Artículo de Divulgación
Origen de la cuña de Prandtl – mecanismo de falla usado para cimentaciones superficiales
ORIGIN OF PRANDTL'S WEDGE – FAILURE MECHANICS USED FOR SHALLOW FOUNDATIONS
Origen de la cuña de Prandtl – mecanismo de falla usado para cimentaciones superficiales
Gaceta Técnica, vol. 23, núm. 2, pp. 107-120, 2022
Universidad Centroccidental Lisandro Alvarado

Recepción: 06/06/2022
Aprobación: 07/07/2022
Abstract:
La gran mayoría de los estudios sobre análisis de la capacidad de soporte de cimentaciones, tienen como base el trabajo de 1920 del profesor Ludwig Prandtl titulado “Über die härte plastischer körper” (Sobre la dureza de los cuerpos plásticos). Sin embargo, no es común encontrar referencias que presenten las diferentes consideraciones que hay detrás de la propuesta original. Como, por ejemplo, que el método exhibido es de origen teórico, sin validación empírica, no siendo formulado ni para suelos, ni para cimentaciones, ya que tenía como objetivo evaluar la dureza de un material sólido, mediante la determinación del esfuerzo que produce su plastificación total. Considerando lo anterior, se presenta una versión rigurosa del artículo original completo de Prandtl de 1920, adaptado del alemán al español, con lo cual se espera contribuir en el conocimiento sobre los principios, consideraciones y límites de validez, de la ampliamente conocida Cuña de Prandtl, la cual representa uno de los pilares de los métodos para el diseño geotécnico de cimentaciones superficiales. Several studies on the analysis of the bearing capacity of foundations have been based on the 1920 work of Professor Ludwig Prandtl entitled “Über die härte plastischer körper” (On the hardness of plastic bodies). However, it is not common to find references that present the different considerations behind original proposal. For example, that the proposed method is of theoretical origin, without empirical validation, and that it was not formulated for soils or foundations, since its objective was to evaluate the hardness of a solid material, by determining the stress that produces its total plastification. Considering the above, a rigorous version of the complete original article by Prandtl from 1920 is presented, adapted from German to Spanish. With that, it is expected to contribute to the knowledge about the principles and limits of validity, of the widely known Prandtl-Wedge, which represents one of the pillars of the methods for the geotechnical design of shallow foundations.
Keywords: Ludwig Prandtl, Prandtl wedge, Über die härte plastischer körper, On the hardness of plastic bodies.
Palabras clave: Ludwig Prandtl, Cuña de Prandtl, Über die härte plastischer körper, dureza de los cuerpos plásticos
1. INTRODUCCIÓN
En el año 1920, el ingeniero mecánico alemán Ludwig Prandtl ,con el objetivo de evaluar la dureza de un material sólido, mediante la determinación del esfuerzo que produce su plastificación total, analizó teóricamente su respuesta ante la solicitación impuesta por un material rígido [1]. A partir de ello, propuso un mecanismo de falla, conocido como Cuña de Prandtl. Después de más de un siglo de su formulación, sus principios siguen siendo usados para el análisis geotécnico de cimentaciones superficiales. Sin embargo, el enfoque y origen de su solución, no tenía un objetivo práctico para la ingeniería geotécnica, ni mucho menos, para el análisis de cimentaciones, por lo que las consideraciones tomadas para la solución del problema analizado distan mucho de los requerimientos ingenieriles, como, por ejemplo, la consideración de un material con propiedades friccionantes y cohesivas, pero sin peso propio. Debido a lo anterior, tampoco se presentó una validación del método con mediciones experimentales.
Es claro, que, incluso habiendo tenido otras motivaciones, se le pudieran dar al trabajo de Prandtl posteriores aplicaciones a la ingeniería de cimentaciones, lo cual realizó Terzaghi, para la formulación de la conocida expresión polinómica de capacidad de soporte [2]. No obstante, no es común encontrar referencias que presenten las consideraciones que hay detrás de la propuesta original de Prandtl, llevando en algunos casos a consideraciones fuera de lo planteado por el autor.
A partir de lo anterior, se presenta una versión rigurosa del artículo original de Prandtl de 1920, adaptado del alemán al español, el cual se considera de gran utilidad práctica para analizar, desde la fuente, los principios, consideraciones y límites de validez, de la ampliamente conocida Cuña de Prandtl.
