Investigación en Educación
Inteligencia lógico matemático y rendimiento académico en estudiantes de la Facultad Ingeniería Civil – UNCP
Yupay allikay yaćhayniyu yaćhaykap atipayninwan yaćchapakukunap Civil Inhinirya Facultadinninćhu - UNCP
Mathematical logical intelligence and academic performance in students of the Faculty of Civil Engineering - UNCP
Inteligência lógico- matemática e desempenho acadêmico em estudantes da Faculdade de Engenharia Civil - UNCP
Inteligencia lógico matemático y rendimiento académico en estudiantes de la Facultad Ingeniería Civil – UNCP
Horizonte de la Ciencia, vol. 7, núm. 13, pp. 139-148, 2017
Universidad Nacional del Centro del Perú

Recepción: 17 Agosto 2017
Aprobación: 27 Octubre 2017
Resumen: La investigación surge de la interrogante ¿Qué relación existe entre la inteligencia lógico matemático y el rendimiento académico en los estudiantes de la Facultad de Ingeniería Civil de la UNCP? El tipo de investigación fue el descriptivo, con un diseño correlacional. Para la medición de la inteligencia lógico matemático se aplicó una prueba pedagógica y para el rendimiento académico se utilizó la base de datos de la Facultad de Ingeniería Civil de la UNCP semestre 2016-II. El análisis de datos se realizó con la estadística descriptiva, correlacional “r” Pearson e inferencial la prueba “t” de student, resultando que la tc (t calculada) fue mayor que la tt (t de tabla), aceptando la hipótesis alterna y rechazando la hipótesis nula. La muestra estuvo constituido por 91 estudiantes de la Facultad de Ingeniería Civil de la UNCP seleccionado con un muestreo probabilístico, concluyendo que la inteligencia lógico matemático, presenta una correlación positiva alta con el rendimiento académico.”.
Palabras clave: Inteligencia, matemática, nteligencia lógica matemática y desempeño académico.
Abstract: The research arises from the question: What is the relationship between logical mathematical intelligence and academic achievement in students of the Faculty of Civil Engineering of the UNCP? The research was the descriptive, correlational design. For the measurement of the mathematical logical intelligence a pedagogical test was applied and for the academic performance the database of the Faculty of Civil Engineering was used. Data analysis was performed using descriptive statistics, correlation "r" Pearson and inferential proof "t" student. The sample consisted of 91 students from the Faculty of Civil Engineering of the UNCP selected with a probability sample, concluding that logical mathematical intelligence, has a high positive correlation with academic performance.
Keywords: Intelligence, Mathematics, mathematical logic intelligence and academic performance.
Resumo: A pesquisa surge da interrogação, qual é a relação existente entre a inteligência lógico- matemática e o rendimento acadêmico nos estudantes da Faculdade de Engenharia Civil da Universidad Nacional del Centro del Perú (UNCP). O modelo da pesquisa foi o descritivo, de tipo correlacional. Para a medição da inteligência lógico-matemática se aplicou uma prova pedagógica e para o desempenho acadêmico foi utilizado a base de dados da Faculdade de Engenharia Civil da UNCP semestre 2016-II. A análise dos dados foi realizada utilizando estatística descritiva correlacional "r" Pearson e inferencial, la prova "t" student; deu como resultado que a tc (t calculada) foi maior que la tt (t de tabua), aceitando a hipotese alterna e rejeitando a hipotese nula. A amostra consistiu de 91 alunos da Faculdade de Engenharia Civil da UNCP selecionados com uma amostragem probabilística, concluindo que a inteligência lógico-matemática, apresenta uma correlação positiva alta com o desempenho acadêmico.
Palavras-chave: inteligência, matemática, inteligência lógicomatemática e desempenho acadêmico.
