Artículos de Investigación
EVALUACIÓN DE HERRAMIENTAS DE ENTORNO "SIG" Y SUS APLICACIONES EN LA MODELACIÓN HIDRÁULICA DE RÍOS
EVALUATION OF "GIS" RELATED TOOLS AND THEIR APPLICATIONS IN THE RIVERS HYDRAULIC MODELING
EVALUACIÓN DE HERRAMIENTAS DE ENTORNO "SIG" Y SUS APLICACIONES EN LA MODELACIÓN HIDRÁULICA DE RÍOS
Gaceta Técnica, vol. 20, núm. 1, pp. 79-93, 2019
Universidad Centroccidental Lisandro Alvarado

Recepción: 02/07/2018
Aprobación: 13/10/2018
Resumen: El trabajo de investigación que se presenta fue realizado con el propósito de evaluar herramientas de entorno SIG (Sistema de Información Geográfica) de nombre GISWater y HECgeoRAS, las cuales funcionan como nodo de conexión entre el modelo HEC-RAS y los programas QGIS y ArcGIS respectivamente. En el trabajo se igualan las condiciones de creación del modelo digital del terreno, con la finalidad de obtener un resultado final a partir de una paridad de circunstancias. El caso de estudio elegido para obtener los resultados fue la quebrada Borure ubicada en la ciudad de Barquisimeto Estado Lara, Venezuela. Una vez obtenidas ambas soluciones proporcionadas por el modelador hidráulico HEC-RAS, se procedió a determinar la correlación existente entre ambos productos, resultando alta, cercanas al valor de la unidad, por lo que se pudo concluir que ambas herramientas son aplicables en el pre-procesamiento de datos para el modelo HEC-RAS, teniendo la ventaja de que GISWater es licencia libre y trabaja bajo el sistema de información geográfica QGIS de iguales características.
Palabras clave: GISWater, HECgeoRAS, HEC-RAS, modelador hidráulico, herramienta GIS, sistema de información geográfica.
Abstract: The research work presented was carried out with the purpose of evaluating GISWater and HECgeoRAS Geographic Information System (GIS) related tools, which function as a connection node between the HEC-RAS model and the QGIS and ArcGIS software respectively. . Here the conditions of creation of the digital model of the land are leveled, with the purpose of obtaining a final result from a parity of circumstances. The case study chosen to obtain the results was the Quebrada Borure located in the city of Barquisimeto, State of Lara, Venezuela. Once both solutions provided by the HEC-RAS hydraulic modeler were obtained, the correlation between both products was determined, being high, close to the value of the unit, reason why it could be concluded that both tools are applicable in the data processing for the HEC-RAS model, with the advantage that GISWater is a free license and works under the geographic information system QGIS with the same characteristics.
Keywords: GISWater, HECGEORAS, HEC-RAS, hydraulic modeler, GIS tool, geographic.
1. INTRODUCCIÓN
Frecuentemente es posible encontrar programas o software diseñados para realizar modelaciones hidráulicas de ríos o canales a lo largo de un cauce, bien sea natural o artificial. Para el caso de los cauces en su condición natural, es imprescindible contar con información previa acerca de la configuración del terreno que el mismo posee, para estos casos se debe contar con un levantamiento topográfico que permita reunir toda la información acerca de la configuración del mismo, sin embargo, esto no es suficiente para llevar a cabo una modelación hidráulica. Para que un software hidráulico pueda procesar la información antes mencionada de manera expedita, es necesario hacer uso de otro tipo de software, tal es el caso de los Sistemas de Información Geográfica (SIG), los cuales tienen como objetivo combinar información geográfica básica para obtener otra derivada [ 1].
Es común ver que muchos modeladores hidráulicos y usuarios de este tipo de herramientas, prefieran usar el software HEC-RASa la hora de realizar un análisis. Es un modelador de carácter gratuito, desarrollado por el Cuerpo de Ingenieros de la Armada de los Estados Unidos para la realización de cálculos hidráulicos en una dimensión de sistemas de cauces naturales o artificiales [2], adicionalmente, es un software capaz de hacer lectura de la información geométrica del río proveniente de un SIG y utilizarla en el proceso de modelación o análisis. Históricamente la herramienta más usada ha sido ArcGIS, la cual puede interactuar con HEC-RAS a través de su extensión HECgeoRAS [ 3], no obstante esta última es de licencia paga, lo cual podría resultar como un factor excluyente para determinados usuarios.
