Artículos Científicos
INFLUENCIA ESTRUCTURAL POR PROCESO CONSTRUCTIVO EN EDIFICACIONES ESENCIALES DE CONCRETO ARMADO
STRUCTURAL INFLUENCE BY CONSTRUCTION PROCESS IN ESSENTIAL REINFORCED CONCRETE BUILDINGS
INFLUENCIA ESTRUCTURAL POR PROCESO CONSTRUCTIVO EN EDIFICACIONES ESENCIALES DE CONCRETO ARMADO
Gaceta Técnica, vol. 25, núm. 2, pp. 1-22, 2024
Universidad Centroccidental Lisandro Alvarado

Recepción: 08/04/2024
Aprobación: 20/06/2024
Resumen: El proceso constructivo es fundamental en la construcción de obras civiles, la visión y planificación debe estar definida de manera correcta antes de realizar una obra estructural en campo, mucho más si son obras que requieren de un proceso más detallado como lo son las obras de tipo esencial. En el presente artículo se realizó un análisis estructural del proceso constructivo que conlleva una estructura de carácter esencial, la misma tiene como características: 6 niveles, luces de 9 m y una altura de entrepiso de 4,50 m, de acuerdo con éstas se realizó una modelación del proceso constructivo aplicando un procedimiento de cimbrado, clareado y descimbrado. Con la ayuda de paquetes computacionales como el ETABS, se ha realizado modelaciones para el análisis de la estructura frente a los elementos auxiliares que existen en ella en este caso los puntales, dando como resultado el comportamiento de la estructura de acuerdo con los pasos de carga utilizados en el programa, así, obteniendo que las cargas del Modelo 2 son de 3-6 veces mayores que el Modelo 1. Así como el valor más crítico de 135,51 kN obtenido en el paso de carga N°2 del Modelo 2.
Palabras clave: cimbrado, clareado, forjado, pasos de carga, proceso constructivo, puntales, ETABS.
Abstract: The construction process is fundamental in the construction of civil works, the vision and planning must be correctly defined before carrying out a structural work in the field, especially if they are works that require a more detailed process such as essential works. In this article, a structural analysis of the construction process involved in an essential structure was carried out, which has the following characteristics: 6 levels, 9 m spans and a mezzanine height of 4,50 m. According to these characteristics, a modeling of the construction process was carried out by applying a formwork, clearing and stripping procedure. With the help of computational packages such as ETABS, modeling has been carried out for the analysis of the structure in relation to the auxiliary elements that exist in it, in this case the props, resulting in the behavior of the structure according to the load steps used in the program, thus, obtaining that the loads of Model 2 are 3-6 times greater than Model 1, as well as the most critical value of 135,51 kN obtained in the load step N°2 of Model 2.
Keywords: formwork, clearing, floor slab, load steps, construction process, props, ETABS.
1. INTRODUCCIÓN
El principio de la construcción en una estructura de concreto armado comienza con el cimbrado de plantas sucesivas, donde los sistemas recién apuntalados reciben el peso del concreto. El cimbrado en una estructura de concreto armado está conformado por un conjunto de componentes como lo son: los tableros de encofrado, las vigas de encofrado y los puntales, que son parte primordial en las diferentes etapas constructivas. Este método consiste en apoyar los tableros, juntamente con las vigas y puntales en el nivel que se va a vaciar el concreto, donde el sistema de cimbrado va a ser el encargado de dar estabilidad y fijación frente a las cargas dadas de acuerdo a la configuración estructural y cargas de uso que vayan a existir en la etapa de construcción (vaciado del concreto) [1]. En la Figura 1 se muestra el proceso de clareado in situ, donde se han retirado el 50 % de puntales.

El proceso constructivo es crucial en obras civiles, especialmente en las edificaciones esenciales donde se debe garantizar la seguridad de un gran número de personas [3]. Es fundamental que dicho proceso sea óptimo y esté relacionado con las cargas de uso de la estructura. A diferencia de las construcciones residenciales, las edificaciones esenciales requieren una supervisión y regulación rigurosa desde el inicio del proceso constructivo, con planos estructurales detallados, para prevenir riesgos económicos y de seguridad del personal [4]. Ahora bien, el objetivo principal de esta investigación fue el de determinar cómo distintas etapas del proceso constructivo, tales como el cimbrado, el clareado y el descimbrado, inciden en el comportamiento estructural, específicamente en cuanto a las cargas aplicadas a elementos auxiliares como los puntales del sistema de encofrado. Se buscó identificar las zonas críticas de la estructura con el propósito de mejorar las prácticas de diseño y construcción en proyectos de ingeniería civil.
2. DESARROLLO
2.1. Teoría de Grundy y Kabaila
El método simplificado de la teoría de Grundy y Kabaila [5], da a conocer como las cargas que se encuentran aplicadas sobre una estructura afectan en las diferentes etapas de desarrollo de la construcción. El método plantea 3 supuestos con los cuales se puede desarrollar el Modelo:
· Los puntales son considerados infinitamente rígidos
· Los esfuerzos de cortante y momento sobre el encofrado son despreciables
· La edad del concreto no es tomada en cuenta
También supone varios apartados donde consideran que el suelo es infinitamente rígido para los puntales que se encuentra por encima del mismo. Por otra parte, la suposición que plantea será únicamente posible siempre y cuando se utilicen puntales de acero, ya que se necesita emplear un elemento rígido, puesto que si se considera elementos auxiliares de madera las afirmaciones previamente planteadas serán erróneas [5]. La Figura 2 representa el proceso de cimbrado de una estructura, la cual dependerá de la edad del forjado para su posterior descimbrado.