En el presente trabajo, se respetó la estructura original del artículo de Prandtl, incluyendo la ausencia de títulos para figuras y tablas, debidamente reeditadas, y la nomenclatura y numeración de las ecuaciones. Asimismo, si bien el documento original contenía varias citas de trabajos de la época, las referencias bibliográficas no se presentaban en el documento, por lo que en el presente trabajo han sido debidamente incluidas para todos los autores citados. Finalmente, en aras de beneficiar la comprensión, fue necesario ajustar algunas de las oraciones originales, donde su estructura dificultaba notablemente la interpretación de la idea.
2. ÜBER DIE HÄRTE PLASTISCHER KÖRPER (SOBRE LA DUREZA DE LOS CUERPOS PLÁSTICOS), PRANDTL 1920
2.1. Se debe a Heinrich Hertz [3], la Teoría del Contacto de los Cuerpos Elásticos, donde se deduce una magnitud de la dureza correspondiente al esfuerzo de compresión, aplicado en el centro de la superficie de contacto, que excede el límite elástico. Debido a la imposibilidad de establecer este esfuerzo límite en cuerpos no frágiles, se convino para la medición práctica de la dureza, provocar un hundimiento permanente en el material a estudiar, y adoptar como magnitud de la dureza, el esfuerzo de compresión medio aplicado en la superficie de contacto. Para ello, por ejemplo, en un ensayo Brinell, se presiona una bola de acero templado sobre el material en análisis. Hasta el momento, no se conoce una teoría del estado tensional asociada con la deformación permanente. A continuación, se busca demostrar que es posible tal teoría para un problema bidimensional bajo ciertas premisas simplificadoras.
Se busca ampliar el concepto de cuerpo plástico, más allá de como se lo comprende generalmente según el método de St. Venant [4] y Lévy [5]. Conforme al enfoque de ambos, en aquellas regiones de un cuerpo donde se ha excedido el límite elástico, el mayor esfuerzo cortante debe tener un valor constante C, es decir, la diferencia entre el esfuerzo principal mayor y menor debe ser constante e igual a 2C. Haar y Kármán [6] diferencian además el estado semi-plástico y el perfectamente plástico, dependiendo de la magnitud del esfuerzo principal intermedio, o de si coincide con uno de los otros dos esfuerzos principales.
Se requiere formular una condición general para el estado plástico, el cual se puede caracterizar mediante una determinada relación entre el esfuerzo principal mayor y menor, la que de manera simplificada se asume como lineal, pero que también puede ser de tipo no lineal. En esta hipótesis, formulada por Mohr [7-9], con una apariencia algo diferente, el “cuerpo plástico ideal” de de Saint-Venant [3] está incluido como un caso especial. Sin embargo, la formulación también comprende aquellos casos en que el esfuerzo cortante límite es incrementado por la presión ejercida en toda dirección. El caso límite, donde el esfuerzo de corte es igual a cero, sin ningún tipo de esfuerzo a los lados, conduce a la tradicional Teoría de la Presión Lateral de suelo para el caso lineal.
Por lo tanto, se asume que siempre que la diferencia entre el esfuerzo principal mayor y menor sea menor que el valor deducido de la relación antes mencionada (2C), se mantiene un comportamiento elástico. Por el contrario, siempre que se supere el límite elástico, independiente de la magnitud de la deformación, se cumple la relación antes indicada entre los esfuerzos principales externos. Para ello, los ejes principales del elipsoide de incremento de deformación deben coincidir en la dirección con aquéllos del elipsoide de esfuerzos, y los signos de las diferencias de cada una de las deformaciones principales, deben ser iguales a los generados de las diferencias de los respectivos esfuerzos. Debido a las premisas del problema bidimensional, las deformaciones en la dirección perpendicular al plano son iguales a cero, de lo que se desprende inmediatamente que se genera el estado semi-plástico, en el cual el esfuerzo principal medio es perpendicular al plano de análisis del problema.
Dado que las deformaciones elásticas de los elementos compactos que componen los materiales de construcción habituales son muy pequeñas, y que las deformaciones plásticas las superan con creces en muchos casos, es posible, como una primera aproximación, simplificar el análisis ignorando las trayectorias de deformación elástica. Asimismo, se tratará en adelante también la región plástica como incompresible, y los desplazamientos son considerados como menores. En consecuencia, se debe resolver el problema de encontrar la frontera que delimita la zona plástica del resto del cuerpo, de forma que la zona delimitada permanezca rígida, mientras que, al mismo tiempo en los límites restantes, se cumplan las condiciones especificadas en cada caso. Con el supuesto de la delimitación rígida se facilita en forma considerable el análisis.
