Articles
A Vindication of The RR Lyrae Fourier Light Curve Decomposition for the Calculation of Metallicity and Distance in Globular Clusters
Una reivindicación de la descomposición de la curva de luz de RR Lyrae Fourier para el cálculo de la metalicidad y la distancia en los cúmulos globulares
A Vindication of The RR Lyrae Fourier Light Curve Decomposition for the Calculation of Metallicity and Distance in Globular Clusters
Revista mexicana de astronomía y astrofísica, vol. 58, no. 2, pp. 257-271, 2022
Universidad Nacional Autónoma de México, Instituto de Astronomía
Received: 03 February 2022
Accepted: 01 April 2022
Funding
Funding source: DGAPA
Funding source: UNAM
Contract number: IG100620
Funding statement: PAPIIT of the DGAPA-UNAM, México via several grants, the most recent being IG100620.
ABSTRACT: We report the mean metallicity and absolute magnitude of RR Lyrae stars in a sample of 37 globular clusters, calculated via the Fourier decomposition of their light curves and ad hoc semi-empirical calibrations, in an unprecedented homogeneous approach. This enabled a new discussion of the metallicity dependence of the horizontal branch (HB) luminosity, as a fundamental distance indicator. The calibration for the RRab and RRc stars should be treated separately. For the RRab the dispersion is larger and non-linear. For the RRc stars the correlation is less steep, very tight and linear. The relevance of the HB structural parameter £, is highlighted and we offer a non-linear calibration of the form MV ([Fe/H], £). Excellent agreement is found between values of [Fe/H] and MV from the light curve decomposition with spectroscopic values and distances obtained via Gaia-DR3 and HST. The variables census in 35 clusters includes 326 stars found by our program.
Keywords: Globular clusters: general, stars: horizontal branch, stars: distances, stars: fundamental parameters, stars: variables: RR Lyrae.
RESUMEN: Reportamos valores medios de la metalicidad y magnitud absoluta de estrellas RR Lyrae en 37 cúmulos globulares (CGs), calculados homogéneamente por medio de la descomposición de Fourier de las curvas de luz y de calibraciones ad hoc semi empíricas. Lo anterior permitió un nuevo análisis de la luminosidad de la rama horizontal (RH) y su dependencia de la metalicidad, como indicador fundamental de distancia. La calibración para estrellas RRab y RRc debe tratarse por separado. Para las RRab no es lineal y presenta mayor dispersión. Para las RRc la correlación es lineal y estrecha. La relevancia del parámetro de estructura de la RH, £ para las RRab, es evidente. Ofrecemos una calibración de la forma MV ([Fe/H], £). Los valores de [Fe/H] y MV comparan muy bien con valores espectroscópicos y determinaciones de distancia obtenidas con datos de Gaia-DR3 and HST. El censo de variables en 35 cúmulos incluye 326 descubiertas por nuestro programa.
Palabras clave: Cúmulos globulares: generales, estrellas: rama horizontal, estrellas: distancias, estrellas: parámetros fundamentales, estrellas: variables: RR Lyrae.
1. A Brief Panorama Of The MV-[Fe/H] Relation
The relevance of RR Lyrae (RRL) stars as distance indicators has been well known since the early 20th century. Shapley (1917) recognized that “the median magnitude of the short-period variables [RR Lyrae stars] apparently has a rigorously constant value in each globular cluster” and “the observed differences in the mean values then become sensitive criteria of distance, and the relative parallaxes of these remote systems can be known with an accuracy...”, a fact that was used later by Shapley himself to describe the Galactic distribution of globular clusters (Shapley 1918). This apparently constant value of the mean magnitude of the RRL can now be interpreted as the luminosity level of the horizontal branch (HB) being constant in all globular clusters. The fact that this is not exactly the case, but instead that metallicity plays a role in determining the luminosity level of the HB, has been demonstrated from theoretical and observational grounds. Sandage (1981); Lee et al. (1990); Sandage (1990) provided a calibration of the MV -[Fe/H] relation. Lee et al. (1990) discussed its dependence on helium abundance. Other empirical calibrations followed in the works of Walker (1992)), Carney et al. (1992), Sandage(1993) and Benedict et al. (2011). Complete summaries on the calibration of the MV -[Fe/H] relation can be found in the works of Chaboyer (1999), Cacciari & Clementini (2003) and Sandage & Tammann (2006).
While the relation has been considered to be linear in most empirical works, a non-linear nature is advocated by theoretical approaches, e.g. Cassisi et al. (1999) and VandenBerg et al. (2000). A linear relation of the form MV = a + b[Fe/H] has been broadly accepted in the literature and the slope, resulting from a variety of independent calibrations, ranges a wide span (0.13 0.30) as different strategies have been adopted, mainly towards the calculation of MV. The relevance of the slope and zero point of this relation on the relative and absolute ages of the globular clusters has been amply discussed by Chaboyer et al. (1996, 1998) and Demarque et al. (2000). That a linear relation may be an over simplification (Catelan & Smith 2015) becomes very clear from the theoretical analysis of Demarque et al. (2000), that clearly demonstrates the role of the HB structure and that the slope itself is a function of metallicity. The higher complexity of the HB luminosity and metallicity interconnection has however defied clear empirical demonstrations and calibrations, for which, a very extensive and homogeneous endeavor is required.
Our approach to the determination of mean MV and [Fe/H] of RRL stars has been the Fourier light curve decomposition of both the fundamental mode and first overtone pulsators RRab and RRc respectively. This followed by the employment of solidly established semi-empirical calibrations between the Fourier parameters and the physical quantities. As early as 2002, our group started studying individual clusters in great detail from CCD time-series imaging through the Johnson-Kron-Cousins VI bands. Each cluster in the sample has been the subject of a dedicated study, and the discussions include several key aspects of the nature of the globular clusters, such as distinction of likely cluster members from field stars, structure of the colour-magnitude diagram (CMD), pulsating mode distribution on the HB, and theoretical approaches to the mass loss events in the red giant branch and the subsequent mass distribution at the stage of core He-burning (zero age horizontal branch or ZAHB) and post ZAHB evolution.