2.2. Teoría de Duan y Chen
El método simplificado mejorado de la teoría Duan y Chen [7], señala que el error del método simplificado de Grundy y Kabaila se basa en la consideración de rigidez infinita de puntales. En este método se añade una hipótesis completamente nueva que asume la rigidez finita de los puntales, dando a conocer que el radio de rigidez losa-puntal consiste en la medición completa de la geometría de la estructura con respecto a las propiedades de los materiales y de los sistemas de apoyo. En la Figura 3, se observa la representación del proceso de cimbrado y descimbrado según Duan y Chen.

2.3. Esfuerzos y Distribución de Puntales
El esfuerzo juega un papel muy importante en la distribución de puntales, ya que para esto se debe tomar en cuenta cómo es el diagrama de momentos con respecto a la estructura para así, entender la relación que existe para realizar un descimbrado óptimo siguiendo una distribución donde al momento del retiro de puntales, y los momentos generados por el forjado no cambien de signo y la estructura siga un patrón que no perjudique el realizar un descimbrado total o parcial (clareado) [9].
3. METODOLOGÍA
En esta investigación se analizó un edificio de concreto armado, con una geometría simétrica en planta y elevación tomada de la investigación de Guilcaso et al. [10]. Para la modelación de la estructura se utilizó el software de análisis de elementos finitos llamado ETABS [11], debido a que brinda las herramientas necesarias para el análisis por proceso constructivo. La edificación tiene la característica de ser considerada una edificación esencial que se encuentra ubicado en la ciudad de Quito, Ecuador. En la Tabla 1 se muestra las características del Modelo analizado y en la Figura 3 su distribución en planta.
| Descripción | Valor | Unidad |
| Número de pisos | 6 | nivel |
| Altura de entrepiso | 4,5 | m |
| Número de vanos | 5 | - |
| Luz de vanos | 9 | m |
| Altura total | 27 | m |
| Área total en planta | 2025 | m² |
La losa nervada tendrá una configuración 60x15x60 cm tal como se muestra en la Figura 4 con casetones de Poliestireno Expandido Auto extinguible (EPS) de 60x60x35 cm [12].

En esta investigación el edificio fue planteado con vigas, columnas y una losa de concreto armado. A continuación, se presentan las propiedades de la estructura en la Tabla 2.
| Materiales | Valor | Unidad |
| f’c (losa, columnas y vigas) | 20594 | kN/m² |
| fy (ASTM 36) | 411879,3 | kN/m² |
| ɣ concreto | 235359,6 | kN/m³ |
3.2. Características del Puntal
Para el análisis de proceso constructivo se utilizó el sistema de cimbrado Losaflex del catálogo de BAGANT [13]. Se realizó el modelamiento de puntales en el programa de elementos finitos ETABS [11]. A continuación, se presentan las características del sistema de puntal a utilizarse en el Modelo en la Tabla 3 [14] y Figura 5.
| Materiales | Valor | Unidad |
| Longitud de uso | 3,85 - 5,0 | m |
| Capacidad de carga máxima tubo interior (arriba) | 29,7 | kN |
| Capacidad de carga máxima tubo interior (abajo) | 34,8 | kN |
| fy (ASTM A992) | 3515 | kg/cm² |

3.3. Cronogramas y Cargas Temporales
Al realizar el proceso de construcción de una edificación, se presenta un cronograma de obra que ayuda en las etapas y actividades que se realizarán en la construcción de la estructura [16]. Para realizar las modelaciones correspondientes y el análisis de los Modelos teóricos, se ha tomado fechas arbitrarias con la intención de observar el comportamiento del concreto frente a las diferentes etapas del proceso constructivo correspondientes al cimbrado, clareado y descimbrado.
En algunas situaciones, el concreto recién fundido podría necesitar tiempo adicional para alcanzar su resistencia óptima, mientras que, en otros casos, un concreto diseñado y curado adecuadamente podría ser capaz de sostener su propio peso poco después de la fundición. Es crucial considerar que la capacidad estructural del concreto puede variar y, en algunos casos, es posible que el material esté cerca del 80% de su capacidad máxima. La forma de descimbrar o clarear también depende del diseño estructural, la carga aplicada y las características específicas del concreto utilizado.
