Artículo de Investigación
Programa Kaiser Connex para conexiones sismorresistentes tipo Kaiser Bolted Bracket conforme a la normativa ansi/aisc 358-16
PROGRAM KAISER CONNEX FOR KAISER BOLTED BRACKET TYPE SEISMO-RESISTANT CONNECTIONS ACCORDING TO THE ANSI/AISC 358-16 STANDARD
Programa Kaiser Connex para conexiones sismorresistentes tipo Kaiser Bolted Bracket conforme a la normativa ansi/aisc 358-16
Gaceta Técnica, vol. 24, núm. 2, 2023
Universidad Centroccidental Lisandro Alvarado

Recepción: 23/02/2023
Aprobación: 11/05/2023
Resumen: Este estudio tiene como objetivo comparar el aporte estructural de la capa base granular estabilizada con cemento Portland tipo I versus emulsión asfáltica catiónica CSS-1H en vías del conjunto habitacional Micaela Bastidas, cuya área corresponde a Enlace I, II, III, IV Etapa y en la UPIS Villa Hermosa, distrito Veintiséis de Octubre del departamento de Piura, provincia de Piura. Como parte del análisis se realizaron ensayos de laboratorio al material granular extraídos de la cantera Bastian, con el fin de obtener las características del material base. De tal manera, que para la evaluación comparativa del aporte estructural de la base granular se ejecutó el cálculo del diseño para pavimentos flexibles de acuerdo con el método AASHTO 93; según el manual de carreteras sección suelos y pavimentos, estabilizados con cemento Portland tipo I, emulsión asfáltica catiónica de rotura lenta CSS-1H y sin estabilizar. Los resultados obtenidos indicaron que según las dosificaciones estimadas al 3%, 5% y 7% de adición de cemento y la emulsión asfáltica mejora las condiciones del material base granular. En conclusión, la evaluación del aporte estructural el cemento Portland tipo I es el agente estabilizador de mejor comportamiento, incluso en dosificaciones muy bajas, lo cual se traduce en pavimentos de espesores competentes en la práctica constructiva.
Palabras clave: material granular estabilizado, pavimentos flexibles, cemento Portland tipo I, emulsión asfáltica catiónica CSS-1H.
Abstract: This study aims to compare the structural contribution of the granular base layer stabilized with type I Portland cement versus CSS-1H cationic asphalt emulsion on roads of the Micaela Bastidas housing complex, whose area corresponds to Enlace I, II, III, IV Stage and in UPIS Villa Hermosa, Veintiséis de Octubre district, department of Piura, province of Piura. As part of the analysis, laboratory tests were carried out on the granular material extracted from the Bastian quarry, in order to obtain the characteristics of the base material. In such a way, that for the comparative evaluation of the structural contribution of the granular base, the calculation of the design for flexible pavements was executed according to the AASHTO 93 method; according to the road manual section soils and pavements, stabilized with Portland cement type I, cationic asphalt emulsion CSS-1H and without stabilization. The results obtained indicated that according to the estimated dosages at 3%, 5% and 7% of cement addition and the asphalt emulsion improves the conditions of the granular base material. In conclusion, according to the evaluation of the structural contribution, type I Portland cement is the stabilizing agent with the best behavior, even in very low dosages, which translates into pavements of competent thicknesses in construction practice.
Keywords: stabilized granular material, flexible pavements, Type I Portland cement, CSS-1H cationic asphalt emulsion.
1. INTRODUCCIÓN
Las estructuras de acero han tenido gran auge en la industria considerando sus ventajas, como lo es, su resistencia, ductilidad y facilidad constructiva. Sin embargo, uno de los inconvenientes que se presentan es el diseño de conexiones, debido a la dificultad y extenso que resulta realizar este proceso de forma manual. De acuerdo con un gran número de investigaciones posteriores a eventos sísmicos, las fallas estructurales que se presentan en los sistemas constructivos con acero son localizadas generalmente en las conexiones, tal como ocurrió en Northridge California en 1994 [1], donde hubo una gran cantidad de daños en este tipo de edificaciones a raíz del comportamiento frágil observado en las conexiones soldadas viga – columna.