Después de evaluar lo observado por Mohr [7-9] donde se cumple con lo antes indicado, debido al estado tensional en un cuerpo, se produce un deslizamiento a lo largo de dos conjuntos de superficies que están inclinadas en un ángulo a, respecto a la dirección del mayor esfuerzo de compresión (siendo el menor correspondiente al esfuerzo de tracción) y que contienen en sí la dirección del esfuerzo principal medio. En el caso de una relación lineal, el ángulo a es una constante del material. A partir de una reflexión simple, se define que límite rígido antes indicado, debe ser una superficie de deslizamiento.
2.2. Ahora se busca un mecanismo de deslizamiento, en el cual una región AB de la superficie libre plana (Figura 1) es sometida a presión desde el exterior hacia el interior. Las regiones adyacentes a la izquierda y a la derecha de esta emergerán entonces desde la superficie. Una revisión más detallada muestra que se ha encontrado esta solución mediante la división en las zonas presentadas en la Figura 1, donde en el triángulo ABC, domina un estado tensional uniforme, y la presión mayor se produce en dirección vertical, con una contrapresión horizontal de magnitud algo inferior. Igualmente, un estado tensional uniforme domina también en los triángulos ADF y BEG, donde la presión vertical es igual a cero, mientras que la horizontal es igual a la resistencia ordinaria a la compresión. Entre los primeros triángulos y los dos últimos se encuentran los sectores ACD y BCE.

Si se puede demostrar que un estado tensional homogéneo presente en cada segmento radial, iniciando desde A o B en Figura 1, conduce a un equilibrio compatible con la condición del estado plástico, entonces es posible unir las zonas ACD y BCE con una transición continua de los esfuerzos, hacia a los triángulos ADF y BEG y, con ello, satisfacer completamente las condiciones del problema, como lo demostrará los cálculos que se presentan más adelante. Al mismo tiempo, resulta que, en ambas zonas, los radios son líneas de deslizamiento, de lo que se deduce inmediatamente que las curvas CD y CE que representan el siguiente sistema de líneas de deslizamiento, son espirales logarítmicas, donde la primera se intersecta con un ángulo 2a. Según la experiencia, se encontrará que el esfuerzo en el área de compresión es significativamente mayor que la resistencia a la compresión.
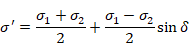
2.3. Para en el caso lineal, la relación entre el esfuerzo principal mayor, s1, esfuerzo de compresión, y menor, s2, se puede expresar de la forma de la Eq. 1, donde el lado izquierdo representa el mayor esfuerzo cortante:
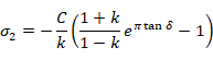
(1)Conforme a lo propuesto por Mohr, si se consideran como ordenadas los esfuerzos cortantes,t, que actúan sobre las superficies de corte trazadas en las diferentes orientaciones, y como abscisas los correspondientes esfuerzos normales, s, entonces todos los estados tensionales están representados con puntos de una región delimitada exteriormente por un círculo de diámetro s1 - s2 y centro en el eje s. La Ec. (1), muestra como una recta, la envolvente del círculo de estados de esfuerzos, con segmento desde el origen, e intercepto en s igual a C/k, como se muestra en la Figura 2. Para el caso general donde una relación no lineal sea considerada, en lugar de la Ec. (1), la envolvente sería representada por una curva.

Las superficies de corte, cuyos estados de esfuerzo en condición límite son representados por puntos, contienen la dirección del esfuerzo principal medio. De acuerdo con Mohr, el punto de contacto entre el círculo y la envolvente está relacionado a las superficies de deslizamiento [6-8]. La perpendicular desde el punto
sobre la envolvente, entrega el doble del ángulo de la superficie de deslizamiento a, pues en general los radios del círculo de Mohr encierran el doble del ángulo con el eje a, tal como ocurre con la respectiva intersección con el eje s2. Conforme a la Figura 2, en el caso lineal, se tiene que:
(2)De acuerdo con la Figura 2, los componentes de esfuerzo sobre la superficie de deslizamiento serán:
(3a)
(3b)Si no se tienen directamente los esfuerzos principales s1 y s2, sino un estado tensional general plano, entonces se aplica:
(4)A partir de ecuaciones 1 y 4, ahora se obtiene la siguiente:
(5)Si se introduce a través de las relaciones , una función
de esfuerzos F, función de esfuerzo Airy, entonces resulta de la Ec. 5 una ecuación diferencial de segundo orden de tipo hiperbólico, dado que siempre k< 1. Por este hecho, se justifica matemáticamente la posibilidad de llegar a la solución a partir de componentes individuales. Las características de la ecuación diferencial son las líneas de deslizamiento; por ello, cada uno de los componentes de la ecuación, están delimitados siempre por líneas de deslizamiento.
