Investigación en Educación
Acompañamiento escolar de hijos por sus madres que trabajan en el Ministerio de Salud del Distrito de Huancayo
Wawikunap yaćhayninćhu kuskakaynin mamankunawan Hampiku Ministiryup Huancayo distritućhu
Escort of children by their mothers who work in the Ministry of Health of the district of Huancayo
Acompanhamento escolar de filhos por suas mães que trabalham no Ministério da Saúde do Distrito de Huancayo.
Acompañamiento escolar de hijos por sus madres que trabajan en el Ministerio de Salud del Distrito de Huancayo
Horizonte de la Ciencia, vol. 7, núm. 13, pp. 167-191, 2017
Universidad Nacional del Centro del Perú

Recepción: 19 Agosto 2017
Aprobación: 27 Octubre 2017
Resumen: El propósito de la investigación, fue determinar cómo se da el acompañamiento escolar de hijos por sus madres que trabajan en el Ministerio de Salud del Distrito de Huancayo. Nivel descriptivo del tipo básica con diseño no experimental, transaccional y descriptivo; el instrumento utilizado fue el cuestionario; la validez de contenido del instrumento se evalúo con el juicio de ocho expertos y la estadística se realizó con el coeficiente V de Aiken en la correlación ítem–test corregida r de Pearson calificando excelente (0.72 a 0.99), la confiabilidad se evalúo con los resultados de la aplicación del instrumento a una muestra con el coeficiente alfa de Cronbach con 0.936 mayor que 0.7. Un 58% de madres que trabajan manifiestan poca participación en la comunicación y vigilancia de la escuela por la limitada disponibilidad de tiempo en la supervisión escolar de sus hijos, así mismo 53% tiene un control inadecuado en el cumplimiento de tareas de sus hijos, también el 61% tiene escaso involucramiento en la formación de hábitos de estudios de sus hijos. Concluyendo que el acompañamiento escolar de hijos es limitado por la poca disponibilidad de tiempo en la supervisión, formación de hábitos de estudio y participación poco activa en las reuniones académicas.
Palabras clave: Acompañamiento escolar, supervisión, participación.
Abstract: The purpose was to determine how the school accompaniment of children by their mothers who work in the Ministry of Health of the District of Huancayo. Descriptive level, basic type, non-experimental, transactional and descriptive design. Instrument used questionnaire. For the validity of the content of the instrument is evaluated with the judgment of eight experts and the statistical validity was performed with the Aiken V coefficient and with the corrected itemtest correlation coefficient r of Pearson, reliability was performed with the coefficient alpha of Cronbach and for the reliability of the instrument is evaluated with the results of the application of the instrument to a sample, with the coefficient of internal consistency Cronbach alpha obtaining that in regard to the dimension of supervision a 58% in relation to the mothers, In the dimensions of Communication and supervision of the school show a low participation by the limited interaction and communication of mothers with teachers and 53% does not establish rules for the control of the fulfillment of tasks of their children, and 61% Involved in the formation of study habits of their children. Concluding that surveillance as an aspect of interaction, communication and control between parents and teachers denotes the most critical point due to lack of time, absence and little involvement in school.
Keywords: school supervision, supervision, participation.
Resumo: O propósito era determinar como se dá o acompanhamento escolar das crianças por suas mães que trabalham no Ministério da Saúde do Distrito de Huancayo. Nível descritivo, tipo básico, desenho não experimental, transacional e descritivo. Instrumento utilizado, questionário. Para a validade do conteúdo do instrumento é avaliada com o julgamento de oito especialistas e a validade estatística foi realizada com o coeficiente V de Aiken e com o coeficiente de correlação do item-teste corregida r de Pearson, a confiabilidade foi realizada com o coeficiente alfa de Cronbach e para a confiabilidade do instrumento se avalia com os resultados da aplicação do instrumento a uma amostra, com o coeficiente de consistência interna alpha deCronbach, obtendo que, em relação à dimensão da supervisão, 58% em relação às mães. Nas dimensões da comunicação e supervisão da escola manifestam uma baixa participação pela limitada interação e comunicação das mães com os professores e 53% não estabelece regras para o controle do cumprimento das tarefas de seus filhos, igualmente, o 61% não se envolve na formação de hábitos de estudo de seus filhos. Concluindo que a vigilância como aspecto de interação, comunicação e controle entre pais e professores denota o ponto mais crítico por falta de tempo, ausência e pouco envolvimento na escola.
Palavras-chave: supervisão escolar, supervisão, participação.
Palabras clave yaćhapakuu kuskakaynin, likapay, lulawshi
Introducción
Una problemática social latente que se manifiesta en las instituciones educativa del nivel primario es el bajo rendimiento en el aprendizaje escolar. Se ha dado la menor importancia al rol de las madres de familia en apoyar los procesos de aprendizaje de sus hijos en la escuela. Esto es preocupante dada la evidencia sobre el rendimiento extremadamente bajo de los estudiantes peruanos en las pruebas nacionales e internacionales, según los desempeños medios en la escala de Institute for Statistics – OCDE/UNESCO-UIS (2003), donde el extremo más bajo de la escala, el 18 por ciento de los estudiantes en los países miembros de la OCDE y más del 50 por ciento de la población escolar en Albania, Brasil, Indonesia, Antigua República Yugoslava de Macedonia y Perú se ubican en el Nivel 1 o por debajo, indicando que, en el mejor de los casos, solo pueden manejar las tareas más básicas de lectura. La formación más allá de la escuela tiende a reforzar en vez de atenuar las diferencias de destrezas que resultan de un éxito desigual en la educación inicial (pág.6)
Nuestro país sigue un pésimo desempeño en rendimiento escolar ocupando el extremo inferior de la distribución y último lugar.
La creciente participación laboral de las mujeres que buscan contar con ingresos monetarios para el bienestar familiar está ligada a la dinámica del mercado laboral, que presentan jornadas sobrecargadas que originan el poco interés o escasa motivación para participar en la vida de la escuela. Según el Instituto Nacional de Estadística e Informática los hogares que tuvieron como jefa de hogar a una mujer, representaron, en el año (2013), el 26,5% del total de hogares…respecto al año 2004, la responsabilidad femenina en la conducción de los hogares se ha incrementado en 4,7 puntos porcentuales del total de hogares. (pág. 16)
Al respecto debemos tener en cuenta que son esencialmente las madres quienes acompañan a sus hijos y las que más velan por el bienestar de la familia. El centro de nuestra atención fueron las madres que laboran en entidades públicas del Ministerio de Salud del Distrito de Huancayo, enfermeras, doctoras, personal administrativo y de servicio tanto nombradas como contratadas con niños en edad escolar que enfrentan horarios complicados y guardias de 12 horas continuas; así como también disponen otro trabajo como alternativa de incremento económico o estudian para mejorar su estatus y se encuentran ausentes en su hogar descuidando el acompañamiento escolar de sus hijos, Ghouali (2007) en su trabajo sobre “El acompañamiento escolar y educativo en Francia” en México manifiesta que el acompañamiento es un proceso que pretende ofrecer, junto con la escuela, el apoyo y los recursos que los niños necesitan para triunfar en ella, … un espacio de información, dialogo, apoyo y mediación permitiéndoles una mayor implicación en el seguimiento de la escolaridad de sus hijos (p.219). Es decir es necesaria la interacción de las madres con los docentes y el acompañamiento en las responsabilidades escolares pese a las continuas ausencias en los hogares.
Por otra parte, Lan, Blandon, Rodríguez y Vásquez (2013,65) en su investigación desarrollado en Colombia, permitió conocer que las familias para dedicar a sus hijos e hijas en su proceso formativo se plasman en el tiempo, el trabajo, las ocupaciones personales y en ocasiones la falta de interés, debilitantes que no permiten acompañar de manera eficiente el proceso educativo de sus hijos e hijas.
Gómez (1968,60) manifiesta que los padres deben sensibilizarse con los cambios educativos de los hijos e identificar los momentos del desarrollo en que se encuentran para apoyarlos adecuadamente. Desde esta perspectiva la importancia del acompañamiento de las madres en el establecimiento de hábitos y rutinas como una manera de organizar y regular las acciones tendientes a la ejecución de las tareas de la escuela es muy importante.
Lan, Blandon, Rodríguez y Vásquez (2013,17) en “Acompañamiento familiar en los procesos del aprendizaje” mencionan que las prácticas educativas para el aprendizaje son limitadas, no solo en recursos sino también en la falta de tiempo, escolaridad, en estrategias, hábitos de estudio y en motivación por parte de los padres o figuras representativas. Los padres atribuyen importancia a la educación desde sus visiones, expectativas y significados, pero carecen de condiciones necesarias… sin embargo, a pesar de estos ideales de articulación entre familia- escuela en la realidad es muy complejo debido a factores sociales, económicos y culturales.
Sin embargo en la investigación realizada por Pinto y Salazar (2015) “Familia- Escuela” La experiencia de aprender juntos, analiza sus datos de la encuesta en las rutinas y hábitos de los niños en el hogar, a través de imágenes observan durante la aplicación de esta encuesta que a los niños les cuesta responder con la verdad, por temor a las burlas de sus compañeros e imitan en la mayoría de los casos las respuestas de los demás. Dadas estas circunstancias… se recogieron apreciaciones como: (a mí me levantan cuando está oscuro, mi mamá dice que me tiene que vestir porque estamos tarde, yo no desayuno, mi hermano me pega y me regaña cuando mis papás no están, mi papá no juega conmigo, mi mamá me regaña mucho, yo le digo a mi mamá que hagamos tareas pero ella me dice que espere, yo veo televisión hasta que me duermo y citan programas que se emiten a altas horas de la noche).
Las situaciones relatadas por los niños dan explicación a algunas de las conductas que…observamos en el aula, tales como: falta de hábitos y organización a la hora de tomar alimentos, poca de independencia, necesidad de supervisión del adulto para la realización de actividades propuestas, dificultad en sus relaciones interpersonales.
Valdés, Martín y Sánchez en su investigación (2009,12) “Participación de los padres de alumnos de educación primaria en las actividades académicas de sus hijos” en México describen el grado de participación de madres de niños de primaria del estado de Yucatán, en las actividades educativas de sus hijos. Los resultados…refieren, en general, que su participación en las actividades escolares de los hijos no es buena especialmente en los aspectos que evalúan la interacción de los padres con la escuela, lo cual denota que el punto más crítico de la participación de los padres está referido a su relación con los docentes.
Esta situación me ha llamado la atención, por lo que he optado el estudio del acompañamiento escolar de hijos por sus madres que trabajan, planteando como problema general ¿Cómo se da el acompañamiento escolar de los hijos por sus madres que trabajan en el Ministerio de Salud del Distrito de Huancayo?, como objetivo, determinar cómo se da el acompañamiento escolar de los hijos por sus madres que trabajan en el Ministerio de Salud del Distrito de Huancayo y la hipótesis fue el acompañamiento escolar de los hijos por sus madres que trabajan en el Ministerio de Salud del Distrito de Huancayo es limitado por la escasa participación e involucramiento en la escuela.
Materiales y métodos
El tipo de investigación fue básico nivel descriptivo, el diseño de investigación fue no experimental transversal, porque se recolectaron los datos en un momento y tiempo único.
Las unidades de análisis en el presente estudio son las madres que trabajan y que tienen hijos en edad escolar de las instituciones del Ministerio de Salud del Distrito de Huancayo. La muestra fue no probabilística de 196 madres cuyos hijos se encuentran en edad escolar específicamente en educación primaria en las instituciones del Ministerio de Salud del Distrito de Huancayo.
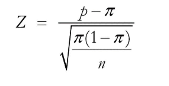
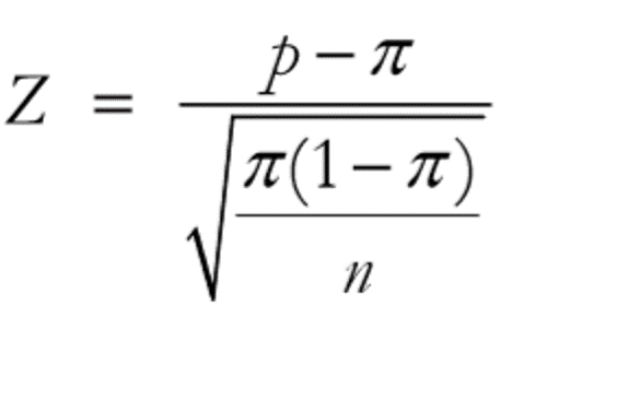
Dado que la muestra es grande (n = 196, n > 50), la estadística de prueba es la función Z de Gauss, con distribución normal estándar, definida como:

