Artículos de Investigación
Correlación entre el penetrómetro dinámico de cono y la relación de soporte de California en campo para el suelo de sub-rasante de la vía Portoviejo-Manta
CORRELATION BETWEEN THE DYNAMIC CONE PENETROMETER AND THE CALIFORNIA SUPPORT RELATIONSHIP IN THE FIELD FOR THE SUB-RASANT FLOOR OF THE PORTOVIEJO-MANTA ROAD
Correlación entre el penetrómetro dinámico de cono y la relación de soporte de California en campo para el suelo de sub-rasante de la vía Portoviejo-Manta
Gaceta Técnica, vol. 21, núm. 1, pp. 27-43, 2020
Universidad Centroccidental Lisandro Alvarado

Recepción: 19/08/2019
Aprobación: 11/12/2019
Resumen: La vía Portoviejo–Manta es una arteria principal de comunicación terrestre de la provincia de Manabí en Ecuador, eje fundamental en el desarrollo económico, social y turístico del país. El gobierno autónomo descentralizado de la provincia de Manabí fundamentado en estudios propone una extensión de los cuatro carriles existentes a seis; para ello es importante un análisis integral que involucre un estudio de tráfico, geológico y geotécnico. Dado que esta provincia a niveles superficiales presenta una formación uniforme de arcillas, la presente investigación evalúa las condiciones del terreno de soporte de la vía, proponiendo dos métodos penetrómetro dinámico de cono y la relación de soporte de California, examinando a la vez si existe la correlación entre ellos. Se realizaron trabajos normalizados de campo y laboratorio en una longitud de 35 kilómetros con ensayos a la par cada 500,00 m. Los datos obtenidos de campo y laboratorio fueron procesados y analizados mediante métodos estadísticos de regresión lineal, validada a través de prueba de hipótesis y significancia del p-valor. En primera instancia se obtuvo una correlación directa entre ambos métodos y una ecuación con valor de correlación de 0,80, con una significatividad de 7,246x10-5. Se efectuó una segunda ecuación de regresión múltiple en la cual se obtuvo valores de correlación entre los métodos, más los parámetros físicos del suelo de 0,82 y su correspondiente p-valor de 0,0091 validando así la fiabilidad de los resultados.
Palabras clave: penetrómetro dinámico de cono, DCP, relación de soporte de California, CBR.
Abstract: The Portoviejo – Manta road is a main land communication artery in the province of Manabí in Ecuador, a fundamental axis in the country's economic, social and tourism development. The decentralized autonomous government of the province of Manabí based on studies proposes an extension of the four existing lanes to six; for this, a comprehensive analysis involving a traffic, geological and geotechnical study is important. Given that this province at superficial levels presents a uniform clay formation, the present investigation evaluates the conditions of the track support terrain, proposing two dynamic cone penetrometer methods and the California support ratio, examining at the same time if the correlation between them exists. Standardized field and laboratory work was carried out over a length of 35 kilometers with paired tests every 500,00 m. The data obtained from the field and laboratory were processed and analyzed using statistical linear regression methods, validated through hypothesis testing and significance of the p-value. At first, a direct correlation was obtained between both methods and an equation with a correlation value of 0,80, with a significance of 7,246x10-5. A second multiple regression equation was carried out in which correlation values were obtained between the methods, plus the physical parameters of the soil of 0,82 and its corresponding p-value of 0,0091, thus validating the reliability of the results.
Keywords: dynamic cone penetrometer, DCP, California support relationship, CBR.
1. INTRODUCCIÓN
El Gobierno autónomo descentralizado de la Provincia de Manabí, entre sus actividades planificadas busca construir vías seguras, durables y al menor costo, de lo que se deriva inversión y presupuesto para estudios y diseño. Bajo esta premisa, a futuro se prevé evaluar el suelo de sub-rasante con el empleo de métodos confiables a través de correlaciones locales. En este caso, la presente investigación aprovecha las consultorías contratadas para la obtención de datos, y complementa los ensayos para contribuir a la meta propuesta por las autoridades gubernamentales.
La Relación de Soporte de California CBR en campo, es un ensayo que determina la capacidad de soporte del suelo in situ evaluando la calidad de la sub-rasante, sub-base y base de pavimentos, mediante la aplicación de una carga para alcanzar los esfuerzos requeridos, a penetraciones pequeñas de 0,1” y 0,2” [1]. Desde esta visión del proceso, emplear el CBR en campo conlleva a una logística extensa, altos costos y poca profundidad de inspección. Por otro lado, el ensayo Penetrómetro Dinámico de Cono DCP [2] realizado en campo con ayuda del dispositivo de cono de penetración, calcula la penetración dinámica por golpes en el suelo representando la resistencia de corte en sitio de la sub-rasante hasta profundidades de 32”, los resultados son instantáneos y por tanto los costos menores.