Palabras clave Yaćhaykaa, yupakap, Yupay allikay yaćhayniyu yaćhaykap atipayninwan
Introducción
La inteligencia lógica menciona Gardner (1999) se concibe como el uso de la competencia cognitiva para operar con proposiciones, de tal forma que partiendo de lo conocido o de lo que se cree dominar en términos de operación mental el sujeto pueda ir a lo desconocido cuyos elementos sean previsiblemente homólogos o equivalentes. Esta capacidad dicen Antunes (2004) constituye un elemento central para la resolución de problemas, y resulta esencial en el desarrollo y fortalecimiento del razonamiento, la deducción y en general el pensamiento abstracto.
Por otro lado agrega Antunes (2004), aunque no sea la única, la matemática emerge como un campo de experimentación privilegiado para el desarrollo del pensamiento lógico; todo ello ha hecho relacionar desde siempre, pensamiento lógico y el rendimiento matemático, así mismo Gardner (1999) menciona que los estudiantes que manifiestan un alto nivel en el dominio matemático, disfrutan especialmente con operaciones que involucran números, les atrae enormemente combinarlos y emplear fórmulas para ello y sienten curiosidad y placer por los problemas no resueltos que excitan su curiosidad, explorando y experimentando con ellos.
Frente a lo expuesto, la presente investigación tiene por finalidad determinar la relación que existe entre la inteligencia lógico matemático y el rendimiento académico en los estudiantes de la Facultad de Ingeniería Civil de la UNCP.
El contenido del estudio se ha organizado en cinco partes: El primero está referido sobre el planteamiento del problema su caracterización y su formulación, el objetivo general y los específicos; la segunda parte presenta el marco teórico, el planteamiento de la hipótesis las variables y su respectiva operacionalización. La tercera parte está constituido por la metodología de la investigación, el tipo, nivel y diseño de investigación; el cuarto presenta el trabajo de campo y proceso de contraste de la hipótesis. Y por último el quinto y último capítulo se detalla la discusión de resultados acorde a los antecedentes y la teoría de la investigación. Para luego redactar las conclusiones, recomendaciones, bibliografía y anexos.
Se ha encontrado que la inteligencia lógico matemático, presenta una relación directa, estadísticamente significativa y de magnitud moderada con el rendimiento académico general.
Bases teóricas
Mendoza (2006). En su tesis de maestría “La relación entre inteligencia emocional y rendimiento académico de los estudiantes de la Facultad de Ciencias Naturales y Matemáticas de la Universidad Nacional Federico Villarreal” y. estableció que; existe una correlación positiva alta lo que significa que la relación entre la inteligencia emocional y el rendimiento académico en los estudiantes de la Facultad de Ciencias Naturales de la Universidad Nacional Federico Villarreal es directamente proporcional. Y en (2008) la misma autora en su tesis doctoral investigó la relación entre inteligencias múltiples y rendimiento académico en los estudiantes de la Escuela Profesional de Matemática y Estadística de la Facultad de Ciencias Naturales y Matemática de la Universidad Nacional Federico Villarreal y de la misma manera ratificó que existe una correlación positiva alta lo que significa que la relación entre las inteligencias múltiples y el rendimiento académico en los estudiantes de la Escuela Académico Profesional de Matemática y Estadística de la Facultad de Ciencias Naturales de la Universidad Nacional Federico Villarreal es directamente proporcional.
Ortega (2011) en Chile presenta una investigación titulada “La relación entre la Inteligencia lógica y rendimiento académico en matemáticas: un estudio con estudiantes de Educación Básica y Secundaria de Chile”. Del mismo modo, y concordante con la hipótesis respecto de la edad, logró comprobar la hipótesis referida a que el nivel de inteligencia lógica de los estudiantes es superior según aumentan de nivel educativo. De los análisis precedentes, se puede establecer que efectivamente hay diferencias significativas entre los puntajes medios alcanzados por los grupos de estudiantes en función del curso al cual asisten, observándose un incremento paulatino a medida en que estos avanzan en nivel de escolaridad. Así mismo en el mencionado trabajo de investigación se comprobó que. Existe una correlación significativa de carácter directamente proporcional entre el desempeño general y el puntaje alcanzado en el test de inteligencia lógica, y también en el desempeño en matemática y el puntaje del TILS (Test de inteligencia lógica superior). Es decir, aquellos alumnos que presentan buenos rendimientos académicos generales tienden a obtener mayores puntajes en el test de inteligencia lógica, al igual que aquellos que presen-tan buenos rendimientos en matemática, lo que corrobora la hipótesis inicial.
