Artículos de Investigación
Cálculo y diseño del tramo de un puente ferrocarrilero de superestructura metálica en el Vigía, Estado Mérida
CALCULATION AND DESIGN OF A RAILWAY BRIDGE SECTION OF METALLIC STRUCTURE IN EL VIGÍA, MÉRIDA STATE
Cálculo y diseño del tramo de un puente ferrocarrilero de superestructura metálica en el Vigía, Estado Mérida
Gaceta Técnica, vol. 21, núm. 1, pp. 3-26, 2020
Universidad Centroccidental Lisandro Alvarado

Recepción: 18/07/2019
Aprobación: 20 Noviembre 2019
Resumen: El presente artículo refiere al diseño y cálculo de un tramo de 30,00 m de viga metálica, para un puente ferrocarrilero propuesto en la ciudad de El Vigía, capital del Municipio Alberto Adriani del Estado Mérida, Venezuela. La ubicación del puente corresponde aproximadamente a una ruta propuesta por el Instituto Ferroviario del Estado, Ruta Lago de Maracaibo, en el Plan Nacional Ferroviario. La hipótesis de cálculo se hizo mediante vigas simplemente apoyadas, sin embargo, se empleó la herramienta de cálculo CSI Bridge 2017. El diseño de la sección de la viga se realizó mediante la normativa AASHTO LRFD 2014, las consideraciones de análisis, es decir cargas y combinaciones se basaron en AREMA 2004. El tren de cargas consistió en el COOPER E-80 de AREMA, que es la locomotora idealizada más común en el análisis. Otros elementos diseñados fueron la losa de concreto, los apoyos elastómericos, diafragmas o separadores y rigidizadores de apoyo. Se obtuvo el diseño de un tramo de 30,00 m de viga metálica de sección I de 1,70 m de altura con láminas de 5,00 cm de espesor en el alma y de 10,00 cm para cada ala, con un ancho de 80,00 cm, todo en acero A36. La losa se colocó de 30,00 cm de espesor y con concreto de 250 kg/cm2.
Palabras clave: : puente ferrocarrilero.
Abstract: This paper refers to the design and calculation of a 30,00 m section of metal beam, for a proposed railway bridge in the city of El Vigía, capital of the Alberto Adriani Municipality of Mérida State, Venezuela. The location of the bridge corresponds approximately to a route proposed by the State Railway Institute, Maracaibo Lake Route, in the National Railway Plan. The calculation hypothesis was made using simply supported beams, however the CSI Bridge 2017 calculation tool was used. The design of the beam section was carried out using the AASHTO LRFD 2014 standard, the analysis considerations loads and combinations were based on AREMA 2004. The freight train was the AREMA COOPER E-80, which is the most common idealized locomotive in the analysis. Other designed elements were the concrete slab, elastomeric supports, diaphragms or separators and stiffeners. The design of a 30,00 m section of metal beam of section I of 1.70 m high was obtained with sheets of 5.00 cm thick at the core and 10,00 cm for each wing, with a width 80,00 cm, all in A36 steel. The slab placed was 30,00 cm thick and 250 kg/cm2 concrete.
Keywords: : railway bridge.
1. INTRODUCCIÓN
Los puentes permiten que vehículos y ferrocarriles atraviesen un obstáculo que signifique la discontinuidad de una vía de comunicación. El río Chama en el Estado Mérida, Venezuela, en el caso que aquí se tratará, es un obstáculo en la ruta trazada para la línea Lago de Maracaibo, por lo que la proyección y construcción de un puente permite nuevas formas de intercambio en el occidente del país, porque actualmente la única forma de transporte es la vehicular. La propuesta original del puente es de 150,00 m, con un tramo de arco atirantado de 90,00 m y dos tramos de viga de sección I de 30,00 m [1]. La ubicación del puente se muestra en la Figura 1, con planta y perfil del puente y la zona de emplazamiento está a 70,00 m de la ubicación del segundo sobre el río Chama, que actualmente se encuentra en construcción.