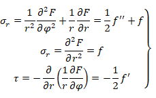
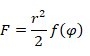
2.4. Para los sectores ACD y BCE, es necesario encontrar ahora un estado tensional que satisfaga la Ec. 5, generando en cada radio un estado límite de esfuerzos constantes, pero de diferente magnitud entre ellos, lo cual se debe cumplir para todos los radios. Si se introduce una función de esfuerzo F para comprobar el equilibrio interno, ésta debe configurarse por consiguiente en coordenadas polares como:
(6)donde los esfuerzos radiales, sr, tangenciales, st, y de corte, t, son iguales a:
(7)A partir de la Ec. 5 se obtiene para f la siguiente ecuación diferencial:
(8)Una solución de la Ec. 8 es:
(9)Un primer par de valores de B que satisfacen la Ec. 10 de cuarto grado son: B = ± 2i; cuya solución asociada,
, representa un estado tensional homogéneo clásico, que no corresponde al buscado en el presente análisis. Después de factorizar la Ec. 10, por
, resulta el siguiente par de valores de B:
(11)Para el caso especial de un cuerpo plástico ideal, k=0 y B = 0, con lo que la Ec. 9 adopta la forma indeterminada ¥-¥, y se tiene como solución:
(9a)Si para el caso general se usan las expresiones para sr, st y t definidas en las Ecs. 7, se pueden determinar los esfuerzos principales a partir de las Ecs. 4. Para el signo positivo, la Ec. 11 será:
(12)donde se debe considerar que A siempre es negativa. Para el cuerpo plástico ideal, será
Dada la concordancia de los valores de st y t con los valores calculados de s’ y t’ a partir de las Ec. 12, 3a y 3b, las superficies radiales son superficies de deslizamiento. Con ello se desprende inmediatamente, a partir de los estados tensionales dominantes en las zonas triangulares, donde los esfuerzos principales son perpendiculares y paralelos a la superficie, que los ángulos ∢FAD y ∢ACO, y los ángulos de deslizamientos simétricos a ellos, son iguales a a. De lo anterior, se deduce que los ángulos ∢CAD y ∢CBE son rectos. Si se considera ahora que en el triángulo ADF, y con ello también sobre el radio AD del sector ADC, s1 = 0, y conforme a la Ec. (1)
, resistencia a la compresión ponderada, entonces con un cálculo simple para el radio AC localizado a p/2 respecto de AD, se tiene que:
(13a)
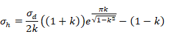
(13b)Sin embargo, estos esfuerzos dominan uniformemente en todo el triángulo ABC. Por lo tanto, la Ec. 13b indica el esfuerzo de compresión de la superficie AB, el cual corresponde a la magnitud de dureza buscada. Si se introduce en la Ec. 13b la resistencia a la compresión ordinaria,
, se determina la siguiente ecuación para la dureza plástica:
(14)Con el mismo razonamiento se obtiene, para el cuerpo plástico ideal, y las consideraciones definidas en la Ec. 9a, o también cruzando con el límite de la Ec. (14), se tiene que:
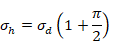
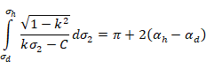
(14a)Si k es diferente a cero, como sucede en mezclas de granos duros con un aglutinante plástico, en las cuales además tiene importancia la fricción de los granos entre sí en el movimiento plástico del aglutinante, a mayor k se genera un aumento considerable de la relación sh/sd (ver Tabla 1).