In 2017, Arellano Ferro et al. (2017) (hereinafter ABG17) summarized the results of a 15-year old program dedicated to study the variable star populations in globular clusters. The program was mainly aimed to the determination of the mean distance and metallicity of the clusters in a homogeneous way, via the Fourier decomposition of the light curves of their RRL stars and the use of well tested semi-empirical calibrations of the Fourier parameters in terms of luminosity and [Fe/H]. The program is based on the Johnson-Kron-Cousins VI CCD time-series imaging, and their subsequent scrutiny via the difference images analysis (DIA), that produces accurate photometry even in the crowded central regions of the globular clusters. In the process numerous variables of virtually all types typically present in globular clusters were discovered, of which ABG17 gave a detailed account.
Presently, five years after ABG17 paper, our group has systematically continued enlarging the sample of studied clusters which has increased from 25 to 34. This should enable a better sustained discussion of the MV -[Fe/H] relation, i.e. the metallicity dependence of the luminosity of the horizontal branch (HB), and the influence of the cluster Oostherhoff type and the HB structure (Demarque et al. 2000). In the present paper we update our discussion of the nature and calibration of the MV -[Fe/H] relation, and introduce the role of the HB structure parameter £ which is shown to be of obvious relevance. We also perform a census of variable stars per cluster per variable type and reinforce the resulting cluster distance scale from the Fourier approach via the comparison with independent distances recently obtained from Gaia and HST accurate data.
We shall mention at this point that the parameters listed in the tables below for specific clusters and number of variables may occasionally differ slightly from the equivalent tables in ABG17, as a result of a critical evaluation of the original samples. The present tables supersede the previous ones.
2. Observations and Image Reductions
2.1. Observations
The observations involved in the program have been obtained in several observatories and telescopes in the 0.8-2.15 m range. The majority of the observations have been performed with the 2.0 m Himalayan Chandra Telescope (HCT) of the Indian Astronomical Observatory (IAO), Hanle, India. We have also used the 0.84 m of San Pedro Mártir Observatory (SPM) Mexico, the 2.15 m telescope of the Complejo Astronómico El Leoncito (CASLEO), San Juan, and the 1.52 m telescope of Bosque Alegre of the Córdoba Observatory, Argentina, the Danish 1.54 m telescope at La Silla, Chile, the SWOPE 1.0 m telescope of Las Campanas Observatory, Chile, the LCOGT 1 m telescope network at the South African Astronomical Observatory (SAAO) in Sutherland, South Africa, at the Side Spring Observatory (SSO) in New South Wales, Australia, and at Cerro Tololo InterAmerican Observatory (CTIO), Chile.
2.2. Transformation to the Standard System
All observations have been transformed from the instrumental to the standard Johnson-Kron-Cousins photometric system (Landolt 1992) VI, using local standard stars in the fields of the target clusters. These standard stars have been taken from the extensive collection of Stetson (2000)1. Typically between 30 and 200 standard stars were available per globular cluster.
2.3. Difference Image Analysis
All the image photometric treatment has been performed using the Difference Image Analysis with the DanDIA pipeline (Bramich 2008; Bramich et al. 2013, 2015).
3. Calculation of MV and [Fe/H]
Our approach to the calculation of mean MV and [Fe/H] for each GC in the sample has been through the RRL light curve Fourier decomposition, and the application of ad hoc, well tested, semi empirical calibrations. The Fourier decomposition of the RRL light curves is performed by fitting the observed light curve in V -band with a Fourier series model of the form:
where m(t) is the magnitude at time t, P is the period, and E is the epoch. A linear minimization routine is used to derive the best-fit values of the amplitudes Aκ and phases Φκ of the sinusoidal components. From the amplitudes and phases of the harmonics in equation 1, the Fourier parameters, defined as Φij = jΦi - iΦj, and Rij = Ai / Aj, are computed.
Subsequently, the low-order Fourier parameters can be used in combination with semi-empirical calibrations to calculate [Fe/H] and MV for each RRL, and hence the mean values of the metallicity and absolute magnitude for the RRL population in the host cluster.
The specific calibrations and zero points used for RRab and RRc stars for this purpose are described in § 3.1. Numerous Fourier decompositions of RRL light curves can be found in the literature. However, over the years, each author has used different calibrations and zero points to estimate MV and [Fe/H]. Our group has also used slightly different equations in the earlier papers but in the work by Arellano Ferro et al. (2010) zero points of the MV calibrations (see their § 4.2), were discussed and adopted, and we have used them subsequently. In the present paper we have recalculated MV and [Fe/H] for all clusters in the sample, using the calibrations described in the following section.
The final values found for MV and [Fe/H], the later expressed in the three different scales defined in § 3.1, are listed in Table 1, which is organized by Oosterhoff types; Oosterhoff (1939, 1944) realized that the periods of fundamental-mode RRL, or RRab stars in a given cluster, group around two values; 0.55 d (Oosteroff Type I or OoI) and 0.65 d (Oosteroff Type II or OoII). OoI clusters are systematically more metal-rich than OoII clusters. A third Oosterhoff class (OoIII) (Pritzl et al. 2000), which presently contains only two GCs, NGC 6388 and NGC 6441, is represented by very metal-rich systems, where the periods of their RRab stars average about 0.75 d. A few clusters have been classified as of the intermediate type or OoInt, since the average periods of their RRab stars and their mean [Fe/H] fall between those of Type I and Type II clusters; it has been argued that OoInt clusters may be associated to an extragalactic origin (Catelan 2009) due to their similarity to dSph galaxies, satellites of the Milky Way, and their respective clusters. In Table 1 we include of 16 OoI, 14 OoII, 2 OoIII and 2 OoInt clusters. The calculations have been performed independently for RRab and RRc stars. For clusters with differential reddening, i.e. NGC 1904, NGC 3201, NGC 6333 and NGC 6401, care has been taken in calculating the individual reddening for each RRL. The interested reader is referred to the original papers for a detailed discussion on that subject.