2. DESARROLLO
En el campo de la ingeniería vial, los indicadores de resistencia al corte del suelo en condiciones dinámicas se ven representadas por el módulo resiliente, conceptualizado como la relación que existen entre los esfuerzos desviadores y las deformaciones recuperables. En la escala de las guías AASHTO 2002 [3] y 2008 [4], el módulo resiliente determinado a través de un ensayo directo denominado triaxial dinámico representa la mayor fiabilidad, sin embargo, resulta muy costoso. En segundo nivel se encuentra la determinación del módulo resiliente a través de correlación con el ensayo CBR. Para finalizar en tercer nivel, la guía recomienda se obtenga a través de correlación entre ensayo DCP, después a CBR y con esto al módulo resiliente.
El número CBR de campo, se obtiene de la relación de la carga unitaria (lbs/pulg2) necesaria para lograr una profundidad de 0,1 y 0,2” de penetración del pistón de 19,4 cm2 de área dentro de la muestra in situ en condiciones de humedad y densidad natural [5]. De acuerdo a la Norma ASTM D 6951 [6] “este método de ensayo trata sobre la medición de la razón de penetración del Penetrómetro Dinámico de Cono con el mazo de 8 kg (DCP 8kg) a través de suelos inalterados y/o compactados. La razón de penetración puede relacionarse con la capacidad de soporte in situ, tal y como se estima con el ensayo de CBR in situ (Razón de Soporte de California)”.
3. METODOLOGÍA
3.1.Método
La investigación experimental de campo y laboratorio se llevó acabo en la vía Portoviejo-Manta ubicada en la provincia de Manabí donde se efectuaron 56 sondeos superficiales, procediendo a extraer dichas muestras realizando los ensayos antes mencionados mediante el sistema de coordenadas UTM WGS-84, dichas muestras fueron georreferenciadas, como lo indicado en la Figura 1 y la Tabla 1.

| UTM WGS 84 | ||||||||
| Calicata | ESTE | SUR | Calicata | ESTE | SUR | |||
| C-1 | 557804,9344 | 9881846,544 | C-29 | 544862,1052 | 9882500,435 | |||
| C-2 | 558279,1426 | 9881943,469 | C-30 | 544470,9273 | 9882559,478 | |||
| C-3 | 557304,3493 | 9881697,461 | C-31 | 543559,2105 | 9882936,423 | |||
| C-4 | 556836,7032 | 9881579,632 | C-32 | 544010,0049 | 9882733,195 | |||
| C-5 | 556346,3570 | 9881439,577 | C-33 | 543084,8178 | 9883050,376 | |||
| C-6 | 555823,2947 | 9881260,619 | C-34 | 542565,5828 | 9883124,509 | |||
| C-7 | 555353,8674 | 9881124,562 | C-35 | 542072,8289 | 9883210,343 | |||
| C-8 | 554861,9709 | 9881016,528 | C-36 | 541609,8933 | 9883305,147 | |||
| C-9 | 554460,8679 | 9880940,412 | C-37 | 541148,958 | 9883380,011 | |||
| C-10 | 553807,8655 | 9880810,572 | C-38 | 540584,7583 | 9883314,167 | |||
| C-11 | 553445,1474 | 9880730,448 | C-39 | 540074,854 | 9883255,014 | |||
| C-12 | 552895,6305 | 9880683,181 | C-40 | 539648,8415 | 9883218,300 | |||
| C-13 | 552432,7842 | 9880630,672 | C-41 | 539200,6061 | 9883432,817 | |||
| C-14 | 551929,8813 | 9880553,862 | C-42 | 538431,654 | 9884024,186 | |||
| C-15 | 551427,8900 | 9880614,600 | C-43 | 538703,7547 | 9883686,501 | |||
| C-16 | 551003,7033 | 9880904,042 | C-44 | 538797,8421 | 9884351,366 | |||
| C-17 | 550530,4343 | 9881083,156 | C-45 | 539056,5644 | 9884763,391 | |||
| C-18 | 550133,1709 | 9881370,294 | C-46 | 539172,2133 | 9885220,795 | |||
| C-19 | 549730,5653 | 9881649,439 | C-47 | 539197,6459 | 9885810,527 | |||
| C-20 | 549349,9933 | 9881962,217 | C-48 | 539500,5339 | 9886175,096 | |||
| C-21 | 548940,4888 | 9882243,617 | C-49 | 539841,0389 | 9886634,884 | |||
| C-22 | 548474,8826 | 9882337,361 | C-50 | 539832,1817 | 9887024,800 | |||
| C-23 | 547983,7809 | 9882308,779 | C-51 | 539842,4769 | 9887558,097 | |||
| C-24 | 547479,1225 | 9882398,967 | C-52 | 539877,5757 | 9888027,967 | |||
| C-25 | 546976,6801 | 9882422,271 | C-53 | 539992,838 | 9889008,676 | |||
| C-26 | 546477,9024 | 9882392,771 | C-54 | 539951,9572 | 9888569,004 | |||
| C-27 | 545375,0042 | 9882471,242 | C-55 | 540081,3584 | 9889631,903 | |||
| C-28 | 545925,619 | 9882434,306 | C-56 | 540153,9441 | 9890032,849 | |||
Por la naturaleza de la investigación se realizó los sondeos superficiales (calicatas), mostrados en la Figura 2, distribuidas de manera sistemática tanto del lado izquierdo como el lado derecho de la vía, dando como resultado total 56 calicatas en 28 kilómetros de vía.