En [2] se establece que el ancho estable del río Chama, es de 149,00 m en la zona de emplazamiento de dicha propuesta; proponiendo así un puente de 150,00 m de longitud, con vigas I de concreto pretensado de 25,00 m. Consistentemente con esto en [1] se propuso un puente de la misma luz, pero de acero y con distinta configuración de tramos, en la misma zona.
Para este caso se estudiaron los tramos de 30,00 m, cuyo análisis y diseño son los mismos, por lo que es posible hacer un único estudio. Cabe destacar que el análisis o cálculo se refiere a la determinación de las solicitaciones, mediante métodos numéricos o algebraicos, por otro lado, el diseño consiste en dimensionar o asignar las secciones transversales que soporten dichas solicitaciones.
El diseño de puentes metálicos puede hacerse con vigas I laminadas. Pero cuando la magnitud de la luz hace prohibitivo el uso de vigas de acero laminadas, pueden todavía aprovecharse las ventajas inherentes a los puentes sobre vigas metálicas en I, empleando aquellas fabricadas especialmente combinando planchas y ángulos laminados, de manera de obtener una sección con un momento de inercia suficiente para soportar mayores momentos [3]. Estas son las denominadas vigas armadas o de palastro, y pueden ser unidas mediante pernos o por medio de soldadura. Este tipo particular de vigas es el usado para dimensionar el puente en cuestión.
2. DESARROLLO
Según [4] en Mérida, Venezuela los primeros proyectos ferroviarios se realizaron en 1879, llevándose a cabo uno denominado “Un plan para la construcción de un camino de hierro, desde Mérida a las Aguas del Lago de Maracaibo”, en la que se planteaba la necesidad de la construcción de una línea férrea, que iba desde Mérida hasta Maracaibo. Posteriormente se inauguró en la ciudad de El Vigía una línea férrea, que planteaba llegar hasta San Bárbara, pero debido a diversos problemas relacionados con la economía, con el régimen erosionante del río Chama y terremotos ocurridos en aquella época, nunca logro completarse.
Uno de los problemas que se afrontaron para el momento durante su operación en los pocos años que funcionó, fue la acción del río Chama. Por ello es importante definir a continuación las “Generalidades” acerca de los puentes, que son el tipo de estructura que da solución a este problema mencionado.
2.1.Puentes
Un puente es una estructura que permite interconectar puntos de una vía, para mantener la continuidad en algún tipo de transporte. Se pueden construir de madera, mampostería, hierro fundido, acero, estructural, concreto armado y concreto pretensado. Para el puente propuesto en este caso el material empleado es el acero, siendo un material volumétricamente más pesado que el concreto, pero como la resistencia es muy alta, las piezas pueden ser muy esbeltas y tanto para darles la mayor rigidez posible con el mínimo de masa, como para facilitar los enlaces se adoptan formas I, r, Z, C, U [5].
En [6] se clasifican los puentes por el tipo de estructura, siendo: simplemente apoyados, continuos, simples de tramos múltiples, en cantilever (voladizos), en arco, atirantados, colgantes, Levadizos (basculantes) y pontones. Para este estudio cobra mayor relevancia los puentes simplemente apoyados; ya que el propuesto tiene esta condición de apoyo. Estos son isostáticos externamente, con tres reacciones y con momentos máximos positivos en la parte central. Por otro lado, se tienen los puentes simples de tramos múltiples; que corresponden a varios tramos de puentes simplemente apoyados, similar al presentado en [1]. En la Figura 2, se aprecia este tipo de puentes descritos.