![Mean values of [fe/h], given in three different scales, and mv from a homogeneous fourier decomposition of the light curves of RR Lyrae cluster members1](../57175502008_t1_tabla.png)
3.1. [Fe/H] and MVCalibrations
For the calculation of [Fe/H] we adopted the following calibrations:
from Jurcsik & Kovács (1996) and Morgan et al. (2007) for RRab and RRc stars, respectively. In the above equations, φ(c) and φ(s) are the phases calculated either on a cosine or a sine series respectively, and they are correlated as φ(s) = φ(c)− π. The iron abundance on the Jurcsik & Kovács (1996) scale can be converted into the Zinn & West (1984) scale using the equation [Fe/H]J = 1.431[Fe/H]ZW + 0.88 (Jurcsik 1995). Then, the [Fe/H]ZW can be transformed into the spectroscopic scale [Fe/H]UV defined by Carretta et al. (2009) from high resolution spectroscopic determinations of the iron abundance, via the relation: [Fe/H]UV= -0.413 + 0.130 [Fe/H]ZW 0.356 [Fe/H]2ZW.
Nemec et al. (2013) calculated non-linear calibrations of [Fe/H] in terms of φ31 and pulsating period, using as calibrators the iron to hydrogen abundances of 26 RRab and 110 RRc stars calculated from high dispersion spectroscopy. For the RRc stars they added four RRc stars to the original 106 used by Morgan et al. (2007) (equation 3) and removed a posteriori nine outlier stars. Nemec’s calibrations for the RRab and RRc stars are respectively of the form;
where is given in the Kepler scale (Nemec et al. 2013), and
As pointed out by Nemec et al. (2013), since the above calibrations are based on high resolution spectroscopic determinations of [Fe/H], the derived values [Fe/H]N are on the UV scale of Carretta et al. (2009). Thus, they should be comparable to the values [Fe/H]UV, a point on which we shall comment below.
For the calculation of MV we adopted the calibrations:
from Kovács & Walker (2001) and Kovács & Kanbur (1998) for the RRab and RRc stars, respectively. The zero points of equations 6 and 7 have been calculated to scale the luminosities of RRab and RRc stars to the distance modulus of 18.5 mag for the Large Magellanic Cloud (LMC) (see the discussion in § 4.2 of Arellano Ferro et al. (2010).
In Table 1 we list the globular clusters studied by our team and the resulting [Fe/H] in the scales of Zinn & West (1984), Carretta et al. (2009) and Nemec et al. (2013), i.e. [Fe/H]ZW, [Fe/H]UV and [Fe/H]N and MV, estimated via the Fourier decomposition of the light curves of the RRab and RRc stars. To this end, we have taken the Fourier parameters published in the original papers and applied the above calibrations for the sake of homogeneity. We have also included the two metal-rich clusters NGC 6388 and NGC 6441 studied by Pritzl et al. (2002, 2001), NGC 1851 (Walker 1998) and NGC 5272 (M3) (Cacciari et al. 2005) since the light curve Fourier decomposition parameters are available in those papers. In order to increase the sample, the clusters NGC 5286, NGC 6266 and NGC 6809, have been added. For these, Fourier-based physical parameters have been reported by Zorotovic et al. (2010), Contreras et al. (2010) and Olech et al. (1999) respectively and the results have been duly transformed to the proper scales by Kains et al. (2012). In all these calculation of the Fourier-based physical parameters, we have systematically avoided clear Blazhko variables or any amplitude modulated stars. All the relevant papers are recorded in the notes to Table 1.
The use of the above equations and their zero points forms the basis of the discussion of the MV-[Fe/H] relation and the cluster distances on a homogeneous scale, which we present in the following sections.
4. Vindication of the Photometric Approach to the Metallicities
There is absolutely no doubt that the most precise approach to the determination of metallicities of heavenly bodies is via high-resolution spectroscopy. The practical limitations to that technique are several however; to reach deep in magnitude, typical of the HB in most globular clusters, long exposure times with large telescopes are required, making it unaffordable. The spectroscopic values for 19 clusters listed by Carretta et al. (2009) were obtained in numerous previous papers cited by these authors. The analyses were carried on luminous red giants of V ≈ 14 16 mag, i.e. 2-3 magnitudes brighter than RRL stars at the HB, and after an enormous compromise of observational and computational resources. While this situation may change with the advent of in-orbit high resolution spectrographs, the competition for access to the instrumentation will likely remain tough. The photometric approach to the metallicity and luminosity calculation in RRL stars was envisaged in the 1980’s (Simon & Teays 1982), and became a popular alternative since it reaches as low as V ≈ 20 mag with sufficient accuracy with very short exposure times on 1-2 m-class telescopes, enabling the access to larger samples of clusters. The Fourier decomposition approach was further developed to produce the calibrations in § 3 employed in this paper.
Our goal in this section is to compare the photometric values reported in this work with the spectroscopic values of Carretta et al. (2009). Figure 1 shows the photometric based values of [Fe/H] in the UV and Nemec scales (Table 1) for the RRab and RRc stars, plotted versus the spectroscopic values given by Carretta et al. (2009). In Panels (a) and (b) it is clear that the comparison is satisfactory for the case of [Fe/H]UV. However, for [Fe/H]N the RRab calibration seems to systematically overestimate the metallicity relative to the spectroscopic values. The iron values from Nemec’s calibration for RRc stars also compare well with the spectroscopic values. There is a mild suggestion in both panels (b) and (d) that the calibrations for the RRc stars of equations 3 and 5, which are in fact based on the same set of calibrators, may require a small adjustment of about −0.2 dex for iron values smaller than −2.0.