Inteligencias múltiples de Howard Gardner
Antunes (2004) dice que “La teoría de las inteligencias múltiples es un modelo propuesto por Howard Gardner en el que la inteligencia no es vista como algo unitario, que agrupa diferentes capacidades específicas con distinto nivel de generalidad, sino como un conjunto de inteligencias múltiples, distintas e independientes” (p. 12). Gardner (1999) define la inteligencia como la capacidad cerebral por la cual conseguimos penetrar en la comprensión de las cosas eligiendo el mejor camino, mientras que Antunes (2004) define inteligencia como un producto de una operación cerebral. Y Gardner (1999) desarrolla inteligencia como la formación de ideas, el juicio y el razonamiento son frecuentemente señala dos como actos esenciales de la inteligencia como facultad de comprender Primero, amplía el campo de lo que es la inteligencia y reconoce lo que se sabía intuitivamente: Así mismo Antunes (2004) menciona que la brillantez académica no lo es todo. A la hora de desenvolverse en la vida no basta con tener un gran expediente académico. Hay gente de gran capacidad intelectual pero incapaz de, por ejemplo, elegir ya bien a sus amigos; por el contrario, hay gente menos brillante en el colegio que triunfa en el mundo de los negocios o en su vida personal. Del mismo modo Gardner (1999) hace mención que triunfar en los negocios, o en los deportes, requiere ser inteligente, pero en cada campo se utiliza un tipo de inteligencia distinto. No mejor ni peor, pero sí distinto. Así mismo Antunes (2004) hace referencia que, Einstein no es más ni menos inteligente que Michael Jordan, simplemente sus inteligencias pertenecen a campos diferentes. Segundo, y no menos importante, Gardner (1999) define la inteligencia como una capacidad. Donde Orellana (2005) indica que hasta hace muy poco tiempo la inteligencia se consideraba algo innato e inamovible. Tanto así que estudios anteriores decían que se nacía inteligente o no, y la educación no podía cambiar ese hecho. Tanto es así que en épocas muy cercanas a los deficientes psíquicos no se les educaba, porque se consideraba que era un esfuerzo inútil. Gardner (1999) añade que así como hay muchos tipos de problemas que resolver, también hay muchos tipos de inteligencia. Hasta la fecha Howard Gardner y su equipo de la Universidad Harvard han identificado ocho tipos distintos.
Inteligencia lógico matemático
Gardner (1999) claramente hace mención que los seres humanos que dotan de este tipo de inteligencia, el proceso de resolución de problemas a menudo es extraordinariamente rápido: y Antunes (2004) Hace referencia que los investigadores competentes maneja simultáneamente muchas variables y crea numerosas hipótesis que son evaluadas sucesivamente y posteriormente son aceptadas o rechazadas y son los quizás tienen altamente desarrollado este tipo de inteligencia. Del mismo modo Gardner (1999) menciona que es importante puntualizar la naturaleza no verbal de la inteligencia matemática. Y Antunes (2004) dijo que en efecto, es posible construir la solución del problema antes de que ésta sea articulada. Del mismo modo Gardner (1999) Menciona que la inteligencia lógico matemático junto con su compañera, la inteligencia lingüística, son los que proporcionan bases para el razonamiento matemático y así es fácil desarrollar test de CI. Así mismo Piaget (1999) reitera que esta forma de inteligencia ha sido investigada en profundidad por los psicólogos tradicionales y constituye tal vez el arquetipo de “inteligencia en bruto” o de la validad para resolver problemas que supuestamente pertenecen a cualquier terreno. Sin embargo, Antunes (2004) dice que aún no se comprende plenamente el mecanismo por el cual se alcanza una solución a un problema lógico-matemático. Luca (2002) explica que las principales capacidades implicadas a esta inteligencia es identificar modelos, desarrollar el razonamiento deductivo inductivo, interpreta gráficos e identifica series numéricas etc. Así mismo el mismo autor Luca (2002) indica las habilidades relacionadas – a esta inteligencia es identificar modelos, calcular, formular y verificar hipótesis, utilizar el método científico y los razonamientos inductivo y deductivo. Y sus respectivos perfiles profesionales menciona Luca (2002) – son economistas, ingenieros, científicos, estadísticos etc.
