Avaliação da mortalidade de uma UTI de Sergipe segundo escore fisiológico agudo simplificado 3 (SAPS 3)
Assessment of mortality in a intensive care unit in Sergipe, according simplified acute physiology score 3 (SAPS 3)
Evaluación de la mortalidade en una Unidad de Cuidados Intensivos en Sergipe, según la puntuación fisiológica aguda simplificada (SAPS 3)
Avaliação da mortalidade de uma UTI de Sergipe segundo escore fisiológico agudo simplificado 3 (SAPS 3)
Revista de Epidemiologia e Controle de Infecção, vol. 10, núm. 1, pp. 59-65, 2020
Universidade de Santa Cruz do Sul

Recepción: 01 Agosto 2019
Aprobación: 20 Enero 2020
Resumo: Justificativa e Objetivos: A avaliação da gravidade dos pacientes admitidos e suposição de prognósticos são características essenciais na medicina intensiva. O objetivo desse artigo é descrever o perfil epidemiológico e avaliar a mortalidade dos pacientes de uma unidade de terapia intensiva (UTI), segundo o cálculo do índice prognóstico Simplified Acute Physiology Score (SAPS) 3 por meio da sua equação global e da customizada para a América Latina. Métodos: Trata-se de uma coorte prospectiva realizada em uma UTI de Sergipe, com os casos admitidos entre setembro de 2018 e março de 2019. Os dados clínicos, demográficos e parâmetros para o cálculo do escore foram coletados em prontuários. A Standardized Mortality Ratio (SMR), a discriminação e a calibração foram calculadas para ambas as equações. Resultados: Foram incluídos 78 pacientes, sendo 60% do sexo masculino. A idade média foi 61,7 ± 17,2 anos. As infecções respiratórias foram a principais causas de internação (32,1%). O menor valor do SAPS 3 foi 13 e o maior 90, média de 65,9 ± 25,5. A mortalidade observada foi de 61,5%, e a média presumida foi de 47,4% pela equação global (SMR= 1,3) e 57,8% pela customizada (SMR= 1,04). O SAPS 3 demonstrou adequadas discriminação e calibração. Conclusão: Foi identificada uma alta taxa de mortalidade no estudo, no entanto, a média do escore SAPS 3 encontrado também, foi superior à maioria das publicações. O perfil epidemiológico encontrado mostrou-se próximo aos de outras unidades semelhantes. Ambas as equações apresentaram calibração e discriminação adequadas, com desempenho superior da equação customizada.
Palavras-chave: Unidade de terapia intensiva, Mortalidade hospitalar, Epidemiologia, Índice de gravidade de doença, SAPS 3.
Abstract: Background and Objectives: Assessment of the severity of admitted patients and assumption of prognoses are essential features in intensive care medicine. To describe the epidemiological profile and evaluate the mortality of the patients admitted to a intensive care unit (ICU) according to the prognostic index Simplified Acute Physiology Score (SAPS) 3 calculation through its global and customized equation for Latin America. Methods: It is a prospective cohort performed at a ICU in Sergipe, with cases admitted between September 2018 and March 2019. The clinical and demographic data, besides the variables for the score calculation were collected in medical records. The Standardized Mortality Ratio (SMR), discrimination and calibration were calculated for both equations. Results: We included 78 patients, 60% of them male. The mean age was 61.7 ± 17.2 years. Respiratory infections were the main causes of hospitalization (32.1%). The lowest value of SAPS 3 was 13 and the highest 90, mean of 65.9 ± 25.5. The observed mortality rate was 61.5%, and the assumed average was 47.4% for the global equation (SMR = 1.3) and 57.8% for the customized (SMR = 1.04). SAPS 3 demonstrated adequate discrimination and calibration. Conclusion: A high mortality rate was identified in the study, however, the average SAPS 3 score found was also superior to most publications. The epidemiological profile observed was close to those of other similar units. Both equations presented adequate calibration and discrimination, the customized one showing superior performance.
Keywords: Intensive Care Units, Hospital Mortality, Epidemiology, Severity of illness index, SAPS 3.