![Comparison of the Fourier based [Fe/H] (Table 1), with those from high-resolution spectroscopy based values from Carretta et al. (2009). Filled and empty circles represent OoII and OoI clusters respectively. Open triangles and squares represent OoInt and OoIII clusters. See § 4 for a discussion. The color figure can be viewed online.](../0185-1101-rmaa-58-02-257-gf1.jpg)
5. The MV -[Fe/H] correlation
It has been argued that equation 2 overestimates [Fe/H] for metal-poor clusters. This problem has been addressed by Jurcsik & Kovács (1996), Schwarzenberg-Czerny & Kaluzny (1998), Kovács (2002), Nemec (2004) and Arellano Ferro et al. (2010). It is difficult to quantify a correction to be applied, and it is likely also a function of the metallicity. However, empirical estimations in the above papers point to a value between -0.2 and -0.3 dex on the scale of equation 2. We have adopted -0.3 dex, which on the ZW scale is equivalent to - 0.21 dex. Equally difficult is to define a value of [Fe/H]ZW below which the corrections should be applied. Guided by the metallicity values of globular clusters in the spectroscopic scale of Carretta et al. (2009), we estimated that a reasonable limit would be [Fe/H]ZW< 1.7 Therefore, the values listed in Table 1 for clusters with [Fe/H]ZW< -1.7 dex were obtained by adding -0.21 dex to the value of [Fe/H]ZW found via equation 2. As a consequence the [Fe/H]UV values for these clusters are also affected by this correction. Note that the good comparison between the photometric [Fe/H]UV and the spectroscopic values displayed in Figure 1 (a) was obtained after the application of the correction above.
In Figure 2 we show the distribution of clusters in the MV -[Fe/H] plane obtained from the RRab stars (left panel) and the RRc stars (right panel). In each of these panels we display the resulting distributions for the three involved scales [Fe/H]ZW, [Fe/H]UV and [Fe/H]N. In the middle and bottom boxes, for the spectroscopic scales [Fe/H]UV and [Fe/H]N, we include as reference, in gray colour, two theoretical, non-linear, versions of the MV -[Fe/H] relation of Cassisi et al. (1999) and VandenBerg et al. (2000).
![The [Fe/H] versus MV correlations for RRab and RRc stars. The involved metallicity scale is, from top to bottom panels, [Fe/H]ZW, [Fe/H]UV and [Fe/H]N. Filled and open circles represent OoII and OoI clusters respectively. Open triangles and squares represent OoInt and OoIII clusters. All fits have been weighted by the number of stars included in each cluster. In the left panel, the gray curves are the theoretical predictions of Cassisi et al. (1999) (long dash) and VandenBerg et al. (2000) (short dash), which are strikingly similar to the photometric solution in panel (b). The color figure can be viewed online.](../0185-1101-rmaa-58-02-257-gf2.jpg)
We shall discuss these correlations separately for the RRab and RRc stars.
5.1. From RRab Stars in Globular Clusters
The trend between [Fe/H] in all scales and MV is evident, as much as the large scatter. There are a few outliers, labeled in the figure, that were not considered in the calculations of the fitted regressions (with the exception of M15). However, some evidence of non-linearity is suggested in the central and bottom panels of Figure 2, particularly oriented by the presence of M15 that is the most metal-poor cluster in the sample; hence its relevance. It is also worth noting that Nemec et al. (2013) calibration, equation 4, includes a wider selection of calibrators with metallicities below 2.0, and as low as [Fe/H] ≈ 2.68 (for star X Ari). Since the number of stars involved in the calculation of the physical parameters varies from cluster to cluster, all the fits below have been weighted by 1/(σi2/Ni). The quadratic fits for [Fe/H]UV and [Fe/H]N are of the form:
with an rms=0.060 mag, and
with an rms=0.060 mag.
The quadratic empirical solutions for [Fe/H]UV, shown in Figure 2 (b), is remarkably similar to the theoretical predictions of VandenBerg et al. (2000) and Cassisi et al. (1999), in shape and luminosity level. To our knowledge, this is the first empirical solution that reproduces the theoretical predictions of the non-linear nature of the correlation, which it has likely been enabled by the homogeneous treatment of a large number of clusters, and the distinction of RRab and RRc stars.
We call attention to the inclusion of the metal rich cluster NGC 6366 (-0.77, 0.71) in the UV correlation for the RRab, in spite of its metallicity being derived from a single star that might not be a cluster member (Arellano Ferro et al. 2008b). However, excluding it or employing the value [Fe/H]=-0.59 listed by Harris (1996) makes no significant variation in the correlation.
5.2. From RRc Stars in Globular Clusters
The mean [Fe/H] and MV determined from the RRc stars in the family of studied globular clusters are correlated, as shown in the right panel of Figure 2. Immediate differences are seen when compared to the cases from the RRab stars: the slopes are milder, the distributions in the three metallicity scales are all very similar, the correlations are strikingly tight, in spite of which no suggestion of a non-linear correlation is evident. It should also be noted that the Oo-int (triangles) and the OoIII clusters (squares) follow the trends well.
The linear correlations for the [Fe/H]UV and [Fe/H]N can be expressed as:
and
with an rms=0.022 mag.
Equations 10 and 11 are basically identical. The reason is that, although the values of [Fe/H]UV and [Fe/H]N, come from different formulations (equations 3 and 5), both calibrations come essentially from the same set of calibrator stars, since Nemec et al. (2013) took the calibrators from Morgan et al. (2007), and added four stars, for a total sample of 101 stars.
The remarkable difference of the cluster distribution on the MV -[Fe/H] planefor the luminosity and metallicity determinations from the Fourier decomposition for RRab and RRc stars, does require some considerations. Naturally one may wonder if this is an artifact of the calibrations employed to transform Fourier parameters into physical parameters. However, the good agreement of the photometric metallicities [Fe/H]UV and the spectroscopic values (Figure 1 (a)), and also the good cluster distance agreement with independent high-quality determinations presented below in § 6, offer support to the photometric calibrations given in § 3 and their results in Table 1. In our opinion, the run of [Fe/H] with MV and the scatter seen in RRab stars are a consequence of the interconnection of the following: RRab stars are larger amplitude variables with a more complex light curve morphology; often the light maximum is very acute, and they are prone to display amplitude and phase modulations. Therefore, their Fourier decomposition is subject to further uncertainties as they require a larger number of harmonics for a proper representation. Their larger periods may also limit a proper coverage of their pulsating cycle. Also, RRab stars in a given cluster may display small evolutionary stage differences, spreading a luminosity range. These circumstances have their impact on the calibration of the Fourier parameters and on the resultant scatter in the MV -[Fe/H] plane. On the other hand, RRc stars have simpler light curves, mostly sinusoidal, and are more concentrated towards the ZAHB; thus, their Fourier and physical parameters tend to be better correlated.