Las muestras de suelo fueron recolectadas a diferentes profundidades la primera, con una excavación de 0,70 m aproximadamente, realizando consecutivamente una segunda toma a 0,80 m de la extracción de la primera, para una obtención total de muestra de 1,50 m. Las mismas se almacenaron y trasportaron adecuadamente.
3.2.Ensayos de Campo
Para establecer las correlaciones se procedió a la realización del ensayo denominado penetrómetro dinámico de cono DCP cada 500 metros aproximadamente para obtener el número de golpes por penetración por milímetro, adicional a esto se realizó el ensayo de soporte de california CBR en campo cada 1000 metros aproximadamente. De forma paralela a los ensayos se procedió con la extracción de muestras las cuales se obtuvieron de manera sistemática tanto al lado izquierdo como al lado derecho de la longitud total de la vía.
En el caso de la determinación de la densidad del suelo que conforma la subrasante y el porcentaje de humedad, se empleó el densímetro nuclear, equipo electrónico de medición capaz de determinar rápidamente y con precisión el porcentaje de humedad y la densidad de suelos o agregados y asfalto, directamente en el sitio, sin tener que recurrir al laboratorio, lo que conllevaría a mayor tiempo de espera, que en la mayoría de los casos no se cuenta, por la celeridad de las obras [1], de acuerdo la normativa ASTM D 2922 [7]. Los valores obtenidos se presentan en la Tabla 2.
| Abscisa | Calicata | Densidad Húmeda Natural de la Subrasante (kg/m3) | Densidad Seca Natural de la Subrasante (kg/m3) | Contenido de Agua Natural |
| 0+030 | C-1 | 1704 | 1316 | 29,5 |
| 1+000 | C-3 | 1933 | 1613 | 19,8 |
| 2+010 | C-5 | 1716 | 1215 | 41,2 |
| ,02+990 | C-7 | 1911 | 1593 | 20,0 |
| 3+900 | C-9 | 1637 | 1145 | 43,0 |
| 5+000 | C-11 | 1988 | 1684 | 18,0 |
| 6+000 | C-13 | 1780 | 1306 | 36,4 |
| 7+000 | C-15 | 1652 | 1351 | 22,3 |
| 8+000 | C-17 | 2068 | 1781 | 16,1 |
| 9+000 | C-19 | 1814 | 1537 | 18,0 |
| 10+000 | C-21 | 1807 | 1489 | 21,3 |
| 11+000 | C-23 | 1849 | 1505 | 22,9 |
| 12+020 | C-25 | 1532 | 1192 | 28,5 |
| 13+020 | C-27 | 1718 | 1342 | 28,1 |
| 14+080 | C-29 | 1510 | 1609 | 41,2 |
| 15+000 | C-31 | 1222 | 929 | 31,6 |
| 16+000 | C-33 | 1910 | 1818 | 47,3 |
| 17+030 | C-35 | 1451 | 970 | 49,5 |
| 17+980 | C-37 | 1653 | 1179 | 40,3 |
| 19+090 | C-39 | 1629 | 1162 | 40,2 |
| 20+000 | C-41 | 1459 | 1043 | 39,9 |
| 21+000 | C-43 | 1841 | 1441 | 27,8 |
| 21+980 | C-45 | 1869 | 1609 | 16,2 |
| 23+040 | C-47 | 1857 | 1496 | 24,1 |
| 24+100 | C-49 | 1519 | 1257 | 20,9 |
| 25+000 | C-51 | 1635 | 1276 | 28,1 |
| 26+025 | C-53 | 1838 | 1499 | 22,7 |
| 26+500 | C-54 | 1750 | 1400 | 25,0 |
| 27+100 | C-55 | 1659 | 1517 | 9,30 |
| 27+500 | C-56 | 1584 | 1157 | 36,9 |
Luego de haber obtenidos los datos antes expuestos se ejecutó el ensayo CBR en campo, este se realiza para evaluar la calidad de respuesta del suelo de la sub-rasante, también es aplicable para sub-base, probado en el lugar por la carga de penetración del suelo, dicho ensayo se adapta a los procedimientos viables y sus condiciones en campo. Este ensayo consiste en la aplicación de carga para obtener los esfuerzos requeridos provocando la penetración en el suelo, los procedimientos a seguir deben ser los Normados en la ASTM D 4429 [5]. A continuación, se presenta los valores obtenidos mediante el ensayo CBR en la Tabla 3.