En la Tabla 4, se presentan las fechas establecidas y su impacto según lo programado en el Modelo, utilizando los valores empleados para determinar los coeficientes de carga en las teorías anteriormente mencionadas en la investigación [17].
| Proceso Constructivo (CCD) | Fechas | Δ t (días) | Modelo | GK/DC |
| Hormigonado Pilares 1 F | 15/9/2023 | 0 | 0 | 0 |
| Hormigonado 1 Forjado | 27/9/2023 | 14 | 14 | 0 |
| Hormigonado Pilares 2 F | 5/10/2023 | 8 | 22 | 8 |
| Clareado 1 Forjado | 7/10/2023 | 2 | 24 | 10 |
| Hormigonado 2 Forjado | 8/10/2023 | 1 | 25 | 11 |
| Hormigonado Pilares 3 F | 12/10/2023 | 4 | 29 | 15 |
| Clareado 2 Forjado | 14/10/2023 | 2 | 31 | 17 |
| Descimbrado 1 Forjado | 15/10/2023 | 1 | 32 | 18 |
| Hormigonado 3 Forjado | 16/10/2023 | 1 | 33 | 19 |
| Hormigonado Pilares 4 F | 24/10/2023 | 8 | 41 | 27 |
| Clareado 3 Forjado | 26/10/2023 | 2 | 43 | 29 |
| Descimbrado 2 Forjado | 29/10/2023 | 3 | 46 | 32 |
| Hormigonado 4 Forjado | 30/10/2023 | 1 | 47 | 33 |
| Hormigonado Pilares 5 F | 7/11/2023 | 8 | 55 | 41 |
| Clareado 4 Forjado | 9/11/2023 | 2 | 57 | 43 |
| Descimbrado 3 Forjado | 12/11/2023 | 3 | 60 | 46 |
| Hormigonado 5 Forjado | 13/11/2023 | 1 | 61 | 47 |
| Hormigonado Pilares 6 F | 21/11/2023 | 8 | 69 | 55 |
| Clareado 5 Forjado | 23/11/2023 | 2 | 71 | 57 |
| Descimbrado 4 Forjado | 26/11/2023 | 3 | 74 | 60 |
| Hormigonado 6 Forjado | 27/11/2023 | 1 | 75 | 61 |
| Clareado 6 Forjado | 5/12/2023 | 8 | 83 | 69 |
| Carga 6 Forjado | 5/12/2023 | 8 | 83 | 69 |
| Descimbrado 5 Forjado | 10/12/2023 | 5 | 88 | 74 |
| Descimbrado 6 Forjado | 15/12/2023 | 5 | 93 | 79 |
En ese caso también existirán cargas temporales a la hora de vaciar el concreto en cada una de las etapas, estas cargas, como son la de los trabajadores y/o materiales de trabajo estarán presentes en el momento de apuntalar la estructura, en el vaciado del concreto, y cuando el concreto se encuentre alcanzando su resistencia también existirán esas mismas cargas temporales y del peso propio de los puntales que conformaran el segundo forjado y así sucesivamente dependiendo de la estructura [18].
En esta investigación la sobrecarga temporal por construcción fue de 1,00 kN/m². Para un análisis más exhaustivo se colocó una carga adicional en el último forjado simulando un peso de construcción similar a los forjados intermedios y este valor de sobrecarga fue de 4,00 kN/m².
3.4. Proceso Constructivo. Pasos de Carga
Para el proceso constructivo, con el paquete computacional se aplicó pasos de carga descritos en la Tabla 5.
| N° | Pasos de Carga | Forjado |
| 1 | Hormigonado 1 Forjado | F1 |
| 2 | Clareado 1 Forjado | F1 |
| 3 | Hormigonado 2 Forjado | F1 |
| F2 | ||
| 4 | Clareado 2 Forjado | F1 |
| F2 | ||
| 5 | Descimbrado 1 Forjado | F2 |
| 6 | Hormigonado 3 Forjado | F2 |
| F3 | ||
| 7 | Clareado 3 Forjado | F2 |
| F3 | ||
| 8 | Descimbrado 2 Forjado | F3 |
| 9 | Hormigonado 4 Forjado | F3 |
| F4 | ||
| 10 | Clareado 4 Forjado | F3 |
| F4 | ||
| 11 | Descimbrado 3 Forjado | F4 |
| 12 | Hormigonado 5 Forjado | F4 |
| F5 | ||
| 13 | Clareado 5 Forjado | F4 |
| F5 | ||
| 14 | Descimbrado 4 Forjado | F5 |
| 15 | Hormigonado 6 Forjado | F5 |
| F6 | ||
| 16 | Clareado 6 Forjado | F5 |
| F6 | ||
| 17 | Carga 6 Forjado | F5 |
| F6 | ||
| 18 | Descimbrado 5 Forjado | F6 |
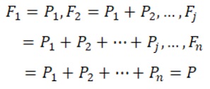
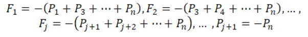
Fi: forjado del nivel correspondiente i
3.5. Modelado en Software de Elementos Finitos
Se realizó el Modelo en un software de análisis estructural tomando en cuenta los criterios y las configuraciones estructurales [19]. Para la realización del Modelo se tomó en cuenta las cargas del peso propio y de las cargas vivas que se basa en la NEC-SE-DS [20].
Verificación de los Modelos teóricos
Para la verificación de los Modelos teóricos según Grundy-Kabaila [5] y Duan-Chen [7] se toma en cuenta las siguientes ecuaciones:
Para calcular los coeficientes de carga se aplicó las ecuaciones 1 y 2, según Grundy y Kabaila [8].
