Editorial
Comparación de las competencias Matemáticas Antes y Durante la Implementación del Programa de Estudios Generales
Yupay atipaaykuna tinkuchiñawpa pulininćhu programa de estudios generales śhakachininćhu
Amenakoyete ora competencias matemáticas ompoñanakia impoña ora implementación programa de ayosanotaperotiri
Okantagetanaka ora ogokoitagantsipage jirai aike kara otojaigagetanëri ora ogenganepage kara osangenatagetanënganiri
Comparação de competências matemáticas antes e durante a implementação do Programa de Estudos Gerais
Comparación de las competencias Matemáticas Antes y Durante la Implementación del Programa de Estudios Generales
Horizonte de la Ciencia, vol. 12, núm. 22, pp. 7-21, 2022
Universidad Nacional del Centro del Perú

Recepción: 21 Septiembre 2020
Corregido: 06 Enero 2021
Aprobación: 24 Mayo 2021
Resumen: El presente artículo muestra la comparación de las competencias matemáticas antes y durante la implementación del Programa de Estudios Generales (PEG) en la Universidad Nacional del Centro del Perú (UNCP), con el fin de cotejar las exigencias respecto a las competencias: conceptual, procedimental y actitudinal en las asignaturas de matemáticas que se administran en el PEG y en cada Facultad de Ingeniería. Durante el 2018, se tuvo la población de N1=1200 antes del PEG y de N2 = 1600 durante la implementación del PEG; mientras las muestras se eligieron n1=161 y n2= 185 respectivamente. Las técnicas estadísticas para los hallazgos fueron tablas y caja bigote y como consecuencia los resultados revelaron que en las asignaturas de cálculo integral y calculo III en la competencia conceptual antes de la implementación del PEG se observó que el 80 % de las facultades muestreadas el rango de las notas fue desde 11 hasta 14. Durante la implementación del PEG el promedio en Matemática I fue de 13.3 y, para la misma competencia el promedio en Matemática II fue de 12.7. El diseño que se aplicó fue experimental con grupo control (estudiantes antes de la implementación del PEG) y experimental (estudiantes durante la implementación del PEG). Cabe indicar también, que los instrumentos que se aplicaron fueron evaluaciones de desarrollo para las competencias conceptual y procedimental y una escala de Likert para la actitudinal. Los instrumentos fueron elaborados por los investigadores.
Palabras clave: Estudios Generales, matemática, competencias, instrumentos.
Resumo: Este artigo mostra a comparação das competências matemáticas antes e durante a implementação do Programa de Estudos Gerais (PEG) da Universidade Nacional do Centro do Peru (UNCP), a fim de comparar os requisitos relativos às competências conceituais, procedimentais e atitudinais nas disciplinas de matemática geral (PEG) e matemática específica (antes do PEG) que são ministradas em cada Faculdade de Engenharia. Durante 2018, havia uma população de N1 = 1200 antes do PEG e N2 = 1600 durante a implementação do PEG; enquanto as amostras foram escolhidas n1 = 161 e n2 = 185 respectivamente. As técnicas estatísticas para os achados foram tabelas e caixa bigode e como resultado os resultados revelaram que nas disciplinas de cálculo integral e cálculo III na competência conceitual antes da implementação do PEG foi observado que em 80% dos Cursos das amostras a faixa das notas passou de 11 para 14; enquanto durante a implementação do PEG a média em Matemática I foi de 13,3 e, para a mesma competição a média em Matemática II foi de 12,7. O projeto aplicado foi experimental com um grupo de controle (alunos antes da implementação do PEG) e experimental (alunos durante a implementação do PEG). Cabe destacar também que os instrumentos aplicados foram de desenvolvimento, em competência conceitual; a escala Likert em atitudinal e procedimental foi para desenvolvimento e que o aluno possa argumentar os procedimentos; os dois últimos instrumentos foram elaborados pelos pesquisadores.
Palavras-chave: Estudos Gerais, Matemática, competências, instrumentos.