In summary, the HB luminosity-metallicity correlation seen from the RRab stars is steeper (a fact that had already been reported by ABG17), more scattered and non-linear, whereas from the RRc stars the relation is milder but better defined and linear. RRab and RRc stars should not be mixed for the purpose of studying or applying the correlation as a distance indicator instrument. Therefore, for the sake of estimating a globular cluster distance from its RRL, given its metallicity, one should prefer the RRc stars whenever possible, and either equations 10 or 11.
5.3 The Role of the HB Structure Parameter
Demarque et al. (2000), have argued on theoretical grounds that the overall structure of the HB plays a relevant role and may be interconnected with the HB luminosity and the metallicity of the parental globular cluster. Here we explore the role of the HB type parameter, or Zinn-Lee parameter, defined as ₤ = (B - R)/(B + V + R) (Zinn 1986; Lee 1990), from empirical arguments. B, V and R represent the number of stars to the blue of the instability strip (IS), the number of RRL stars, and to the red of the IS respectively. For a better calculation of ₤, it is convenient to include, as far as possible, only cluster member stars in the counting. Since the list of ₤ values for a large number of clusters presented by Torelli et al. (2019) is the result of membership considerations, we have adopted them for the subsequent analysis. When a cluster is not included in the above list we used the value reported by Catelan (2009). The one exception is NGC 7079 (M2). For this cluster, the reported value is ₤ =+0.96. The analysis of the projected positions and proper motions available in the Gaia-eDR3 data base, and the application of the method of Bustos Fierro & Calderón (2019), kindly performed by Dr. Bustos Fierro, renders a CMD of very likely cluster member stars, with a substantial population of red HB stars for ₤ =+0.34, which shall be adopted. For a few other clusters where similar analyses have been carried out, ₤ values close to those of Torelli et al. (2019) were found.
Figure 3 illustrates the correlation between ₤ and MV, the latter as obtained from the Fourier decomposition for RRab stars (top panel) and RRc stars (bottom panel). In the case of the RRab stars the correlation clearly shows a quadratic trend, once the two Oo-Int clusters, NGC 6388 and NGC 6441, were excluded. In the case of the RRc stars the correlation appears linear with a very mild slope. The corresponding fits in Figure 3 are of the form:
with an rms = 0.058, and
with an rms = 0.026.
Considering the trends in Figure 2 for the RRab and RRc, both for the [Fe/H]UV values (middle panels), and in Figure 3, the dependence of MV on the metallicity [Fe/H] and HB structure parameter ₤, can be expressed, for the RRab and RRc respectively as:
with A=+1.096(±0.141), B=+0.519(±0.172), C=+0.119(±0.050), D=+0.006(±0.014), E=−0.111(±0.029), and rms = 0.053 mag.
with rms = 0.024 mag.
The equivalent calibrations in terms of the metallicity in the scale of Nemec et al. (2013), [Fe/H]N are:
with A=+0.720 (±0.082), B=+0.130(±0.098), C=+0.033(±0.029), D=0.043(±0.020), E=-0.145(±0.030), and rms = 0.055 mag.
with rms = 0.019 mag.
For the calibration of equations 14 and 16 from the RRab solutions, the terms involving ℒ are small but significant. On the contrary, equations 15 and 17 from the RRc solutions, the last term is insignificant, and in fact, for instance equations 10 and 15 in the UV scale, or equations 11 and 17 in the Nemec’s scale, are, within the uncertainties, indistinguishable, confirming the linearity and sufficiency of an MV -[Fe/H] relation for the RRc stars.

Therefore, the empirical MV -[Fe/H] relation as worked out from the Fourier decomposition of RRab stars light curves, has turned out to be much more complex, with the metallicity and HB structure playing a measurable role, and equations 14 and 16 are a good representation.
For the RRc stars, with simpler light curves and generally being more confined near the ZAHB, the MV -[Fe/H] relation remains linear and simple, and the structure of the HB does not seem to play any pertinent role; equation 10 and 11, or for any purpose equations 15 and 17, are good empirical calibrations, with a well established slope around 0.06.
6. Globular Cluster Distances
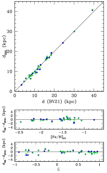
Once the mean absolute magnitude MV for the HB is obtained for a given cluster, its distance can be estimated for an assumed value of E(B - V). Using the values listed in Table 1 the distances were calculated and are listed in Table 2 as they were obtained either for the RRab or RRc stars from equations 6 and 7 respectively. We perform a comparison with accurate mean distances recently estimated by Baumgardt & Vasiliev (2021) (hereinafter BV21), calculated for a large sample of globular clusters using the data from Gaia-eDR3, HST and selected literature distances.

It should be obvious from Table 2 that the distances derived from our Fourier approach (Columns 2 and 3) agree with those of BV21. Figure 4 is a graphical comparison and shows how the distance differences do not correlate either with the metallicity or with the HB structure parameter. The Fourier and the BV21 distances differences are all smaller than 1.7 kpc and display a standard deviation of 0.7 kpc.

The agreement is remarkably good considering that the distance determinations come from completely independent approaches. We note that the distances obtained from the MV calibrations for RRab and RRc stars, are also independent, as they come from different and independent calibrations. This gives further support to the MV calibrations of equations 6 and 7 and to their zero points (Arellano Ferro et al. 2010).