En la actualidad existen una serie de normativas que abarcan el diseño de conexiones metálicas, como por ejemplo la Normativa ANSI/AISC 358-16 [2], donde se describe las especificaciones, limitaciones y procedimiento de diseño de conexiones que han sido precalificadas conforme con investigaciones y ensayos. El proceso que se debe seguir para el diseño de conexiones precalificadas presentado en dicha Normativa es algo engorroso, es por ello que esta investigación se enfocó en la elaboración de un programa denominado KAISER CONNEX para el diseño de conexiones sismorresistentes tipo Kaiser Bolted Bracket (KBB) conforme a la normativa ANSI/AISC 358-16, en la búsqueda de realizar un cálculo de manera automática, optimizando tiempo y evitando errores en el diseño de este tipo de conexiones.
2. DESARROLLO
Las estructuras de acero están conformadas por elementos que deben ensamblarse entre sí para conformar los pórticos, por lo que, el diseño adecuado de las conexiones para dicho ensamblaje de los distintos elementos estructurales es importante ya que estas son las encargadas de la transmisión de las cargas aplicadas en los pórticos entre los elementos conectados. Una de las condiciones a las que están sometidas todas las estructuras son las relacionadas a los fenómenos naturales, quizás las de mayor amenaza sobre estas son los sismos, esto obliga a un diseño según los criterios sismorresistentes, para así soportar tales eventos sin colapsar resguardando las vidas de sus ocupantes y reducir los daños [3].
En el año 2013 se publicó una investigación cuyo propósito fue evaluar el rendimiento sísmico de la conexión KBB. Se estudiaron y determinaron los factores efectivos para reducir el Pinching Effect o estrangulamiento aumentando la disipación de energía. Esta investigación se desarrolló creando modelos numéricos, donde se utilizó el software de elementos finitos, ABAQUS ver.6.10. Para estudiar modelos numéricos y verificarlos en comparación con los resultados experimentales, se crearon dos modelos de referencia, uno para la conexión Serie W y otro para la Serie B. En este estudio, el comportamiento sísmico de la conexión a momento KBB, se examinó en los niveles de carga estándar y cercanos a la falla, donde resultó que el rendimiento sísmico de la conexión KBB es confiable en la zona cercana a la falla. Por lo tanto, se puede utilizar como adecuada para un pórtico especial resistente a momento en la zona cercana a la falla [4].
2.1. Pórticos Resistentes a Momento y Conexiones Precalificadas
Denominados también pórticos no arriostrados son sistemas estructurales compuestos por vigas y columnas que se ensamblan entre sí empleando diferentes tipos de conexiones: apernadas, soldadas, o con soldadura y pernos. Los elementos de estos pórticos resistentes a momento son diseñados mayormente por la acción de esfuerzos de corte y momentos flectores, de allí es donde surge el nombre de Pórticos a Momentos [3]. Las conexiones precalificadas son mencionadas de esta manera debido que a han sido sometidas a diferentes ensayos experimentales donde se ha obtenido un comportamiento adecuado según los requisitos de conexiones sismorresistentes. Para que una conexión sea precalificada se debe cumplir [3]:
· Existir suficiente información experimental y analítica para asegurar que la conexión presenta adecuada capacidad de deformación plástica.
· Disponer de modelos racionales para predecir la resistencia asociada a los distintos modos de falla y la capacidad de deformación, a partir de las propiedades geométricas y mecánicas de los elementos componentes.
· Obtener datos que permiten realizar una evaluación estadística de la confiabilidad de la conexión.
· Ser validada e incluida en la normativa AISC.
La Kaiser Bolted Bracket (KBB) es una conexión viga-columna a momento que consiste en soportes patentados de acero fundidos de alta resistencia que se sujetan a las alas de una viga y luego son apernados a las alas de la columna. Está diseñada para eliminar la soldadura de campo en la construcción de pórticos a momento de acero. Cuando se somete a una carga inelástica cíclica, el rendimiento y la formación de la rótula plástica ocurre principalmente en la viga cerca del extremo del soporte, eliminando así las demandas de deformación inelástica en la cara de la columna [5]. El rendimiento y la formación de la rótula plástica están diseñados para ocurrir principalmente en el extremo del soporte de la viga, lejos de la cara de la columna.