Introducción
La Universidad Nacional del Centro del Perú (UNCP) con sede en Huancayo - Perú no es ajeno a la aplicación de la ley 30220 en el art. 41 la implementación de Estudios Generales es obligatorio para estudio de pre grado y corresponde a los ingresantes a esta casa Superior de estudios. (Ley Universitaria 30220, 2014, pág. 22). (Ministerio de Educación y Ciencia, 2005) Esta Ley trata de plasmar el mundo globalizado, se propone reorientar el Sistema Universitaria sea de Calidad tanto en infraestructura, la parte académica y en la gestión administrativa. De manera especial en la aplicación de la UNCP, dicha ley se ha visto un tanto relevante se disponga al estudiantado en formación integral y a la convivencia nacional y global que demandan los retos planteados. El impacto de los resultados nos permitiría realizar mejoras para el bien de la ciencia, del estudiante y de la institución. (Comision de Trabajo-Universidad Nacional del Centro del Peru , 2017).
Sin embargo, en esta línea aún no se ha abordado de manera contundente la adaptación, las posibles consecuencias del nuevo currículo, ni de los temas propuesto circunscribiendo en que se incluyan en el PEG, el campo de Investigación consiste generalmente en la comparación de las competencias matemática antes y durante la implementación del PEG. Cabe resaltar también que la Cercanía a un modelo de evaluación: el proyecto PISA 2000 (2004), nos dice respecto a las evaluaciones del estudio PISA “la principal finalidad de la evaluación PISA/OCDE consiste en establecer indicadores que expresen el desarrollo de una sociedad…” dichos indicadores se refieren a las competencias de Matemáticas y ciencias, lectura y competencias globales siendo su enfoque al entendimiento de los conceptos y en la manera de actuar dentro de cada dominio. Lo cual amerita el estudio porque en décadas, años pasadas, se implementaron estudios generales, pero, la comparación que en ese tiempo no existía un mundo globalizado como el de hoy.
De todo lo indicado, el programa de estudios Generales no está cumpliendo con las exigencias respecto a las habilidades que los alumnos deberían desarrollar para llevar o aprobar las asignaturas específicas que se administran en cada Facultad de Ingeniería. Por otra parte, los temas desarrollados en los sílabos que se han implementado para Estudios Generales son poco exigentes para que el estudiante sea un protagonista en el desarrollo aplicativo de las matemáticas.
El problema general fue: ¿Cuál es el resultado de la comparación de las competencias matemática antes y durante la implementación del PEG en la UNCP? Y los problemas específicos fue estudiar los efectos y la cuantificación de dichas comparaciones respecto a las competencias matemáticas.
La investigación tuvo el propósito de Comparar el resultado de las competencias matemáticas antes y durante la implementación del Programa de Estudios Generales (PEG) en la Universidad Nacional del Centro del Perú (UNCP). Para cumplir este objetivo se tuvo se analizó el resultado del efecto del Pensamiento sistémico brindado por el PEG en los resultados de las competencias matemáticas en estudiantes, describiendo su efecto antes de la implementación del PEG en los resultados de las competencias matemática en estudiantes de la UNCP y posteriormente se evaluó la cuantificación de la comparación de las competencias matemáticas.
La investigación trata de comparar si lo que se hizo antes de la implementación del Programa de Estudios Generales con lo ya seguido sin la implementación del Programa de Estudios Generales es significativo. Al terminar su análisis de ambos planes curriculares antes del PEG y en su implementación, cada uno de ellos con sus estrategias y formas de enfocar las matemáticas; este proyecto amplio el horizonte científico y dar las razones que son necesarias para este mundo globalizado. Al llegar a este punto, los instrumentos elaborados por los investigadores y el diseño propuesto fueron las que dieron las evidencias de ambos sistemas, uno que va decayendo siendo el currículo antes del PEG; mientras que el del PEG se va implementándose semestre tras semestre.
Finalmente, para que sea entendida lo realizado, definimos lo siguiente: según Sáez Carmen (2019), indica que “La palabra procedimiento, al aplicarla al proceso de enseñanza/aprendizaje, engloba la idea de estrategias y técnicas de aprendizaje”. Stufflebeam y Shinkfield (1993) una de las ventajas de la evaluación consiste en especificar los puntos fuertes y los débiles de la operación programática y sugiere cambios y modificaciones en procedimientos y objetivos. Mientras que Hellriegel, Susan E. Jackson, Jobn W. Slocum (2002), mencionan que: “una competencia es una combinación de conocimientos, destrezas, comportamientos y actitudes que coadyugan a la eficiencia personal”. Y, según Joseph O’ Connor e Ian McDermott (1998), menciona que “El pensamiento sistémico es lo que contempla el todo y las partes, así como las conexiones entre las partes, y estudia el todo para poder comprender las partes”
Metodología
Por otro lado, la población de estudio siendo el grupo total del cual se seleccionó estuvo integrada por los estudiantes de la UNCP, aquellos estudiantes que estudiaron matemáticas antes del PEG de 1 200 estudiantes y los que iniciaron la implementación del PEG, fue 1 600 estudiantes de la que se extrajo la muestra integrada por los estudiantes matriculados en las asignaturas de matemáticas I y II en el área de Ciencias de las Facultades de Ingeniería en la que se implementó el PEG siendo de 185 y la segunda muestra por los estudiantes que estudiaron matemática antes de la implementación del PEG, siendo 161; ambos suman 346 estudiantes.(Stevenson W., 1981, pág. 186).