| Abscisa | CBR 0,1 | CBR 0,2 |
| 0+030 | 4,10 | 4,60 |
| 1+000 | 10,8 | 11,0 |
| 2+010 | 3,20 | 3,20 |
| 2+990 | 5,70 | 5,10 |
| 3+900 | 0,30 | 0,20 |
| 5+000 | 6,70 | 6,50 |
| 6+000 | 1,60 | 1,30 |
| 7+000 | 7,00 | 6,30 |
| 8+000 | 11,4 | 11,6 |
| 9+000 | 2,90 | 2,50 |
| 10+000 | 7,00 | 9,50 |
| 11+000 | 0,00 | 0,00 |
| 12+020 | 13,60 | 16,50 |
| 13+020 | 3,20 | 3,20 |
| 14+080 | 3,20 | 3,00 |
| 15+000 | 2,90 | 2,50 |
| 16+000 | 2,20 | 2,10 |
| 17+030 | 2,50 | 2,50 |
| 17+980 | 5,10 | 4,60 |
| 19+090 | 10,8 | 11,4 |
| 20+000 | 3,80 | 4,00 |
| 21+000 | 3,50 | 4,00 |
| 21+980 | 8,90 | 10,80 |
| 23+040 | 0,00 | 0,00 |
| 24+100 | 14,30 | 7,20 |
| 25+000 | 13,90 | 12,70 |
| 26+025 | 2,90 | 3,80 |
| 26+500 | 17,40 | 14,10 |
| 27+100 | 23,80 | 22,60 |
| 27+500 | 1,60 | 1,30 |
El ensayo con DCP se realiza in situ con la ayuda del dispositivo de cono de penetración, se utiliza por la facilidad y practicidad con respecto a los ensayos convencionales en campo, es una herramienta útil y confiable siempre que se realice un adecuado uso e interpretación. En este sentido se comprende que el ensayo DCP consiste en medir la penetración dinámica provocada por golpe, representando la resistencia al corte in situ de los materiales, por lo tanto, es indicado para evaluar la resistencia del material bajo las condiciones existentes, se rige bajo la normativa ASTM D 6951 [6]. A continuación, se presentan los valores en la Tabla 4.
| Abscisa | Calicata | DCP |
| 0+030 | C-1 | 9,38 |
| 1+000 | C-3 | 12,00 |
| 2+010 | C-5 | 22,22 |
| 2+990 | C-7 | 12,50 |
| 3+900 | C-9 | 25,00 |
| 5+000 | C-11 | 15,00 |
| 6+000 | C-13 | 87,50 |
| 7+000 | C-15 | 8,89 |
| 8+000 | C-17 | 11,54 |
| 9+000 | C-19 | 125,00 |
| 10+000 | C-21 | 17,86 |
| 11+000 | C-23 | 5,17 |
| 12+020 | C-25 | 8,33 |
| 13+020 | C-27 | 23,33 |
| 14+080 | C-29 | 37,50 |
| 15+000 | C-31 | 37,50 |
| 16+000 | C-33 | 42,86 |
| 17+030 | C-35 | 31,82 |
| 17+980 | C-37 | 25,00 |
| 19+090 | C-39 | 14,86 |
| 20+000 | C-41 | 50,00 |
| 21+000 | C-43 | 17,24 |
| 21+980 | C-45 | 15,71 |
| 23+040 | C-47 | 2,86 |
| 24+100 | C-49 | 18,42 |
| 25+000 | C-51 | 20,27 |
| 26+025 | C-53 | 7,58 |
| 26+500 | C-54 | 27,78 |
| 27+100 | C-55 | 6,41 |
| 27+500 | C-56 | 33,33 |
3.3.Ensayos de Laboratorio
Se realizaron ensayos físicos que tienen como objetivo caracterizar el material, definiendo propiedades que son particulares de cada suelo. En la Tabla 5 se puede apreciar los diferentes ensayos a realizados con su respectiva normativa.
| Ensayo (Propiedad a determinar) | Normativa | |
| Granulometría por tamizado | ASTM-442 | |
| Clasificación AASHTO | ASTM-3282 | |
| Clasificación SUCS | ASTM-2487 | |
| Limite Liquido | ASTM-4318 | |
| Limite Plástico | ASTM-4318 |
Dado que el objeto de estudio es evaluar las características del suelo de sub-rasante de la vía Portoviejo-Manta, se procedió a ensayar las muestras de suelo recolectadas a diferentes profundidades en el laboratorio para determinar: contenido de humedad, límite líquido, límite plástico, y granulometría. Con los datos obtenidos se realizó la clasificación ASSHTO y SUCS [8]. Una vez superada la etapa de ensayos se procedió al análisis estadístico de datos, donde se aplicó la teoría de ajuste mediante regresión lineal. Así mismo, para validar el tamaño de la muestra y los resultados en las ecuaciones obtenidas, se aplicó pruebas de significación y contraste de hipótesis [9] mediante el software RStudio [10], considerando como condición de validación el p-valor menor a 0,05.