Resumen: Justificación y Objetivos: La evaluación de la gravedad de los pacientes ingresados y la suposición de pronósticos son características esenciales en la medicina de cuidados intensivos. El objetivo de esta investigación es describir el perfil epidemiológico y evaluar la mortalidad de los pacientes de una unidad de cuidados intensivos (UCI) según el cálculo del índice de pronóstico de la puntuación de fisiología aguda simplificada 3 (SAPS 3) a través de su ecuación global y personalizada para América Latina. Método: Esta fue una cohorte prospectiva realizada en una UCI en Sergipe, con casos admitidos entre septiembre de 2018 y marzo de 2019. Los datos clínicos, demográficos y de parámetros para el cálculo de la puntuación se recopilaron en los registros médicos. La tasa de mortalidad estandarizada (SMR), la discriminación y la calibración se calcularon para ambas ecuaciones. Resultados: se incluyeron 78 pacientes, el 60% de ellos varones. La edad media fue de 61,7 ± 17,2 años. Las infecciones respiratorias fueron las principales causas de hospitalización (32,1%). El valor más bajo de SAPS 3 fue 13 y el más alto 90, promedio de 65.9 ± 25.5. La tasa de mortalidad observada fue de 61.5% y el promedio asumido fue de 47.4% para la ecuación global (SMR = 1.3) y de 57.8% para los personalizados (SMR = 1.04). Las SAPS 3 demostraron una adecuada discriminación y calibración. Conclusiones: Se identificó una alta tasa de mortalidad en el estudio, sin embargo, la puntuación promedio SAPS 3 encontrada también fue superior a la mayoría de las publicaciones. El perfil epidemiológico encontrado fue cercano al de otras unidades similares. Ambas ecuaciones presentaron una adecuada calibración y discriminación, con un rendimiento superior del personalizado.
Palabras clave: Unidad de cuidados intensivos, Mortalidad hospitalaria, Epidemiología, Índice de severidad de la enfermedad, SAPS 3.
INTRODUÇÃO
Uma Unidade de Terapia Intensiva (UTI) é dedicada a promoção da recuperação de doentes de risco ou graves por meio de recursos como suporte ventilatório, monitorização hemodinâmica e controle dos diversos sistemas orgânicos. Mais do que em outros setores dentro de um serviço hospitalar, uma UTI deve contar com a presença de uma equipe de enfermagem e médica em tempo integral, além de suporte multiprofissional de diversas especialidades como nutricionistas, psicólogos e fisioterapeutas1.
A avaliação de severidade de doenças e suposição de prognósticos são características essenciais na medicina intensiva. As primeiras iniciativas de criação de critérios objetivos para tentar traduzir, numericamente, estimativas do prognóstico dos pacientes iniciaram-se na década de 1980. A partir de então, a adoção de tais fundamentos tornou-se importante aspecto da avaliação clínica, além de análises acerca de custos/benefícios e desempenho das UTI’s.2–4
Para avaliação do doente em UTI, foram descritos diferentes índices prognósticos dentre os quais destacam-se: o AcutePhysiology and Chronic Health Evaluation (APACHE), o Mortality Probability Model (MPM), o Sepsis-related Organ Failure Assessment (SOFA) e o Simplified Acute Physiological Score (SAPS). O SAPS teve sua primeira versão publicada em 1984, sendo revisado 10 anos mais tarde, surgindo assim o SAPS2, validado utilizando dados de UTI’s clínicas e cirúrgicas, em 12 países. Uma nova versão deste índice, o SAPS3, foi publicada em 2005, baseado em uma coorte prospectiva com 16.784 doentes de todos os continentes.5-9
Nos últimos anos, muitas pesquisas foram desenvolvidas validando e aplicando o escore SAPS 3 como referencial de avaliação prognóstica em diversas UTIs de diferentes continentes. No Brasil, os dados necessários para o cálculo do índice são obrigatoriamente coletados para compor uma base de dados clínicos e epidemiológicos, conforme recomendações da Agência Nacional de Vigilância Sanitária (ANVISA) e da Associação de Medicina Intensiva Brasileira (AMIB).3,5,6,10-19
As taxas de mortalidade ajustadas com base nas predições de mortalidade fornecidas por escores prognósticos vêm sendo cada vez mais utilizadas para avaliar a qualidade do cuidado fornecido por diferentes serviços. Em países como Reino Unido, Austrália e Nova Zelândia, projetos bem-sucedidos de base de dados contribuíram para a melhoria da qualidade assistencial6.