En el año 2015, fue lanzada a la Web una herramienta que funciona como nodo de conexión entre software de entorno SIG de licencia libre y el software HEC-RAS denominada GISWater, que se usa como puente o unión entre ambos programas, también es de descarga libre [ 4]. De acuerdo a las características proporcionadas por el grupo creador de la herramienta, puede conectar al software SIG de acceso libre de nombre QGIS con HEC-RAS, lo cual resultaría novedoso, ya que se estaría generando una nueva línea donde pudiese llevarse a cabo un proceso de modelación hidráulica partiendo de información geográfica procesada a través del SIG, sin tener que realizar inversión monetaria alguna.
Es habitual que en un principio los usuarios al desconocer la fiabilidad de la novedosa herramienta, muestren alguna resistencia al uso de ella, los cual seguramente los conduce a la interrogante ¿cuán confiable puede ser el uso de la herramienta GISWater y el software QGIS en el pre proceso de datos para el software HEC-RAS?, pero dar respuesta a esta interrogante requiere de un proceso de investigación y validación de la misma, ya que la misma no puede responderse de forma dicotómica.
Investigadores del Departamento de Ingeniería Hidráulica y Sanitaria del Decanto de Ingeniería Civil de la Universidad Centrocciental Lisandro Alvarado (UCLA), Venezuela, se dieron a la tarea de validar el proceso que involucra ésta línea de modelación, usando solo software de acceso gratuito, es decir, QGIS, GISWater, HECRAS, y al obtener los resultados, se compararon con la línea tradicional o de mayor confianza en el entorno de los modeladores hidráulicos, tales como ArcGIS, HECgeoRAS, HECRAS. Para ello los investigadores, tomaron como referencia un caso de estudio, la Quebrada Borure ubicada en el Municipio Iribarren del Estado Lara, Venezuela, de la cual se disponía de un levantamiento topográfico de 675 m aproximadamente del río en el sentido longitudinal, incluida una estructura hidráulica (puente) ubicado en la troncal 7 (Lara ? Zulia). Se realizaron las respectivas modelaciones evaluándose la discrepancia existente entre ambas corridas, obteniendo así, una diferencia numérica entre las variables hidráulicas elegidas, a modo tal de validar o no, la nueva línea de modelación.
2. METODOLOGÍA
2.1. Recopilación de la Información Topográfica e Hidrológica
Para comenzar el proceso de investigación, fue necesario contar con el estudio topográfico e hidrológico de la zona en estudio, la cual comprendió un tramo de quebrada ubicada en el municipio Iribarren del Estado Lara en Venezuela, que tiene por nombre ?Borure?, su selección como caso de estudio fue con el propósito de validar la herramienta GISWater en función de su interacción con QGIS y HECRAS. En relación al estudio topográfico, se disponía del levantamiento topográfico de aproximadamente 675 m de la quebrada en formato CAD, el cual fue tomado de [ 5], ahora bien, lo recomendable es que la información base para la conformación del modelo digital de elevación sea a través de puntos, tal y como se midieron en campo, y no mediante una sucesión de líneas o curvas de nivel, esto para evitar errores en el proceso de interpolación por parte de los programas GIS.
Considerando que la modelación hidráulica se realizó para un período de retorno de 50 años, su magnitud fue tomada del estudio hidrológico realizado en [ 5], siendo igual a 32,03 m 3/s. Para este caso en particular, hubo la presencia de un puente ubicado transversalmente al cauce de la quebrada, por lo que fue imprescindible tomar lectura de ciertas dimensiones del mismo que serían necesarias posteriormente. Posteriormente se crearon los archivos auxiliares empleados durante el desarrollo del proceso, éstos venían referidos a la creación de un contorno que permitiese la delimitación de la zona de estudio, la demarcación del cauce principal de la quebrada, los bancos y llanuras de inundación de la misma, además de las secciones transversales donde se pretendía hacer lectura del flujo. Para el uso de la herramienta ArcGIS - HECgeoRAS los archivos deben ser almacenados en formato DXF mientras que para el uso de la herramienta QGIS ? GISWater deben ser almacenados en formato Shape File.