3. METODOLOGÍA
El marco metodológico está orientado al diseño no experimental, se realizó siguiendo el procedimiento de desarrollo de las conexiones precalificadas Kaiser Bolted Bracket descrito en el capítulo 9 de la Normativa ANSI/AISC 358-16 [2] para la elaboración del software, por lo tanto, se aplicó sin manipular variables independientes ya analizadas en investigaciones previas. Para la programación y desarrollo del algoritmo, la información se obtuvo del Manual de Construcción de Acero de AISC [6], así como documentación del programa MATLAB (https://www.mathworks.com/products/matlab-online.html). Para el diseño de conexiones KBB se requirieron parámetros tabulados o delimitados para la elaboración del programa:
· Perfiles para las vigas y columnas
· Material para las vigas y columnas
· Tipos de soportes KBB Serie – B y Serie – W
· Material para los soportes KBB
· Dimensiones pernos y agujeros
· Especificaciones que debe cumplir la parte conectada por lo pernos
· Material para los pernos
· Dimensiones y material de la plancha de corte vertical
· Dimensiones y material de las planchas de continuidad (si se requieren)
· Dimensiones y material del refuerzo de la zona panel (si se requiere)
· Material del tipo de electrodo y tamaño mínimo de la soldadura para la plancha de corte vertical, planchas de continuidad y planchas adosadas
Antes de construir el programa en MATLAB, se elaboró una hoja de cálculo en Excel con base al procedimiento descrito anteriormente, reordenado conforme con el diseño y verificaciones de cada elemento que compone la conexión KBB. Esta hoja de cálculo se desarrolló con la finalidad de aclarar dudas que se pudiera suscitar en la compresión de las normativas, así como también, definir los alcances del programa a elaborar, facilitando la construcción del algoritmo y verificación de resultados. Para la creación del algoritmo y la interfaz gráfica se utilizó la herramienta App Designer de MATLAB versión R2020a (https://es.mathworks.com/products/new_products/release2020a.html).
4. RESULTADOS
Se presenta el proceso realizado en la construcción y validación del programa para el diseño de conexiones precalificadas Kaiser Bolted Bracket Serie – W y Serie – B, el cual se denominó KAISER CONNEX. Se describe el procedimiento ejecutado en MATLAB versión R2020a, utilizando la herramienta App Designer para el desarrollo del programa; posteriormente se presentan ejemplos de aplicación en el diseño de conexiones KBB, donde se evalúa el funcionamiento y los resultados obtenidos con el programa comparándolos hoja de cálculo en Excel
4.1. KAISER CONNEX
KAISER CONNEX es un software para el diseño y análisis de conexiones precalificadas KBB utilizadas en sistemas de pórticos especiales a momento SMF, y pórticos intermedios a momento IMF en los diferentes tipos de nodos viga – columna presentes en una estructura de acero. Permite al usuario el diseño independiente de 8 tipos de conexiones KBB en paralelo, 4 Serie – B y 4 Serie – W, cada uno de los diferentes tipos de nodo viga – columna, ya que cuenta con una interfaz principal compuesta por una serie de pestañas predefinidas para cada caso de configuración KBB – Tipo de Nodo.
El programa se encuentra estructurado por una serie de ventanas que sirven de apoyo para la definición de parámetros que alimentan la interfaz principal y presentación de resultados. A continuación, se presentan las ventanas generales con las que cuenta el software:
· Interfaz principal del programa
· Nuevo diseño de conexión
· Selección del tipo de nodo a diseñar
· Definición de parámetros de diseño
· Definición de parámetros de análisis
· Resumen de análisis de la conexión diseñada
· Reporte de la conexión diseñada
· Normativas de diseño
· Detalles del programa
Cada una de estas fueron creadas como proyectos independientes en archivos con extensión .mlapp de App Designer, que mediante el uso de funciones públicas y envío y recepción de argumentos entre una ventana y otra, se ejecutan los distintos procesos establecidos en el código que posee cada una, logrando de esta manera la interacción.
4.2. Interfaz Principal del Programa
La interfaz principal del programa KAISER CONNEX se encuentra divida en dos paneles: uno superior donde se dispuso una barra de herramientas, y uno inferior que cuenta con un grupo de pestañas predefinidas (ver Figura 1).

