Articulo 7
Determinantes del Desempeño Financiero de Las Cooperativas de Ahorro Y Crédito del Ecuador
Determinants of The Financial Performance of The Savings and Credit Cooperatives of Ecuador
Determinantes del Desempeño Financiero de Las Cooperativas de Ahorro Y Crédito del Ecuador
Revista Economía y Política, núm. 34, pp. 113-133, 2021
Universidad de Cuenca
Recepción: 02 Mayo 2021
Aprobación: 02 Agosto 2021
Resumen: El objetivo de este estudio es analizar cómo los factores internos, macroeconómicos y de gobernabilidad afectan al desempeño financiero de las cooperativas de ahorro y crédito ecuatorianas de los segmentos 1, 2 y 3 durante el periodo 2010 – 2020, utilizando datos de panel con efectos fijos. Los resultados de las variables específicas muestran que una alta rentabilidad está asociada con un mayor ratio de capital, tamaño y diversificación; mientras que la eficiencia, el riesgo de crédito y liquidez tienen un efecto negativo. Por otra parte, se evidencia que el impacto del crecimiento del PIB, la inflación y el desempleo es negativo. Finalmente, considerando los indicadores gubernamentales, los hallazgos demuestran una relación positiva con las dimensiones efectividad gubernamental y calidad regulatoria; mientras que existe una relación inversa con las variables de voz y rendición de cuentas, estado de derecho, control de la corrupción y estabilidad política.
Palabras clave: Cooperativas de ahorro y crédito, datos de panel, desempeño financiero, retorno sobre activos (ROA), retorno sobre patrimonio (ROE).
Abstract: This study aims to analyze how the internal, macroeconomic, and governance factors affect the financial performance of Ecuadorian savings and credit cooperatives of segments 1, 2, and 3 during the period 2010 to 2020, using panel data with fixed effects. The estimation results of the specific variables show that high profitability is associated with a higher capital ratio, size, and diversification, but efficiency, credit, and liquidity risk have a negative effect. On the other hand, evidence shows that the impact of GDP growth, inflation, and unemployment is negative. Finally, the findings reveal a positive relationship between governmental effectiveness and regulatory quality considering the government indicators. At the same time, there is an inverse relationship with the variables of voice and accountability, the rule of law, control of corruption, and political stability.
Keywords: Savings and credit cooperatives, panel data, financial performance, return on assets (ROA), return on equity (ROE).
Introducción
Las cooperativas de ahorro y crédito en el Ecuador surgen como respuesta a la inclusión social, con el propósito de permitir que los sectores más vulnerables y comúnmente excluidos por la banca tradicional accedan a fuentes de financiamiento. En este sentido, el Plan Nacional del Buen Vivir 2017-2021, expone los lineamientos en los que se basan todas las políticas establecidas por el gobierno ecuatoriano, específicamente el eje 2 “economía al servicio de la sociedad” articula a la economía popular y solidaria, de la cual forman parte las cooperativas de ahorro y crédito, como un punto trascendental en las políticas públicas, según lo establecido en el objetivo 4: “consolidar la sostenibilidad del sistema económico social y solidario, y afianzar la dolarización” (Secretaría Nacional de Planificación y Desarrollo - SENPLADES, 2017, p. 76).
Las cooperativas son una forma de organización económica basada en la cooperación, y solidaridad con un principio sólido que dirige su actividad “el valor de las personas por sobre el lucro y acumulación de capital” (Junta de Política y Regulación Monetaria y Financiera, 2019). Las cooperativas se rigen por valores establecidos en aspectos sociales, económicos, ambientales y culturales, que reflejan su responsabilidad social empresarial y buscan promover el desarrollo sustentable de los sectores más vulnerables (Coba-Molina et al., 2019).
La misión y visión de estas instituciones financieras tienen una filosofía exclusivamente social, como así lo refleja la normativa que rige el sector cooperativo. En lo que respecta a la situación financiera, la regulación ecuatoriana no considera a la rentabilidad dentro de la administración integral de riesgos, pues no establece valores límite o de referencia para poder esclarecer si una cooperativa mantiene sus indicadores de desempeño financiero en un nivel adecuado. Esto último, es una cuestión interna que cada entidad lo hace según su propia metodología.
De ahí que la identificación y el análisis de los determinantes de la rentabilidad financiera constituyen una herramienta importante y oportuna para las autoridades gubernamentales que permitirá predecir el fracaso empresarial, establecer estrategias de gestión, y dictar políticas que garanticen la salud del sector financiero (Yeon & Kim, 2013). Por otra parte, los administradores de las cooperativas de ahorro y crédito podrán enfocar sus esfuerzos de gestión en las variables que mayor impacto generan en el desempeño financiero.
Barroso (2009) afirma que el estudio sobre las cooperativas es relevante por la importancia que tienen en el desarrollo regional y por la necesidad de esclarecer el funcionamiento de estas organizaciones. El Ecuador ha reconocido dicha necesidad desarrollando un modelo económico – social denominado “economía popular y solidaria” que tiene como principal objetivo generar beneficios sociales. Sin embargo, no se debe perder de vista que la rentabilidad es indispensable para el cumplimiento de su misión de servicio a la comunidad, así como para garantizar la solvencia Agirre (2001) señala que las obligaciones sociales no tienen por qué verse afectadas por la buena gestión empresarial que influya en aumentar sus indicadores de rentabilidad. Es así que, el modelo de gestión de las cooperativas debe velar por los beneficios sociales, pero sin descuidar el aspecto económico pues este último garantizará su sostenibilidad en el tiempo. Sin embargo, la literatura e incluso los estudios empíricos a nivel del país no ofrecen suficiente información sobre la gestión de los indicadores de rentabilidad de las cooperativas de ahorro y crédito, pues el enfoque es hacia el beneficio social, que muchas veces puede llegar a ser intangible.