(1)
(2)Donde:
Atotal: área total de la estructura en m²
qmed: carga axial por unidad de superficie kN/m²
Ci: coeficientes de carga de puntales
Wf: peso propio del forjado kN/m²
Pi: carga máxima en cada uno de los puntales en kN
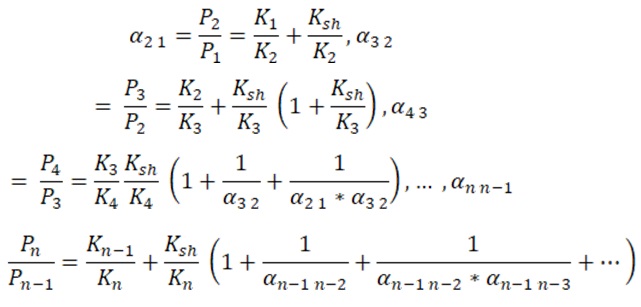
Según la investigación de Duan y Chen para encontrar los coeficientes de carga en la estructura se toma en cuenta las siguientes ecuaciones [8]: se observa en la ecuación 3 el incremento de carga de los puntales, que se producirán por la carga de los forjados.
(3)En la ecuación 4, se observa los desplazamientos de entrepisos representados en j y j-1.
(4)Las deformaciones de la carga de los puntales respectivamente en función de lo solicitado por los forjados se formulan en la ecuación 5.
(5)Los factores de deformaciones dependerán de una acción de carga unitaria, de cada entrepiso y puntal, estos coeficientes se expresarán en la ecuación 6 y 7.
(6)
(7)Una vez encontrado los factores de los respectivos forjados y apuntalamiento el incremento de carga continuo entre los forjados se expresan en la ecuación 8.
(8)En la ecuación 9, se representa el peso propio del entrepiso al vaciar el concreto, que se distribuye en los pisos inferiores que se encuentran conectados por puntales.
(9)La carga de los entrepisos se puede calcular como se muestra en la ecuación 10 y 11.
(10)
(11)En la ecuación 12 y 13 se observa el incremento de la carga de los entrepisos y la carga de los puntales
(12)
(13)Donde:
Fj: carga aplicada al puntal
Pj: carga aplicada al forjado
Δj,j-1: desplazamiento de entrepiso
Δsh,j-1: deformación del puntal
K: factor de deformación unitario para entrepiso o puntal
Ej: módulo de elasticidad del concreto
Esh: módulo de elasticidad del puntal
P: peso propio del entrepiso
3.6. Distribución y Modelado de Apuntalamiento en la Estructura
Se analizó una estructura de tipo esencial la cual presenta luces de 9 m en el sentido x-y. Con la configuración estructural prevista se realizó una modelación en el software de elementos finitos. En la Figura 6 y 7 se presentan dos distribuciones diferentes de las cuales se procedió a obtener datos y revisar la influencia del proceso constructivo frente a las distribuciones propuestas.


El Modelo 1 está conformado por un sistema de puntales separados desde el centro de la columna hasta el primer puntal de 1,00 m, siguiendo con un espaciamiento de 0,50 m y por último espaciado cada 0,75 m, como se aprecia en la siguiente Figura 8.

Esta misma distribución se aplicó en el sentido x-x y en el sentido y-y. El Modelo 2 está conformado por un sistema de puntales separados desde el centro de la columna hasta el primer puntal de 1,00 m, siguiendo con un espaciamiento de 1,17 m en el sentido x-x, como se muestra en la Figura 9. No obstante, en el sentido y-y se colocó un espaciamiento distinto donde desde el centro de la columna hasta el primer puntal está separado a 1,00 m y los siguientes estarán separados cada 1,75 m como se muestran la Figura 10.

4. RESULTADOS Y DISCUSIÓN
4.1. Comparación de Deformaciones
El análisis de los resultados plasmados en la Tabla 6 revela que en el primer piso los puntales exceden la carga admisible debido a la configuración estructural y disposición. Según ETABS [11], el Modelo 1 es más favorable, mientras que, en el segundo hormigonado del primer forjado, el valor es de 48,86 kN en el Modelo 1 y 135,51 kN en el Modelo 2 debido a la distribución de puntales. E el sexto clareado del primer forjado, el Modelo 1 tiene 16,05 kN y el Modelo 2 registra 91,37 kN. El Modelo 2 excede la capacidad admisible en todos los casos, indicando una distribución inapropiada de puntales. De igual forma se obtuvo la carga axial máxima para cada piso y paso de carga, detallada en dicha tabla.