A partir de este análisis se obtuvo dos ecuaciones de correlación exponencial entre el penetrómetro dinámico de cono DCP y el ensayo de relación de soporte de California CBR al 0,1” y 0,2” en campo respectivamente. Adicional a la correlación antes mencionada se llevó a cabo la correlación múltiple lineal entre el ensayo CBR al 0,1” y 0,2” en campo y el DCP, además de los parámetros físicos del suelo de sub-rasante como contenido de agua, densidad natural, y granulometría). Mediante un análisis ANOVA se determinó que los parámetros físicos influyen de manera considerable en la obtención del CBR in situ. Posterior a lo antes planteado, se llevó a cabo un análisis estadístico mediante el método de diferencia de medias el cual corroborará si la correlación es aplicable en otras zonas. Estas correlaciones se establecieron mediante un análisis estadístico, tanto de regresión lineal simple, como de regresión lineal múltiple tomando en cuenta el coeficiente de correlación R, el cual determina si la correlación puede ser empleada o no para el caso de estudio.
4. RESULTADOS
Sobre la validez de los resultados obtenidos en campo, a través de los ensayos de DCP, CBR, densidad y contenido de agua por método nuclear, el valor de CBR in situ se obtuvo con la formula proporcionada por la norma ASTM D 6951 [6], a partir de los datos generados por el ensayo DCP. Para tal efecto, se presenta la Tabla 6 la cual indica el número de sondeos superficiales, el porcentaje de grava, el porcentaje de arena, porcentaje de finos, así como el valor que se obtuvo del DCP y los valores de CBR 0.1 y CBR 0.2.
| Calicata | %Grava | %Arena | %Finos | DCP | CBR 0,1 | CBR 0,2 | |||
| C-1 | 41,6 | 23,6 | 34,8 | 9,38 | 4,1 | 4,6 | |||
| C-3 | 54,6 | 22,0 | 23,4 | 12,00 | 10,8 | 11,0 | |||
| C-5 | 16,7 | 11,2 | 72,1 | 22,22 | 3,2 | 3,2 | |||
| C-7 | NP | NP | NP | 12,50 | 5,7 | 5,1 | |||
| C-9 | 5,0 | 9,6 | 85,4 | 25,00 | 0,3 | 0,2 | |||
| C-11 | 16,9 | 16,6 | 66,5 | 15,00 | 6,7 | 6,5 | |||
| C-13 | 6,9 | 26,9 | 66,3 | 87,50 | 1,6 | 1,3 | |||
| C-15 | 0,3 | 10,5 | 89,3 | 8,89 | 7,0 | 6,3 | |||
| C-17 | NP | NP | NP | 11,54 | 11,4 | 11,6 | |||
| C-19 | NP | NP | NP | 125,00 | 2,9 | 2,5 | |||
| C-21 | 12,0 | 31,7 | 56,2 | 17,86 | 7,0 | 9,5 | |||
| C-23 | NP | NP | NP | 5,17 | 0,0 | 0,0 | |||
| C-25 | 15,5 | 37,5 | 47,1 | 8,33 | 13,6 | 16,5 | |||
| C-27 | 15,2 | 33,0 | 51,8 | 23,33 | 3,2 | 3,2 | |||
| C-29 | NP | NP | NP | 37,50 | 3,2 | 3,0 | |||
| C-31 | 0,0 | 15,7 | 84,3 | 37,50 | 2,9 | 2,5 | |||
| C-33 | 0,0 | 17,3 | 60.4 | 42,86 | 2,2 | 2,1 | |||
| C-35 | 3,0 | 45,2 | 51,8 | 31,82 | 2,5 | 2,5 | |||
| C-37 | 0,2 | 11,8 | 88,0 | 25,00 | 5,1 | 4,6 | |||
| C-39 | 21,1 | 32,2 | 46,8 | 14,86 | 10,8 | 11,4 | |||
| C-41 | 0,0 | 23,2 | 76,8 | 50,00 | 3,8 | 4,0 | |||
| C-43 | NP | NP | NP | 17,24 | 3,5 | 4,0 | |||
| C-45 | NP | NP | NP | 15,71 | 8,9 | 10,8 | |||
| C-47 | 0,0 | 21,5 | 78,5 | 2,86 | 0,0 | 0,0 | |||