Rendimiento académico:
El rendimiento académico universitario se concibe como un resultado o producto del aprendizaje suscitado dentro de las aulas universitarias a cargo de un docente especialista, o formador académico menciona Navarro (2003) Así mismo Vildoso (2003) alude que el rendimiento se expresa en una calificación, cuantitativa y cualitativa, una nota, que si es consistente y válida será el reflejo de un determinado aprendizaje o del logro de unos objetivos preestablecidos. Del mismo modo Vildoso (2003) define rendimiento académico universitario: como un resultado del aprendizaje, suscitado por la actividad educativa del profesor producido en el alumno, así como por la actividad autodidacta del estudiante, Los indicadores adecuados del rendimiento académico son los promedios de calificación obtenida por el educando, respecto a las asignaturas propias de su formación profesional
Material y métodos
El tipo de investigación es aplicada; Según Sánchez y Reyes (1996), condicionan este tipo de investigación a solamente por su interés en la aplicación de los tratado o conocimientos teóricos de un fenómeno o determinada situación; para nosotros nos sirvió tomar como base este tipo de investigación porque simplemente validamos la prueba de capacidades de inteligencia lógica en estudiantes de la Facultad de Ingeniería Civil por ser una de las carreras con mayor demanda y a su ves con mayor éxito en el nivel de las matemáticas.
Par ubicar el nivel de investigación que hicimos mencionamos a la investigación correlacional como uno de los nivel dentro del mundo científico sobre el punto Hernández y otros (2003) “Las investigaciones correlaciónales, menciona el autor referido tienen como propósito o buscan evaluar la relación que existe entre dos variables categóricas, y porque no decirlo es posible también evaluar mas de dos variables o conceptos, dando el nombre de correlación múltiple”.
Nosotros como especialistas en el área no hemos dignado en correlacionar la Inteligencia Lógica con el rendimiento académico, producto del esfuerzo de un semestre académico en los estudiantes de la facultad de Ingeniería Civil.
Según Sánchez y Reyes (1996), Para llegar a la meta y concebir los objetivos propuestos es necesario el uso del método descriptivo porque es necesario describir, analizar e interpretar sistemáticamente hechos y fenómenos relacionados con la variable inteligencia lógico matemático y con el producto del esfuerzo académico de los estudiantes es decir rendimiento como notas vigesimales en los estudiantes de la Facultad de Ingeniería Civil. Así mismo se utilizó el método inductivo porque al evaluar la inteligencia lógico matemático se partió de datos particulares para así llegar a conclusiones generales. (Carrasco; 2009).
Del mismo modo para enriquecer la parte del marco teórico era necesario el uso del método bibliográfico porque ayuda establecer conexiones entre mente y libro porque no decirlo tesis y otros, para así obtener información de primer mano, ya sea de fuentes secundarias contenidas en libros, artículos de revistas, publicaciones, investigaciones, internet, etc.
Así mismo como especialistas del área se utilizó el método estadístico desde el enfoque cuantitativo, porque ayudó medir matemáticamente la relación que existe entre la inteligencia lógico matemático y el rendimiento académico en los estudiantes de la Facultad de Ingeniería Civil y los fenómenos sociales que intervinieron en la investigación. Se partió de la aplicación de un instrumento de psicometría donde se obtuvo datos cuantitativos (Tapia; 1999) El diseño considerado es el descriptivo correlacional, cuyo esquema es el siguiente:

Donde:
M : Muestra de los estudiantes de la Facultad de Ingeniería Civil.