2.2. Modelo Digital de Elevación (DEM) en los Sistemas de Información Geográfica QGIS y ArcGIS
El siguiente paso para realizar una modelación hidráulica de ríos con apoyo de herramientas SIG, es la conformación del modelo digital de elevación. La respuesta hidráulica depende en gran medida de la calidad de éste, por ello es de suma importancia contar con una adecuada nube de puntos proveniente del levantamiento topográfico, escogiendo adecuadamente el método de interpolación a emplear. En relación a QGIS, dispone únicamente de dos métodos de interpolación, el método red irregular de triángulos, mejor conocido como TIN, y el de inversa de la distancia ponderada (IDW); mientras que ArcGIS presenta además de estos dos, una gama más extensa de métodos de interpolación, por ello sólo fueron seleccionados los mencionados para la posterior evaluación.
El método TIN consiste en la construcción de una de red de triángulos que abarque toda la superficie. Cada uno está construido por vértices que corresponden a puntos con alturas conocidas dispuestos relativamente cerca. Con la red dispuesta, es posible calcular los puntos de altura estimada a partir de la ecuación 1 del plano que subtiende cada triángulo:
(1)Es una ecuación paramétrica cuyos valores de A, B y C, se determinan a partir de los valores conocidos x, y, z, de los vértices del triángulo que forma el plano, con ello, para cualquier punto que incida dentro del plano calculado, se puede derivar su altura z a partir de su posición x, y [ 6]. Para el método IDW, la estimación del valor de Z para un punto de altura desconocida, se calcula a través de la determinación estadística de la media ponderada de las alturas de los puntos circundantes (ver ecuación 2), cuyos pesos para la ponderación se obtienen a raíz del inverso de las distancias entre cada punto conocido en relación al punto desconocido (ver ecuación 3) [ 6].
(2)
(3)
Zi Valor estimado de altura en el punto i, media ponderada de alturas conocidas de puntos
Zj Valores conocidos de alturas en todos los puntos j
WijPesos de ponderación, distancia inversa entre el punto i respecto a los demás puntos j
DijDistancia entre el punto iy los demás puntos j de altura conocida
p Factor exponencial que oscila entre el valor de 1 en adelante
Mientras el valor del exponencial crece, la influencia de la altura de los puntos más alejados se reduce considerablemente, dando prevalencia a las alturas conocidas más cercanas al punto en el cual se realiza el cálculo.
El procedimiento para generar el DEM en QGISse detalla a continuación:
A partir de la nube de puntos proveniente del levantamiento topográfico en formato Shape File, se abrió la ventana de complemento de interpolación de QGIS asignándose el tamaño de la celda de interpolación (0,10x0,10) m, y el atributo que se deseaba interpolar, para éste caso en particular se seleccionó ELEVACION, a lo cual fue necesario hacer la verificación de la correspondencia del campo TIPO junto con la opción PUNTOS. En caso tal de optar por la elección del método IDW como método predictivo de los valores de interpolación, se debe invocar la misma ventana usada para el TIN, pero esta vez con la salvedad de definir adicionalmente otro parámetro, el factor exponencial ?p?, que como se indicó anteriormente definirá la influencia de los valores predichos respecto a los valores cercanos ya conocidos.
En este punto, es relevante destacar que QGIS muestra los DEM de forma rásterizada, ya que agrupa la información en celdas, es decir, aunque el método de interpolación sea una red de triángulos, como el primer caso, internamente, luego transforma el DEMen un archivo tipo ráster, basándose en un conjunto de pixeles con atributos de elevación determinados. En el mismo orden de ideas, para la creación del modelo digital de elevación en el software ArcGIS, describe una secuencia similar a la de QGIS, sin embargo, este software incorpora otros métodos de interpolación adicionales al TINe IDW. No obstante, aquí se limitó al uso de los dos antes mencionados, además que los DEM proporcionados por este software no vienen presentados bajo imágenes rásterizadas, por lo que es necesario hacer la transformación, esto debido a que se pretenden igualar las condiciones con QGIS.