| Facultad de Ingeniería | Antes del PEG | Durante el PEG | |
| Matemática I | Matemática II | ||
| Civil | 19 | 29 | 28 |
| Mecánica | 22 | 30 | - |
| Metalurgia | 40 | 40 | - |
| Química | 40 | - | 09 |
| Minas | 40 | - | 49 |
| Total | 161 | 99 | 86 |
En la tabla 1, se muestra que la cantidad de estudiantes muestreados es de 346 estudiantes.
A continuación, se describe los métodos a seguir para cada objetivo propuesto, siendo como sigue:
Objetivo General: Comparar el resultado de las competencias matemáticas entre el pensamiento sistémico del PEG con las PEA antes de la implementación del PEG en la UNCP.
Los instrumentos que se usaron y fueron administrados a los estudiantes antes la implementación del PEG, fueron por desarrollo y fueron aplicados por los mismos docentes de facultad, ya que aún no se había implementado la ley 30220. Aquí conviene detenerse un poca, pues los estudiantes ingresaban a Facultad donde empezaban sus estudios con su plan curricular elaborado en el 2004. Con respecto a este primer punto, también los docentes, responsables de las asignaturas de matemática, exigían a los alumnos, porque estos tenían que cumplir competencias para el afianzamiento de sus asignaturas de carrera.
La investigación desarrollada fue explicativa. Se ha puesto al corriente de las causas o factores que han dado inicio o han condicionado la existencia y naturaleza de las competencias de matemática, considerando el Pensamiento sistémico brindado por el PEG y las estrategias del Proceso de Enseñanza - Aprendizaje (PEA) antes de la implementación del PEG en estudiantes de la UNCP. Así mismo indago la relación recíproca y concatenada de todos los hechos de la realidad, buscando dar una explicación objetiva, real y científica a aquello que se desconoce. Se destaca que fue un diseño experimental con grupo control y experimental, porque se recolecto los datos en un determinado tiempo para analizar la evolución de la variable de estudio. Mientras que el grupo control ya se tenía sus características de enseñanza aprendizaje, siendo los docentes asignados. Su esquema fue:

Donde:
X: tratamiento aplicado al grupo experimental con el Pensamiento sistémico brindado por el PEG.
: son las observaciones del grupo experimental.
: son las observaciones del grupo control.
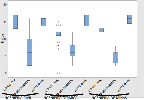
Mientras que los instrumentos administrados a los estudiantes durante la implementación del PEG, para el caso de las competencias conceptuales, fueron aplicados por los docentes responsables de las asignaturas correspondientes. En consecuencia, conviene distinguir que los instrumentos para las competencias procedimentales y las competencias actitudinales fueron preguntas elaborados por los investigadores. Y de acuerdo al tipo de instrumento con las competencias, es razonable que para el procesamiento de los datos se usó la técnica estadística de caja bigote, siendo esta una gráfica de representación visual que trata de mostrar las características de dos o más a la vez de un conjunto de datos.
Objetivo Específico: Analizar el resultado del efecto del Pensamiento sistémico brindado por el PEG en los resultados de las competencias matemática en estudiantes de la UNCP.
Prosiguiendo con el método usado para lograr el primer objetivo específico, se usó la escala de likert y medir la competencia actitudinal en ambas asignaturas de Matemática I y II durante la implementación de PEG.
Objetivo Específico: Describir el efecto del PEA antes de la implementación del PEG en los resultados de las competencias matemática en estudiantes de la UNCP.
Seguidamente se consideró que las evaluaciones para los estudiantes antes de la implementación del PEG fueron por desarrollo y que numéricamente se tenía en la base de datos de asuntos académicos de UNCP.