Aquí, p es la proporción muestral de madres con acompañamiento escolar limitado, n es el número de madres entrevistadas (tamaño de muestra).
El valor teórico de la Z de Gauss al 95% de confianza para un contraste unilateral superior o derecho es 1,645, con el cual la hipótesis nula H0 será rechazada si el valor calculado o muestral de la función Z es mayor que 1,645; en caso contrario, H0 será aceptada (figura 1). En términos del valor P, la hipótesis nula H0 será rechazada si el valor P es menor que el nivel de significación usual de 0,05; en caso contrario, H0 será aceptada. El valor teórico de la Z de Gauss al 95% de confianza para un contraste unilateral superior o derecho es 1,645, con el cual la hipótesis nula H0 será rechazada si el valor calculado o muestra de la función Z es mayor que 1,645; en caso contrario, H0 será aceptada (figura 1).
La técnica de recolección de datos fue la encuesta y el instrumento fue el cuestionario formulado con preguntas correspondencia a los indicadores y a las dimensiones de la variable en estudio.
El instrumento consta de 34 ítems, que se distribuyeron en 3 dimensiones que son: supervisión escolar, involucramiento en la formación de hábitos de estudio y participación en actividades escolares.
Validado el instrumento, se planificó la aplicación, solicitando la autorización a los directores de cada institución del Ministerio de Salud de Huancayo, quienes después de la gestión , autorizaron la aplicación del instrumento, designando a los jefes de personal y en algunos casos a los responsables de cada área con quienes se coordinó para la aplicación respectiva.
El cuestionario para la variable acompañamiento escolar se basó en las dimensiones de supervisión, hábitos de estudio y participación. Además Supervisión significa, seguimiento del cumplimiento de las tareas vigilar, comunicar y controlar el desarrollo personal de los hijos; hábitos de estudio son prácticas cotidianas en el estudio y el deseo de enseñar a través de un itinerario establecido, lugar y recursos. Por último la participación son las relaciones significativas entre el hogar y la escuela a través del deporte, la cultura y las actividades sociales.
El instrumento de medición es el Cuestionario de Acompañamiento Escolar. La validez del instrumento comprende la validez de contenido y la validez de constructo; la primera abarca la validez genérica de criterios y la validez específica de ítems y, se evalúa con el juicio de ocho expertos y con el coeficiente de concordancia V de Aiken y, la segunda con los resultados de la aplicación del instrumento a una muestra piloto de 50 madres que trabajan en el Ministerio de Salud del distrito El Tambo y, con el coeficiente de correlación item–test corregida r de Pearson. La confiabilidad del instrumento se evaluó con los resultados de la aplicación del instrumento a una muestra piloto de 50 madres que trabajan en el Ministerio de Salud del distrito El Tambo y, con el coeficiente de consistencia interna alfa de Cronbach.
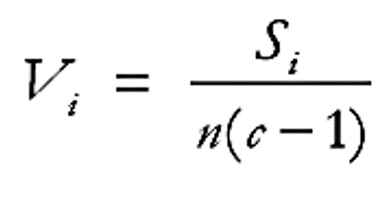
Validez de contenido del instrumento El coeficiente de concordancia V de Aiken es:

Donde:
Vi es el coeficiente de Aiken del i–ésimo ítem (i = 1, 2,…, k),
Si es la suma de las puntuaciones asignadas por los expertos al i–ésimo ítem, n es el número de expertos (n = 8), c es el número de respuestas posibles de cada ítem o criterio (c = 3); c = 0, 1 y 2.
Las alternativas de respuestas de los expertos a los criterios son: 0 = Incorrecto y 1 = Correcto
(c = 2); c = 0 y 1. Las respuestas a los ítems son: 0 = Inadecuado, 1 = Medianamente adecuado y 2 = Adecuado (c = 3); c = 0, 1 y 2.
Este coeficiente toma valores entre 0 y 1, y la calidad del ítem se evalúa en base al siguiente baremo:
| Coeficiente | Validez |
| 0 a 0,53 | Nula |
| 0,54 a 0,59 | Baja |
| 0,60 a 0,65 | Media |
| 0,66 a 0,71 | Alta |
| 0,72 a 0,99 | Excelente |
| 1 | Perfecta |
Este método califica la validez de cada ítem y, el instrumento es válido si todos los ítems son válidos.
En los cuadros 1 y 2 se ilustran la validez de contenido del cuestionario (por criterios e ítems), donde se aprecia que los criterios presentan validez perfecta (1) y los ítems validez excelente (0,72 a 0,99) o perfecta (1) y, por tanto, Cuestionario de Acompañamiento Escolar presenta validez por opinión o juicio de expertos.
| Las preguntas son comprensibles Las preguntas reflejan el contenido temático Los términos utilizados en las preguntas son precisos Las preguntas permiten recoger información para el logro de los objetivos Las preguntas son pertinentes al tema en estudio El grado de complejidad de los ítems es aceptable Las preguntas permiten demostrar las hipótesis Las preguntas son suficientes para medir la variable es estudio | 1 1 1 1 1 1 1 1 | Opinión de los expertos E2 E3 E4 E5 E6 E7 | 1 1 1 1 1 1 1 1 | Suma 8 8 8 8 8 8 8 8 | V de Aiken 1 1 1 1 1 1 1 1 | Validez Perfecta Perfecta Perfecta Perfecta Perfecta Perfecta Perfecta Perfecta | |||||
| 1 1 1 1 1 1 1 1 | 1 1 1 1 1 1 1 1 | 1 1 1 1 1 1 1 1 | 1 1 1 1 1 1 1 1 | 1 1 1 1 1 1 1 1 | 1 1 1 1 1 1 1 1 | ||||||
| Item | Exp. 1 Exp. 2 | Exp. 3 | Exp. 4 | Exp. 5 | Exp. 6 | Exp. 7 | Exp. 8 | Suma | V de Aiken | Validez | |
| VIG01 | 2 | 2 | 2 | 2 | 2 | 2 | 2 | 2 | 16 | 1 | Perfecta |
| VIG02 | 2 | 2 | 2 | 2 | 2 | 2 | 2 | 2 | 16 | 1 | Perfecta |
| VIG03 | 2 | 2 | 2 | 2 | 2 | 2 | 2 | 2 | 16 | 1 | Perfecta |
| VIG04 | 2 | 2 | 2 | 2 | 2 | 2 | 2 | 2 | 16 | 1 | Perfecta |
| VIG05 | 2 | 2 | 2 | 1 | 2 | 2 | 2 | 2 | 15 | 0,9375 | Excelente |
| COM06 | 2 | 2 | 2 | 2 | 2 | 2 | 2 | 2 | 16 | 1 | Perfecta |
| COM07 | 2 | 1 | 2 | 2 | 2 | 2 | 2 | 2 | 15 | 0,9375 | Excelente |
| COM08 | 2 | 2 | 2 | 2 | 2 | 2 | 2 | 2 | 16 | 1 | Perfecta |
| COM09 | 2 | 2 | 2 | 2 | 1 | 2 | 2 | 2 | 15 | 0,9375 | Excelente |
| COM10 | 2 | 2 | 2 | 2 | 2 | 2 | 2 | 2 | 16 | 1 | Perfecta |
| COM11 | 2 | 2 | 2 | 2 | 2 | 2 | 2 | 2 | 16 | 1 | Perfecta |
| COM12 | 2 | 1 | 2 | 2 | 2 | 2 | 2 | 2 | 15 | 0,9375 | Excelente |
| CON13 | 2 | 2 | 2 | 2 | 2 | 2 | 2 | 2 | 16 | 1 | Perfecta |
| CON14 | 2 | 2 | 1 | 2 | 2 | 2 | 2 | 2 | 15 | 0,9375 | Excelente |
| CON15 | 2 | 2 | 2 | 2 | 2 | 2 | 2 | 2 | 16 | 1 | Perfecta |
| TIE16 | 2 | 2 | 2 | 2 | 1 | 2 | 2 | 2 | 15 | 0,9375 | Excelente |
| TIE17 | 2 | 2 | 2 | 2 | 2 | 2 | 2 | 2 | 16 | 1 | Perfecta |
| TIE18 | 2 | 2 | 2 | 2 | 2 | 2 | 2 | 2 | 16 | 1 | Perfecta |
| TIE19 | 2 | 2 | 2 | 1 | 2 | 2 | 2 | 2 | 15 | 0,9375 | Excelente |
| TIE20 | 2 | 1 | 2 | 2 | 2 | 2 | 2 | 2 | 15 | 0,9375 | Excelente |
| LUG21 | 2 | 2 | 2 | 2 | 2 | 2 | 2 | 2 | 16 | 1 | Perfecta |
| LUG22 | 2 | 2 | 2 | 2 | 2 | 2 | 2 | 2 | 16 | 1 | Perfecta |
| LUG23 | 2 | 2 | 2 | 2 | 2 | 2 | 1 | 2 | 15 | 0,9375 | Excelente |
| REC24 | 2 | 2 | 2 | 2 | 2 | 2 | 2 | 2 | 16 | 1 | Perfecta |
| REC25 | 2 | 2 | 2 | 2 | 2 | 2 | 2 | 2 | 16 | 1 | Perfecta |
| REC26 | 2 | 2 | 2 | 2 | 2 | 2 | 2 | 2 | 16 | 1 | Perfecta |
| REC27 | 2 | 2 | 2 | 2 | 2 | 2 | 2 | 2 | 16 | 1 | Perfecta |
| PAD28 | 2 | 2 | 2 | 2 | 2 | 2 | 2 | 2 | 16 | 1 | Perfecta |
| PAD29 | 2 | 2 | 2 | 2 | 2 | 2 | 2 | 2 | 16 | 1 | Perfecta |
| PAC30 | 2 | 2 | 2 | 2 | 2 | 2 | 2 | 2 | 16 | 1 | Perfecta |
| PAC31 | 2 | 2 | 2 | 2 | 2 | 2 | 2 | 2 | 16 | 1 | Perfecta |
| PAC32 | 2 | 2 | 2 | 2 | 2 | 2 | 2 | 2 | 16 | 1 | Perfecta |
| PAS33 | 2 | 2 | 2 | 2 | 2 | 2 | 2 | 2 | 16 | 1 | Perfecta |
| PAS34 | 2 | 2 | 2 | 2 | 2 | 2 | 2 | 2 | 16 | 1 | Perfecta |
Validez de constructo del instrumento, el valor teórico de la Z de Gauss al 95% de confianza para un contraste unilateral superior o derecho es 1,645, con el cual la hipótesis nula H0 será rechazada si el valor calculado o muestral de la función Z es mayor que 1,645; en caso contrario, H0 será aceptada (figura 1). En términos del valor P, la hipótesis nula H0 será rechazada si el valor P es menor que el nivel de significación usual de 0,05; en caso contrario, H0 será aceptada
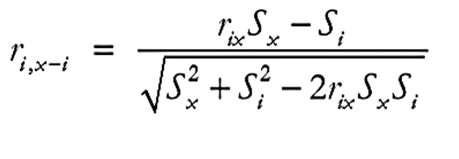
El coeficiente de correlación ítem–test corregida r de Pearson se calcula con:

Donde:
ri,x–i es el coeficiente de correlación ítem–test corregido,
ri,xi es el coeficiente de correlación ítem–test,
Sx es la desviación estándar de los puntajes totales de los sujetos examinados, Si es la desviación estándar de los puntajes del i–ésimo ítem.
Este coeficiente toma valores entre –1 y 1, y los ítems cuyas correlaciones ítem–total arrojen valores mayores o iguales que 0,2 son válidos, mientras que los ítems con correlaciones menores a 0,2 deben ser reformulados o desechados. Un instrumento es válido si todos los ítems son válidos.
Las correlaciones, calculadas con el SPSS V.23, se ilustran en el cuadro 3, en el cual se observa que los coeficientes de correlación corregida r de Pearson son mayores a 0,2; por consiguiente, el Cuestionario de Acompañamiento Escolar presenta validez de constructo.
| Item | r corregida de Pearson | Item | r corregida de Pearson | Item | r corregida de Pearson |
| VIG01 VIG02 VIG03 VIG04 VIG05 COM06 COM07 COM08 COM09 COM10 COM11 COM12 | 0,539 0,442 0,555 0,372 0,413 0,618 0,597 0,552 0,241 0,477 0,367 0,543 | CON13 CON14 CON15 TIE16 TIE17 TIE18 TIE19 TIE20 LUG21 LUG22 LUG23 | 0,630 0,494 0,476 0,534 0,648 0,388 0,703 0,487 0,506 0,513 0,537 | REC24 REC25 REC26 REC27 PAD28 PAD29 PAC30 PAC31 PAC32 PAS33 PAS34 | 0,621 0,644 0,440 0,598 0,326 0,785 0,487 0,334 0,741 0,639 0,642 |
Confiabilidad del instrumento
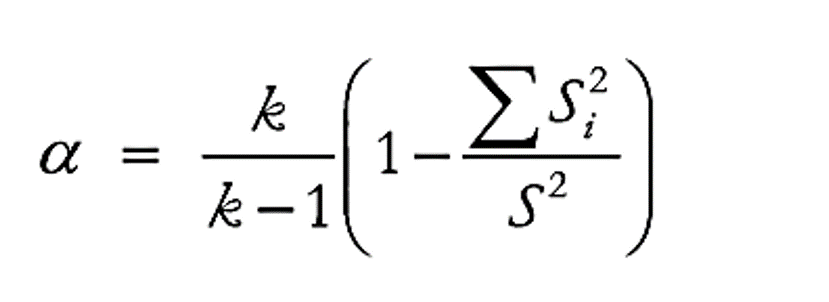
El coeficiente de consistencia interna alfa de Cronbach se obtiene con:

Donde:
α es el coeficiente alfa de Cronbach,
Si2 es la varianza de los resultados del ítem,
S2 es la varianza del resultado total del instrumento, k es el número de ítems
Este coeficiente toma valores entre 0 y 1, y un valor mayor a 0,7 indica que el instrumento es confiable. El programa SPSS V.23 reporta un coeficiente de consistencia interna alfa de Cronbach de 0,936, mayor que 0,7, el cual revela que la confiablidad es excelente (0,9 a 1) (George y Mallery, 2003, p. 231); por lo que el Cuestionario de Acompañamiento Escolar es confiable.

De los resultados de las secciones 1, 2 y 3, se deriva que el Cuestionario de Acompañamiento Escolar es válido y confiable.
Resultados

El 48% de madres que trabajan encuestadas, manifiestan que delegan la responsabilidad del traslado de sus hijos/as a la movilidad escolar, sin embargo el 21% de madres que trabajan se apersonan por sus hijos/as en la salida de la escuela por que aprovechan el cumplimiento de sus jornadas o en algunos casos sus días libres debido a las guardias y demuestran interés en el acompañamiento de sus hijos. Así mismo el 19% denota la presencia de los padres demostrando afectividad, apoyo para con sus hijos/as y mayor cercanía y por último un 11% de madres se apoyan con los familiares (abuelos y tíos) para el traslado de sus hijos/as a la escuela.

El 46% de madres que trabajan revelan que se apoyan de un tutor en temporada de exámenes de sus hijos/as, por otro lado el 25% declara que son los familiares quienes apoyan en esta temporada, el 20% considera tener el apoyo paterno y un mínimo del 7% de las madres manifiesta que su participación de apoyo al hijo/a es mínima en épocas de exámenes y generalmente se apoya de otras personas.

43% de madres que trabajan manifiestan que leen las notas y comunicados escritos de los maestros de la I.E. de sus hijos/as semanalmente, el 25% lo hace quincenalmente, mientras que el 17% declara que nunca lee los recados de la escuela y por último el 13% lee las notas diariamente, concluyendo que la gran mayoría no lee los comunicados de la escuela mostrando un abandono en el seguimiento de la escolaridad.

Las dificultades que presentan los hijos/as de las madres que trabajan es un tema que llama la atención porque el 48% de ellas manifiestan que nunca consultan o dialogan con los docentes de los diversas asignaturas que llevan sus hijo/as, el 33% declara que algunas veces se comunica, así mismo el 11% de madres considera que dialoga normalmente con los docentes, por otra parte declara un 06% que dialoga permanentemente con los docentes sobre sus hijos/as, manifestando así la gran mayoría de ellas, limitada comunicación y dialogo en el cumplimiento de tareas de las asignaturas de sus hijos/as dejando de lado el soporte del monitoreo y seguimiento escolar.

El 46% de madres que trabajan verifican las tareas de sus hijos por las noches cuando tienen un espacio libre luego del trabajo, seguido de un 31% que no revisa las tareas por tener el apoyo de familiares o tutores, también un 15% de madres que trabajan logran verificar las tareas por las tardes en el breve momento de refrigerio según la disponibilidad de su tiempo o turno y un 9% de madres verifica las tareas de sus hijos/as antes de enviarle a la escuela debido al nivel de confianza que tienen a sus hijos/as en el cumplimiento de sus tareas. Deducimos que un porcentaje considerable no revisa o lo realiza rápidamente debido al escaso apoyo o recargada labor del trabajo.