| N° | Pasos de carga | Forjado | Modelo 1 | Modelo 2 | ||
| Pmáx (kN) | qmed (kN/m²) | Pmáx (kN) | qmed (kN/m²) | |||
| 1 | Hormigonado 1 Forjado | F1 | 41,32 | 9,66 | 73,08 | 9,56 |
| 2 | Clareado 1 Forjado | F1 | 40,69 | 8,50 | 91,36 | 9,27 |
| 3 | Hormigonado 2 Forjado | F1 | 48,86 | 15,22 | 135,51 | 15,20 |
| F2 | 7,14 | 7,23 | 31,59 | 6,66 | ||
| 4 | Clareado 2 Forjado | F1 | 48,32 | 15,09 | 127,30 | 14,91 |
| F2 | 13,85 | 6,88 | 75,20 | 6,47 | ||
| 5 | Descimbrado 1 Forjado | F2 | 4,25 | 0,42 | 15,53 | 0,67 |
| 6 | Hormigonado 3 Forjado | F2 | 6,96 | 2,70 | 47,10 | 2,70 |
| F3 | 5,65 | 5,38 | 24,83 | 5,22 | ||
| 7 | Clareado 3 Forjado | F2 | 6,54 | 2,60 | 43,03 | 2,61 |
| F3 | 10,80 | 5,15 | 61,07 | 5,12 | ||
| 8 | Descimbrado 2 Forjado | F3 | 8,49 | 3,94 | 44,22 | 3,90 |
| 9 | Hormigonado 4 Forjado | F3 | 13,93 | 6,53 | 75,18 | 6,41 |
| F4 | 5,66 | 5,42 | 24,83 | 5,23 | ||
| 10 | Clareado 4 Forjado | F3 | 13,37 | 6,48 | 71,14 | 6,31 |
| F4 | 10,81 | 5,18 | 61,18 | 5,02 | ||
| 11 | Descimbrado 3 Forjado | F4 | 4,88 | 2,15 | 29,92 | 2,27 |
| 12 | Hormigonado 5 Forjado | F4 | 10,35 | 4,76 | 61,00 | 4,79 |
| F5 | 6,68 | 5,44 | 24,85 | 5,24 | ||
| 13 | Clareado 5 Forjado | F4 | 9,83 | 4,70 | 56,95 | 4,71 |
| F5 | 10,82 | 5,19 | 61,22 | 5,13 | ||
| 14 | Descimbrado 4 Forjado | F5 | 6,53 | 3,00 | 36,91 | 3,01 |
| 15 | Hormigonado 6 Forjado | F5 | 11,34 | 5,29 | 64,15 | 5,22 |
| F6 | 4,97 | 4,81 | 21,78 | 4,59 | ||
| 16 | Clareado 6 Forjado | F5 | 13,85 | 6,74 | 64,60 | 5,68 |
| F6 | 16,05 | 7,61 | 91,37 | 7,59 | ||
| 17 | Carga 6 Forjado | F5 | 13,85 | 6,74 | 64,60 | 5,68 |
| F6 | 16,05 | 7,61 | 91,37 | 7,59 | ||
| 18 | Descimbrado 5 Forjado | F6 | 9,91 | 4,48 | 58,01 | 4,61 |
Los coeficientes de Grundy y Kabaila [5] revelan que, en el primer forjado, los valores de los pasos de carga exceden la capacidad admisible en el primer piso. El coeficiente del puntal en el paso de carga N°1 es de 1,05, indicando que los puntales soportan el 0,05 del peso del forjado. A medida que las cargas disminuyen, puntales y forjado comienzan a trabajar en conjunto al subir de nivel, los coeficientes distribuyen carga entre los niveles clareados, cimbrados y descimbrados [21]. Al respecto Grundy y Kabaila [5] concluyen que su teoría no es aplicable debido al pandeo de los puntales, evidenciado en la Tabla 6, lo que implica un fallo estructural generalizado, como se puede observar en la Tabla 7 y en las Figura 13 y 14.
| N° | Pasos de Carga | Forjado | Grundy y Kabaila Modelo 1 | Grundy y Kabaila Modelo 2 | ||||
| Cp | Cf | Cf-1 | Cp | Cf | Cf-1 | |||
| 1 | Hormigonado 1 Forjado | F1 | 1,05 | -0,05 | 1,04 | -0,04 | ||
| 2 | Clareado 1 Forjado | F1 | 0,92 | 0,08 | 1,01 | -0,01 | ||
| 3 | Hormigonado 2 Forjado | F1 | 1,66 | 0,13 | 1,65 | 0,07 | ||
| F2 | 0,79 | 0,21 | 0,72 | 0,28 | ||||
| 4 | Clareado 2 Forjado | F1 | 1,64 | 0,11 | 1,62 | 0,08 | ||
| F2 | 0,75 | 0,25 | 0,70 | 0,30 | ||||
| 5 | Descimbrado 1 Forjado | F2 | 0,05 | 0,95 | 1,05 | 0,07 | 0,93 | 1,07 |
| 6 | Hormigonado 3 Forjado | F2 | 0,29 | 1,29 | 1,29 | 0,29 | 1,27 | 1,29 |
| F3 | 0,59 | 0,41 | 0,57 | 0,43 | ||||
| 7 | Clareado 3 Forjado | F2 | 0,28 | 1,28 | 1,28 | 0,28 | 1,27 | 1,28 |
| F3 | 0,56 | 0,44 | 0,56 | 0,44 | ||||
| 8 | Descimbrado 2 Forjado | F3 | 0,43 | 0,57 | 1,43 | 0,42 | 0,58 | 1,42 |
| 9 | Hormigonado 4 Forjado | F3 | 0,71 | 0,88 | 1,71 | 0,70 | 0,87 | 1,70 |
| F4 | 0,59 | 0,41 | 0,57 | 0,43 | ||||
| 10 | Clareado 4 Forjado | F3 | 0,71 | 0,86 | 1,71 | 0,69 | 0,86 | 1,69 |
| F4 | 0,56 | 0,44 | 0,55 | 0,45 | ||||
| 11 | Descimbrado 3 Forjado | F4 | 0,23 | 0,77 | 1,23 | 0,25 | 0,75 | 1,25 |
| 12 | Hormigonado 5 Forjado | F4 | 0,52 | 1,07 | 1,52 | 0,52 | 1,05 | 1,52 |
| F5 | 0,59 | 0,41 | 0,57 | 0,43 | ||||
| 13 | Clareado 5 Forjado | F4 | 0,51 | 1,05 | 1,51 | 0,51 | 1,05 | 1,51 |
| F5 | 0,57 | 0,43 | 0,56 | 0,44 | ||||
| 14 | Descimbrado 4 Forjado | F5 | 0,33 | 0,67 | 1,33 | 0,33 | 0,67 | 1,33 |
| 15 | Hormigonado 6 Forjado | F5 | 0,58 | 0,95 | 1,58 | 0,57 | 0,93 | 1,57 |
| F6 | 0,52 | 0,48 | 0,50 | 0,50 | ||||