Objetivo Específico: Evaluar la cuantificación de la comparación de las competencias matemática entre el pensamiento sistémico del PEG con las PEA antes de la implementación del PEG en la UNCP.
Para el logro de este último objetivo específico se ha determinado las medidas que se ubican en el centro y valores de dispersión. La primera tiene la característica de que se obtiene un solo valor que representa el orden general de magnitud de los datos observados. Mientras que la segunda, describe cuan agrupados o alejados se encuentran el conjunto de datos respecto a la media aritmética.
Resultados
Resultado 1: Asignaturas durante la implementación del PEG
· Se pudo verificar que el promedio correspondiente a la competencia conceptual de la asignatura de Matemática I de las Facultades muestreadas: Civil, Mecánica y Metalúrgica es de 13.33; mientras que, para la misma competencia el promedio correspondiente a la asignatura de Matemática II de las Facultades muestreadas: Civil, Química y Minas es de 12.67.

Al administrárseles el instrumento para evaluar la competencia procedimental el 100% de estudiantes de las facultades muestreadas están desaprobadas.
· Por otro lado, en la competencia actitudinal en ambas asignaturas de Matemática I y II sus notas tiene promedios de 15 y 16 respectivamente. Es decir, su actitud para la predisposición de las matemáticas es relevante.

Asignaturas antes de la implementación del PEG
Para las asignaturas de matemáticas antes de la implementación del PEG su nota promedio es de 11.5
| CLASES | xi | f | F | h | % |
| [0,4) | 3.5 | 1 | 1 | 0.05 | 05 |
| [4,8) | 6.5 | 0 | 1 | 0.00 | 00 |
| [8,12) | 9.5 | 5 | 6 | 0.26 | 26 |
| [12,16) | 12.5 | 10 | 16 | 0.53 | 53 |
| [16,20) | 15.5 | 3 | 19 | 0.16 | 16 |
| TOTAL | 19 | 1.00 | 100 |
| CLASES | f | F | h | % |
| [05,07) | 0 | 0 | 0.00 | 0% |
| [07,09) | 0 | 0 | 0.00 | 0% |
| [09,11) | 12 | 12 | 0.55 | 55% |
| [11,13) | 9 | 21 | 0.41 | 41% |
| [13,15) | 1 | 22 | 0.05 | 5% |
| Total | 22 | 1.00 | 100% |
| CLASES | f | F | h | % |
| [05,07) | 1 | 1 | 0.03 | 03 |
| [07,09) | 2 | 3 | 0.05 | 04 |
| [09,11) | 9 | 12 | 0.23 | 23 |
| [11,13) | 24 | 36 | 0.60 | 60 |
| [13,15) | 4 | 40 | 0.10 | 10 |
| Total | 40 | 1.00 | 100 |
| CLASES | f | F | h | % |
| [05,07) | 2 | 2 | 0.05 | 05 |
| [07,09) | 1 | 3 | 0.03 | 03 |
| [09,11) | 6 | 9 | 0.15 | 15 |
| [11,13) | 28 | 37 | 0.70 | 69 |
| [13,15) | 3 | 40 | 0.08 | 08 |
| Total | 40 | 1.00 | 100 |
| CLASES | f | F | h | % |
| [05,07) | 0 | 0 | 0.00 | 05 |
| [07,09) | 0 | 0 | 0.00 | 03 |
| [09,11) | 11 | 11 | 0.28 | 15 |
| [11,13) | 24 | 35 | 0.60 | 69 |
| [13,15) | 05 | 40 | 0.13 | 08 |
| Total | 40 | 1.00 | 100 |
Resultado 2
Según los resultados se obtuvo que los temas que fueron desarrollados en ambas asignaturas, tanto en matemática I y matemática II son básicos para estudios generales y no tienen la rigurosidad para que les sirva en las facultades al seguir avanzando en las asignaturas específicas y de especialidad.
| Matemática I | Matemática II |
| Proposiciones y conjuntos | Vectores |
| Cardinalidad | Geometría analítica |
| Ecuaciones e Inecuaciones | Limites |
| Relaciones | Funciones reales |
| Matrices y determinantes | Derivada y optimización |
| Sucesiones | Coordenadas polares |
| Limites | Números complejos |
Resultado 3:
| Facultades De ingeniería | Rango de aprobados | Porcentaje |
| Civil | Desde 12 hasta 16 | 53 |
| Mecánica | Desde 11 hasta 14 | 46 |
| Química | Desde 11 hasta 14 | 70 |
| Minas | Desde 11 hasta 14 | 77 |
| Metalúrgica y de Materiales | Desde 11 hasta 14 | 77 |
Como se observa en la tabla resumen respecto de la evaluación de las asignaturas antes del PEG, cuatro de la cinco las facultades muestreadas presentan un rango de notas entre 11 y 14; mientras que en la facultad de ingeniería Civil oscila entre 12 y 16. Además, tres de las cinco facultades tienen un rango de aprobación en los estudiantes entre 70% y 77% de sus estudiantes.