| C-49 | 1,7 | 27,6 | 70,7 | 18,42 | 14,3 | 7,2 | |||
| C-51 | NP | NP | NP | 20,27 | 13,9 | 12,7 | |||
| C-53 | NP | NP | NP | 7,58 | 2,9 | 3,8 | |||
| C-54 | 0,7 | 25,8 | 73,5 | 27,78 | 17,4 | 14,1 | |||
| C-55 | NP | NP | NP | 6,41 | 23,8 | 22,6 | |||
| C-56 | 0,0 | 6,7 | 93,3 | 33,33 | 1,6 | 1,3 | |||
En base a los datos de granulometría obtenidos en laboratorio se procedió a clasificar el suelo por el método SUCS [8] y AASHTO [12], se presenta en la Tabla 7 con los resultados obtenidos
| Abscisa | Calicata | Clasificación SUCS | Clasificación AASHTO |
| 0+030 | C-1 | CH | A-2-7 |
| 0+500 | C-2 | CL | A-6 |
| 1+000 | C-3 | CH | A-2-7 |
| 1+500 | C-4 | CH | A-7-5 |
| 2+000 | C-5 | CH | A-7-5 |
| 2+560 | C-6 | CH | A-2-6 |
| 3+600 | C-8 | CH | A-7-5 |
| 3+900 | C-9 | CH | A-7-5 |
| 4+600 | C-10 | CH | A-7-5 |
| 5+000 | C-11 | CH | A-7-5 |
| 5+550 | C-12 | NP | NP |
| 6+000 | C-13 | CH | A-7-6 |
| 6+500 | C-14 | CH | A-7-5 |
| 7+000 | C-15 | CH | A-7-5 |
| 7+500 | C-16 | NP | NP |
| 8+000 | C-17 | NP | NP |
| 8+500 | C-18 | CH | A-7-5 |
| 9+000 | C-19 | NP | NP |
| 9+524 | C-20 | CL | A6 |
| 10+000 | C-21 | MH | A-7-5 |
| 10+500 | C-22 | CH | A-7-5 |
| 11+000 | C-23 | NP | NP |
| 11+510 | C-24 | MH | A-7-5 |
| 12+020 | C-25 | CL | A-7-6 |
| 12+500 | C-26 | CL | A-7-6 |
| 13+020 | C-27 | CL | A-7-5 |
| 14+500 | C-30 | CL | A-7-6 |
| 15+000 | C-31 | CL | A-7-6 |
| 15+500 | C-32 | CL | A-7-6 |
| 16+000 | C-33 | CH | A-7-6 |
| 16+530 | C-34 | MH | A-7-6 |
| 17+030 | C-35 | CL | A-7-6 |
| 17+500 | C-36 | CH | A-7-6 |
| 17+980 | C-37 | CH | A-7-6 |
| 18+570 | C-38 | CH | A-7-6 |
| 19+090 | C-39 | CL | A-7-6 |
| 19+500 | C-40 | CL | A-7-6 |
| 20+000 | C-41 | ML | A-7-6 |
| 20+570 | C-42 | CH | A-7-6 |
| 21+000 | C-43 | NP | NP |
| 21+500 | C-44 | CL | A-7-6 |
| 21+980 | C-45 | NP | NP |
| 22+480 | C-46 | NP | NP |
| 23+040 | C-47 | CH | A-7-6 |
| 23+535 | C-48 | NP | NP |
| 24+100 | C-49 | CL | A-7-6 |
| 24+500 | C-50 | NP | NP |
| 25+000 | C-51 | NP | NP |
| 25+500 | C-52 | NP | NP |
| 26+025 | C-53 | NP | NP |
| 26+500 | C-54 | CL | A-7-6 |
| 27+100 | C-55 | NP | NP |
| 27+500 | C-56 | CH | A-7-6 |
Como resultado de la Clasificación SUCS se puede apreciar un mayor porcentaje de arcilla de alta y baja plasticidad, como se muestra en la Figura 3.

Mientras que, por la clasificación AASHTO se obtuvo en mayor porcentaje de arcillas con calificación de regular a malo, como se muestra en Figura 4.

Previo a la obtención de las correlaciones se procede a realizar un análisis ANOVA con el fin de determinar que parámetros intervienen directamente en el cálculo del CBR, teniendo como resultado que la variable física densidad no es influyente en la deducción del mismo, además se procedió a eliminar varios datos atípicos, al no presentar una distribución normal ya que afectaría el propósito de la investigación. A continuación, se presenta la Tabla 8.