Para la creación del DEM en ArcGIS usando el método TIN, se debió contar con las curvas de nivel en formato CAD, las cuales serían transformadas a ráster posteriormente, siguiendo la ruta ArcToolBox / Coversion Tools / To Ráster / Polyline to Ráster, se pudieron definir los archivos salida del DEM, los cuales hace alusión a la ruta de almacenamiento del mismo y del tamaño de la celda de interpolación. Seguidamente se transformó el archivo creado a formato de puntos, lo cual fue posible al tomar la ruta ArcToolBox / Coversion Tools / From Ráster to Point. Una vez teniendo el archivo en formato de puntos y tipo rásterizado, se procedió a la creación del DEM a través de 3D Analyst Tools / Data Management / TIN / Create TIN. Finalmente se contaba con el DEM bajo las condiciones requeridas.
Luego se realizó la transformación a formato Raster para igualar las condiciones respecto a QGIScomo se indicó en el párrafo anterior. Para la creación del DEM usando el método de interpolación IDW, a diferencia del TIN, se marca la ruta de ArcToolBox / 3D Analyst Tools / 3D Interpolation / IDW. En la Figura 1 se muestra los DEM obtenidos por el método TIN.

2.3. Preparación del Archivo de Datos Geométricos de HEC-RAS a través de ArcGIS-HECgeoRAS y QGIS-GISWater
En el caso de ArcGIS, una vez creado el DEM se hizo uso de la extensión HECgeoRAS para crear los atributos del rio, los cuales venían dados a partir de la superposición de los archivos auxiliares, es decir, la creación de la línea del cauce, bancos, llanuras de inundación y secciones transversales fueros digitalizadas empleando como fondo estos archivos. Durante este mismo paso también se asignó el coeficiente de rugosidad de Manning referente al terreno de la zona en estudio. Posteriormente se hizo la exportación de los datos geométricos del río al modelador HECRAS, el formato venía dado bajo la extensión .sdf.
Por su parte, QGIS no cuenta con una herramienta integrada como la posee ArcGIS para cargar los atributos del río, y en este punto es que resulta necesario el uso de herramienta GISWater, para la interacción de QGIS y HECRAS. Debido a que GISWater funciona fuera de la interfaz de QGIS, se hizo la invocación para dar inicio al programa. Una vez abierta la herramienta, en la interfaz principal de la misma, se debieron establecer ciertos parámetros requeridos, tal es el caso de la elección del programa con el que se deseaba conectar GISWater, para este estudio se hizo la selección de HECRAS ya que el programa perteneciente a la línea de validación, además de la elección de la base de datos con la que se pretendía trabajar. Database, para conectar la base de datos de PostgreSQL con PostGIS 2.0 o alguna superior.
A continuación, sobre la misma interfaz principal, pero en el apartado de Project Data Management (Gestión de Datos del Proyecto), se definió la identificación del nuevo proyecto al ser redirigidos al Create Project, donde la identificación hacía referencia al nombre del proyecto, fecha de creado, autores y sistema de coordenadas a utilizar. Posteriormente se incluyó la ruta donde se encontraba almacenado el DEM creado en QGIS, para lo cual es importante indicar que GISWater es compatible con diferentes formatos de DEM, tales como geoTIF,img, asc, txt.
En la ventana de la interfaz principal se definió la creación de un nuevo proyecto SIG, lo cual es notorio en Create Gis Project, allí se especificó datos como el nombre del proyecto GIS, ruta de almacenamiento. Al culminar esta etapa con éxito, automáticamente la herramienta GISWater crea el nuevo proyecto, donde es abierto de forma inminente el software QGIS, evidenciándose la creación de las capas o atributos del rio, entre ellos la capa de bancos, llanuras de inundación, secciones transversales y cauce principal de rio. Luego deben cargarse los archivos auxiliares que servirán de fondo para digitalizar los atributos antes mencionados.