2.2.Separadores o Diafragmas
Los diafragmas son elementos que rigidizan transversalmente la estructura contra fuerzas laterales, y que además brindan arriostramiento a las alas de una viga tipo I, para combatir el pandeo lateral torsional, y poder desarrollar el momento plástico. Los separadores deben colocarse en los extremos, para dar rigidez a la hora de levantar el puente en caso de reparaciones, y adicionalmente en tramos intermedios a una distancia igual o menor a Lb, que corresponde a la longitud permisible sin arriostramiento lateral del ala de una viga tipo I de acero [1].
2.3.Aparatos de Apoyo: Elastómeros Zunchados
Los aparatos de apoyo son elementos que permiten transmitir las reacciones verticales y horizontales, así como las rotaciones desde la superestructura a la subestructura, ya sea estribo o pila. Estos deben responder de manera similar a las hipótesis de vinculación presentadas en el cálculo del puente, es decir, comportarse de manera similar a como fueron calculados ya sea como apoyo fijo, rodillo o empotramiento. El tipo de apoyo pertinente en este caso es el elastómero zunchado con láminas de acero de refuerzo y cuya patente es de la empresa FREYSSINET.
El elastómero usado para la fabricación de los aparatos de apoyo estándar FREYSSINET es el policloropreno, caucho sintético principalmente comercializado bajo el nombre de neopreno por la Du Pont de Nemours que lo fabrica y distribuye desde 1931 [7]. Estos aparatos consisten en láminas del material descrito intercaladas con láminas de acero de refuerzo, formando un “emparedado”, que se coloca entre la viga de un puente y la subestructura, pudiendo estar anclado con pernos.
2.4.Métodos de Diseño
Como se establece en [8], en Venezuela al no existir una documentación propia, toma de las normativas americanas, los criterios para el diseño de puentes, tal como se especifica a continuación:
Método de los Estados Límites
Un estado límite.se da cuando una estructura ya no es capaz de cumplir una función de diseño, ya sea de servicio, de resistencia o de comportamiento ante la fatiga o cargas cíclicas. Luego de entrar en este estado la estructura puede colapsar, o dejar de funcionar adecuadamente. Se establece 4 estados límites: resistencia, de servicio, de fatiga y de evento extremo [9].
En el estado límite de resistencia se establece la combinación de carga estadísticamente más significativa o más desfavorable, que el puente puede esperar durante toda su vida útil. Al tratarse de un puente ferroviario se usan las combinaciones establecidas por [10] mostradas en la Tabla 1, correspondiente a la Tabla 8-2-5, sección 2.2.4. En la Tabla 2 se muestra la notación o significado de cada letra mostrada en las combinaciones, de acuerdo AREMA en el capítulo 8, sección 2-2-3 [10].
| Grupo | Combinación |
| I | 1.4(D + 5/3 (L + I) + CF + E + B + SF) |
| IA | 1.8(D+.L + I + CF + E + B + SF) |
| II | 1.4(D + E + B + SF + W) |
| III | 1.4(D+.L + I + CF + E + B + SF + 0.5W + WL + LF + F) |
| IV | 1.4(D+.L +.I + CF + E + B + SF + OF) |
| V | Grupo II + 1.4OF |
| VI | Grupo III + 1.4OF |
| VII | 1(D+.E + B + SF + EQ) |
| VIII | 1.4(D+ L + I + E + B + SF + ICE) |
| IX | 1.2(D + E + B + SF + W + ICE) |
| Tipo de Fuerza | Nomenclatura |
| Carga Muerta | D |
| Carga Viva | L |
| Impacto | I |
| Fuerza centrifuga | CF |
| Presión de Tierra | E |
| Flotación | B |
| Carga de viento sobre la estructura | W |
| Carga de viento sobre la carga viva | WL |
| Fuerza longitudinal de la carga viva | LF |
| Fuerza longitudinal debido a la fricción o resistencia al corte de los cojinetes de expansión | F |
| Sismo | EQ |
| Presión del Flujo de Agua | SF |
| Presión del Hielo | ICE |
| Otras Fuerzas(Temperatura, Contracción) | OF |
2.5.Objetivos
Objetivo General
Diseñar y calcular un tramo de 30,00 m de puente ferrocarrilero de superestructura metálica sobre el río Chama, Municipio Alberto Adriani del estado Mérida, Venezuela, aplicando la normativa americana de diseño de puentes.
Objetivos Específicos
• Diseñar los apoyos elastoméricos, requeridos para transmitir de manera adecuada las cargas de la superestructura a la subestructura, mediante la normativa AASHTO LRFD 2014
• Proponer Diafragmas o separadores, para darle rigidez lateral al tablero del puente de 30m.
• Diseñar los rigidizadores de apoyo, para el tramo de 30m, mediante la metodología de la sección de columna efectiva de la AASHTO, para proteger el alma contra abolladuras debido a cargas concentradas.
3. METODOLOGÍA
El trabajo realizado consistió en predimensionar inicialmente seis alternativas distintas, haciendo un análisis económico considerando sólo el costo de los materiales, para seleccionar la opción más conveniente [1]. Las propuestas se muestran en la Figura 3. La alternativa 6 se escogió, pues, aunque no es la más económica es más conveniente, para no colocar apoyos en el río Chama y porque brinda una estética mayor a las demás [1].

La sección transversal inicial es la mostrada en la Figura 4 en la que se plantea una losa de 25,00 cm de espesor, y se muestra una vía férrea de 1 solo carril, con sus respectivos elementos como lo son el balasto, traviesa, y rieles.