Este estudo objetiva descrever o perfil epidemiológico e avaliar a mortalidade dos pacientes de uma unidade de terapia intensiva (UTI), segundo o cálculo do índice prognóstico Simplified Acute Physiology Score (SAPS) 3 por meio da sua equação global e da customizada para a América Latina.
MÉTODOS
Trata-se de um estudo observacional, tipo coorte prospectiva, realizado em uma Unidade de Terapia Intensiva Adulto (UTI-A) de um hospital universitário, gerido pela Empresa Brasileira de Serviços Hospitalares (Ebserh), no município de Lagarto, na região centro-oeste do estado de Sergipe. O hospital possui 130 leitos, sendo 12 de UTI-A, dos quais dois são de isolamento. A unidade é destinada à assistência a pacientes clínicos e cirúrgicos com idade acima de 14 anos.
Foram incluídos no estudo todos os pacientes admitidos na UTI no período de 04 de setembro de 2018 a 04 de março de 2019. Foram excluídos pacientes com idade inferior a 18 anos, permanência na UTI por período inferior a 24 horas, readmissões e, também, aqueles sem desfecho hospitalar (alta ou óbito) até 30 dias após o período do estudo.
Os dados foram coletados na admissão na unidade com os parâmetros necessários para o cálculo da pontuação do escore SAPS 3, composto por 20 variáveis. Para cada variável analisada confere-se um peso. O escore leva em conta a média aritmética das variáveis distribuídas em três categorias. Na primeira, são contempladas as condições prévias à admissão do paciente na UTI, bem como as características dessa admissão (idade, comorbidades, tempo prévio de permanência hospitalar, setor de procedência hospitalar do paciente e uso prévio de drogas vasoativas). Na segunda, a causa e a eletividade ou não da internação, presença e tipo de infecção, além da localização anatômica do procedimento cirúrgico são analisadas. Por último, constam as variáveis fisiológicas: escala de coma de Glasgow, bilirrubina sérica, plaquetas, creatinina, leucócitos pH, oxigenação, frequência cardíaca, temperatura e pressão arterial sistólica. Para todos os internamentos incluídos foi calculado o escore, correlacionando este valor com a taxa de óbitos observada e a esperada, segundo as equações deste índice9.
O banco de dados foi organizado no Excel 2007 Microsoft Corporation, onde foram realizados os cálculos dos indicadores e confecção de gráficos e tabelas. Para a análise das variáveis foram utilizadas a média e o desvio padrão, percentagens e frequências, comparando os sobreviventes e os que evoluíram para óbito, com intervalo de confiança de 95% (IC95%). A análise estatística foi realizada no software livre R.
Foi calculada a razão de mortalidade padronizada, a Standardized Mortality Ratio (SMR), que é a relação entre a mortalidade observada na UTI avaliada e a prevista pelo SAPS 3. A SMR < 1 significa que o escore superestimou a realidade enquanto valores > 1 indicam a subestimação da mortalidade encontrada.
A performance do escore foi obtida por meio do cálculo da discriminação e da calibração. A discriminação é a habilidade do modelo em distinguir os pacientes que irão sobreviver daqueles que irão a óbito e é calculada através da Area Under the Receiver Operating Characteristics (AUROC), a área abaixo da curva ROC garante a capacidade discriminatória do escore avaliado. Tal curva se forma a partir da sensibilidade (predição de óbito) e da especificidade (predição de alta) dos pacientes avaliados. A AUROC = 1 representa um teste com capacidade discriminatória perfeita com 100% de sensibilidade e especificidade. Uma AUROC = 0,5 mostra que a discriminação não é melhor que uma chance ao acaso, valores iguais ou maiores a 0,7 e menores que 0,8, uma discriminação aceitável, quando acima de 0,8 e menor que 0,9, discriminação excelente e quando igual ou acima de 0,9 representa uma discriminação excepcional.
A calibração foi calculada a partir do teste qui quadrado de Hosmer-Lemeshow (teste de goodness-of-fit) que obtém o resultado dos óbitos observado pelos esperados. Valores de p > 0,05 indicam que o instrumento descreveu bem a mortalidade observada, ou seja, calibração adequada. Um p ≤ 0,05 indica discrepância significativa entre o previsto e o observado, ou seja, calibração inadequada.20
O estudo foi submetido ao Comitê de Ética e Pesquisa da Universidade Federal de Sergipe, com o CAAE 07025019.6.000.5546, sendo aprovado com o parecer 3.210.335, atendendo a Resolução nº 466/2012 do Conselho Nacional de Saúde.