Una vez digitalizadas todas las capas, debió generarse un archivo dentro de QGIS que el programa HECRAS reconociese, para ello se tuvo que hacer uso nuevamente de la herramienta GISWater, esto con la finalidad de invocar la ruta de almacenamiento del archivo en formato SDF (Archivo de datos estándar) creado en QGIS que sería leído por HECRAS para la modelación hidráulica, esto se debe a que GISWater puede dictar ciertas órdenes para que QGIS las ejecute, tal es el caso de esta última.
2.4. Modelación Hidráulica de la Quebrada Borure
El software hidráulico usado para la modelación hidráulica de ambos archivos fue HEC-RAS en su versión 5.0.3 y la entrada de datos en HEC-RAS se realizó mediante una interfaz gráfica que contempla la creación de archivos donde debe seleccionarse el sistema de unidades, los datos de geometría, que en este caso son importados ya que fueron creados fuera del software, los datos del tipo de flujo y las condiciones de borde del modelo. En el aspecto geométrico se incluyó el puente perteneciente al caso de estudio. Adicionalmente se asignó el valor de la rugosidad de Manning para el archivo generado mediante QGIS-GISWater ya que aún no se puede asignar este valor directamente desde la interacción QGIS-GISWater, así como lo hace ArcGIS ? HECgeoRAS.
Ejecutados los cambios necesarios en la geometría del río, se creó el archivo que contendría el flujo, caudal pico para Tr=50 años, y las condiciones de borde que se asumieron como flujo uniforme tanto para aguas arriba como para abajo. Al contar con los archivos necesarios para la modelación, se realizó la ejecución del mismo.
3. ANÁLISIS DE RESULTADOS
3.1. Selección del Método de Interpolación para los Modelos de Elevación Digital
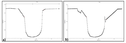
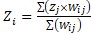
Para la selección del modelo digital del terreno se tuvo que elegir el método de interpolación que más se ajustara a la configuración del mismo, ya que para ambos programas GIS se crearon dos modelos digitales, uno de ellos usando el método de interpolación IDW, y otro bajo el método TIN. Para ello, se hizo una evaluación de carácter visual, que consistió en comparar secciones típicas y determinar cuál de ellos mostraba un resultado más acorde al terreno (ver Figura 2)
Como se observa en la Figura 3b, en el método IDW las secciones típicas generadas por el software QGIS se evidenciaron marcadas irregularidades que no iban acorde a la configuración real de la superficie, ya que mostraron ciertos saltos de inclusive 2,00m de diferencia en una zona donde la pendiente transversal no posee sinuosidad pronunciada. El mismo método empleado en el software ArcGIS mostró resultados más cercanos a la superficie real del terreno. En tanto, para el método TIN, en ambos sistemas de información geográfica, QGIS y ArcGIS, se obtuvieron resultados consistentes con el terreno. Por esta razón, el método IDW fue descartado y el análisis que a continuación se presenta parte de los modelos digitales de elevación obtenidos por el método TIN.


3.2. Análisis de la Variable ?Elevación del fondo del canal?
Tomando en cuenta que la geometría es la principal característica de un DEM, se hizo un estudio de este atributo contenido en el mismo, el cual comprendió la comparación gráfica del perfil longitudinal del eje de río y secciones transversales de la quebrada obtenidas por cada SIG, como se evidencia en las Figuras 4 y 5.
Se evidencia la similitud obtenida tanto el perfil longitudinal como en la sección transversal que se muestra en la Figura 5. Sin embargo, para poder comparar numéricamente la variabilidad presentada en los resultados provenientes de ambos programas GIS en conjunto con sus respectivos nodos de conexión en el procesamiento de data geométrica, se realizó un gráfico donde en el eje de las abscisas se representa la cota de fondo de cada sección transversal creada y exportada a Hec-RAS a través de QGIS-GISWater. En el eje de las ordenadas se representa la misma variable, pero obtenida a través de ArcGIS-HECgeoRAS, luego se utilizó el parámetro estadístico denominado coeficiente de correlación, también conocido como R2, el cual tiene la particularidad que, al acercarse a la unidad, es decir valores iguales a 1, infieren que los datos están cada vez más relacionados entre sí.