| CBR 0,1” | CBR 0,2” | DCP | Contenido Humedad | Finos | Grava |
| 10,8 | 10,9 | 12,0 | 19,8 | 23,4 | 54,64 |
| 3,1 | 3,2 | 22,2 | 41,2 | 72,1 | 16,67 |
| 6,7 | 6,5 | 15,0 | 18,0 | 66,5 | 16,92 |
| 6,9 | 9,5 | 17,8 | 21,3 | 56,2 | 12,0 |
| 13,6 | 16,5 | 8,3 | 28,5 | 47,1 | 15,5 |
| 3,1 | 3,2 | 23,3 | 28,1 | 51,8 | 15,2 |
| 2,9 | 2,5 | 37,5 | 31,6 | 84,3 | 0,0 |
| 2,2 | 2,1 | 42,8 | 47,3 | 60.4 | 0,0 |
| 2,5 | 2,5 | 31,8 | 49,5 | 51,8 | 2,9 |
| 5,1 | 4,6 | 25,0 | 40,3 | 87,9 | 0,2 |
| 10,8 | 11,4 | 14,8 | 40,2 | 46,8 | 21,1 |
| 2,0 | 2,0 | 33,3 | 36,9 | 93,3 | 0,0 |
Para demostrar la correlación simple existente entre el ensayo CBR versus DCP, además de la correlación múltiple entre los mismos, se sumó los parámetros físicos del suelo: contenido de humedad, % de grava, % de arena, % de finos. Además, para un suelo de sub-rasante, es necesario tener en cuenta los siguientes parámetros estadísticos como son: coeficiente de correlación R2 en conjunto con el p-valor, los dos parámetros antes mencionados determinan el grado de correlación entre las variables y su fiabilidad. Las correlaciones fueron realizadas por el método de mínimos cuadrados, se comparó las tendencias lineal, exponencial, logarítmica y polinómica, dando como resultado una tendencia exponencial como el mejor ajuste para la correlación simple, mientras que para la correlación múltiple se asume un mejor ajuste con una exponencial. Las ecuaciones encontradas con los datos que se muestra en la Tabla 7 corresponden a:
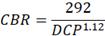
1. Función exponencial (1), en la que la variable independiente es el DCP y la variable dependiente es CBR-0.1”. Se tiene CBR=17,884*exp-0,028DCP. Coeficiente de correlación: R2=0,80; p-valor: 7,246x10-5. A continuación se presenta la Figura 5:

2. Función polinómica (1), en el que la variable independiente es el DCP y la variable dependiente es el CBR-0.2”. Donde CBR=21,395*exp-0,032DCP. Coeficiente de correlación: R2=0,82; p-valor: 3,821x10-5. A continuación, se presenta la Figura 6:

3. Función múltiple lineal (1), en el que las variables independientes son el DCP, contenido de humedad, % grava, % de finos y la variable dependiente es el CBR-0.1”. Se tiene CBR= 28,97173*exp (-(0,026553*DCP) -(0,00251*contenido de humedad) -(0,006708*Finos) -(0.005040*Grava)) Coeficiente de correlación: R2=0,82; p-valor: 0,0091. A continuación, se presenta la Figura 7.

4. Función múltiple lineal (2), el cual las variables independientes son el DCP, contenido de humedad, % grava, % de finos y la variable dependiente es el CBR-0.2”. Se tiene: CBR= 55,77653*exp (-(0,030318*DCP) -(0,005405*contenido de humedad) -(0,01093*Finos) -(0,012225*Grava)). Coeficiente de correlación: R2=0,86; p-valor: 0,0039. A continuación, se presenta la Figura 8.

Ecuaciones propuestas por la norma ASTM D 6951 [6]:
La ecuación (1) es válida para todo tipo de suelos, excepto aquellos clasificados como arcillas de baja compresibilidad CL con CBR menor a 10 y suelos clasificados como arcilla de alta compresibilidad CH.
(1)Para los suelos tipo Arcilla de baja compresibilidad CL. Con CBR<10%, se debe utilizar la ecuación (2).
(2)En el caso de suelos tipo arcillas de alta compresibilidad CH se utiliza la ecuación (3).
(3)A continuación, se muestra el cálculo del CBR aplicando la ecuación (3) de la ASTM D 6951 [6] y la comparación con las ecuaciones obtenidas en la presente investigación, representadas en la función exponencial (1) y la función múltiple lineal (1), tal como se indica en la Tabla 9.
| DCP | Ec. NormaASTM D-6951(CBR) | Función Exponencial 1 (CBR) | Función Múltiple 1 (CBR) |
| 24,0 | 14,5 | 9,07 | 9,46 |
| 44,4 | 7,8 | 5,10 | 4,56 |
| 30,0 | 11,6 | 7,66 | 7,34 |
| 35,6 | 5,3 | 6,54 | 6,89 |
| 16,6 | 12,6 | 11,19 | 11,70 |
| 46,6 | 1,6 | 4,79 | 5,13 |
| 75,0 | 0,6 | 2,15 | 2,08 |
| 85,6 | 4,1 | 1,59 | 1,77 |
| 63,6 | 0,9 | 2,96 | 3,29 |
| 50,0 | 7,0 | 4,35 | 3,85 |
| 29,6 | 3,9 | 7,75 | 7,84 |
| 66,6 | 5,2 | 2,72 | 2,41 |

Análisis comparativo entre la función exponencial 1, función múltiple 1, y ecuación propuesta por la norma ASTM D 6951 [6] representada mediante una nube de puntos para el análisis de dispersión indicado en Figura 9, manteniendo constantes las pendientes DCP. De lo cual se destaca que los resultados de las ecuaciones locales presentan tendencias y comportamiento similar, como se indica en la Tabla 10.