A parte de los desplegables comunes y obligados en las ventanas de cada enlace del programa, se cuenta con una serie de pestañas que caracterizan de forma específica esta herramienta. Este panel fue creado utilizando un Container Tab Group que permite crear una serie de pestañas y configurar el contenido de cada una de la forma deseada, de acuerdo con los demás componentes que presenta App Designer. Para el caso del programa elaborado se definieron un total de 14 pestañas, las cuales se clasificaron así:
· Pestaña de inicio: muestra al momento de cargar programa y compuesta por un panel de Nuevo Diseño que contiene dos botones que dan inicio al diseño de conexiones KBB Serie – B y Serie – W, al pulsar alguno de estos botones se accede a la ventana de selección del tipo nodo. También cuenta con una cinta inferior que posee un Label donde indica el tipo de conexión y la normativa de diseño en la que está basado el programa.
· Pestañas de base de datos: se encuentra todas las tablas que contienen los datos necesarios para el diseño de conexiones KBB. Los datos presentados en dichas tablas provienen de una serie archivos .xlsx que contienen la información pertinente, estas tablas se encuentran en sistema métrico y en sistema imperial.
· Pestaña de Perfiles: se ubican las tablas que contienen las dimensiones y propiedades de los diferentes tipos de perfiles laminados en caliente de ala ancha (W, IPE, IPN, HEB, HEA y HEM).
· Pestaña de Soportes: contiene las tablas de las dimensiones de los soportes KBB atendiendo la normativa ANSI/358-16.
· Pestaña de Materiales: se cuenta con de los diferentes tipos de Acero ASTM según la Normativa ANSI/AISC 341-16, para el diseño de los distintos elementos que componen la conexión.
· Pestaña de Pernos: se ubican los datos necesarios de las especificaciones para los pernos de acuerdo ANSI/AISC 360-16.
· Pestaña de Soldaduras: cuenta con los datos necesarios de las especificaciones para las soldaduras de acuerdo ANSI/AISC 360-16.
· Pestañas de Diseño: el programa tiene la capacidad de trabajar entre uno y ocho diseños en paralelo de acuerdo con la serie de la conexión y el tipo de nodo. Las pestañas predefinidas de diseño con las que cuenta el programa son las siguientes:
× Pestaña de Soporte KBB Apernado – Nodo Externo de Entrepiso
× Pestaña de Soporte KBB Apernado – Nodo Interno de Entrepiso
× Pestaña de Soporte KBB Apernado – Nodo Externo de Techo
× Pestaña de Soporte KBB Apernado – Nodo Interno de Techo
× Pestaña de Soporte KBB Soldado – Nodo Externo de Entrepiso
× Pestaña de Soporte KBB Soldado – Nodo Interno de Entrepiso
× Pestaña de Soporte KBB Soldado – Nodo Externo de Techo
× Pestaña de Soporte KBB Soldado – Nodo Interno de Techo
4.3. Ejemplo de Aplicación con Conexión KBB Serie – B
Mediante el uso del programa KAISER CONNEX se diseñó las conexiones de los nodos externos del nivel 1, de un pórtico resistente a momento perteneciente a una estructura de acero; se verificará y validará la sección de diseño y análisis de conexiones KBB Serie – B del programa elaborado. Los datos para el diseño se pueden observar en la Tabla 1:
| Parámetros | ||
| Diseño | Luz libre entre columnas | 10m |
| Losa estructural de concreto | Si | |
| Columna | Sección: W14x311 | |
| Material: Acero A913M Grado 60 | ||
| Viga | Sección: W30x108 | |
| Material: Acero A36M Grado 36 | ||
| Sin atiesadores transversales | ||
| Análisis | Fuerzas en el nodo provenientes de las combinaciones de carga | Fuerza de corte en viga: 12000 Kgf |
| Fuerza axial en viga: 0,00 Kgf | ||
| Fuerza de corte en columna inferior: 0,00 Kgf | ||
| Fuerza de axial en columna inferior: 100000 Kgf | ||
| Fuerza de corte en columna superior: 0,00 Kgf | ||
| Fuerza de axial en columna superior: 90000 Kgf | ||
| Consideraciones de análisis | Deformación de los agujeros de los pernos | |
| Deformación inelástica de la zona panel en el análisis del pórtico | ||
| No incluir la fuerza de palanca del perno |
Solución. En la pestaña de inicio de la interfaz principal se hace clic en el botón KBB SERIE–B que abre la ventana de Selección de Tipo de Nodo, se selecciona el nodo externo de entrepiso, según lo establecido por el ejemplo a desarrollar, de esta manera se selecciona la pestaña de diseño de Conexiones KBB – Soporte Apernado – Nodo Externo de Entrepiso (ver Figura 2).