En tal sentido, para la variable Elevación del fondo del canalse observa en la Figura 6, una alta correlación, muy cercana a la unidad, lo que indica que ambos resultados se encuentran muy cercanos uno respecto al otro, lo que se traduce en la confiabilidad del perfil longitudinal que se crea en cualquiera de los programas utilizados.

3.3. Análisis de los Resultados Generados de HEC-RAS
El primer componente que se evaluó fue el geométrico, vinculado a la entrada de datos al modelo hidráulico Hec-RAS, a continuación, se analizaron las variables hidráulicas más representativas, como lo son el tirante, la velocidad promedio, y el número de Froude. Estos últimos asociados a los resultados obtenidos por el software, a partir de la configuración geométrica creada en cada uno de los SIG. Para realizar la comparación se siguió el mismo procedimiento descrito para la variable Elevación del fondo del canal.
Tirante: En la Figura 7 se presenta el perfil de la superficie del agua. Como se puede observar en la gráfica, los perfiles resultaron muy similares, pues los mismos dependen en gran medida de la información geométrica de entrada, y al haber obtenido una correlación alta en este aspecto, indicado en el ítem anterior era de esperarse este resultado.

La afirmación del párrafo anterior se verifica numéricamente, al cruzar la variable Tirante y calcular el coeficiente de correlación. En tal sentido, se puede aceptar la correlación existente entre los resultados mostrados por ambas corridas, ya que el valor de 0,95 está por encima de 0,8, por lo que se considera muy alta, lo que pudo evidenciarse en la Figura 8.

La variable Tirante es fundamental en un estudio de análisis hidráulico, y en busca de una validación con resultados lo más próximo uno al otro, este valor favorece a dictaminar la aprobación de la herramienta en estudio.
Velocidad promedio: en cuanto a éste parámetro, los valores continúan manteniendo una fuerte correlación, dichos resultados pudieron observarse a partir de la Figura 9. Sin embargo, el coeficiente de correlación disminuyó de 0,95 a 0,93, en comparación con el valor obtenido para el Tirante, y de manera visual se observa una mayor dispersión de los puntos en el lado derecho de la gráfica, traduciéndose en que la variable velocidad es más sensible a las variaciones geométricas que implica usar distintos SIG para la creación del modelo digital de elevación, y en general el archivo de datos geométricos, pero no son significantes.
Al igual que el Tirante, la Velocidad promedio está asociada directamente a la configuración de la sección transversal, en secciones más anchas, el tirante tiende a disminuir y por ende la velocidad aumenta, como cada sección transversal es propia de cada DEM, al realizar la simulación de un mismo caudal haciendo uso de ambos modelos de elevación, se presentan pequeñas discrepancias, y por ello no se alcanza la unidad en el coeficiente de correlación.

A manera de comparación se realizó una tabla de velocidades máximas y mínimas para ambos archivos generados a partir de los programa GIS (ver Tabla 1), en los cuales se puede observar claramente, su similitud.
| Tr: 50 años | ||
| Programa GIS | Velocidad Máxima (m/s) | Velocidad Máxima (m/s) |
| ArcGIS-HECgeoRAS | 5,15 | 0,50 |
| QGIS-GISWater | 4,98 | 0,52 |
Número de Froude: La correlación para esta variable se asemeja a la presentada en la de Velocidad promedio, esto porque el Número de Froude es directamente proporcional a la velocidad. En el mismo orden y como fue citado en el apartado anterior, valores de correlación por encima de 0,80 indican una alta correlación, valores reflejados en la Figura 10.

En relación a la visualización de resultados, ArcGISbajo la extensión HECgeoRAS, cuenta con una gran ventaja frente a QGIS-GISWater ya que el nodo de conexión de ArcGISse comporta de manera bidireccional, es decir, es posible exportar los resultados al SIGpara generar resultados tipo manchas de inundación, mientras que GISWateres solo omnidireccional para el caso de análisis hidráulico bajo el software HEC-RAS, por lo que no se pudo realizar una comparación de resultados en este aspecto.