Resultado 4:
También se muestra que, respecto a la competencia procedimental, en las asignaturas de Matemática I y II las notas se encuentran desaprobadas con promedios de 05 y 04, respectivamente.
| facultades de ingeniería | promedio |
| civil | 7.67 |
| mecánica | 4.27 |
| metalurgia | 2.05 |
| Facultades de ingeniería | Promedio |
| Civil | 6.75 |
| Química | 4.22 |
| Minas | 6.69 |
Discusión de los resultados
Antes de la implementación del PEG: Los resultados se han organizado y determinado en forma resumida de los estudiantes antes que se implantará el PEG, vimos que su rendimiento es óptimo; quiere decir, el promedio del estudiantado aprobado es del 45% hacia arriba. Al observar el promedio del promedio de las cinco facultades muestreadas de los estudiantes fue de 11.5, esto implica que su nivel de rendimiento académico es satisfactorio.
Durante la implementación del PEG: Para este caso se discutió para las asignaturas de Matemática I y enseguida para la asignatura de Matemática II considerando sus promedios para cada uno:
Asignatura de Matemática I
Se observa en tabla 9 a la competencia procedimental que el promedio mayor es de 7.67 y el mínimo es de 2.05. en consecuencia, ningún salón tiene promedio aprobado.
Por otro lado, al realizarse el análisis de las competencias actitudinales respecto a la figura 2, todas los entrevistados de las aulas muestreadas su actitud a las matemáticas corresponde a que valoran con un criterio de “bastante”. Es decir, los estudiantes tienen interés y su conformidad representa ni mucho, pero sobre pasa lo regular en la asignatura de matemática I.
Asignatura de Matemática II
Se observa en la tabla 10, que el promedio mayor es de 6.75 y el mínimo es de 4.22. en consecuencia, ningún salón tiene promedio aprobado.
Por otro lado, al realizarse el análisis de las competencias actitudinales respecto a la figura 3, todas los entrevistados de las aulas muestreadas su actitud a las matemáticas corresponde a que valoran con un criterio de “bastante”. Es decir, los estudiantes tienen interés y su conformidad representa ni mucho, pero sobre pasa lo regular en la asignatura de matemática I.
· Con respecto al objetivo general que se logró, siendo:
Comparar el resultado de las competencias matemáticas entre el pensamiento sistémico del PEG con las PEA antes de la implementación del PEG en la UNCP. Se puedo verificar el promedio correspondiente a la competencia conceptual de la asignatura de Matemática I de las Facultades muestreadas: Civil, Mecánica y Metalurgia es de 13.33; mientras que para la misma competencia el promedio correspondiente a la asignatura de Matemática II de las Facultades muestreadas: Civil, Química y Minas es de 12.67.
Al administrárseles el instrumento para evaluar la competencia procedimental el 100% de estudiantes de las facultades muestreadas están desaprobadas.
Por otro lado, en la competencia actitudinal en ambas asignaturas de Matemática I y II sus notas tiene promedios de 15 y 16 respectivamente. Es decir, su actitud para la predisposición de las matemáticas es relevante.
Para las asignaturas de matemáticas antes de la implementación del PEG su nota promedio es de 11.5.
· Con respecto al primer objetivo específico:
Analizar el resultado del efecto del Pensamiento sistémico brindado por el PEG en los resultados de las competencias matemática en estudiantes de la UNCP. Se infiere de los resultados obtenidos que los estudiantes en su plan curricular tenían más asignaturas de matemática obligatorios y les estabilizaba las habilidades tanto conceptuales como las procedimentales
· Para el segundo objetivo específico:
Describir el efecto el PEA antes de la implementación del PEG en los resultados de las competencias matemática en estudiantes de la UNCP. Se deduce de los resultados que los temas desarrollados en ambas asignaturas son laxos y no tienen la rigurosidad como para mantenerse dentro de las facultades en las asignaturas específicas y de especialidad.