Se procede a ingresar los parámetros de diseño, para ello en la barra de herramientas superior se hace clic en el botón de Diseño, mediante el cual se despliegan dichos parámetros. Se ingresan los datos de la geometría del pórtico. Luego en el grupo de botones del lado izquierdo de la ventana, se selecciona el botón de Columna, lo que oculta el panel de geometría del pórtico y se muestra el panel de columna, en él se selecciona la sección y el respectivo material del elemento. Del mismo modo que los datos de la columna, en el panel de viga se selecciona la sección y el respectivo material de la viga (ver Figuras 3, 4 y 5).



Posteriormente en el panel de soporte, se elige un tipo de soporte y material de los pernos que lo conectan. Para este ejemplo de conexión KBB Serie – B, se seleccionó el tipo de soporte B1.0 y el material para los pernos ASTM F3125 A490M (ver Figura 6).
Luego en el panel de plancha de corte, se debe realizar su respectivo diseño. Para este caso se definió: una altura de 600mm y un espesor de 13mm de la plancha, 8 pernos de tamaño M24, una distancia Lev de 50mm, una distancia Leh de 43,5mm, para de esta manera obtener un ancho total de plancha de 100mm; y con respecto a los materiales se definió: Acero A36M Grado 36 para la plancha, Acero ASTM F3125 A490M para los pernos y un tipo de electrodo E70XX para la soldadura al ala de la columna. Con respecto a las planchas de continuidad y a las planchas adosadas, se realiza un análisis preliminar y si se requieren posteriormente se incluirán. Se procede a seleccionar el botón Aceptar, cerrándose la ventana de Parámetros de Diseño y aplicándose los respectivos cambios en la interfaz principal.

El siguiente paso es ingresar las fuerzas en los elementos y las consideraciones de análisis, para ello se hace clic en el botón Análisis y se despliega la ventana de Parámetros de Análisis, donde se ingresan los respectivos datos como se muestra en la Figura 7.

Se procede entonces, a realizar un análisis preliminar de la conexión diseñada, para comprobar que los elementos cumplan con todas las verificaciones pertinentes. Para ello, en la barra de herramientas se hace clic en el botón Analizar y de esta manera se ejecuta el respectivo análisis de la conexión (ver Figura 8). Una vez culminado el análisis, se abre la ventana del Resumen mostrando los resultados obtenidos; al verificarlos se observa que todas las verificaciones de los elementos cumplen, excepto a que en los requisitos de las planchas de continuidad establece que se requieren estas planchas.
Por lo tanto, se ingresa nuevamente a la ventana de Parámetros de Diseño, donde se procede a incluir y diseñar las planchas de continuidad, en este caso se ingresó un ancho de 150mm y un espesor de 13mm de las planchas, y con respecto al materiales se seleccionó un Acero A36M Grado 36 y un tipo de electrodo E70XX para las soldaduras. Luego de haber incluido las planchas de continuidad se procede a ejecutar nuevamente el análisis de la conexión, y una vez culminado se observa en el resumen de análisis que todas las verificaciones cumplen, por lo tanto, la conexión ha sido diseñada correctamente. Se comienza a generar el reporte de diseño haciendo click en el botón de Reporte de la barra de herramientas (ver Figura 9).

4.4. Ejemplo de Validación con Conexión KBB Serie – B
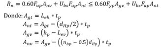
Con el reporte obtenido de la conexión KBB Serie – B diseñada, se procede a comparar con la hoja de cálculo elaborada en Excel, de esta manera validar los resultados que presenta el software en el diseño de conexiones KBB Serie – B. A continuación, se muestra el conjunto de pasos ejecutados con sus correspondientes ecuaciones empleados en el programa diseñado, y posteriormente en la Tabla 2 los resultados de la validación comparándolos con los obtenidos en la hoja Excel diseñada.