RESULTADOS
Dos 90 pacientes admitidos na UTI no período, 12 foram excluídos. Entre os motivos de exclusão, um tinha idade < 18 anos, três tiveram permanência inferior a 24 horas, três foram transferidos para outro hospital e cinco não tiveram desfecho hospitalar até um mês após o período do estudo.
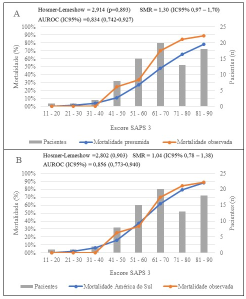
A mortalidade observada foi de 61,5%, a mortalidade prevista pelo SAPS 3 pela equação global foi de 47,4% e pela equação customizada para a América Latina foi de 57,8%. Sendo assim, a SMR em relação a equação geral foi igual a 1,30 (IC95% 0,97 – 1,70) e para a equação customizada foi de 1,04 (IC95% 0,78 – 1,38).
A média de idade dos pacientes foi 61,7 ± 17,2 anos, sendo significativamente maior nas pessoas que evoluíram para óbito (66,5 ± 15,4 anos). O tempo de permanência média hospitalar foi de 25,7 ± 20,7 dias e na UTI de 17,5 ± 16,8 dias. A média do índice SAPS 3 foi de 65,9, sendo significativamente mais alta nos evoluíram para óbito (73,8 ± 11,7) em relação aos sobreviventes (54,4 ± 15,8) (tabela 1).

A maioria (59,0%) tinha 60 anos ou mais, sendo esta a faixa etária com maior risco de óbito (RR = 2,1). A maioria dos pacientes (70,5%) foi oriunda de enfermarias ou Pronto Socorro, e apresentaram uma mortalidade 2,1 vezes maior do que aqueles que vieram do centro cirúrgico (tabela 2).

Os quadros clínicos infecciosos foram responsáveis por 34 internações na UTI, sendo 25 infecções respiratórias. O abdome agudo (16,7%), segundo principal motivo de internação, e o politrauma (9%) destacam-se entre os diagnósticos cirúrgicos (tabela 3).

Metade da população estudada fez uso de droga vasoativa, sendo nesses a maior mortalidade (76,9%) (tabela 4).

A AUROC para a curva relacionada à equação global foi de 0,834 (IC95% 0,742-0,927) e para a equação customizada 0,856 (IC95% 0,733-0,940), demonstrando uma discriminação excelente pelo modelo para as duas equações. A calibração segundo o teste de Hosmer-Lemeshow foi obtida tanto para a equação global (2,914 e p= 0,893) quanto para a customizada (2,802 e p= 0,903), demonstrado calibração adequada (figura 1).

Legenda: SMR- Standardized Mortality Ratio; AUROC- Area Under the Receiver Operating Characteristics; IC95%- Intervalo de confiança 95%; SAPS 3- Simplified Acute Physiology Score 3.
DISCUSSÃO
No Brasil, a maior base de dados de pacientes críticos é parte do projeto UTIs brasileiras idealizado pela AMIB em conjunto com a Epimed Solutions®. Segundo dados do Epimed Monitor®, até o fim de janeiro de 2019 o projeto está presente em 136 cidades distribuídas pelo território nacional abrangendo mais de 470 hospitais, 891 UTIs, 14.530 leitos, cobrindo mais de 30% de todos os leitos de UTI para adultos no Brasil.6,21
A população estudada apresenta a heterogeneidade inerente às UTIs adultas não especializadas. Características demográficas dos pacientes como sexo, cor/raça e idade se mostraram equivalentes aos de unidades de perfil semelhante. Com relação a idade, houve um notável predomínio de pacientes com idade acima de 60 anos (59%), única faixa etária que apresentou risco relativo com influência evidente para o resultado.10,17,21
A média de permanência na UTI (17,5 dias) quanto de permanência hospitalar (25,7 dias) estão acima das médias demonstradas em outros estudos em UTI ou daquelas demonstradas pelo Epimed Monitor. para UTIs nacionais públicas.14,17,18
A principal causa de internação foram causas infecciosas, em especial infecções respiratórias que representaram praticamente um terço da amostra, sendo também a causa com maior mortalidade (84%). O risco dobrado de morte dos pacientes oriundos das enfermarias/pronto socorro em relação aos provenientes do centro cirúrgico apontam para uma relevância considerável da procedência no desfecho dos pacientes, fato que é levado em conta no cálculo do escore prognóstico escolhido para a análise no estudo.6,9,19,21
As UTI’s modernas utilizam uma grande parcela dos recursos de saúde, devido a necessidade de tecnologia avançada para diagnóstico e assistência que demandam os pacientes críticos. O cálculo de escores prognósticos aplicados a determinação da severidade de doenças é fator fundamental na análise de custo-benefício e desempenho dessas unidades.22