Para el modelado del puente, se empleó las especificaciones consideradas en [11]. Las vigas longitudinales se modelan como elementos tipo frame, al igual que las vigas de apoyo y los diafragmas. Por su parte, la losa se modela como elemento Shell. Las cargas se introdujeron de acuerdo a su forma de ser aplicada, por ejemplo, el peso del balasto se incluyó como una carga distribuida uniformemente en la superficie, mientras que la baranda como carga distribuida linealmente en los extremos. En la Figura 5 se muestra el modelo previamente descrito.

Para el análisis se emplearon las combinaciones obtenidas de [10]. Mientras que para el diseño se usaron las ecuaciones presentadas en [9]. Se calcularon los diafragmas o separadores, basados en la forma K Invertida, formado por perfiles angulares. Se calcularon los rigidizadores de apoyo y adicionalmente los apoyos de neopreno necesarios. La soldadura represento la parte final del cómputo de la viga, y se plantearon filetes y soldaduras de ranura de penetración completa y parcial.
4. RESULTADOS
4.1.Losa de Concreto
El espesor final de la losa es 30,00 cm, porque con 25,00 cm no cumplía los requerimientos de flexión. Se usó un impacto de 30%. Las solicitaciones máximas se calcularon con el grupo I de [10], lo cual correspondería al estado límite de resistencia, equivalente a
. El modelo a usado se basa en un elemento tipo frame, que simula una viga de ancho unitario y dos apoyos simples que lo representan las vigas longitudinales (ver Figura 6). Se considera como carga viva, un eje sencillo del tren de cargas Cooper E-80 [10] de 18143,70 kg cada rueda.
Los cálculos se hicieron considerando que la altura de la losa es 30,00 cm, siendo la altura útil d.25,00 cm y el recubrimiento centroidal 5,00 cm; la resistencia del concreto es 250 kg/cm2 y la del acero de refuerzo 4200 kg/cm2. El ancho a considerar es unitario es decir 100,00 cm.

Mediante las ecuaciones de la Teoría general de concreto armado para elementos sometidos a flexión presentada en [12]; se determinó que para la losa en estudio era posible aplicarse una armadura sencilla. Por lo que se optó por calcular el acero requerido mediante la ecuación (1), en la que se determina la cantidad de acero requerida para resistir la solicitación última Mu. Por otro lado, también se emplean las ecuaciones (2) para determinar el acero mínimo, en aquellas zonas donde el acero calculado sea menor al mínimo; y (3) para calcular el acero de repartición longitudinal.

Donde:
As área de acero requerida para la solicitación Mu
d altura útil de la sección
b ancho considerado en este caso un ancho unitario (100 cm)
f’c resistencia a la compresión del concreto
fy esfuerzo de fluencia del acero de refuerzo
∅ factor de minoración por flexión que corresponde a 0,9
El acero requerido en (1) para la solicitación máxima de 23,78 tn.m es 28,33 cm2/m, mientras que el acero mínimo en (2) es 8,33 cm2/m. Para el acero de repartición en (3) se usó un ancho de 460,00 cm y el valor obtenido fue 5,40 cm2/m. En la Figura 7 se muestra el armado final de la losa.

4.2.Viga de 30,00 m
Para el puente de 30,00 m se realizó un modelo paramétrico 3D planteado en [11]; del que se obtuvieron las solicitaciones para el diseño. La carga viva considerada corresponde al tren de cargas idealizado Cooper E-80 de [10], incluido en se incluye en el software CSI Bridge (ver Figura 8). El factor de impacto se calcula según [10] y corresponde a 22,3%.

Las propiedades del perfil definitivo se muestran en la Figura 9. Se determinó la inercia para la sección a corto y largo plazo, pues estos valores se usaron para los chequeos de fatiga, y servicio.

Combinaciones y cargas a considerar
Del análisis de CSI Bridge propuesto en [11], se obtuvo los siguientes resultados expuestos en la Tabla3.
| Combinación | Carga (kg/m) | Momento(tn.m) | Corte(tn) |
| WD1 | 3507,57 | 394,598 | 52,596 |
| WD2 | 3134,48 | 352,629 | 47,017 |
| L | - | 871,184 | 127,41 |
| L+I | - | 1065,458 | 311,645 |
| Construcción | - | 563,191 | - |
| Grupo I | - | 3531,832 | 550,558 |
| Servicio | - | 1812,685 | 275,302 |
Siendo:
WD1 carga que actúa sobre la sección simple (solo peso propio)
WD2 carga que actúa sobre la sección compuesta (barandas, rieles, balasto y traviesas)
L carga móvil de locomotora Cooper E-80[10]
L+I carga móvil considerando el impacto (22,3%)
Construcción combinación para la construcción es decir vaciado de la losa
Grupo I (Resistencia I) combinación más desfavorable
Servicio combinación que considera la carga viva con el impacto y la carga muerta sin mayorar
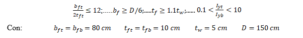
Chequeo de límites de proporción de la sección.
En la Sección 6.10.2 de [9] se establecen los siguientes cuatro chequeos, para asegurar que las vigas de puentes metálicos no tengan dimensiones inadecuadas.