· Para el tercer objetivo específico:
Evaluar la cuantificación de la comparación de las competencias matemática entre el pensamiento sistémico del PEG con las PEA antes de la implementación del PEG en la UNCP. También se deduce de los resultados que respecto a la competencia procedimental en ambas asignaturas de Matemática I y II sus notas están desaprobados con promedios de 05 y 04 respectivamente y, cabe resaltar que en la competencia procedimental en ambas asignaturas de Matemática I y II sus notas están desaprobados con promedios de 05 y 04 respectivamente.
· Respecto a los antecedentes considerados
Al comparársele los resultados obtenidos en la presente investigación son heterogéneos, se refleja en la caja bigotes analizados; mientras que en la investigación cuyo título es “La competencia matemática en los países de mejor rendimiento en Pisa” sus resultados determinados son homogéneos de acuerdo a las conclusiones mencionadas. Sin embargo, al ser comparados con la tesis intitulada: “Influencia de la enseñanza de la matemática basada en la resolución de problemas para mejorar el rendimiento académico de los estudiantes del tercer grado de secundaria de la I.E. AICHI -NAGOYA No 0026, UGEL 06 -ATE, 2013” los resultados hallados en la presente investigación están por encima de sus rendimientos que los autores de la tesis mencionada han arribado.
Conclusiones
Se infiere de los resultados obtenidos que los estudiantes en su plan curricular tenían más asignaturas de matemática obligatorios y estabilizaba las habilidades tanto conceptuales como las procedimentales.
De los resultados que se obtuvo en cada tópico desarrollado en ambas asignaturas matemática I correspondo al primer semestre y matemática II al segundo semestre y según los estudiantes son demasiados básicos y no tienen la rigurosidad.
Al realizarse el análisis de las competencias actitudinales de los entrevistados en las aulas muestreadas correspondiente al PEG de Matemática I y Matemática II, se determinó que su actitud frente a las matemáticas corresponde a una valoración con un criterio de “bastante”, según la escala de Lickert; es decir, los estudiantes tienen interés. Lo extraño es que los temas que se desarrollan los mismos que se administran en los centros Preuniversitarios a nivel nacional.
Al comparársele los resultados obtenidos en la presente investigación son heterogéneos.
Referencias
Comision de Trabajo-Universidad Nacional del Centro del Peru . (2017). Curriculo de Estudios Generales. Huancayo.
Guzman J. (2009). ¿Cómo evaluar competencias educativas? Diseñe instrumentos y métodos psicopedagógicos eficaces. Colombia: Psicom.
Hellriegel D. & Jackson S. & Slocum J. (2002). Administración: un enfoque basado en competencias (9 ed.). Australia: Tbomson Learning.
Hernández, R., Fernández C. Baptista M. (2014). Metodología de la Investigación. Mexico: McGRAW-HILL / INTERAMERICANA EDITORES.
Joseph O’ Connor e Ian McDermott. (1998). Introducción al Pensamiento Sistemico. España: Urano.
Ministerio de Educación. (08 de julio de 2014). Ley Universitaria 30220. Lima, Lima, Perú: Calle Del Comercio, 193.
Ministerio de Educación y Ciencia. (2005). Instituto Nacional de Evaluación y Calidad del Sistema Educativo. Madrid: LAVEL Industrias Gráficas S.A.
Pajares R. y Saenz R. (2004). Aproximación a un modelo de evaluación: el proyecto 2000. Madrid: Secretaría General Técnica.
Sáez C. (2019). Procedimientos. Encuentro: revista de investigación e innovación en la clase de idiomas, 10, 157-166.
Senge, P., Charlotte, R. y Ross, R. (2006). La quinta disciplina en la práctica : estrategias y herramientas para construir la organización abierta al aprendizaje. Argentina: Ediciones Granica S.A.
Stevenson W. (1981). Estadistica Para Administracion y Economia. Mexico: Harla
Stufflebeam D. y Shinkfield A. (1993). Evaluación sistemática Guía teórica y práctica. Madrid: Centro de Publicaciones del M.E.C. y EdiCiones Paidós Ibérica, S.A.
Taipe R. (2009). Pensamiento sistemico: Un camino de aprendizaje. Huancayo.
Notas de autor
belen_011@hotmail.com