| 16 | Clareado 6 Forjado | F5 | 0,73 | 1,09 | 1,73 | 0,62 | 1,21 | 1,62 |
| F6 | 0,83 | 0,17 | 0,83 | 0,17 | ||||
| 17 | Carga 6 Forjado | F5 | 0,73 | 1,09 | 1,73 | 0,62 | 1,21 | 1,62 |
| F6 | 0,83 | 1,26 | 0,83 | 0,17 | ||||
| 18 | Descimbrado 5 Forjado | F6 | 0,49 | 1,06 | 1,49 | 0,50 | 1,04 | 1,50 |


Los coeficientes de carga de Duan y Chen [7] en la Tabla 8 muestran una variación del 6% respecto a los de Grundy y Kabaila [5]. En el paso de carga N°1 del Modelo 1 en la Tabla 8, los puntales soportan el 100% de la carga de concreto, mientras que el forjado tiene una participación del 0 % debido a la falta de resistencia del concreto recién vaciado. El Modelo 2 no cumple con las solicitaciones debido a que los puntales exceden su capacidad admisible, lo que invalida cualquier análisis teórico. Se requiere un análisis estructural para mejorar la distribución de cargas o cambiar el cimbrado. Las Figuras 15 y 16 muestran visualmente cómo afecta el proceso constructivo y los coeficientes de carga obtenidos en el análisis previo.
| ` | Pasos de Carga | Forjado | Duan y Cheng Modelo 1 | Duan y Cheng Modelo 2 | ||||
| Cp | Cf | Cf-1 | Cp | Cf | Cf-1 | |||
| 1 | Hormigonado 1 Forjado | F1 | 1,00 | 0,00 | 1,06 | -0,06 | ||
| 2 | Clareado 1 Forjado | F1 | 0,72 | 0,28 | 1,03 | -0,03 | ||
| 3 | Hormigonado 2 Forjado | F1 | 1,44 | 0,56 | 1,60 | 0,15 | ||
| F2 | 1,00 | 0,00 | 0,75 | 0,25 | ||||
| 4 | Clareado 2 Forjado | F1 | 1,15 | 0,46 | 1,58 | 0,12 | ||
| F2 | 0,61 | 0,39 | 0,66 | 0,34 | ||||
| 5 | Descimbrado 1 Forjado | F2 | 0,24 | 0,76 | 1,24 | 0,11 | 0,89 | 1,11 |
| 6 | Hormigonado 3 Forjado | F2 | 0,32 | 1,32 | 1,32 | 0,27 | 1,22 | 1,27 |
| F3 | 0.63 | 0.37 | 0,56 | 0,44 | ||||
| 7 | Clareado 3 Forjado | F2 | 0.33 | 1,33 | 1,33 | 0,25 | 1,30 | 1,25 |
| F3 | 0,43 | 0,57 | 0,58 | 0,42 | ||||
| 8 | Descimbrado 2 Forjado | F3 | 0,32 | 0,68 | 1,32 | 0,40 | 0,56 | 1,40 |
| 9 | Hormigonado 4 Forjado | F3 | 0,66 | 0,95 | 1,66 | 0,69 | 0,90 | 1,69 |
| F4 | 0,75 | 0,25 | 0,59 | 0,41 | ||||
| 10 | Clareado 4 Forjado | F3 | 0,87 | 0,96 | 1,87 | 0,71 | 0,85 | 1,71 |
| F4 | 0,52 | 0,48 | 0,53 | 0,47 | ||||
| 11 | Descimbrado 3 Forjado | F4 | 0,16 | 0,84 | 1,16 | 0,26 | 0,74 | 1,26 |
| 12 | Hormigonado 5 Forjado | F4 | 0,41 | 1,00 | 1,41 | 0,22 | 1,02 | 1,22 |
| F5 | 0,67 | 0,33 | 0,54 | 0,46 | ||||
| 13 | Clareado 5 Forjado | F4 | 0,62 | 0,99 | 1,62 | 0,48 | 1,06 | 1,48 |
| F5 | 0,71 | 0,29 | 0,60 | 0,40 | ||||
| 14 | Descimbrado 4 Forjado | F5 | 0,49 | 0,51 | 1,49 | 0,31 | 0,69 | 1,31 |
| 15 | Hormigonado 6 Forjado | F5 | 0,55 | 0,93 | 1,55 | 0,61 | 0,95 | 1,61 |
| F6 | 0,56 | 0,44 | 0,51 | 0,49 | ||||
| 16 | Clareado 6 Forjado | F5 | 0,89 | 1,15 | 1,89 | 0,57 | 1,20 | 1,57 |
| F6 | 0,96 | 0,04 | 0,80 | 0,20 | ||||
| 17 | Carga 6 Forjado | F5 | 0,81 | 1,05 | 1,81 | 0,66 | 1,19 | 1,66 |
| F6 | 0,95 | 1,34 | 0,82 | 0,18 | ||||
| 18 | Descimbrado 5 Forjado | F6 | 0,33 | 1,00 | 1,33 | 0,55 | 1,01 | 1,55 |


4.2. Comparación de los Coeficientes de Carga
Los Modelos teóricos de Grundy y Kabaila [5], así como el de Duan y Chen [7] muestran coeficientes de carga similares en las Tablas 7 y 8, a pesar de diferencias en las solicitudes. En los Modelos 1 y 2 según Grundy y Kabaila, durante el proceso constructivo, los coeficientes varían según el paso de carga, destacando el exceso de carga en los puntales en el primer piso. La distribución de carga entre puntales y concreto depende de la edad del concreto, considerando la rigidez infinita del puntal según la teoría [22]. Los resultados de Duan y Chen [7] revelan que los coeficientes de carga varían según la edad del concreto y la rigidez de los puntales. En el paso de carga N°1 (Modelo 1), los puntales trabajan con un coeficiente de carga de 1, mientras que el forjado no soporta peso propio debido al concreto recién vaciado, dependiendo de la normativa ACI 209R [23] o el Eurocódigo [24] para adquirir resistencia con el tiempo. En contraste, el Modelo 2 exhibe errores, ya que los esfuerzos en los puntales superan la capacidad admisible en todos los niveles, invalidando la aplicación de las teorías [25].