Ox : Observación de la Inteligencia Lógico Matemático OY : Observación del rendimiento académico r : Coeficiente de correlación entre ambas variables.
Población objetiva:
Está conformada por los estudiantes de la Universidad Nacional del Centro del Perú.
Población accesible:
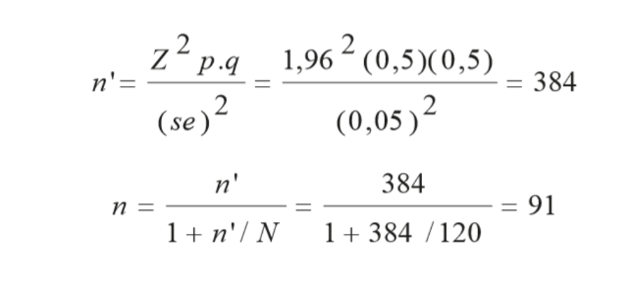
Conformada por 120 estudiantes de la Facultad de Ingeniería Civil de la UNCP
Muestra:
Para calcular el tamaño de la muestra se utilizó la formula bien conocida por todos nosotros en términos proporcionales. (Hernández y otros; 2003).

Para seleccionar a los 91 estudiantes se utilizó el muestro probabilístico estratificado:
Resultados
| Correlaciones | ||
| Rendimiento | Inteligencia ,736** ,000 | |
| Correlación de Pearson R Sig. (bilateral) | 1 | |
| N | 91 | 91 |
| Correlación de Pearson I. Sig. (bilateral) | ,736** ,000 | 1 |
| N | 91 | 91 |
| **. La correlación es significativa al nivel 0,05 (bilateral) Fuente: Archivo del investigador. | ||
En la tabla N° 01 se muestra la correlación entre las variables de la investigación inteligencia lógico matemático y rendimiento académico; el coeficiente de correlación r de pesaron es igual 0,736 resulta alta y positiva por lo que se puede decir que existe relación directa entre la inteligencia lógico matemático y el rendimiento académico en los estudiantes de la Facultad de Ingeniería Civil.

Proceso de la prueba de hipótesis
Para las hipótesis planteadas se aplicó la Prueba “t de Student”
H0: No existe una relación directa entre la inteligencia lógico matemático y el rendimiento académico en los estudiantes de la Facultad de Ingeniería Civil de la UNCP. Ho :ρ = o
H1: Existe una relación directa entre la inteligencia lógico matemático y el rendimiento académico en los estudiantes de la Facultad de Ingeniería Civil de la UNCP.
H1 :ρ ≠ o
Nivel de significancia: α = 0,05, es decir el 5 %.
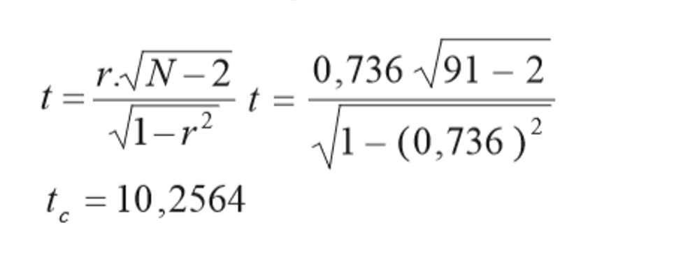
Muestra (N): N = 91
r de Pearson:
Teniendo: r = 0,736

Región de rechazo – aceptación y cálculos:
De acuerdo con:
α = 0,05 gl = N – 1 = 91 – 1 = 90
Encontramos:
Valor crítico = ± 1,6620, tal como se puede apreciar en la Tabla

Decisión estadística:
Puesto que la t calculada tc = 10,2564 la cual se encuentra en la zona de rechazo de Ho, por tanto se acepta la hipótesis alterna (H1).