| d | a | k | sh /sd | 1 | m | n1/S |
| 0° 10° 20° 30° 40° | 45° 40° 35° 30° 25° | 0 0,1736 0,3420 0,5000 0,6428 | 2,571 3,499 5,194 8,701 17,558 | 2,000 3,144 5,059 8,579 16,924 | 0,6923 0,7695 0,8387 0,8966 0,9413 | 0,4445 0,2995 0,1923 0,1153 0,0624 |
Ahora, siempre es posible representar una determinada ley de plasticidad k como función de s2, de forma que el ángulo del sector, que ahora es igual a
elevado al cuadrado (a h ángulo de deslizamiento para el esfuerzo de plastificación o endurecimiento; ad ángulo de deslizamiento para la resistencia a la compresión). En lugar de la Ec. 14, se tiene la siguiente relación:
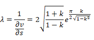
(14b)2.5. Quedan por aclarar aún los movimientos del cuerpo plástico bajo la acción de un pistón, elemento a partir del cual se genera una presión sobre un cuerpo. Si se asume comportamiento rígido del pistón, y con su superficie como suficientemente rugosa para impedir el deslizamiento, entonces las partes de la superficie del cuerpo plástico en contacto el pistón a medida que éste penetra más profundamente se seguirá moviendo en forma paralela y uniforme hacia abajo, lo que tiene como consecuencia que el área ABC en la Figura 1 se mueva como un cuerpo rígido. Un movimiento infinitesimal de este tipo ocasiona, como lo muestra una observación más detallada, desplazamientos en la dirección tangente en las espirales logarítmicas, siendo dichos desplazamientos constantes en cada uno de los radios debido a la estabilidad del volumen, e inversamente proporcionales a lo largo del radio.
De esta forma, los triángulos exteriores son desplazados como cuerpos rígidos a lo largo de las líneas DF y EG. La componente perpendicular a la superficie de desplazamiento, dn, se comporta inversamente como Importar imagen a Importar imagen , debido a la continuidad con el desplazamiento del pistón ds. Dado que Importar imagen : Importar imagen , Importar imagen : Importar imagen y Importar imagen : Importar imagen , espiral logarítmica con un ángulo de inclinación Importar imagen , (ver Figura 2), queda entonces:
(15)(nota: en Ec. 2,
).
Para movimientos finitos se debe considerar que, mientras sigue penetrando el pistón, aumenta constantemente la extensión AB de la franja comprimida, y con ello se desplazan continuamente los límites mostrados en la Figura 1. En ello, el material que previamente ha emergido ofrece mayor resistencia a la penetración, de forma que la extensión AB es incluso mayor en una determinada trayectoria s de lo que resultaría del análisis geométrico elemental. La configuración del desplazamiento de la superficie, que tiene lugar por una trayectoria del pistón s, con un radio de curvatura r, se puede calcular como sigue.
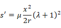
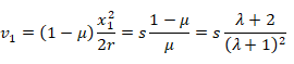
Dado que todas las trayectorias de deformación se consideran pequeñas en comparación con el radio r, y también se producen pequeñas inclinaciones respecto a la superficie original, es posible ignorar los efectos de los desplazamientos tangenciales, u, sobre la estructura de la superficie, en comparación con los desplazamientos, n perpendiculares a la superficie, por lo que solo se calcula n. La ecuación de la superficie del pistón sería y = x2 /2r, y considerando s igual a la trayectoria del pistón, resulta para el desplazamiento de la superficie del cuerpo plástico dentro del segmento Importar imagen (ver Figura 3) que:
(16)Si se describe con x1 el largo actual del segmento Importar imagen , entonces Importar imagen = l x1 siendo:
(17)Entonces, para x > (l+1) x1 : n = 0. En consecuencia, para x1 < x < (l+1) x1, considerando la Ec. 15, debe aplicarse que:
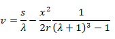
(18)Siendo s’ el desplazamiento del pistón, en el cual la elevación inicia en el punto x, por lo que la superficie de presión tiene un radio x’ = x / l+1. De la ecuación 16, resulta para el correspondiente desplazamiento n1 a x = x1 (ver Figura 3) destacándose la Ec. 19:

(19)Suponiendo que la relación numérica entre s y n1 es invariable y se aplica que:
(20)al igual que:
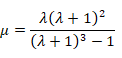
(21)Las Ecs. 19 a 20, aplicadas a x = x1, y las Ecs. 18 y 21, bastarán sólo para establecer una relación entre m y l después de eliminar s, s’ y Importar imagen , con lo que se comprueba el supuesto propuesto en la Ec. 20, donde:
(22)y con ello, empleando las Ecs. 18 y 21:
(23)para x1 < x < (l+1) x1, siendo x1 =Ö 2 r s/m conforme a Ec. 20.
Como una primera aproximación, el desplazamiento de la superficie libre proporciona una imagen afín de la forma de la huella del pistón, con una abscisa aumentada en proporción (l+1):1 y una ordenada reducida en una proporción 1:l . Esta relación parece ser válida en general para perfiles simétricos de pistón con una inclinación plana y, con excepción del punto x= 0, en ninguna parte para pendiente variable.