4.3. Punto de Control
En el Modelo 1, se identificó un punto crítico de carga máxima en el cuadrante 1 de la estructura, donde la columna tiene menor sección y los puntales presentan mayor área tributaria, lo que resulta en una mayor carga axial debido a la configuración estructural y la distribución del cimbrado. Se ha tomado sólo las cargas del Modelo 1, ya que de acuerdo con los resultados del análisis por procesos constructivo es el Modelo más eficiente por sus características y distribución de cimbrado. En la Figura 17a se muestra las cargas máximas que se han obtenido de los diferentes pasos de carga. Como se puede observar en la zona de control se encuentra el puntal más cargado cerca de la columna esquinera, los resultados de la Tabla 5 fueron obtenidos justamente del punto de control. Ya que la estructura propuesta es regular, los valores de cada piso de acuerdo con el proceso constructivo se mantuvieron justamente en la esa misma zona. En la Figura 17b, se muestra la zona donde se encuentra el puntal que tiene la carga axial más crítica de 41,32 kN en el proceso de hormigonado.

Como se puede observar en la zona de control se encuentra el puntal más cargado cerca de la columna esquinera, los resultados de la Tabla 5 fueron obtenidos justamente del punto de control. Ya que la estructura propuesta es regular, los valores de cada piso de acuerdo con el proceso constructivo se mantuvieron justamente en la esa misma zona. En la Figura 17b, se muestra la zona donde se encuentra el puntal que tiene la carga axial más crítica de 41,32 kN en el proceso de hormigonado. Así también, en la misma zona se obtiene el valor de 48,86 kN en el nivel 4,50 m cuando se realiza el proceso de hormigonado del segundo forjado como se muestra en la Figura 18.

5. CONCLUSIONES
Los cronogramas de obra tienen un impacto significativo en la estructura, ya que afectan el proceso constructivo y el sistema de cimbrado. En el Modelo 1, los días planificados permitieron que el concreto ganara resistencia y que la estructura comenzara a soportar su propio peso y el de los puntales superiores. Sin embargo, en el Modelo 2, una mala distribución de los recursos resultó en esfuerzos que excedían la capacidad admisible según el catálogo de encofrados, lo que hizo inviable su realización.
Los coeficientes de Grundy-Kabaila y Duan-Chen son similares, ya que ambas teorías buscan calcular la carga en una estructura. Los resultados muestran cómo la carga aumenta según los pasos de carga; por ejemplo, un coeficiente de 1,01 indica que el forjado soporta su peso más una carga adicional. Un coeficiente de 0,00 indica que el forjado recién recibe el concreto y el sistema de cimbrado absorbe todo el peso. Es esencial contar con planos estructurales y diseño de cimbrado adecuado para edificaciones esenciales, mientras que un sistema con arriostramientos laterales muestra eficacia en la distribución de cargas. Los datos obtenidos en el Modelo 2 de Grundy-Kabaila y Duan-Chen son erróneos por el hecho de que al superar la capacidad admisible en todos sus niveles la distribución falla y no será posible realizar un análisis de coeficientes de cargar. La investigación permite entender cómo influyen los procesos constructivos frente a una edificación esencial.
6. FINANCIAMIENTO
Propio de los autores.
7. CONFLICTO DE INTERÉS
Los autores declaran no tener ningún conflicto de interés.
8. CONTRIBUCIÓN DE LOS AUTORES
Idea y conceptualización: G.D.; metodología: V.M., D.N., G.D.; software: V.M., D.N., G.D.; validación: V.M., D.N.; investigación: V.M., D.N., G.D.; redacción: V.M., D.N.; revisión: G.D.; supervisión: G.D.