The accurate distances of individual globular clusters obtained from the RRL stars listed in Table 4, can serve as a frame of comparison of other independent methods to calculate cluster distances. Given that SX Phe stars are common in globular clusters, they can be used as secondary distance indicators through their well established P-L relation, of which, however, different calibrations are found in the literature. We shall explore the consistency of the results. We considered the calibrations of Arellano Ferro et al. (2011) (AF11), and Cohen & Sarajedini (2012) (CS12). The resulting distances from these two calibrations of 13 clusters with well observed SX Phe stars are listed in Columns 4 and 6 of Table 2, Column 5 indicates the number of member SX Phe stars available in each cluster. We should emphasize that the two calibrations lead to distances agreeing within 1.3 kpc, except for NGC 6934 where the distance differences is ≈ 2.0 kpc for the CS12 calibration. The SX Phe distances agree with the RRL results well within 1 kpc, i.e. the average RRL and SX Phe distance match in average by ≈ 4% of the corresponding distance.
7. Variable Stars in Our Sample of Globular Clusters
Once a CCD time-series photometry is performed on a given cluster, a by-product of the exercise is the discovery of previously undetected variables. In the work carried by our group, we have systematically searched for variables via a variety of approaches described in the individual papers, e.g. Arellano Ferro et al. (2013b). In Table 3 we summarize the number of variables, and their types, known in the globular clusters of our sample, noting the ones found by our work. We have found 326 new variables in the field of the clusters, 23 of them are either considered field stars or have not been classified. The most numerous families are in order RRab, RRc, SR, SX Phe, eclipsing binaries, CW and double mode RRd stars. The total number of variables detected in these clusters is 2047 but only 1886 are likely to be truly cluster members. Thus, about 16% of the variables in this sample of clusters has been found by our VI CCD time-series imaging program.

8. Conclusions
A homogeneous approach towards the determination of mean MV and [Fe/H] from the Fourier decomposition of the cluster member RRL light curves, enables a new empirical exploration of the nature of the MV -[Fe/H] relation, which describes the dependence of the luminosity of the HB on the metallicity. Although numerous efforts, from assorted strategies, have been performed to establish the zero point and slope of the relation, universal values have been elusive. We found that, if the RRL stars are to be used as indicators of the form of the relation, or if this is to be employed as a distance indicator instrument, it should be treated independently for RRab and RRc stars. The reason is that the relation displays a different nature; for the RRab stars it is non linear with considerable scatter, while for the RRc it is tight, linear and the slope is mild.
Following the suggestion of theoretical works (Demarque et al. 2000), the inclusion of the HB structural parameter ℒ demonstrates that MV is also correlated with ℒ, in a nonlinear fashion for the RRab analysis. For the RRc the role of ℒ is negligible. We offer a calibration MV -[Fe/H], with [Fe/H] in the spectroscopic scale of Carretta et al. (2009) (equation 14) or in the Nemec et al. (2013) scale (equation 16) valid for RRab stars, and linear calibrations MV -[Fe/H] in the above two scales (equation 10 or equation 11) valid for RRc stars.
We find pertinent at this point to recall a well established result: that globular clusters harbour more that one generation of stars (e.g. Bedin et al. 2004; Piotto et al. 2005, 2007), and that each generation has a measurable different chemical abundance; particularly, the He content increases in later generations (Milone et al. 2018). As a result of different evolutionary sequences, the objects on the HB have a large range of He abundance causing the observed HB structure, particularly the color range, and the breadth; the higher the value of Y, the more luminous the corresponding ZAHB would be. Recently it has been shown that small variations in the He-burning core mass would also contribute to the observed breadth of the HB (Yepez et al. 2022). Hence, the values of the ℒ parameter employed in the present investigation may be responding to these effects, which in turn may be responsible, at least partially, of the scatter observed in the correlations. Therefore, while it is helpful to identify the cluster star members, as we have done, the identification of stars belonging to the different generations in each cluster might offer an important improvement on the calibration of the MV -[Fe/H]-ℒ correlation.
To give support to our results, we compared the Fourier determinations of [Fe/H] with the spectroscopic values in the scale of Carretta et al. (2009)) and found them to be in excellent agreement. The distances obtained from the mean Fourier MV calibrations, and their zero points, have proven to match within 1.7 kpc and to display a difference dispersion with an rms of 0.7 kpc, with the independent and also homogeneous distances determined by Baumgardt & Vasiliev (2021) from Gaia-eDR3 and HST data.
The CCD time-series photometric study of globular clusters, in combination with difference image analysis, has been be very fruitful in the discovery of new variables. Following the latest version of the Catalogue of Variable Stars in Globular Clusters (Clement et al. 2001), we updated in Table 3 the number of know variables per type and per cluster and indicated the numbers of variables found and classified by our program over the years, for a total of 303 out of the 1886 variables, likely to be cluster members, presently known in the family of the 35 clusters considered.