Pela praticidade do cálculo do índice SAPS 3, sugere-se que ele possa ser introduzido nas rotinas de UTIs para identificar os pacientes com maior probabilidade de morte, auxiliando na análise da mortalidade e gravidade dos pacientes internados. A mortalidade de 61,5% encontrada no estudo é consideravelmente superior a outras publicações e a demonstrada pelo Epimed Monitor. tanto para UTIs mistas (20,34%), o dado ganha maior notoriedade quando comparado com a mortalidade geral das unidades contempladas pelo sistema (10,65%).6,10,17,19,21,23,24
É fundamental ressaltar que a gravidade dos pacientes admitidos pelo serviço também é maior quando comparadas as mesmas publicações e base de dados. A metade da população estudada fez uso de drogas vasoativa antes da admissão na UTI e mais e 80,7% foi submetida a ventilação mecânica, intervenções que demonstraram grande impacto no desfecho dos pacientes fato já notado no próprio desenvolvimento do SAPS 3, uma vez que, juntamente com a procedência, são variáveis que atribuem pontuação elevada na avaliação da severidade de doença. O percentual de utilização dos suportes invasivos em unidades públicas é de 45,36% e 25,4% para ventilação mecânica e uso de aminas vasoativas respectivamente.9,21
Os índices de uso dessas intervenções refletem-se na elevada pontuação média (65,9) e na mortalidade média presumida pelo escore (47,4% para a equação global e 57,8% para a equação customizada para a América Latina) enquanto os dados nacionais mais recentes apontam para um SAPS 3 médio de 47,1 em unidades públicas e 45,28 para unidades mistas com mortalidade presumida média de 18,18% e 22,48% respectivamente. Tal fato explicita a necessidade de estudos posteriores acerca da assistência e processos relacionados a condições anteriores à admissão dos pacientes na UTI do serviço.21
A razão padronizada de morte foi calculada dividindo a taxa de mortalidade observada pela predita. O valor de 1,3 de SMR configura uma subestimação da mortalidade real por parte do SAPS 3 calculado pela equação global, todavia, observa-se conformidade entre o dado encontrado e aquele relacionado à UTIs públicas analisadas pela maior base de dados nacionais que nos últimos anos variou entre 1,44 e 1,5. A razão padronizada de 1,04 evidência a superioridade da equação customizada em descrever o comportamento da curva de mortalidade observada no serviço, com as duas curvas apresentando a mesma tendência à exceção de quando o SAPS 3 encontra-se no intervalo 51-60 onde há discreta dessincronia. Tal superioridade da equação adaptada a realidade latino americana foi demonstrada também em outras pesquisas similares.17,21,23,24
A partir da AUROC foi realizada a discriminação do estudo, isto é, entre as mortes preditas foi conferida uma maior probabilidade de não sobreviventes em relação aos sobreviventes. No presente trabalho, a AUROC atribuída ao escore calculado por sua equação global e a relacionada a equação customizada para a América Latina apresentou uma excelente discriminação, valor próximo ao encontrado em outros estudos de validação. 5,12,23,24
O teste qui quadrado de Hosmer- Lemeshow, tanto para a equação global (2,914 e p= 0,893) quanto para a customizada (2,802 e p= 0,903) evidenciou boa calibração, com melhor adequação da última para a população estudada semelhante ao encontrado em estudos semelhantes. Tal fato diverge do que atesta Moralez et al, que preconiza que a equação customizada para a América Latina não deve mais ser utilizada, no entanto, cerca de 90% dos hospitais incluídos no estudo eram privados diferente da realidade do serviço analisado no presente trabalho.12,17,20,23,24
É fundamental ressaltar que, apesar do avanço desenvolvido na área dos escores prognósticos, o uso de tais índices tem limitações, tendo em vista que são instrumentos com utilidade reconhecida na estratificação do risco de pacientes críticos, mas inadequados para análise individual, não devendo ser utilizados para orientar o início ou suspensão de intervenções terapêuticas de um determinado paciente.14
Apesar de ter sido demonstrado que o sistema SAPS 3 apresentou bom poder discriminatório e de calibração, nosso estudo apresenta limitações. Foi realizado em uma única unidade, sujeito há possíveis vieses relacionados ao tipo de paciente e tratamento recebido. Além disso, o tamanho da amostra pode ocultar falhas na calibração.