Siendo:
bft y bfb ancho del ala superior e inferior respectivamente
tft y tfb espesor del ala superior e inferior respectivamente
tw espesor del alma
D altura o profundidad del alma
Iyt e Iyb momento de inercia del ala superior e inferior respectivamente
Aplicando los chequeos de los límites de proporciones mostrados.se obtiene que la sección transversal colocada es apropiada.
Constructibilidad
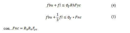
Durante la construcción, ninguna de las alas de la viga se puede considerar continuamente arriostrada hasta que el concreto endurezca, por ello se chequea el ala en compresión que soporta el peso del concreto fresco y de los operarios durante la construcción. Se chequean las ecuaciones (4) y (5), para verificar la integridad de la viga durante la construcción, expuestas en la Sección 6.10.3 de [9].

Donde:
fbu esfuerzo en el ala a compresión
Fyc esfuerzo de fluencia
fl esfuerzo de pandeo lateral del ala, que se toma como cero
∅ coeficiente de minoración que se toma como 1 para construcción
Rh factor de derramamiento de la carga del alma y se toma como 1
Rb coeficiente de hibridez cuando se usa más de un material, por lo que al usarse un solo material se toma como 1
Fnc resistencia nominal de la viga y depende del pandeo lateral torsional (LTB) y del pandeo local del ala (FLB), siendo el menor valor el que se tomara en cuenta
Fyc esfuerzo de fluencia del acero (A36)
El esfuerzo en el ala a compresión (ala superior) se calcula con la ecuación (6), donde Ss es el módulo de sección superior de la sección simple que corresponde a 137171,60 cm3.

Mediante la ecuación Ec 6.10.8.2.3-9 y Ec 6.10.8.2.3-4 de [9].se calcula rt (radio de giro torsional) y Lp, que es la longitud necesaria para que la viga pueda desarrollar el momento plástico. Esta longitud Lp corresponde a 6,27 m. Como los diafragmas o separadores se plantean cada 5,00 m, esto corresponde a una longitud de arriostramiento menor a Lp. Por otro lado, la esbeltez del ala que es 4, es menor al límite, de sección compacta que es 10,94. La sección puede fluir y no presentar problemas de pandeo lateral torsional ni pandeo local por tanto Fnc es directamente la fluencia del acero.
Aplicando los chequeos por construcción.
Ambas ecuaciones (4) y (5) son chequeadas satisfactoriamente.
Estado límite de servicio
En [10] se establece que las deformaciones máximas deben ser L/640 que corresponde a 4,6875 cm. Por servicio la flecha de la viga es 4,96 cm. Por tanto, plantea una contra flecha de 4,00 cm. Adicionalmente en la sección 6.10.4 de [9], se sugiere aplicar la ecuación (7), para verificar que los esfuerzos durante el servicio no sean excesivos. En este caso se chequea el ala inferior que es el caso más desfavorable.

Estado limite fatiga y fractura
En tabla 15-1-7 de [10] se establece que para elementos longitudinales de 30,00 m o menos se considere un numero de ciclos mayor a dos millones, y siendo el ala un elemento plano, se enmarca en la categoría A, cuyo esfuerzo admisible a la fatiga es 24Ksi (1687,33 kg/cm2).
Con la ecuación (9) se puede determinar cuál es el esfuerzo por fatiga debido a la solicitación de la carga viva en la sección considerada.

Estado límite de resistencia
Chequeo de la compacidad:
El puente es recto OK
fy = 2530kg/cm2 < 4921 kg/cm2 OK
Chequeo proporciones del alma OK
¿?
Para el caso del acero de distribución, que según los cálculos de resistencia contribuirán en la resistencia de la sección compuesta, se consideran 35 barras de 3/8” para un área de 24,85 cm2 en la parte superior e inferior.
Propiedades plásticas de la sección
Con las ecuaciones (10) a (15) se calcularon las fuerzas que ejerce cada elemento de la sección de viga y la losa.