Conjunto de pasos ejecutados con sus correspondientes ecuaciones empleados en el programa diseñado:
































Los resultados obtenidos en el programa elaborado en MATLAB y en la hoja de cálculo elaborada en Excel no presentan ninguna diferencia (0,00%), por lo tanto, los resultados obtenidos en el software KAISER CONNEX en el diseño de conexiones KBB Serie – B son aceptables, tal como se evidencia en la Tabla 2.
| Parámetro | KAISER CONNEX | Hoja de Cálculo | Diferencia (%) |
| 1. Momento máximo probable, Mpr (Kgf.m) | 260181,56 | 260181,56 | 0,00% |
| 2. Fuerza de corte última en la rótula plástica, Vh, en cada extremo de la viga (Kgf) | 71784,37 | 71784,37 | 0,00% |
| 3. Momento máximo probable en la cara de la columna, Mf (Kgf.m) | 306697,83 | 306697,83 | 0,00% |
| 4. Resistencia a corte de los pernos que conectan el soporte a la viga | 0,72 | 0,72 | 0,00% |
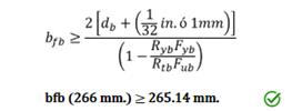
| 5. Ancho requerido del ala de la viga para evitar la rotura a tracción (mm) | 265,14 | 265,14 | 0,00% |
| 6. Resistencia requerida ante bloque de cortante en el ala de la viga, Mf /deff (Kgf) | 280858,82 | 280858,82 | 0,00% |
| 7. Resistencia del ala de la viga ante bloque de cortante (Kgf) | 372494,64 | 372494,64 | 0,00% |
| 8. Resistencia requerida a corte, Vu, de la viga y la conexión del alma de la viga a la columna (Kgf) | 71784,37 | 71784,37 | 0,00% |
| 9. Resistencia a corte del alma de la viga (Kgf) | 160000,19 | 160000,19 | 0,00% |
| 10. Resistencia requerida a tracción de los pernos del soporte a la columna, rut (Kgf/Perno) | 46809,80 | 46809,80 | 0,00% |
| 11. Resistencia a tracción de los pernos del soporte a la columna (Kgf /Perno) | 81184,87 | 81184,87 | 0,00% |
| 12. Ancho requerido del ala de la columna para evitar la ruptura a tracción (mm) | 406,10 | 406,10 | 0,00% |
| 13. Espesor requerido del ala de la columna para evitar el efecto de palanca (mm) | 45,99 | 45,99 | 0,00% |
| 14. Espesor requerido del ala de la columna para eliminar las placas de continuidad (mm) | 29,75 | 29,75 | 0,00% |
| 15. Fuerza de corte en la zona panel, Vf (Kgf) | 404614,55 | 404614,55 | 0,00% |
| 16. Resistencia de la zona panel (Kgf) | 531826,72 | 531826,72 | 0,00% |
| 17. Relación de momentos columna-viga | 2,50 | 2,50 | 0,00% |
| 18. Resistencia a corte de los pernos de la plancha de corte (Kgf) | 160259,25 | 160259,25 | 0,00% |
| 19. Resistencia al aplastamiento y desgarramiento de los agujeros en la plancha de corte (Kgf) | 162053,32 | 162053,32 | 0,00% |
| 20. Resistencia al aplastamiento y desgarramiento de los agujeros en el alma de la viga (Kgf) | 194533,21 | 194533,21 | 0,00% |
| 21. Resistencia por fluencia a corte en la plancha de corte (Kgf) | 119307,24 | 119307,24 | 0,00% |
| 22. Resistencia por fluencia a corte en el alma de la viga (Kgf) | 151852,42 | 151852,42 | 0,00% |
| 23. Resistencia por rotura a corte en la plancha de corte (Kgf) | 91627,96 | 91627,96 | 0,00% |
| 24. Resistencia de la plancha de corte ante bloque de cortante (Kgf) | 93954,45 | 93954,45 | 0,00% |
| 25. Espesor requerido de la soldadura de filete de la plancha de corte al ala de la columna (mm) | 6,35 | 6,35 | 0,00% |
| 26. Resistencia mínima de la columna ante cargas concentradas (Kgf) | 784287,59 | 784287,59 | 0,00% |
| 27. Fuerza en la cara de la columna para el diseño de planchas de continuidad, Ffu (Kgf) | 415185,90 | 415185,90 | 0,00% |
| 28. Área requerida de las planchas de continuidad (cm2) | 0,00 | 0,00 | 0,00% |
| 29. Espesor requerido de las planchas de continuidad (mm) | 9,65 | 9,65 | 0,00% |
5. CONCLUSIONES
En la validación del programa KAISER CONNEX se desarrolló un ejemplo de aplicación para las conexiones KBB Serie – B y Serie – W. En estos ejemplos se comparó los resultados obtenidos por el software con los de la hoja de cálculo elaborada en Excel, obteniéndose los mismos valores sin ningún porcentaje de diferencia (0,00%). Por lo tanto, se concluye que los resultados obtenidos por el programa KAISER CONNEX son aceptables.