Los familiares asumen un 41% ,el rol determinante del control y cumplimiento de las tareas escolares de los hijos/as de mujeres que trabajan , así mismo un 39% confía en sus hijos/as y los deja a su entera potestad , por otra parte un 14% prefiere controlar por intermedio de un asesor, seguido de un 6% que declara monitorear las tareas a través del celular por lo que se considera que existe abandono en la supervisión y guía del control de la disciplina que ayude a conseguir los hábitos de estudio.

El aspecto más álgido en las madres que trabajan se expresa también en el tiempo que utilizan para el ejercicio de la lectura con sus hijos/as entonces tenemos que el 55% de madres no lee ningún tipo de lectura diariamente con sus hijos en forma conjunta, un 34% declara leer con sus hijos menos de una hora en el día, sin embargo el 6% manifiesta leer de 1 a 2 horas diariamente. Evidenciamos la escasa práctica de lectura cotidiana de las madres en forma conjunta con sus hijos.

El 35% de madres declara tener un ambiente inadecuado de estudios de los hijos/as por tener interferencia y ruidos de tv, internet y otros, seguido de un 33% que asevera que es poco adecuado, así mismo un 7% manifiesta tener un ambiente nada adecuado con ruidos e interferencia y concluye un 23% que considera que es muy adecuado.
Aseveramos que un porcentaje considerable carece de un ambiente libre de ruidos e interferencias para el desarrollo de la tarea de sus hijos/as.

El 41% considera que no puede acompañar a su hijo/a por el horario de trabajo, así mismo el 30% manifiesta que debe seguir estudios de especialización, el 18% declara tener otras situaciones y el 9% declara tener trabajo extra.
Confirmamos que el gran porcentaje de madres tiene circunstancias relacionadas a su trabajo que le impiden acompañar a sus hijos con sus tareas escolares.

El 52% de madres declara que no participa en las disciplinas deportivas del comité de padres del aula de su hijo, sin embargo 27% de madres manifestaron que si participaron en el vóley, seguido de un 15% en el básquet y 4% en el futsal.
Aseveramos que la mayoría de madres no tiene representación participativa en las disciplinas deportivas del aula de su hijo/a, lo que conlleva a aseverar el escaso conocimiento sobre las actividades de la convivencia del aula.

El 36% de madres que trabajan asistieron pocas veces a las exposiciones de los trabajos de sus hijos en la I. E., así mismo el 32% nunca asiste, sin embargo el 21% constantemente asiste y 11% siempre. Deducimos que más de la mitad de las madres no asisten a las exposiciones de trabajo de sus hijos. Comprobando que tienen poca disponibilidad de tiempo por la particularidad del sistema de salud que cumplen guardias tanto el profesional y técnico a diferencia del personal administrativo que según nuestros datos son personas mayores.
Contraste estadístico de hipótesis
Contraste estadístico de la hipótesis general
El contraste de esta hipótesis se realiza con la Z de Gauss para una proporción en muestras grandes (n > 50), al 95% de confianza estadística. El procedimiento de contraste se desarrolla en seguida.
Hipótesis estadísticas
H0: El acompañamiento escolar de sus hijos de las madres que trabajan en el Ministerio de Salud del distrito Huancayo no es limitado (H0: p = 0,33).
H1: El acompañamiento escolar de sus hijos de las madres que trabajan en el Ministerio de Salud del distrito Huancayo es limitado (H1: p > 0,33).
La hipótesis alternativa H1 plantea que, si el acompañamiento escolar de sus hijos de las madres es limitado, entonces la proporción de madres con este acompañamiento escolar (p) debe ser mayor que 0,33 (H1: p > 0,33), ya que el acompañamiento escolar se categoriza como deficiente, limitado y bueno. El punto de corte de 0,33 se establece en base a la distribución estadística uniforme o rectangular con tres niveles equiprobables (deficiente, limitado y bueno), cada uno con probabilidad igual a 1/3.
Estadística de prueba
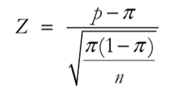
Dado que la muestra es grande (n = 196, n > 50), la estadística de prueba es la función Z de Gauss, con distribución normal estándar, definida como:

Aquí, p es la proporción muestral de madres con acompañamiento escolar limitado, n es el número de madres entrevistadas (tamaño de muestra).
Regla de decisión
El valor teórico de la Z de Gauss al 95% de confianza para un contraste unilateral superior o derecho es 1,645, con el cual la hipótesis nula H0 será rechazada si el valor calculado o muestral de la función Z es mayor que 1,645; en caso contrario, H0 será aceptada (figura 1). En términos del valor P, la hipótesis nula H0 será rechazada si el valor P es menor que el nivel de significación usual de 0,05; en caso contrario, H0 será aceptada.

Valores calculados
En la tabla 1 se observa que x = 114. El programa estadístico Minitab v.17 reporta el valor Z de 7.49 con valor P de 0 (figura 2).

Decisión estadística
El valor calculado (7.49) es mayor que 1,645 (se encuentra en la región de rechazo de H0), por lo que se rechaza la hipótesis nula H0, a favor de la hipótesis alterna H1. Además, el valor P (0) es menor que 0,05, lo cual ratifica la decisión anterior.
Conclusión
Al 95% de confianza estadística, se acepta que el acompañamiento escolar de sus hijos de las madres que trabajan en el Ministerio de Salud del distrito Huancayo es limitado.
Con estos resultados se acepta la hipótesis general de investigación. Contraste estadístico de la primera hipótesis específica
Hipótesis:
“La supervisión escolar de sus hijos de las madres que trabajan en el Ministerio de Salud del distrito Huancayo es limitada por la escasa vigilancia, el control inadecuado y la falta de comunicación para el logro académico”.
El contraste de esta hipótesis se realiza con la Z de Gauss para una proporción en muestras grandes (n > 50), al 95% de confianza estadística. El procedimiento del contraste se desarrolla en seguida.
Hipótesis estadísticas
H0: La supervisión escolar de sus hijos de las madres que trabajan en el Ministerio de Salud del distrito Huancayo no es limitada (H0: p = 0,33).
H1: La supervisión escolar de sus hijos de las madres que trabajan en el Ministerio de Salud del distrito Huancayo es limitada (H1: p > 0,33).
La hipótesis alternativa H1 plantea que, si la supervisión escolar de sus hijos de las madres es limitada, entonces la proporción de madres con esta supervisión escolar (p) debe ser mayor que 0,33 (H1: p > 0,33), ya que la supervisión escolar se categoriza como deficiente, limitada y buena. El punto de corte de 0,33 se establece en base a la distribución estadística uniforme o rectangular con tres niveles equiprobables (deficiente, limitada y buena), cada uno con probabilidad igual a 1/3.
Estadística de prueba
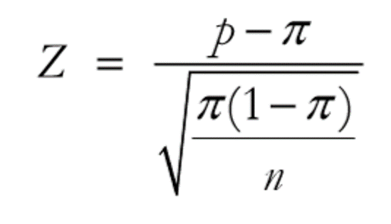
Dado que la muestra es grande (n = 196, n > 50), la estadística de prueba es la función Z de Gauss, con distribución normal estándar, definida como:

Aquí, p es la proporción muestral de madres con supervisión escolar limitada, n es el número de madres entrevistadas (tamaño de muestra).
Regla de decisión
El valor teórico de la Z de Gauss al 95% de confianza para un contraste unilateral superior o derecho es 1,645, con el cual la hipótesis nula H0 será rechazada si el valor calculado o muestral de la función Z es mayor que 1,645; en caso contrario, H0 será aceptada (figura 3). En términos del valor P, la hipótesis nula H0 será rechazada si el valor P es menor que el nivel de significación usual de 0,05; en caso contrario, H0 será aceptada.