4. CONCLUSIONES
Se evidenció que para ambos modelos SIGel método TIN de interpolación de superficies, fue el que mejor se ajustó a la realidad de la geometría del cauce. El método IDWen QGIS presentó irregularidades en las secciones transversales.
Para el caso del método TIN, QGISinternamente convierte el modelo digital de elevación en formato ráster, mientras que en ArcGIS se puede trabajar sobre el formato TIN, o convertirlo en formato ráster de forma manual.
La ruta metodológica para crear los modelos digitales en QGIS es más corta y práctica de aplicar que la ruta de ArcGIS, es decir, se necesita invocar una cantidad mayor de comandos para llegar al resultado final, sin embargo, la velocidad de creación y ejecución de los modelos digitales en ArcGIS es más rápida que la de QGIS.
QGIS-GISWater procesa los datos a HEC-RAS sin necesidad de ejecutar una ruta para la extracción de atributos, ya que los cambios que se producen en la interfaz de QGIS van siendo registrados en la base de datos de GISWater, esto una vez identificados como campos propios de formato .sdf para HEC-RAS, esto es gracias a una nube de almacenamiento instantáneo, que permite guardar los cambios tan rápido se haga un modificación en el archivo en cuestión, por lo tanto al final de crear el archivo que HEC-RAS usará para la modelación, este ya estará actualizado en GISWater sin tener que realizar alguna exportación adicional. A diferencia de HECgeoRAS que lo hace solo si el usuario lo ejecuta mediante comandos.
Las altas correlaciones de los resultados obtenidos mediante la implementación de ambos SIG estadísticamente validan el trabajo en conjunto del nodo de conexión GISWater y el software QGIS, lo que trae como conclusión que esta herramienta de licencia libre puede ser usada con confianza al igual que HECGeoRAS en Arc-GIS, teniendo la limitante ésta última de ser licencia comercial.
En el software QGIS, se recomienda no mantener seleccionada la capa del modelo digital de elevación, esto con el propósito de no hacer ediciones o modificaciones espontaneas en el MDT creado por GISWater en QGIS ya que esto causa actualizaciones y registros de la base de datos en tiempos muy cortos produciendo volcamiento del ejecutador de QGISlo que produce salidas inesperadas y la pérdida repentina del trabajo realizado.
Las herramientas SIG indiscutiblemente son fuentes importantes para la creación de estos tipos de proyectos, permitiendo la facilidad de manejar gran número de datos georreferenciados y a su vez graficar resultados para su fácil interpretación.
Se recomienda a los creadores de la herramienta GISWater incorporar la opción que permita hacer de ella una herramienta bidireccional, es decir, que permita exportar resultados de HEC-RAS a QGIS.
5. REFERENCIAS
J. Domínguez Bravo, «Breve introducción a la cartografía y a los Sistemas de Información Geográfica (SIG)», Centro de Investigaciones Energéticas, Medioambientales y Tecnológicas, Ciudad Universitaria, Madrid, España, 2000
US Army Corps of Engineers, «HEC-RAS User´s Manual», Version 4.1. US Army Corps of Engineers, Davis, 2010
C. T. Ackerman, «HEC-GeoRAS; GIS Tools for support of HEC-RAS using ArcGIS», United States Army Corps of Engineers, Davis, 2005
Compañía de aguas de Cataluña, «Manual de usuario GISWATER 3», España, 2018
A. Kossowski e I. Rupcich, «Evaluación desde el punto de vista hidráulico del puente sobre la quebrada Borure, Municipio Iribarren, Edo Lara, mediante la aplicación de los programas Hec-ras y Hec-georas», Tesis de Pregrado, Decanato de Ingeniería Civil, Universidad Centroccidental Lisandro Alvarado, Venezuela, 2013
J. Duque Matínez, «Comparación estadística de métodos interpolación determinísticos y estocásticos para la generación de modelos digitales del terreno a partir de datos LIDAR, en la parroquia de Tumbabiro, cantón San Miguel de Urcuquí, provincia de Imbabura»,Tesis de Licenciatura, Quito: USFQ, 2015
Notas de autor
Artículo relacionado
[Artículo corregido , vol. 20, 79-93] https://revistas.ucla.edu.ve/index.php/gt/article/view/2082