. (2016). Blender 3D Open Source: Proposta Metodológica Aplicada ao Ensino de Botânica. Anais Do II Seminário Do Ppifor, issn: 2526-1002.
Fontes, A.; Silva, I. R. (2004). Uma Nova Forma de Aprender Ciências – A Educação em Ciência / Tecnologia / Sociedade (CTS). Porto: Edições ASA.
Jiménez, J. G. P.; Frison, M. D. (2022). A atividade de ensino como mediadora do e no processo de desenvolvimento profissional docente. Revista Prática Docente, v. 7, n. 2, e22047. http://doi.org/10.23926/RPD.2022.v7.n2.e22047.id1420
Lemos, A. (2012). Cibercultura, tecnologia e vida social na cultura contemporânea. 5. ed. Porto Alegre: Sulina.
Lima, R. P. O.; Moita, F. M. G. S. (2011). A tecnologia e o ensino de química: jogos digitais como interface metodológica. Campina Grande: EDUEPB. p. 276.
Lutz, M. R.; Gomes, A. C. F. N.; Lara, D. S.; Anger, M. R.; Severo, S. I. F.; Fonseca, J. A. (2015). Panorama sobre o uso das tecnologias da informação e comunicação na educação básica em escolas públicas de Alegrete. In: VII Encontro Mineiro de Educação Matemática, 2015, São João del Rei. Comunicações Científicas.
Melo, E. A.; Abrue, F. F.; Andrade, A. B. A. (2013). Aprendizagem de botânica no ensino fundamental: dificuldades e desafios. Scientia Plena, p. 1-12.
Menezes, L. C.; Souza, V. C.; Nicomedes, M. P.; Silva, N. A.; Quirino, M. R.; Oliveira, A. G.; Andrade, R. R.; Santos, B. A. C. (2009). Iniciativas para o aprendizado de botânica no ensino médio. In: XI Encontro de Iniciação à Docência. João Pessoa, PB.
Minayo, M. C. S. & Sanches, O. (1993). Quantitative and Qualitative Methods: Opposition or Complementarity? Caderno Saúde Pública, p.239-262.
Paiva, V. L. M. O. O. (2009). Computador: um atrator estranho na educação linguística na América do Sul. Renote. Revista Novas Tecnologias na Educação, p. 1-22.
Pompiani, T.A. B.; Resende, T. L.; Filardi, M. F. O.; Costa, D. C. (2021). Tecnologias digitais aplicadas ao ensino de Parasitologia para alunos de Medicina da Faminas BH. Brazilian Journal of Development, p. 45937-45943. https://doi.org/10.34117/bjdv7n5-151
Possobom, C. (2002). Atividades práticas no Ensino de Biologia e de Ciências: Relato de uma experiência. Ciência e Educação, p. 113-123.
Ribeiro, J. C. O. A., & Nunes, C. P. (2022). Challenges for teacher training: with the word teachers. Revista Tempos e Espaços em Educação, 15 (34), e 17250. http://dx.doi.org/10.20952/revtee.v15i34.17250
ROCHA, I. S.; Andrade, E. G.; Cavalcanti, Á. L. L. A.; Costa, F. C. (2021). Bio V: aplicativo para o ensino de botânica nas escolas do campo. Revista Prática Docente, v. 6, n. 2, e040, 2021. http://doi.org/10.23926/RPD.2021.v6.n2.e040.id988
Royer, M. R., Mataruco, S. M. C., Botta, F. S., Oliveira, C. O. O. Aplicativo educacional e sua integração com o ensino de botânica. Anais do XVII Encontro Nacional de Educação em Ciências, XVII ENEC, I Seminário Internacional de Educação em Ciências, I SIEC, p. 292 – 299, 2017.
Ruppenthal, R.; Santos, T. L.; Prati, T. V. A. (2011). utilização de mídias e TICs nas aulas de Biologia: como explorá-las. Porto Alegre: Cadernos de Aplicação.
Santos, S. V. C. A., Silva, C. G. S., & Carvalho, T. S. (2022). Digital Cultures: dialogues and reflections for teacher education. Revista Tempos e Espaços em Educação, 15(34), e17744. http://dx.doi.org/10.20952/revtee.v15i34.17744
Santos, E. (2019). Pesquisa-formação na cibercultura. Teresina: EDUFPI.
Silva, J. R.; Salles, R. S.; Silva, M. G. (2022). Utilização de novas tecnologias em sala de aula: uma análise dos desafios e possibilidades na ótica de gestão escolar. Brazilian Journal of Development, v.8, n7, p. 49008-49030. http://doi:10.34117/bjdv8n7-025
Silva, G. O.; Silva, K. M. (2015). O uso de imagens como estratégia de ensino de libras como l1 e língua portuguesa como l2 para os surdos. Revista Includere, Mossoró, p. 53-63.
Silva, T. B. (2017). Recursos de apoio didático para o ensino de botânica: aplicativo para o trabalho com ecologia vegetal no ensino médio. 2017. 37 f. Trabalho de conclusão de curso (Graduação em Licenciatura em Ciências Biológicas) - Universidade Federal de Pernambuco, Vitória de Santo Antão, PE.
Soares, F. G. (2012). Mobilidade novas tecnologias tornam mais próxima relação entre governos e sociedade. Rio de Janeiro: Guia Das Cidades Digitais.
Souza, G. T. (2017). Desenvolvimento de aplicativo educacional: proposta pedagógica para o ensino de Botânica com foco em morfologia vegetal. 45 f. Trabalho de conclusão de curso (Graduação em Licenciatura em Ciências Biológicas) - Universidade Federal de Pernambuco, Vitória de Santo Antão, PE.
Towata, N.; Ursi, S.; Santos, C. A. Y. D. (2010). Análise da percepção de licenciandos sobre o “ensino de botânica na educação básica”. Revista da SBEnBio, 2010.
Vieira-Júnior, I. L.; Melo, J. C. (2021). Utilizando as tecnologias na educação: possibilidades e necessidades nos dias atuais. Brazilian Journal of Development, v.7, n.4, p. 34301-34313. http://doi:10.34117/bjdv7n4-066
Notas
Notas de autor
sandroufpecav@gmail.com
Información adicional
Como citar: Bezerra-Silva, A., Souza, G. T., Batista, T. S., Silveira, E. S. M., & Nadla, T. L. (2022). Annalysis of educational applications as pedagogical support resources for teaching botany in high school. Revista Tempos e Espaços em Educação, 15(34), e18000. http://dx.doi.org/10.20952/revtee.v15i34.18000
Contribuições dos Autores: Bezerra-Silva, A.: desenho metodológico, coleta de dados, análise e interpretação dos dados, escrita do artigo e revisão da escrita; Souza, G. T.: desenho metodológico, coleta de dados, análise e interpretação dos dados, escrita do artigo e revisão da escrita; Batista, T. S.: desenho metodológico e análise de dados; Silveira, E. S. M.: desenho metodológico, escrita do artigo e revisão da escrita; Nadia, T. L.: desenho metodológico, coleta de dados, análise e interpretação dos dados, escrita do artigo e revisão da escrita. Todos os autores leram e aprovaram a versão final do manuscrito.