Conclusión estadística:
Al aceptar la H1, podemos afirmar que existe una relación directa entre la inteligencia lógico matemático y el rendimiento académico en los estudiantes de la Facultad de Ingeniería Civil de la UNCP
Discusión
El análisis multivariado de las variables Inteligencia Lógico Matemático y Rendimiento Académico mediante la prueba del coeficiente de correlación “r” de Pearson arrojó un valor de 0,736 con un nivel de confianza de 95%, el resultado indica que las variables antes mencionadas se relacionan positivamente; de esta manera se confirma lo mencionado por Gardner (1999) donde explica que los individuos especialmente dotados de inteligencia lógico matemático tienen una facilidad en la resolución de problemas y expresan un buen rendimiento en matemáticas.
La media en inteligencia lógico matemático alcanzó un puntaje de 10,7363 mientras que la moda y la mediana coincidieron con un puntaje de 12, esto confirma lo mencionado por Antunes (2004) donde refiere que los seres humanos están dotados por inteligencias múltiples; esto quiere decir que un individuo no solo tiene inteligencia lógico matemático si no tiene cualidades para otro tipo de inteligencia.
La media en el rendimiento académico alcanzó un puntaje de 11,58 mientras que la moda tiene un puntaje de 12 y la mediana llego a 13. Lo que se concluye que solo en la moda ambos puntajes son iguales, gracias al trabajo de Vildoso (2003) podemos concluir que el rendimiento académico universitario es un resultado del aprendizaje suscitado por la actividad del docente, y producido en el estudiante aunque es claro que no todo aprendizaje es producto de la acción del docente pero en la mayoría de los casos se da en forma cualitativa y cuantitativa.
Mediante la prueba t de Student, se obtiene un valor tc= 10,2564 > t de la tabla. Se acepta la hipótesis alterna, es decir, existe relación directa entre la inteligencia lógico matemático y el rendimiento académico en los estudiantes de la Facultad de Ingeniería Civil de la UNCP.
Conclusiones
La variable inteligencia lógico matemático tiene correlación positiva con el Rendimiento Académico en estudiantes de la Facultad de Ingeniería Civil de la UNCP, lo que implica que a mayor nivel de inteligencia lógico matemático, mayor será el rendimiento académico.
Referencias bibliográficas
Antunes, C. (2004). Las Inteligecnias múltiples como estimularlas y desarrollarlas. Mexico: Alfaomega.
Carrasco, s. (2009). Metodologia de la investigación. Lima: San Marcos.
Fernández, E. A. (2001). . La Inteligencia Emocional y su relación con los Valores Interpersonales en los estudiantes del 5to año de educación secundaria Tesis de Maestría, UNMSM, Lima
Gardner, H (1999) Las Inteligencias múltiples estructura de la mente (3ra reimpresión) Colombia Nomos S.A.
Garneo, H (2006). La relación entre inteligencia emocional y rendimiento académico de los estudiantes de la Facultad de Ciencias Naturales y Matemáticas de la Universidad Nacional Federico Villarreal” Tesis de maestría UNFV
Luca, S (2002) El docente y las inteligencias múltiples Buenos aires, Revista Iberoamericana de Educación.
Mendoza C. A (2008). Inteligencias múltiples y rendimiento académico en los estudiantes de la Escuela Profesional de Matemática y Estadística de la Facultad de Ciencias Naturales y Matemática de la Universidad Nacional Federico Villarreal Tesis de Doctorado UNFV
Navarro, R (2003) El rendimiento académico; concepto, investigación y desarrollo España: Red Iberoamericana año/vol. 1 número 002
Piaget, J (1999) La psicología de la inteligencia Barcelona: Crítica
Sánchez, C & Reyes, C (1996) Metodología y diseños en la investigación científica Lima: Mantaro
Tapia, V. (1999) Efectos de un programa de estrategias cognitivas y metacognitivas, para mejorar la comprensión lectora. Revista de Investigación en Psicología, 3(4), UNMSM.
Vildoso, J. (2003). Influencia de los hábitos de estudio y la autoestima en el rendimiento académico de los estudiantes de la escuela académico de Agronomía de la Universidad Nacional Jorge Basadre Grohmann. Universidad Nacional Mayor de San Marcos.
Notas de autor