REFERENCES
Ahumada, J. A., Arellano Ferro, A., Bustos Fierro, I. H., et al. 2021, New A, 88, 101607, https://doi.org/10.1016/j.newast.2021.101607
Arellano Ferro, A., Ahumada, J. A., Bustos Fierro, I. H., Calderón, J. H., & Morrell, N. I. 2018a, AN, 339, 183, https://doi.org/10.1002/asna.201813465
Arellano Ferro, A., Ahumada, J. A., Calderón, J. H., & Kains, N. 2014, RMxAA, 50, 307
Arellano Ferro, A., Bramich, D. M., Figuera Jaimes, R., et al. 2013a, MNRAS, 434, 1220, https://doi.org/10.1093/mnras/stt1080
Arellano Ferro, A., Bramich, D. M., Giridhar, S., et al. 2013b, AcA, 63, 429
Arellano Ferro, A., Bramich, D. M., & Giridhar, S. 2017, RMxAA, 53, 121
Arellano Ferro, A., Bramich, D. M., Giridhar, S., Luna, A., & Muneer, S. 2015a, IBVS, 6137, 1
Arellano Ferro, A., Bustos Fierro, I. H., Calderón, J. H., & Ahumada, J. A. 2019, RMxAA, 55, 337, https://doi.org/10.22201/ia.01851101p.2019.55.02.18
Arellano Ferro, A., Figuera Jaimes, R., Giridhar, S., et al. 2011, MNRAS, 416, 2265, https://doi.org/10.1111/j.1365-2966.2011.19201.x
Arellano Ferro, A., García Lugo, G., & Rosenzweig, P. 2006, RMxAA, 42, 75
Arellano Ferro, A., Giridhar, S., & Bramich, D. M. 2010, MNRAS, 402, 226, https://doi.org/10.1111/j.1365-2966.2009.15931.x
Arellano Ferro, A., Giridhar, S., Rojas López, V., et al. 2008a, RMxAA, 44, 365
Arellano Ferro, A., Luna, A., Bramich, D. M., et al. 2016, Ap&SS, 361, 175, https://doi.org/10.1007/s10509-016-2757-5
Arellano Ferro, A., Mancera Piña, P. E., Bramich, D. M., et al. 2015b, MNRAS, 452, 727, https://doi.org/10.1093/mnras/stv1299
Arellano Ferro, A., Rojas Galindo, F. C., Muneer, S., & Giridhar, S. 2018b, RMxAA, 54, 325
Arellano Ferro, A., Rojas López, V., Giridhar, S., & Bramich, D. M. 2008b, MNRAS, 384, 1444, https://doi.org/10.1111/j.1365-2966.2007.12760.x
Arellano Ferro, A., Yepez, M. A., Muneer, S., et al. 2020, MNRAS, 499, 4026, https://doi.org/10.1093/mnras/staa2977
Baumgardt, H. & Vasiliev, E. 2021, MNRAS, 505, 5957, https://doi.org/10.1093/mnras/stab1474
Bedin, L. R., Piotto, G., Anderson, J., et al. 2004, ApJ, 605, 125, https://doi.org/10.1086/420847
Benedict, G. F., McArthur, B. E., Feast, M. W., et al. 2011, AJ, 142, 187, https://doi.org/10.1088/0004-6256/142/6/187
Bramich, D. M. 2008, MNRAS, 386, 77, https://doi.org/10.1111/j.1745-3933.2008.00464.x
Bramich, D. M., Bachelet, E., Alsubai, K. A., Mislis, D., & Parley, N. 2015, A&A, 577, 108, https://doi.org/10.1051/0004-6361/201526025
Bramich, D. M., Figuera Jaimes, R., Giridhar, S., & Arellano Ferro, A. 2011, MNRAS, 413, 1275, https://doi.org/10.1111/j.1365-2966.2011.18213.x
Bramich, D. M. & Freudling, W. 2012, MNRAS, 424, 1584, https://doi.org/10.1111/j.1365-2966.2012.21385.x
Bramich, D. M., Horne, K., Albrow, M. D., et al. 2013, MNRAS, 428, 2275, https://doi.org/10.1093/mnras/sts184
Bustos Fierro, I. H. & Calderón, J. H. 2019, MNRAS, 488, 3024, https://doi.org/10.1093/mnras/stz1879
Cacciari, C. & Clementini, G. 2003, Stellar Candles for the Extragalactic Distance Scale, ed. D. Alloin and W. Gieren, LNP, 635, 105
Cacciari, C., Corwin, T. M., & Carney, B. W. 2005, AJ, 129, 267, https://doi.org/10.1086/426325
Carretta, E., Bragaglia, A., Gratton, R., D’Orazi, V., & Lucatello, S. 2009, A&A, 508, 695, https://doi.org/10.1051/0004-6361/200913003
Cassisi, S., Castellani, V., degl’Innocenti, S., Salaris, M., & Weiss, A. 1999, A&AS, 134, 103, https://doi.org/10.1051/aas:1999126
Catelan, M. 2009, Ap&SS, 320, 261, https://doi.org/10.1007/s1059-009-9987-8
Catelan, M. & Smith, H. A. 2015, Pulsating Stars (Weinheim, Germany: Wiley-VCH Verlag GmbH & Co)
Chaboyer, B. 1999, Globular Cluster Distance Determinations in Post-Hipparcos Cosmic Candles, ed. A. Heck & F. Caputo (Boston, MA: Kluwer Academic Publishers), 111, https://doi.org/10.1007/978-94-011-4734-7_7
Chaboyer, B., Demarque, P., Kernan, P. J., & Krauss, L. M. 1998, ApJ, 494, 96, https://doi.org/10.1086/305201
Chaboyer, B., Demarque, P., & Sarajedini, A. 1996, ApJ, 459, 558, https://doi.org/10.1086/176921
Clement, C. M., Muzzin, A., Dufton, Q., et al. 2001, AJ, 122, 2587, https://doi.org/10.1086/323719
Cohen, R. E. & Sarajedini, A. 2012, MNRAS, 419, 342, https://doi.org/10.1111/j.1365-2966.2011.19697.x
Contreras, R., Catelan, M., Smith, H. A., et al. 2010, AJ, 140, 1766, https://doi.org/10.1088/0004-6256/140/6/1766
Demarque, P., Zinn, R., Lee, Y.-W., & Yi, S. 2000, AJ, 119, 1398, https://doi.org/10.1086/301261
Deras, D., Arellano Ferro, A., Bustos Fierro, I. H., & Yepez, M. A. 2022, RMxAA, 58, 121, https://doi.org/10.22201/ia.01851101p.2022.58.01.10
Deras, D., Arellano Ferro, A., Lázaro, C., et al. 2019, MNRAS, 486, 2791, https://doi.org/10.1093/mnras/stz642