O estudo identificou uma taxa de mortalidade na UTI estudada superior a diversos estudos, podendo ser atribuída tanto a fatores operacionais relacionados a assistência em saúde como ao perfil clínico-epidemiológico dos pacientes admitidos. É importante ressaltar que a média do escore prognóstico utilizado foi mais elevada que a outros estudos em UTI-A não especializada, sendo influenciada pela maior permanência hospitalar e maior percentual de uso de intervenções, como ventilação mecânica e drogas vasoativas prévio à admissão na UTI, atestando uma maior gravidade dos pacientes admitidos pela unidade.6,9,10
Este trabalho demonstrou que o uso de características clínicas e epidemiológicas do paciente no momento da admissão na UTI teve uma boa capacidade de diferenciar entre sobreviventes e não sobreviventes. Tanto a equação global como a customizada para a América Latina apresentaram boa calibração e discriminação, com a última mostrando-se mais adequada para a população do serviço analisado.
REFERÊNCIAS
1. Ministério da Saúde. (BR). Resolução-RDC n 7, de 24 de fevereiro de 2010. Dispõe sobre os requisitos mínimos para funcionamento de Unidades de Terapia Intensiva e dá outras providências. [Internet]. Diário Oficial da União 2010 p. 48. http://bvsms.saude.gov.br/bvs/saudelegis/anvisa/2010/res0007_24_02_2010.html
2. Knaus WA, Draper EA, Wagner DP, Zimmerman JE. APACHE II: a severity of disease classification system. Crit Care Med. Outubro de 1985;13(10):818–29.
3. Knaus WA, Zimmerman JE, Wagner DP, Draper EA, Lawrence DE. APACHE Acute Physiology and chronic health evaluaion physiologically based classification system. Crit Care Med. Agosto de 1981;9(8):7.
4. Moreno RP. Outcome prediction in intensive care: why we need to reinvent the wheel. Curr Opin Crit Care. 2008;14(5):483–4. http://dx.doi.org/10.1097/MCC.0b013e328310dc7d
5. Moreno R, Tonella RM, Logato CM, de Figueiredo LC, Silva FP, Barros AG de A, et al. The prognostic accuracy evaluation of SAPS 3, SOFA and APACHE II scores for mortality prediction in the surgical ICU: ver external validation study and decision-making analysis. Ann Intensive Care [Internet]. 2019;9(1). http://dx.doi.org/10.1186/s13613-019-0488-9
6. Zampieri FG, Soares M, Borges LP, Figueira Salluh JI, Ranzani OT. The Epimed Monitor ICU Database®: A cloud-based national registry for adult intensive care unit patients in Brazil. Rev Bras Ter Intensiva. 2017;29(4):418–26. http://dx.doi.org/10.5935/0103507X.20170062
7. Keegan MT, Soares M. What every intensivist should know about prognostic scoring systems and risk-adjusted mortality. Rev Bras Ter Intensiva. 2016;28(3):264–9. http://dx.doi.org/10.5935/0103-507X.20160052
8. Le Gall JR, Loirat P, Alperovitch A, Glaser P, Granthil C, Mathieu D, et al. A simplified acute physiology score for ICU patients. Crit Care Med. Novembro de 1984;12(11):975–7. http://dx.doi.org/10.1097/00003246-198411000-00012
9. Moreno RP, Metnitz PGH, Almeida E, Jordan B, Bauer P, Campos RA, et al. SAPS 3–From evaluation of the patient to evaluation of the intensive care unit. Part 2: Development of a prognostic model for hospital mortality at ICU admission. Intensive Care Med. Outubro de 2005;31(10):1345–55. http://dx.doi.org/10.1007/s00134-005-2763-5
10. Serpa Neto A, Assunção MSC de, Pardini A, Silva E. Feasibility of transitioning from APACHE II to SAPS III as prognostic model in a Brazilian general intensive care unit. A retrospective study . Vol. 133, São Paulo Med Journal . scielo ; 2015. P. 199–205. http://dx.doi.org/10.1590/1516-3180.2013.8120014