Valores calculados
En la tabla 2 se observa que x = 115. El programa estadístico Minitab v.17 reporta el valor Z de 7.64 con valor P de 0 (figura 4).

Decisión estadística
El valor calculado (7.64) es mayor que 1,645 (se encuentra en la región de rechazo de H0), por lo que se rechaza la hipótesis nula H0, a favor de la hipótesis alterna H1. Además, el valor P (0) es menor que 0,05, lo cual ratifica la decisión anterior.
Conclusión
Al 95% de confianza estadística, se acepta que la supervisión escolar de sus hijos de las madres que trabajan en el Ministerio de Salud del distrito Huancayo es limitada.
Con estos resultados se acepta la primera hipótesis específica de investigación. Contraste estadístico de la segunda hipótesis específica
Hipótesis:
“El involucramiento en la formación de hábitos de estudio de sus hijos de las madres que trabajan en el Ministerio de Salud del distrito de Huancayo es limitado por la falta de tiempo libre”.
El contraste de esta hipótesis se realiza con la Z de Gauss para una proporción en muestras grandes (n > 50), al 95% de confianza estadística. El procedimiento del contraste se desarrolla en seguida.
Hipótesis estadísticas
H0: El involucramiento en la formación de hábitos de estudio de sus hijos de las madres que trabajan en el Ministerio de Salud del distrito de Huancayo no es limitado (H0: p = 0,33).
H1: El involucramiento en la formación de hábitos de estudio de sus hijos de las madres que trabajan en el Ministerio de Salud del distrito de Huancayo es limitado (H1: p > 0,33).
La hipótesis alternativa H1 plantea que, si el involucramiento en la formación de hábitos de estudio de sus hijos de las madres es limitado, entonces la proporción de madres con este involucramiento (p) debe ser mayor que 0,33 (H1: p > 0,33), ya que el involucramiento se categoriza como deficiente, limitado y bueno. El punto de corte de 0,33 se establece en base a la distribución estadística uniforme o rectangular con tres niveles equiprobables (deficiente, limitado y bueno), cada uno con probabilidad igual a 1/3.
Estadística de prueba
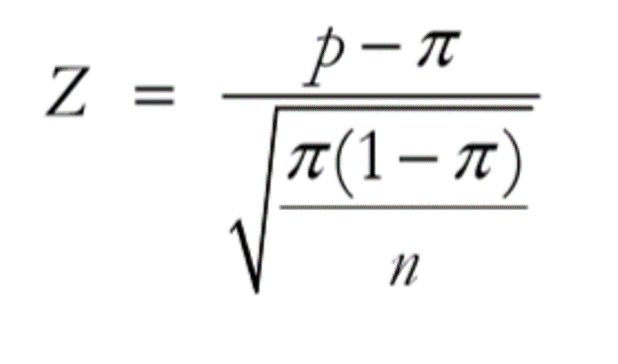
Dado que la muestra es grande (n = 196, n > 50), la estadística de prueba es la función Z de Gauss, con distribución normal estándar, definida como:

Aquí, p es la proporción muestral de madres con involucramiento limitado, n es el número de madres entrevistadas (tamaño de muestra).
Regla de decisión
El valor teórico de la Z de Gauss al 95% de confianza para un contraste unilateral superior o derecho es 1,645, con el cual la hipótesis nula H0 será rechazada si el valor calculado o muestral de la función Z es mayor que 1,645; en caso contrario, H0 será aceptada (figura 5). En términos del valor P, la hipótesis nula H0 será rechazada si el valor P es menor que el nivel de significación usual de 0,05; en caso contrario, H0 será aceptada.

Valores calculados
En la tabla 3 se observa que x = 121. El programa estadístico Minitab v.17 reporta el valor Z de 8.56 con valor P de 0 (figura 6).

Decisión estadística
El valor calculado (8.56) es mayor que 1,645 (se encuentra en la región de rechazo de H0), por lo que se rechaza la hipótesis nula H0, a favor de la hipótesis alterna H1. Además, el valor P (0) es menor que 0,05, lo cual ratifica la decisión anterior.
Conclusión
Al 95% de confianza estadística, se acepta que el involucramiento en la formación de hábitos de estudio de sus hijos de las madres que trabajan en el Ministerio de Salud del distrito de Huancayo es limitado.
Con estos resultados se acepta la segunda hipótesis específica de investigación.
Contraste estadístico de la tercera hipótesis específica
Hipótesis:
“La participación en las actividades deportivas, culturales y sociales del ámbito escolar de sus hijos de las madres que trabajan en el Ministerio de Salud del distrito Huancayo es limitada”.
El contraste de esta hipótesis se realiza con la Z de Gauss para una proporción en muestras grandes (n > 50), al 95% de confianza estadística. El procedimiento de contraste se desarrolla en seguida.
Hipótesis estadísticas
H0: La participación en las actividades deportivas, culturales y sociales del ámbito escolar de sus hijos de las madres que trabajan en el Ministerio de Salud del distrito Huancayo no es limitada (H0: p = 0,33).
H1: La participación en las actividades deportivas, culturales y sociales del ámbito escolar de sus hijos de las madres que trabajan en el Ministerio de Salud del distrito Huancayo es limitada (H1: p > 0,33).
La hipótesis alternativa H1 plantea que, si la participación en las actividades deportivas, culturales y sociales del ámbito escolar de sus hijos de las madres es limitada, entonces la proporción de madres con esta participación (p) debe ser mayor que 0,33 (H1: p > 0,33), ya que la participación se categoriza como deficiente, limitada y buena. El punto de corte de 0,33 se establece en base a la distribución estadística uniforme o rectangular con tres niveles equiprobables (deficiente, limitada y buena), cada uno con probabilidad igual a 1/3.
Estadística de prueba
Dado que la muestra es grande (n = 196, n > 50), la estadística de prueba es la función Z de Gauss, con distribución normal estándar, definida como:

Aquí, p es la proporción muestral de madres con involucramiento limitado, n es el número de madres entrevistadas (tamaño de muestra).
Regla de decisión
El valor teórico de la Z de Gauss al 95% de confianza para un contraste unilateral superior o derecho es 1,645, con el cual la hipótesis nula H0 será rechazada si el valor calculado o muestral de la función Z es mayor que 1,645; en caso contrario, H0 será aceptada (figura 7). En términos del valor P, la hipótesis nula H0 será rechazada si el valor P es menor que el nivel de significación usual de 0,05; en caso contrario, H0 será aceptada.

Valores calculados
En la tabla 4 se observa que x = 121. El programa estadístico Minitab v.17 reporta el valor Z de 12.66 con valor P de 0 (figura 8).