Recomendándose que los programas desarrollados de otros tipos de conexiones en el que se utilizó la herramienta GUIDE de MATLAB [7], [8], [9], [10] y [11]; migrarlos a la herramienta App Designer, ya que cuenta con un conjunto más amplio de controles interactivos lo que permite crear una interfaz más atractiva visualmente para el usuario considerando además que en un futuro será la herramienta que sustituya a GUIDE. Con relación al programa elaborado KAISER CONNEX, en un futuro cuando la herramienta App Designer se encuentre más desarrollada, se recomienda programar la exportación del resumen de análisis y el reporte de diseño en los botones que se encuentran deshabilitados de las ventanas que presentan dicha información. Adicionalmente, crear una sección que permita generar y exportar un plano de detalle que contenga distintas vistas y las respectivas especificaciones necesarias para la construcción de la conexión KBB diseñada en el software.
6. FINANCIAMIENTO
Propio de los autores.
7. CONFLICTOS DE INTERESES
Ninguno.
8. CONTRIBUCIÓN DE LOS AUTORES
K.J.C.A. desarrolló los algoritmos e interfaz gráfica del programa KAISER CONNEX destinado para fines académicos, y G. P. asesorías para la compresión de la normativa ANSI/AISC 358-16 y del programa MATLAB.
9. REFERENCIAS
J. Lee, “The Government's Response to the Northridge Earthquake”, Washington, 1996
ANSI/AISC 358-16, Normativa Americana ANSI/AISC 358-16, “Prequalified Connections for Special and Intermediate Steel Moment Frames for Seismic Applications”, Chicago: American Institute of Steel Construction, 2016
F. Crisafulli, “Diseño Sismorresistente de Construcciones de Acero”, Santiago de Chile: Asociación Latinoamericana del Acero – Alacero, Tercera Edición, 2013
F. Shahidi, M. Seyed, F. Nateghi-E y F. Shahidi, “Influential Factor in Improving the Seismic Performance of the Kaiser Bolted Bracket Moment Connection”, International Journal of Engineering, 61-74, 2013
S. Adan y W. Gibb, “Experimental Evaluation of Kaiser Bolted Bracket Steel Moment-Resisting Connections”, Engineering Journal, 181-195, 2009
AISC, “Steel Construction Manual”, 15th Ed., Chicago: American Institute of Steel Construction, 2017
G. Pannillo, M. Chacón y H. Riera, “Desarrollo y Programación de Conexiones Sismorresistentes Tipo BFP y RBS Conforme a la Normativa ANSI/AISC 358-16”, Revista Gaceta Técnica, 51-68, 2018
G. Pannillo, O. Gutiérrez y J. Vielma, “Development and Programming of Double Tee (DOUBLE-TEE MOMENT CONNECTIONS) Sismorresistent Connections in Accordance with the ANSI / AISC 358-16 Regulations”, Revista Internacional de Ingeniería de Estructuras, Vol. 23(2), 189-207, 2018
R. Aguiar, J.C. Vielma, C. Abella y G. Pannillo, “Use of Bolted Flange Plate Connection”, Revista Internacional de Ingeniería de Estructuras, Vol. 23(3), 245-272, 2018
G. Pannillo, O. Gutiérrez y J. Vielma, “Development and Programming of END-PLATE 4E and 8ES Connections in Accordance with the ANSI / AISC 358-16 Regulations”, Revista Internacional de Ingeniería de Estructuras, Vol. 25(1), 39-60, 2020
G. Pannillo Majano, “Adaptación del Programa Modular de Estructuras (PME) al Análisis no Lineal y Diseño de Pórticos Especiales a Momento con Junta Viga-Columna (WUF-WW) Aplicando el Metodo de los Elementos Finitos”, Universidad Centroccidental “Lisandro Alvarado” Decanato de Ingeniería Civil Dirección de Postgrado, Maestría en Mecánica Aplicada a la Construcción, Barquisimeto, 2019
Notas de autor