Siendo:
f’c resistencia a compresión del concreto de la losa
b losa ancho tributario de la losa (que es 2,30 m)
h losa espesor de la losa
Fy esfuerzo de fluencia del acero
Art y Arb área de acero longitudinal de la losa
bfc y bft ancho del ala superior e inferior
tfc y tft espesor del ala superior e inferior
hw profundidad del alma
tw espesor del alma
Sustituyendo de (10) a (15) se obtiene:

Donde
Pt, Pc, Ps, Prt, Prb y Pw fuerzas en los elementos de la sección
D profundidad del alma
Y profundidad del eje neutro plástico, medido en este caso desde el alma
ds, dc, dt, drt, drb distancias centroidales medidas desde el centroide de cada elemento al eje neutro plástico o ENP siendo respectivamente, la distancia desde el ENP a la losa, al ala superior, al ala inferior y al acero longitudinal superior, e inferior
Dichas distancias se muestran en la Figura 10.


Por último se debe cumplir lo mostrado en la inecuación (19), donde se compara la demanda con la resistencia de la sección.


4.3.Diseño de Conectores de Corte
Los conectores de corte deben penetrar al menos 2” en el concreto. Además [10] establece una separación máxima de 2 pies. Se proponen canales UPN100, considerando impacto de 22,3%. El diseño se realiza por fatiga y se chequea la separación máxima por resistencia, siendo este 55,60 cm para canales de 24,00 cm de largo y con sección de UPN100.
Diseño por Fatiga

Dónde:
p separación calculada de los conectores
n número de conectores que en este caso es 1
Zr resistencia del canal calculado con (27) para los conectores en tramos intermedios o (28) para conectores próximos a los extremos
Vsr corte por fatiga por unidad de longitud
Vf demanda por fatiga máxima para el punto considerado
El momento estático Q de la sección compuesta a corto plazo (n) es 70570,158 cm3 y la inercia I 17597650 cm4. Los resultados se presentan en la Tabla 4, donde fueron aplicadas las ecuaciones (25) a (28) para determinar las separaciones que deben tener los conectores de corte.
| Fatiga | Resistencia | Final | ||||||
| x(m) | Vfat +(tn) | V fat -(tn) | Vf(tn) | Vsr(kg/cm) | Zr(kg) | p(cm) | S(cm) | S(cm) |
| 0,0 | 0,31 | -176,99 | 176,99 | 709,78 | 15429,26 | 21,74 | 55,60 | 21 |
| 2,5 | 1,46 | -152,93 | 152,93 | 613,27 | 10286,16 | 16,77 | 55,60 | 16 |
| 5,0 | 5,94 | -122,80 | 122,80 | 492,46 | 10286,16 | 20,89 | 55,60 | 20 |
| 7,5 | 13,03 | -99,13 | 99,13 | 397,52 | 10286,16 | 25,88 | 55,60 | 25 |
| 10,0 | 21,40 | -79,87 | 79,87 | 320,30 | 10286,16 | 32,11 | 55,60 | 32 |
| 12,5 | 31,69 | -62,89 | 62,89 | 252,20 | 10286,16 | 40,79 | 55,60 | 40 |
| 15,0 | 43,73 | -48,12 | 48,12 | 192,96 | 10286,16 | 53,31 | 55,60 | 53 |
| 17,5 | 57,07 | -35,54 | 57,07 | 228,88 | 10286,16 | 44,94 | 55,60 | 44 |
| 20,0 | 72,19 | -24,68 | 72,19 | 289,50 | 10286,16 | 35,53 | 55,60 | 35 |
| 22,5 | 89,69 | -15,66 | 89,69 | 359,69 | 10286,16 | 28,60 | 55,60 | 28 |
| 25,0 | 110,26 | -8,63 | 110,26 | 442,18 | 10286,16 | 23,26 | 55,60 | 23 |
| 27,5 | 132,26 | -3,12 | 132,26 | 530,38 | 10286,16 | 19,39 | 55,60 | 19 |
| 30,0 | 155,82 | -0,13 | 155,82 | 624,88 | 15429,26 | 24,69 | 55,60 | 24 |
En la Figura 11, se muestra un esquema de la colocación de los conectores de corte en la viga, optándose por perfiles sección canal UPN100 de 24,00 cm de ancho. Estos elementos son necesarios para poder llevar a cabo la hipótesis de sección compuesta, es decir para que la viga de acero y la losa de concreto trabajen al unísono.