La mayor elevación en el borde, será en nuestro ejemplo debida a las Ecs. 19 y 20 definida como:
(24)Observación: Si el movimiento del pistón no es vertical, sino oblicuo, la elevación a ambos lados del pistón tendrá una altura desigual. Asimismo, mientras que el esfuerzo conserva invariable su dirección vertical, recién cuando la pendiente del desplazamiento excede el ángulo de deslizamiento a, y la elevación no se produce en uno de los lados, resultan direcciones oblicuas de la fuerza (véanse notas b y c).
3. NOTAS
1. Los razonamientos anteriores pueden aplicarse también directamente a la resistencia al corte con bordes inclinados con un ángulo de cuña ϑ. Bajo lo anterior, en lugar de la Figura 1, debe usarse una figura donde las líneas conectadas FABG, estarán quebradas en los puntos A y B, y donde las líneas FA y BG formen entre sí el ángulo ϑ. La resistencia al corte en un escenario con bordes inclinados se obtiene cuando en la Ec. (14) se aplica ϑ en lugar de p.
2. Si la presión de un pistón no actúa perpendicular a la superficie, y/o en un borde como el indicado la nota a, actuando de una forma inclinada, entonces el triángulo ABC (Figura 1) será igualmente inclinado, generando que la bisectriz del ángulo ABC quede en la dirección de la carga. Con ello, ambos sectores presentarían diferentes ángulos, es decir, arrojarían también diferentes esfuerzos s1 y s2 para las líneas AC y BC. Debido al equilibrio en ABC, Esto no es posible, por el contrario, el estado plástico se produce sólo en el sector con el ángulo menor y en el triángulo adyacente, mientras que en el lado de ABC no se supera el límite elástico. En este caso, la deformación ocurre de forma totalmente unilateral.
3. Si la condición del estado plástico no tiene la forma de la Ec. (1), es decir, la envolvente de la Figura 2 es curva, sigue siendo válido lo desarrollado en el punto anterior para los sectores de ángulo infinitesimal, pues el estado tensional es constante en cada radio y, en consecuencia, también la magnitud k. A parte de ello, se obtiene p.ej., derivando la Ec. 12 que: 
4. RESUMEN
Para materiales que al exceder los límites elásticos presentan un comportamiento plástico, caracterizado por una relación lineal entre el esfuerzo principal mayor y menor, se detalla el estado tensional y de deformación, ante la penetración de un cuerpo rígido para un problema bidimensional. Algunas extensiones se agregan en las notas contenidas en el numeral 3.
5. REFERENCIAS
[1] L. Prandtl, "Über die Härte plastischer Körper. Nachrichten der Gesellschaft der Wissenschaften zu Göttingen", Mathematisch-physikalischen Klasse, 74–85, 1920
[2] K. Terzaghi, "Theoretical soil mechanics. New York": J. Wiley and Sons, Inc, 1943
[3] H. Hertz, "Über die Berührung fester elastischer Körper", Journal für die reine und angewandte Mathematik, 92, 156-171, 1881
[4] B. de Saint-Venant, "Memóire sur l’établissement des équations differéntielles des mouvements intérieurs opérés dans les corps solides ductiles au delá des limites oú l’élasticité pourrait les ramener á leur premier état", Journal de mathématiques pures et appliquées, 16, 308-316, 1871
[5] M. Lévy, "Extrait du Mémoire sur les équations générales des mouvements intérieurs des corps solides ductiles au delà des limites où l'élasticité pourrait les ramener à leur premier état", présenté le 20 juin 1870. Journal de mathématiques pures et appliquées, 16, 369-37, 1871
[6] A. Haar and von T. Zu Karman, "Theorie der Spanungszustande in plastischen und sandartigen Med", Nachr. Gesellsch. Wissensch., Gottingen, Math-phys. Klasse, 204, 1909
[7] O. Mohr, "Über die Darstellung des Spannungszustandes und des Deformationszustandes eines Körperelementes und über die Anwendung derselben in der Festigkeitslehre", Der Civilingenieur, 28(2), 113-156, 1882
[8] O. Mohr, "What are the circumstances that lead to reach the limit of elasticity and the failure of materials", Zeitschrift des Ver Deutsch Ing, 44, 1524-1530, 1900
[9] O. Mohr, "Abhandlungen aus dem Gebiete der technischen Mechanik", Berlin: Ernst, 1906
Notas de autor