Decisión estadística
El valor calculado (12.66) es mayor que 1,645 (se encuentra en la región de rechazo de H0), por lo que se rechaza la hipótesis nula H0, a favor de la hipótesis alterna H1. Además, el valor P (0) es menor que 0,05, lo cual ratifica la decisión anterior.
Conclusión
Al 95% de confianza estadística, se acepta que la participación en las actividades deportivas, culturales y sociales del ámbito escolar de sus hijos de las madres que trabajan en el Ministerio de Salud del distrito Huancayo es limitada.
Con estos resultados se acepta la tercera hipótesis específica de investigación
Metodología de categorización de variables
| Dimensión | Ítems | Rango | Media | DE | Deficiente | Limitado | Bueno |
| Supervisión escolar | 15 | 15 a 60 | 33.81 | 3.987 | 15 a 29 | 30 a 36 | 37 a 60 |
| Involucramiento en la formación de hábitos de estudio | 12 | 12 a 48 | 32.98 | 3.443 | 12 a 29 | 30 a 35 | 36 a 48 |
| Participación en actividades escolares | 7 | 7 a 28 | 17.14 | 2.923 | 7 a 14 | 15 a 19 | 20 a 28 |
| Acompañamiento escolar | 34 | 34 a 136 | 83.93 | 5.823 | 34 a 78 | 79 a 88 | 89 a 136 |
Discusión de los resultados
Estos resultados se contrastan con el estudio de Lan, Blandon, Rodríguez y Vásquez (2013,66) cuando mencionan que son especialmente las madres quienes acompañan a sus hijos, muchas de ellas son solteras y tienen la responsabilidad de todo en el hogar y otras, conviven con sus parejas quienes se convierten en padrastros de los hijos e hijas y no demuestran motivación por compartir con los niños y las niñas. Las encuestas demostraron que al quedar solos en sus viviendas, los niños/as se ven obligados a recurrir a otras figuras de autoridad como: hermanos mayores, vecinos, abuelos, tíos u otros familiares. Las madres admiten que los días que con mayor frecuencia acompañan las labores educativas son los fines de semana, especialmente los domingos (30 minutos) ya que es el día de descanso para muchos y se aprovecha para estar en familia y algunas de ellas para acompañar procesos académicos.
Así mismo los resultados coinciden con Balarin y Cueto (2008,4) cuando señalan que los padres de familia tienen una comprensión limitada sobre cómo se da el aprendizaje en las escuelas y cómo pueden apoyar a sus hijos.
Lan, Blandón, Rodríguez y Vásquez (2013,66-70) señalan que la disponibilidad que tienen las familias para dedicar a sus hijos e hijas en su proceso formativo se plasman en lo económico y la disponibilidad del tiempo. Se ha constatado que son especialmente las madres quienes acompañan a sus hijos, muchas de ellas son solteras y tienen la responsabilidad de todo en el hogar y otras, conviven con sus parejas quienes se convierten en padrastros de los hijos e hijas y no demuestran motivación por compartir con los niños y las niñas. Por otro lado demostraron que gran parte de los menores, debido a la ausencia de los padres y el quedar solos en sus viviendas, se ven obligados a recurrir a otras figuras de autoridad como: hermanos mayores, vecinos, abuelos, tíos u otros familiares. Las madres admiten que los días que con mayor frecuencia acompañan estos procesos son los fines de semana, especialmente los domingos (30 minutos) ya que es el día de descanso para muchos y se aprovecha para estar en familia , algunas de ellas para acompañar procesos académicos, coincidiendo con la realidad de las madres que trabajan y que deben supervisar , orientar controlar el acompañamiento en las tareas de sus hijos según la disponibilidad de su tiempo.
Por otra parte, los resultados se sustentan en Rivera (2013,29) cuando declara que el hábito de la lectura voluntaria suele adquirirse en casa, no en la escuela, siendo esto la consecuencia de la voluntad de leer, que se refuerza de la práctica de la lectura en familia. Lo más seguro es que un niño lea si observa que sus padres leen, ya que para él es un ejemplo ver leerlos.
Además se sustenta en Martínez (2014,445-447) cuando manifiesta que el profesorado en casi su totalidad se muestran de acuerdo en que, se debe participar activamente en la iniciación y posterior desarrollo del proceso lector y que debe haber dedicación diaria de la jornada escolar a la escritura, favoreciendo la consolidación de hábitos educativos en el alumnado . Así mismo menciona la importancia de asimilar ciertas normas de comportamiento y hábitos desde las edades más tempranas favoreciendo su proceso integral. Todo lo que el niño o la niña descubren desde muy pequeños lo van “asumiendo” y atribuyendo como un valor en su código ético personal y planteamiento vital. El hecho de interiorizar, por ejemplo, hábitos saludables durante la infancia, facilitará su desarrollo a nivel social, educativo, emocional, personal y natural en su medio más cercano. De allí la necesidad de estar constantemente monitoreando las actividades escolares de los hijos y la necesidad de involucrarse, pese a las múltiples quehaceres laborales. Por último se sustentan en Gubbins e Ibarra (2016,14) cuando sostiene que dentro del hogar es menos frecuente las actividades del relato de historias creadas por los propios apoderados y el incentivo a la escritura de pequeños textos.
Faur (2006,139) manifiesta que en la conciliación familia y trabajo se da con dificultades excesivas para las mujeres trabajadoras quienes, como indican las encuestas de uso del tiempo, desarrollan ahora una mayor carga total de trabajo que los hombres (al considerar el trabajo productivo y el reproductivo). Esta situación ubica a las mujeres, frente a la necesidad de lidiar con el equilibrio entre ambos, frecuentemente renunciando a ampliar sus perspectivas de participación en el mercado laboral o en la vida política, o el cuidado de la casa, y reduciendo su espacio personal para el descanso o la recreación.
Gubbins e Ibarra (2016,14) mencionan que las actividades más frecuentes son aquellas que suelen tener un carácter obligatorio, como la asistencia a actos y celebraciones y entrevistarse con el profesor jefe.
La teoría de participación guiada propuesta por Rogoff, (1993, citado por Lan Blandon Rodríguez y Vásquez (2013,37) acerca de la trascendencia que tiene para el aprendiz (niño, niña) la presencia, el reto, acompañamiento, el estímulo del otro y como el individuo aprende por medio de ese contacto social. Es decir, debe prevalecer un vínculo entre la figura representativa con los hijos e hijas y comprender la dinámica entre estos actores con los procesos de aprendizaje y la relación familia-escuela.
Así mismo se sustenta en Enciso (1999,17) cuando menciona que el trabajo Femenino, la distribución y el uso del tiempo libre de las enfermeras, depende en su mayoría de sus experiencias como trabajadora asalariada, ama de casa y encargada de su familia. Socialmente las mujeres se ven en la “Necesidad” de tomar las mejores decisiones para cumplir adecuadamente sus dos responsabilidades; el trabajo asalariado y el trabajo doméstico, esto genera que el tiempo con que ellas cuentan sea escaso, ya que tiene que hacer equilibrios permanentes en los que generalmente se sacrifica el tiempo libre dedicado a ellas mismas. Difícilmente se pueden establecer los límites entre el trabajo y el tiempo libre de las mujeres, y en esto influye la socialización de género y la división del trabajo por géneros.