4.4.Diseño de Diafragmas o Separadores
Los diafragmas internos se diseñaron con angulares dobles de 65x5x65 en los cordones horizontales y con angulares dobles 40x6x40 en los diagonales. La forma adoptada es K invertida, y se determinó la resistencia a la tracción y compresión de estos elementos, mediante ecuaciones de la sección 6.9.4 de [9]. Asimismo, se decidió colocar los diafragmas extremos como una viga transversal con perfil HEB400 de 2,30 m de longitud, porque permite que el puente sea levantado por 3 gatos de 70 tn o 4 de 50 tn para el mantenimiento de los aparatos de apoyo. Lo descrito anteriormente se muestra de manera gráfica en la Figura 12.

4.5.Diseño de Rigidizadores de Apoyo
Se colocaron rigidizadores en los apoyos, pues es recomendable colocarlos debido a que es una zona de concentración de esfuerzos. La reacción es 550.55 tn, se chequean las dimensiones y la resistencia de los rigidizadores mediante (29) y (31) correspondientes a Art 6.10.1.2.2 y Art 6.10.11.2.3 [9].

Planteando rigidizadores con lámina de 3,1 cm con las siguientes dimensiones:

Chequeo de sección de columna efectiva
Del Art 6.10.11.2.4b [9] con las dimensiones de la Figura 13, se obtiene que para la sección de columna efectiva las siguientes propiedades:
Área de la sección de columna efectiva A = 667 cm2
Momento de inercia I = 108984,37 cm4
Radio de giro r= 12,78 cm
Profundidad del alma L = 150 cm
Coeficiente de la condición de apoyo K = 0,75
Calculando la resistencia de la sección de columna efectiva, por la teoría de compresión de la sección 6.9.4 de [9], la resistencia por compresión es
Pr = 1596,8 tn
4.6.Diseño de Apoyos Elastoméricos
La carga muerta es 98,3072 tn, mientras que la reacción de la carga viva 144,7216 tn, siendo el total o carga de servicio es 243,0288 tn, cantidad para la cual se diseñara el apoyo. El esfuerzo máximo es
según [9], por lo que se requiere un área de aparato de apoyo de
según [9], por lo que se requiere un área de aparato de apoyo de
(32)Aplicando (32) se obtiene que es necesaria un área de al menos 2764,8cm2; colocando un aparato de neopreno de 80x40 cm x cm; se tiene un área de 3200 cm2 y un esfuerzo de 75,94 kg/cm2, que es menor al esfuerzo máximo. La deformación por temperatura de la viga se puede calcular con la ecuación (33), adicionalmente según el análisis obtenido de [11] para Grupo I, el puente tiene un desplazamiento, longitudinal y transversal de 1,56 cm.

Chequeando el factor de forma de la ecuación (34), se obtiene que se requieren dos capas internas de 2,00 cm de espesor y aparte dos capas externas de 1,00 cm de espesor, para un total de 6,00 cm sólo considerando el neopreno. Las placas de acero de refuerzo requeridas se determinan mediante el método A [9], y se emplean láminas de acero A36. El espesor de las placas de acero se calcula mediante las ecuaciones de Servicio (35) cuyo hs es 1,8 mm y mediante fatiga (36) con un valor de 0,8 mm. Colocándose finalmente láminas de 2,0 mm de espesor.

Siendo:
hs espesor requerido de las placas de acero, por servicio y fatiga respectivamente
Fy esfuerzo de fluencia del acero
hmax espesor mayor de las capas de neopreno
σL esfuerzo solo considerando la carga viva de 144,72 tn y el área de 3200 cm2 y
∆FTH esfuerzo admisible por fatiga que corresponde a 1687 kg/cm2 (categoría A de [10])
La altura total del aparato de apoyo corresponde a dos láminas internas de neopreno de 2,0 cm y 3 placas de refuerzo de 0,2 cm o 2,0 mm, más dos laminas externas de 1,0 cm, para un total de 6,6 cm. Lo descrito se muestra en la Figura 14.