11. Ho KM, Williams TA, Harahsheh Y, Higgins TL. Using patient admission characteristics alone to predict mortality of critically ill patients: A comparison of 3 prognostic scores. J Crit Care [Internet]. 2016;31(1):21–5. http://dx.doi.org/10.1016/j.jcrc.2015.10.019
12. Moralez GM, Rabello LSCF, Lisboa TC, Lima M da FA, Hatum RM, De Marco FVC, et al. External validation of SAPS 3 and MPM 0 -III scores in 48,816 patients from 72 Brazilian ICUs. Ann Intensive Care. 2017;7(1). http://dx.doi.org/10.1186/s13613-017-0276-3
13. Haniffa R, Isaam I, De Silva AP, Dondorp AM, De Keizer NF. Performance of critical care prognostic scoring systems in low and middle-income countries: A systematic review. Crit Care. 2018;22(1):1–22. http://dx.doi.org/10.1186/s13054-017-1930-8
14. Alves CJ, Franco GPP, Nakata CT, Costa GLG, Costa GLG, Genaro MS, et al. Avaliação de índices prognósticos para pacientes idosos admitidos em unidades de terapia intensiva. Rev Bras Ter Intensiva. 2009;21(1):1–8. http://dx.doi.org/10.1590/S0103-507X2009000100001
15. Evran T, Serin S, Gurses E, Sungurtekin H. Various scoring systems for predicting mortality in Intensive Care Unit. Niger J Clin Pract. 2016;19(4):530–4. http://dx.doi.org/10.4103/1119-3077.183307
16. Hernandez AMR, Palo JEM. Performance of the SAPS 3 admission score as a predictor of ICU mortality in a Philippine private tertiary medical center intensive care unit. J Intensive Care. 2014;2(1):1–5. http://dx.doi.org/10.1186/2052-0492-2-29
17. Bueno HL, Francisco J, Biatto P. Epidemiologia e validação de escore prognóstico em UTI mista do norte do Paraná. Rev Uningá [Internet]. 2015;22(3):23–9. http://revista.uninga.br/index.php/uningareviews/article/view/1632
18. Kapoor D, Srivastava M, Singh J, Aggarwal K, Singh M. Prognostic applicability of simplified acute physiology score (saps 3) in critically ill adult surgical patients in a tertiary Indian hospital: A preliminary study. Indian J Clin Anaesth. 2018;5(1):114–9. http://dx.doi.org/10.18231/2394-4994.2018.0019
19. Lobo SM, Rezende E, Mendes CL, Oliveira MC de. Mortality due to sepsis in Brazil in a real scenario: the Brazilian ICUs project. Rev Bras Ter intensiva [Internet]. 2019. http://www.ncbi.nlm.nih.gov/pubmed/30916234
20. Lemeshow S, Hosmer DWJ. A review of goodness of fit statistics for use in the development of logistic regression models. Am J Epidemiol. Janeiro de 1982;115(1):92–106.
21.Projeto UTIs brasileiras. Características das UTIs Participantes – UTI Adulto – UTIs Brasileiras [Internet]. [citado 10 de abril de 2019]. Available at: : http://dx.doi.org/10.1093/oxfordjournals.aje.a113284
22. Kerlin MP, Cooke CR. Understanding Costs When Seeking Value in Critical Care. Ann Am Thorac Soc. 2015;12(12):1743–4. http://dx.doi.org/10.1513/AnnalsATS.201510-660ED
23. Soares M, Salluh JIF. Validation of the SAPS 3 admission prognostic model in patients with cancer in need of intensive care. Intensive Care Med. 2006;32(11):1839–44. Available at: http://dx.doi.org/10.1007/s00134-006-0374-4
24. Silva Junior JM, Malbouisson LMS, Nuevo HL, Barbosa LGT, Marubayashi LY, Teixeira IC, et al. Aplicabilidade do escore fisiológico agudo simplificado (SAPS 3) em hospitais brasileiros. Rev Brasileira de Anestesiologia; 2010; 60:20–31. http://dx.doi.org/10.1590/S0034-70942010000100003