La teoría Ecológica del desarrollo de Urie Bronfenbrenner (1979) citado por Fernández B,: Rizo M, y Cortes E,(2015,26) desarrolla una nueva perspectiva para la investigación del desarrollo humano basada en las relaciones del individuo con varios niveles y sistemas o contextos, los cuales están interrelacionados y afectan a su adaptación en las diferentes fases de la vida. Descompone lo que entendemos como medio ambiente en cuatro sistemas: el microsistema es el nivel más inmediato en el que se desarrolla la persona, el mesosistema incluye las relaciones de los entornos en los que participa la persona en desarrollo, el exosistema lo constituyen contextos amplios que no incluyen a la persona y el macrosistema incluye los aspectos socioculturales en los que esta vive.
Así mismo plantea una visión integral para comprender la dinámica familiar y las interacciones que en ella suceden y como cada individuo es afectada de modo significativo, pero debe ser capaz de adaptarse a las etapas del desarrollo evolutivo y a las distintas necesidades de la vida facilitando así al desarrollo familiar y a los procesos de individualización.
Además se sustenta en Espitia y Montes (2009,2) cuando señala que los padres atribuyen importancia a la educación desde sus visiones, expectativas y significados, pero carecen de condiciones necesarias para impulsar el proceso; sus prácticas educativas, recursos, hábitos, tiempo, responsabilidades son limitados, lo cual es un obstáculo para el éxito en el aprendizaje de los hijos.
Por otra parte en Villacis (2008,4) citado por Villamizar, Díaz y Arias, manifiestan que son varias las causas que influyen en el bajo rendimiento escolar en niños de preescolar y de primaria. Los conflictos familiares, el trabajo y la falta de motivación y preparación que existe entre los padres, impide obtener resultados satisfactorios en los estudiantes. Pero existen diferencias bien marcadas en la condición de vida de las familias con un nivel socioeconómico mejor establecido. Estas, se ven reflejadas en la relación de los padres hacia los hijos y éstos a su vez, la reflejan en su rendimiento académico. Cuando los padres se ocupan más en la búsqueda de recursos económicos o quehaceres de la casa y abandonan un tiempo para platicar y ayudar a sus hijos en las cuestiones escolares.
Conclusiones
Las Madres que trabajan en el Ministerio de Salud del Distrito de Huancayo tienen una participación limitada en el acompañamiento escolar (58.2%); a partir del cual describimos que:
Referente a la dimensión supervisión se determina que: la “vigilancia “ en el 48% de madres que trabajan delegan el traslado de sus hijos a la movilidad escolar; en temporada de exámenes un 46% se apoya a través de la familia y el padre para el reforzamiento académico; así mismo en relación a la “comunicación” el 48% nunca consulta ni dialoga con él docente acerca de las dificultades que presentan sus hijos en el cumplimiento de las tareas; en relación al “control” el 41% declara dar el control de las tareas a los familiares; revelando que las madres descuidan la escolaridad de sus hijos.
En relación a la dimensión hábitos de estudio se determina que: el “tiempo” que dedican al establecimiento de reglas o normas para el cumplimiento del horario de estudio, solo el 47% de madres lo realizan; así mismo del 36% de madres que trabajan facilitan a sus hijos un ambiente poco adecuado con ruidos e interferencias (tv, internet y otros) para desarrollar sus tareas y solo el 56% de los niños/as tienen a su alcance los recursos necesarios para estudiar; como libros, computador e internet; a esto se suma que el 41% tiene la ausencia de la madre y el 40% recurre al apoyo de los familiares y hermanos para el desarrollo de las tareas.
Referencias bibliográficas
Balarin, y Cueto (2008) “La calidad de la participación de los padres de familia y el rendimiento estudiantil en las escuelas públicas peruanas” 1era edición Lima – Perú. 10/agosto/2016. 39 pág. Recuperado en: https://goo.gl/zjGwbd
Enciso, V. (1999) “Trabajo femenino y tiempo libre” Revista la ventana N°9. Recuperado 16/03/2016 en: http://148.202.18.157/sitios/publicacionesite/pperiod/laventan/Ventana9/ventana9-2.pdf
Espitia, R. y Montes M. (2009) articulo “Influencia de La Familia en El Proceso Educativo de Los Menores del Barrio Costa Azul de Sincelejo “(Colombia) Vol. 17, N°1. 25/abril/2016. 22 pág. Recuperado de: https://goo.gl/tyKShz
Faur, E. (2006), Genero, masculinidades y políticas de conciliación familia- trabajo Nómadas (col), número, 24, pp.130- 141 Universidad Central Santafé de Bogotá Colombia. 07/ julio/2016.
Fernández B,: Rizo M, y Cortes E,(2015) Aproximaciones teóricas a la satisfacción de las necesidades de los niños de adopción internacional desde la perspectiva enfermera menciona a Bronferbrenner. Index Enferm 24 (3) Recuperado https://goo.gl/k38Kej
INEI (2014) Instituto Nacional de Estadística e Informática. Lima- Perú. Recuperado en 15 abril 2015. https://goo.gl/zJpAkG
Ghouali H. (2007) “El acompañamiento escolar y educativo en Francia, Revista Mexicana de investigación Educativa” Redalyc, enero-marzo-2016.vol12, número 032 COMIE Distrito Federal, México. Recuperado en 18/03/2017. : https://goo.gl/kDEJao
Gómez E. y Suarez O. (1968) “El acompañamiento de los padres en la escuela” Medellín Universidad de Antioquia. Colombia.
Gubbins, y Ibarra (2016) Estrategias Educativas Familiares en Enseñanza Básica: Análisis Psicométrico de una Escala de Prácticas Parentales” Scielo Chile Psicología, 15/Mar/2016. Recuperado en: https://goo.gl/NXRCvq
Lan. Y.; Blandón D., Rodríguez; M. y Vásquez L. (2013) “Acompañamiento Familiar en los Procesos de Aprendizaje” (Tesis de Pregrado) Universidad de San Buenaventura Seccional Medellín – Colombia. 17/marzo/2015. 96 pág. Recuperado en: https://goo.gl/XwosJQ
Martínez, M. (2014) “Incidencia de los Hábitos Educativos en el proceso de aprendizaje del alumnado del segundo ciclo de educación infantil” (Tesis Doctoral) Universidad de Jaén- Facultad de humanidades y ciencias de la educación .España. 08/noviembre/2016. 596 pág. Recuperado en: https://goo.gl/MgW6LK
OCDE/UNESCO-UIS (2003), “Aptitudes Básicas para el mundo del mañana: Otros resultados del proyecto”. PISA 2000”, Ediciones UNESCO. Paris- Francia.25 págs. Recuperado 25/ noviembre/2016. https://goo.gl/F5u6M1
Pinto, y Salazar (2015) (Tesis de pre grado) “Familia- Escuela: La experiencia de aprender juntos”. Fortalecimiento de habilidades socioemocionales en niños de grado transición del colegio república EE.UU. de américa I.E.D. Universidad de la Sabana- Cuba. 20/ enero/2016. 195 págs. Recuperado en: https://goo.gl/2hQyZy
Rivera, L. (2013) “Rol de los padres de familia en la formación de hábitos de lectura de sus hijos” (Tesis de Pre grado) Universidad Rafael Landívar Quetzaltenango Guatemala. 20/noviembre/2016. 92 págs. Recuperado en: https://goo.gl/QpdVXK
Valdés, A.; Martin M. y Sánchez P. (2009) Participación de los padres de alumnos de educación primaria en las actividades académicas de sus hijos Universidad Autónoma de Yucatán- México. Revista Electrónica de Investigación Educativa 11, (1) 13/ noviembre/2016. 18pág. Recuperado en: https://goo.gl/tK1DgD
Villamizar, Díaz y Arias (2016) “Investigación sobre la influencia de los conflictos familiares en la vida escolar” Institución Educativa San Antonio María Claret Ciencias para la Comunicación Montelibano. Recuperado 19/octubre/2016. https://goo.gl/aGvnnA
Notas de autor