9. REFERENCIAS
[1] M. Buitrago, “Optimización del Proceso de Construcción de Edificios de Forjados de Hormigón ‘in situ’ Mediante el Uso de Elementos de Control de Cargas en las Cimbras”, Tesis doctoral, Universidad Politécnica de Valencia, Valencia, 2018
[2] J. García, “Encofrados Para Losas y Forjados: Cimbrado, Descimbrado Parcial y Descimbrado Total”, Disponible en: https://www.alsina.com/es/encofrados-para-losas-y-forjados-cimbrado-descimbrado-parcial-y-descimbrado-total/, 2024
[3] G. Díaz, “Diseño Sísmico por Desempeño de Estructuras Esenciales Desplantadas en Suelos Blandos del Valle de México”, Tesis de Grado, Universidad Autónoma Metropolitana Azcapotzalco, México, 2013
[4] R. Martínez, “El Uso de la Cimbra en la Construcción”, Universidad Veracruzana Facultad De Ingeniería, Trabajo de Grado, México, 2011
[5] S. Gallego, “Fundamentos Teóricos de los Estudios de Apuntalamiento”, Jornada Cimbras España, 2018
[6] M. Dominguez y M. Cipagauta, “Influencia del Proceso Constructivo Sobre la Deflexión de Placas de Concreto Construidas con Sistemas Industrializados Manoportables.”, Tesis, Universidad Javeriana, Bogotá, 2014
[7] S. López, “Trasmisión de Cargas en Losas y Puntales Durante la Construcción de Edificios de Múltiples Plantas”, Tesis, Universidad de Piura, Perú, 2014
8] J. Castellanos y M. Peréz, “Estudio Técnico Económico de los Procesos de Cimbrado y Descimbrado de Edificaciones en Colombia Aplicando el Nuevo Procedimiento Simplificado”, Tesis, Universidad Javeriana, Bogotá, 2015
[9] E. Sánchez, “Diseño y Cálculo del Cimbrado y Encofrado de un Paso Superior con Tablero de Ala de Gaviota”, Trabajo de Grado, Universidad Carlos III de Madrid, 2012
[10] D. Guilcaso, S. Gordon, y D. Guerrero, “Estudio Comparativo Entre Estructuras Metálicas, Utilizando Riostras de Pandeo Restringido (BRB) y Disipadores (SLB)”, Green World Journal, vol. 6, núm. 1, pp. 057–057, 2023, doi: 10.53313/gwj61057
[11] Computer and Structures. Inc, “Etabs”. Disponible en: https://www.csiamerica.com/ products/etabs, 1975
[12] Plastex, “Casetones”, Disponible en: https://www.plastex.com.ec/productos/casetones-bovedillas/ , 2020
[13] Bagant, “Encofrados Para Losas”, Disponible en: https://www.bagant.com/index-mobile.php?idSeccion=398, 2023
[14] Bagant, “Catálogo General”, Disponible en: https://es.scribd.com/document/ 357909383/Catalogo-General-Bagant, 2023
[15] Novaworld, “Línea para Construcción”, Disponible en: https://novaworldsa.com/ productos/linea-de-construccion/#casetones, Ecuador, 2023
[16] C. Toledo y J. M. Prieto, Proceso Constructivo en Edificaciones”, Repositorio SENA, Colombia, 1989
[17] M. Buitrago, “Influencia del Empleo de Elementos de Control Descarga en los Puntales en la Construcción de Edificios de Forjados Consecutivos de Hormigón in situ Aplicación al Edificio de la Facultad de Bellas Artes de la Universidad Politécnica de Valencia”, Trabajo de Grado, España, 2012
[18] S. M., Merino Marín, “Estudio de la Influencia de la Secuencia de Cargas de Construcción en Edificaciones Irregulares en Altura”, Trabajo de Grado, Universidad del BIO BIO, Chile, 2008
[19] A. Sánchez Herrera, “MDC_ Modelado Digital de Procesos Constructivos Aplicación de Herramientas Digitales en Procesos Constructivos”, E-mail Educativo, 2005
[20] NEC 15, “Peligro Sísmico Diseño Sismo Resistente”, Norma ecuatoriana de la Construcción, Ecuador, 2015
[21] Y. Alvarado, “Estudio Experimental y Numérico de la Construcción de Forjados Hormigonados in situ Mediante Procesos de Cimbrado, Clareado y Descimbrado de Plantas Consecutivas”, Tesis doctoral, Editorial Universitat Politècnica de València. https://doi.org/10.4995/Thesis/10251/7285, 2009
[22] J. Adam, P. Calderón, y M. Buitrago, “Limitations of Grundy and Kabaila’s Simplified Method and Its Repercussion on the Safety and Serviceability of Successively Shored Building Structures”, Journal of Performance of Constructed Facilities, vol. 31, núm. 5, oct. 2017, doi: 10.1061/(asce)cf.1943-5509.0001038
[23] American Concrete Institute. y ACI Committee 209--Creep and Shrinkage., “Guide for Modeling and Calculating Shrinkage and Creep in Hardened Concrete”, American Concrete Institute, 2008
[24] J. Lahuerta-Vargas, “Los Eurocódigos de Estructuras”, Revista De Edificación, 6, 7-22. https://doi.org/10.15581/020.6.35075, 1989
[25] S. Castro y J. Castro, “Influencia de los Procesos Constructivos y la Temperatura Sobre las Fuerzas Internas (Momentos Máximos) y Deflexiones Máximas Instantáneas en Placas Unidireccionales Vaciadas en Sitio”, Tesis, Universidad Javeriana, Bogotá, 2016
Notas de autor