Se determinó que los aparatos de apoyo requerían pernos de anclaje, por lo que se calculó una demanda teórica debido a sismo de 41,56 tn. En [10] se establece que como mínimo se deben colocar 2 pernos de 1¼” (32mm) de diámetro embebidos 30,00 cm. Usando los pernos indicados, con un área cada uno de 70917 cm2 y de material de calidad A325 con esfuerzo último de 6330. Mediante la ecuación (37) se determina la resistencia al corte de los dos pernos planteados.
(37)Dónde:
Vn resistencia nominal al corte
Ab área de corte o sección transversal de los pernos
Fub es el esfuerzo último del material de los pernos
Ns es el número de pernos
Aplicando la ecuación (37) para 2 pernos, con las características ya mencionadas, se tiene que la resistencia de estos es mayor a la demanda sísmica, por lo que esta configuración es apropiada.
4.7.Soldaduras
Empleando electrodo E60, según la sección 6.4.5 [9], la resistencia para soldaduras de penetración parcial y para filete a corte es 2025,6 kg/cm2, mientras que para soldaduras de penetración completa a corte es 2152,2 kg/cm2. Para unir el ala con el alma se practica soldadura de filete continua de ½” o 12,7 mm. Para unir la viga a la placa de anclaje cuyo largo es 40,0 cm (ver figura 15-apoyo), se puede emplear un filete de 3/8” o 9,5 mm. Los espalmes se hacen con soldaduras de ranura de penetración completa para el caso del ala, con un bisel de 30° sencillo y una separación entre placas de 1/8” o 3,0 mm y de penetración parcial para el alma, con un espesor de soldadura de ½”, o incluso un filete de ½”. Finalmente se muestra en la Figura 15 un modelo 3D del puente diseñado, incluyendo un tramo central de 90 m correspondiente a un arco atirantado, mostrado en mejor detalle en el trabajo original [1].

5. CONCLUSIONES
El puente diseñado consiste en una estructura de 150,00 m de longitud, basado en dos tramos de viga de 30,00 m, con perfiles construidos de 1,70 m de altura, 0,80 m de ancho de ala, 0,10 m de espesor de ala y 0,05 m de espesor del alma. La losa tiene un espesor de 0,30 m. Adicionalmente consta de un tramo central de 90,00 m manifestado en un arco atirantado de 18,00 m de altura propuesto con perfiles tubulares tanto para el arco como para el tirante; el análisis fue hecho considerando las hipótesis de carga y combinaciones de [9] y el diseño de las secciones por los estados límites de [8].
La demanda capacidad de la sección de vigas de 30,00 m de longitud es 84,8%, según lo mostrado en el apartado 4.2.6, mientras que lo que muestra [11] es 90%; esto se debe a que en programa no se modela el acero longitudinal. Por último, es posible emplear las secciones indicadas gracias al empleo de la soldadura como método de unión mecánica, pues permite aprovechar de mejor manera la resistencia de piezas metálicas, en detrimento que si se unieran por medio de pernos.
6. REFERENCIAS
[1] G. Castro V, «Diseño y cálculo de un puente ferrocarrilero de superestructura metálica» [TESIS], Mérida, Venezuela, Universidad de los Andes, 2019
[2] R. Monsalve y S. Ramírez, «Diseño y cálculo de puente ferroviario» [TESIS], Mérida, Venezuela, Universidad de los Andes, 2017
[3] E. Arnal, «Lecciones de Puentes» Caracas, Editorial Arnal, 2000
[4] O. Martínez E, «El camino de hierro en el sur del lago de Maracaibo» [TESIS], Mérida, Venezuela. Universidad de los Andes, 2007
[5] E. Torroja M, «Razón y ser de los Tipos estructurales» Madrid, Consejo Superior de Investigaciones Científicas, 2010
[6] A. Rodríguez Serquen, «Puentes con AASHTO-LRFD 2014» (7ma edición), Lima, Perú, Prometeo Desencadenado ediciones, 2017
[7] R. Claros y P. Meruvia, «Apoyo didáctico en la enseñanza-aprendizaje de la asignatura de puentes» [TESIS] Cochamba, Bolivia, 2004
[8] H. Paris, «Puentes» Caracas, Venezuela, Editorial Fundación Juan José Aguerrevere del Colegio de Ingenieros de Venezuela, 1998
[9] AASHTO, «LRFD Bridge Designs Specifications», American Association of State Highway and Transportation Officials, E.E.U.U, 2014
[10] AREMA, «American Railway Engineering & Maintenance of Way Association» E.E.U.U, 2004
[11] CSI Bridge, «Integrated 3-D Bridge Analysis», 2017
[12] L. Fargier, «Concreto Armado Comportamiento y diseño» (1era ed.) Mérida, Venezuela, 2010
Notas de autor
Artículo relacionado
[Artículo corregido , vol. 21, 3-26] https://revistas.ucla.edu.ve/index.php/gt/article/view/2481