Deras, D., Arellano Ferro, A., Lázaro, C., et al. 2020, MNRAS, 493, 1996, https://doi.org/10.1093/mnras/staa196
Deras, D., Arellano Ferro, A., Muneer, S., Giridhar, S., & Michel, R. 2018, AN, 339, 603, https://doi.org/10.1002/asna.201813489
Figuera Jaimes, R., Arellano Ferro, A., Bramich, D. M., Giridhar, S., & Kuppuswamy, K. 2013, A&A, 556, 20, https://doi.org/10.1051/0004-6361/201220824
Harris, W. E. 1996, AJ, 112, 1487, https://doi.org/10.1086/118116
Jurcsik, J. & Kovács, G. 1996, A&A, 312, 111
Kains, N., Arellano Ferro, A., Figuera Jaimes, R., et al. 2015, A&A, 578, 128, https://doi.org/10.1051/0004-6361/201424600
Kains, N., Bramich, D. M., Arellano Ferro, A., et al. 2013, A&A, 555, 36, https://doi.org/10.1051/0004-6361/201321819 A. 2013, A&A, 555, A36
Kains, N., Bramich, D. M., Figuera Jaimes, R., et al. 2012, A&A, 548, 92, https://doi.org/10.1051/0004-6361/201220217
Kovács, G. 2002, ASPC 265, Omega Centauri, A Unique Window into Astrophysics, ed. F. van Leeuwen, J. D. Hughes, & G. Piotto (San Francisco, CA: ASPC), 163
Kovács, G. & Kanbur, S. M. 1998, MNRAS, 295, 834, https://doi.org/10.1046/j.1365-8711.1998.01271.x
Kovács, G. & Walker, A. R. 2001, A&A, 374, 264, https://doi.org/10.1051/0004-6361:20010844
Landolt, A. U. 1992, AJ, 104, 340, https://doi.org/10.1086/116242
Lata, S., Pandey, A. K., Pandey, J. C., et al. 2019, AJ, 158, 51, https://doi.org/10.3847/1538-3881/ab22a6
Lázaro, C., Arellano Ferro, A., Arévalo, M. J., et al. 2006, MNRAS, 372, 69, https://doi.org/10.1111/j.1365-2966.2006.10742.x
Lee, Y.-W. 1990, ApJ, 363, 159, https://doi.org/10.1086/169326
Lee, Y.-W., Demarque, P., & Zinn, R. 1990, ApJ, 350, 155, https://doi.org/10.1086/168370
Milone, A. P., Marino, A. F., Renzini, A., et al. 2018, MNRAS, 481, 5098, https://doi.org/10.1093/mnras/sty2573
Morgan, S. M., Wahl, J. N., & Wieckhorst, R. M. 2007, MNRAS, 374, 1421, https://doi.org/10.1111/j.1365-2966.2006.11247.x
Nemec, J. M. 2004, AJ , 127, 2185, https://doi.org/10.1086/382903
Nemec, J. M., Cohen, J. G., Ripepi, V., et al. 2013, ApJ, 773, 181, https://doi.org/10.1088/0004-637x/773/2/181
Olech, A., Kaluzny, J., Thompson, I. B., et al. 1999, AJ, 118, 442, https://doi.org/10.1086/300917
Piotto, G., Bedin, L. R., Anderson, J., et al. 2007, ApJ, 661, 53, https://doi.org/10.1086/518503
Piotto, G., Villanova, S., Bedin, L. R., et al. 2005, ApJ, 621, 777, https://doi.org/10.1086/427796
Pritzl, B. J., Smith, H. A., Catelan, M., & Sweigart, A. V. 2001, AJ, 122, 2600, https://doi.org/10.1086/323447
Pritzl, B. J., Smith, H. A., Catelan, M., & Sweigart, A. V. 2002, AJ, 124, 949, https://doi.org/10.1086/341381
Rojas Galindo, F., Arellano Ferro, A., Bustos Fierro, I. H., & Yepez, M. A. 2021, in prep
Sandage, A. 1981, ApJ, 248, 161, https://doi.org/10.1086/159140
Sandage, A. 1990, ApJ, 350, 631, https://doi.org/10.1086/168416
Sandage, A. & Tammann, G. A. 2006, ARA&A, 44, 93, https://doi.org/10.1146/annurev.astro.43.072103.150612
Schwarzenberg-Czerny, A. & Kaluzny, J. 1998, MNRAS, 300, 251, https://doi.org/10.1046/j.1365-8711.1998.01895.x
Shapley, H. 1917, PNAS, 3, 479, https://doi.org/10.1073/pnas.3.7.479
Shapley, H. 1918, ApJ, 48, 154, https://doi.org/10.1086/142423
Simon, N. R. & Teays, T. J. 1982, ApJ, 261, 586, https://doi.org/10.1086/160369
Skottfelt, J., Bramich, D. M., Figuera Jaimes, J. R., et al. 2015, A&A, 573, 103, https://doi.org/10.1051/0004-6361/201424967
Stetson, P. B. 2000, PASP, 112, 925, https://doi.org/10.1086/316595
Torelli, M., Iannicola, G., Stetson, P. B., et al. 2019, A&A, 629, 53, https://doi.org/10.1051/0004-6361/201935995
Tsapras, Y., Arellano Ferro, A., Bramich, D. M., et al. 2017, MNRAS, 465, 2489, https://doi.org/10.1093/mnras/stw2773
VandenBerg, D. A., Swenson, F. J., Rogers, F. J., Iglesias, C. A., & Alexander, D. R. 2000, ApJ, 532, 430, https://doi.org/10.1086/308544
Walker, A. R. 1992, ApJ, 390, 81, https://doi.org/10.1086/186377
Walker, A. R. 1998, AJ, 116, 220, https://doi.org/10.1086/300432
Yepez, M. A., Arellano Ferro, A., & Deras, D. 2020, MNRAS, 494, 3212, https://doi.org/10.1093/mnras/staa637
Yepez, M. A., Arellano Ferro, A., Deras, D., et al. 2022, arXiv e-prints, arXiv:2201.02160, https://doi.org/10.48550/arXiv.2201.02160
Yepez, M. A., Arellano Ferro, A., Muneer, S., & Giridhar, S. 2018, RMxAA, 54, 15
Yepez, M. A., Arellano Ferro, A., Schröder, K.-P., et al. 2019, NewA, 71, 1, https://doi.org/10.1016/j.newast.2019.02.006
Zinn, R. 1987, Stellar Populations, ed. C. A. Norman, A. Renzini, & M. Tosi (New York, NY: CUP), 73
Zinn, R. & West, M. J. 1984, ApJS, 55, 45, https://doi.org/10.1086/190947
Zorotovic, M., Catelan, M., Smith, H. A., et al. 2010, AJ, 139, 357, https://doi.org/10.1088/0004-6256/139/2/357
Notes