| DCP | Ec. NormaASTM D-6951-03(CBR) | Función Exponencial 2 (CBR) | Función Múltiple 2 (CBR) | |
| 24,0 | 14,5 | 10,04 | 9,61 | |
| 44,4 | 7,8 | 5,28 | 4,31 | |
| 30,0 | 11,6 | 8,31 | 8,01 | |
| 35,6 | 5,3 | 6,97 | 7,89 | |
| 16,6 | 12,6 | 12,68 | 14,29 | |
| 46,6 | 1,6 | 4,93 | 5,50 | |
| 75,0 | 0,6 | 2,01 | 1,93 | |
| 85,6 | 4,1 | 1,44 | 1,67 | |
| 63,6 | 0,9 | 2,88 | 3,40 | |
| 50,0 | 7,0 | 4,43 | 3,76 | |
| 29,6 | 3,9 | 8,42 | 8,48 | |
| 66,6 | 5,2 | 2,62 | 2,19 | |

| Ec. Norma | Fn. Múltiple 1 (CBR) | |
| Media | 6,26082608 | 5,525229152 |
| Varianza | 21,3085747 | 9,892104459 |
| Observaciones | 12,0000000 | 12,000000000 |
| Varianza agrupada | 15,6003396 | |
| Diferencia hipotética de las medias | 0,0000000 | |
| Gados de libertad | 22,0000000 | |
| Estadístico t | 0,45619288 | |
| P(T<=t) una cola | 0,32636141 | |
| Valor critico de t (una cola) | 1,71714437 | |
| P(T<=t) dos colas | 0,65272281 | |
| Valor critico de t (dos colas) | 2,07387307 |
| Ec. Norma | Fn. Múltiple 2 (CBR) | |
| Media | 6,260826079 | 5,919351661 |
| Varianza | 21,30857469 | 14,57169532 |
| Observaciones | 12,00000000 | 12,00000000 |
| Varianza agrupada | 17,94013500 | |
| Diferencia hipotética de las medias | 0,0000000 | |
| Gados de libertad | 22,0000000 | |
| Estadístico t | 0,197479011 | |
| P(T<=t) una cola | 0,422632951 | |
| Valor critico de t (una cola) | 1,717144374 | |
| P(T<=t) dos colas | 0,845265902 | |
| Valor critico de t (dos colas) | 2,073873068 |
5. CONCLUSIONES
Luego del análisis y discusión de resultados se concluye:
Las correlaciones presentadas en esta investigación, permitirán emplear la utilización del ensayo de penetración dinámica de cono DCP para determinar el valor soporte del suelo CBR de campo de los suelos clasificados como arcillas de baja y alta compresibilidad, para la vía Manta - Portoviejo y de la provincia de Manabí.
Todas las correlaciones presentadas presentan valores aceptables, alta significancia y confiabilidad como se lo demuestra en el análisis maestral y el p-valor menor a 0,05. En relación a la significancia y relación entre variables ANOVA, se destacan las funciones exponenciales directas entre DCP y CBR, y con menor grado de significancia aquellas que relaciona al CBR con DCP, y las propiedades físicas: % de finos, % de grava y % contenido de humedad.
Los resultados que expresan tanto las ecuaciones ASTM, como las obtenidos en las ecuaciones locales para arcillas resultan similares y dentro de la misma nube de puntos, sin embargo, no presentan un patrón definido de proporcionalidad. Finalmente se recomienda el uso de las funciones directas y múltiples correspondientes a 0,2” de penetración ya que representan el mayor grado de significancia.
6. REFERENCIAS
[1] S. Guerrón, «Comparación de resultados de densidad de campo por los métodos cono y arena, volumétrico y densímetro nuclear» Trabajo de grado, Universidad Central del Ecuador, Ecuador, 2013
[2] J. Auqui y D. Ramírez, «Guía práctica para el diseño estructural de carreteras» Trabajo de Titulación, Universidad Politécnica Salesiana, 2019
[3] AASHTO 2002, «Guide for Design of Pavement Structures» American Association of State Highway and Transportation Officials, Washington, DC, 2002
[4] AASHTO2008, «Mechanistic Empirical Pavement Design Guide» American Association of State Highway and Transportation Officials, Washington, DC, 2008
[5] ASTM D 4429, «Standard Test Methods for CBR (California Bearing Ratio) of Soils in place» American Society of Materials, West Conshohocken, PA, 2004
[6] ASTM D 6951, «Standard Test Methods for Use of the Dynamic Cone Penetrometer in Shallow Pavement Applications» American Society of Materials, West Conshohocken, PA, 2003
[7] ATSM D 2922, «Standard Test Methods for Density of Soil and soil-aggregate in place by nuclear methods. Shallow depth» American Society of Materials, West Conshohocken, PA, 2012
[8] ASTM D 2487, «Standard Test Methods for Classification of soils for engineering purposes (Unified Soil Classification System)» American Society of Materials, West Conshohocken, PA, 2017
[9] E. Cobo, J. Cortés y J. González, «Prueba de significación y contraste de hipótesis» Departamento de Estadística e Investigación Operativa, Universidad Politécnica de Cataluña, 2014
[10] RStudio, «Open source and enterprise-ready professional software for data science» 2016
[11] American Society for Testing and Materials, ASTM, «Annual Book of ASTM Standards», Estados Unidos, Pensilvania, 2016
[12] ASTM D 3282, «Standard Practice for Classification of Soils and Soil-Aggregate Mixtures for Highway Construction Purposes» American Society for Testing and Materials, West Conshohocken, PA, 2015
Notas de autor
Artículo relacionado
[Artículo corregido , vol. 21, 27] https://revistas.ucla.edu.ve/index.php/gt/article/view/2444