En este sentido, la presente investigación pretende identificar y realizar un análisis de los determinantes de la rentabilidad financiera medida a través del retorno sobre activos – ROA y retorno sobre patrimonio – ROE de las cooperativas de ahorro y crédito del Ecuador de los segmentos 1, 2 y 3 cuyos activos son superiores a cinco millones de dólares durante el periodo 2010 – 2020. Para ello, se partirá identificando las variables específicas de las cooperativas, determinantes macroeconómicos y gubernamentales. A continuación, se plantea construir un modelo que permitirá evidenciar el efecto y el nivel de impacto de cada variable sobre la rentabilidad, a partir de una muestra de 183 cooperativas que conforman los segmentos 1, 2 y 3; mediante datos de panel estáticos con efectos fijos. De esta forma, se pretende contribuir con información relevante tanto para decisores y analistas externos a las cooperativas quienes generen políticas internas enfocadas en las variables que mayor impacto tienen sobre el ROA y ROE para mejorar su desempeño financiero, dado el entorno regulatorio y macroeconómico en el cual se desenvuelven actualmente.
La estructura del documento es la siguiente, en la primera sección se presenta la revisión de la literatura con los estudios empíricos más significativos en torno a la temática. La siguiente sección describe la muestra, las variables dependientes ROA y ROE, las variables independientes divididas en indicadores específicos, macroeconómicos y gubernamentales, y la metodología de datos de panel estáticos con efectos fijos. A continuación, se presentan los resultados obtenidos y la discusión. Finalmente, se resumen las conclusiones del estudio.
Revisión de la literatura
Las cooperativas de ahorro y crédito en el Ecuador se originaron con el mismo concepto con el que el cooperativismo fue concebido en los países europeos: conseguir la igualdad social por intermedio de la asociación (Miño Grijalva, 2013). Nacen con la figura jurídica de cajas de ahorro, mismas que se establecieron a través de organizaciones gremiales de obreros, artesanos, pequeños industriales, comerciantes, empleados y empleadores (Da Ros, 2007, p. 252). La primera caja de ahorro fue fundada en 1879 gracias a la Sociedad de Artesanos Amantes del Progreso con el firme propósito de buscar el bienestar común en base a la ayuda mutua y cooperación.
De esta forma, se origina en el Ecuador la Economía Popular y Solidaria, que busca a través de la intermediación financiera, eliminar barreras de inequidad y abrir las puertas a la inclusión, para que todos los individuos reciban apoyo económico para el desarrollo de sus actividades productivas, especialmente aquellos sectores que en el pasado fueron excluidos del sistema financiero. Los principales sectores que se vieron favorecidos por la iniciativa cooperativista fueron: gremios de trabajadores, pequeños productores y comerciantes, pequeños agricultores, y transportistas. El cooperativismo se afianzó principalmente por brindar créditos basados en la confianza hacia los socios, ofreciendo servicios financieros a la población de bajos ingresos. Según Miño Grijalva (2013) la economía popular y solidaria en el Ecuador ha logrado constituirse como un modelo económico alternativo de transformación social.
En este sentido, en el Plan Nacional del Buen Vivir 2017-2021 se establece que, las cooperativas de ahorro y crédito al ser uno de los pilares de la economía popular y solidaria, deben impulsar el sector productivo, fomentando la inversión a largo plazo y el acceso a fuentes de crédito alternativas (Secretaría Nacional de Planificación y Desarrollo - SENPLADES, 2017). De esta manera, la economía popular y solidaria es necesaria e incluso fundamental para consolidar una matriz productiva más equitativa y solidaria.
Eminentemente, las cooperativas de ahorro y crédito tienen una concepción, un fin y una razón de ser exclusivamente social, sin embargo, como en cualquier otro sector de la economía, “las ganancias son importantes porque ayudan a formar una base de capital para la expansión futura y para amortiguar los choques negativos, contribuyendo así a asegurar la supervivencia a largo plazo” (Westley & Branch, 2000, p. 76).
Por lo que, aunque la misión de las cooperativas no es generar ganancias sino alcanzar beneficios sociales (Coba-Molina et al., 2019), funcionan en una economía de mercado siendo implícitamente una organización empresarial que les obliga a ser competitivas y eficaces. Agirre (2001) establece que, “el hecho de que las cooperativas tengan que desarrollar sus actividades eficientemente bajo los parámetros que rigen en una economía de mercado, no debe ser óbice para cumplir con sus obligaciones sociales” (p. 95).
Dicho esto, los determinantes del desempeño financiero como la rentabilidad medida a través del ROA, ROE, margen de ganancia neta o margen de interés neto, deben constituir un elemento crítico de análisis por parte de las autoridades gubernamentales, pues a partir de estos se podría garantizar la salud del sector financiero del país y diseñar estrategias que aseguren el buen uso de los fondos (Yeon & Kim, 2013, p.83). En base a esto, la regulación ecuatoriana mediante la resolución No. 128-2015-F emitida por la Junta de Regulación Monetaria Financiera establece los principales indicadores a considerar en la administración integral de riesgos, siendo estos los que garantizarían la salud de la entidad financiera. Estos son: (1) concentración de cartera, (2) monto individual y de grupo de créditos vinculados en relación al patrimonio técnico, (3) morosidad, (4) relación entre activos líquidos y obligaciones con el público, (5) concentración de depósitos, (6) volatilidad de los depósitos, (7) solvencia, (8) participación de activos improductivos, (9) nivel de tasas de interés activas y pasivas, y (10) gastos operativos (Junta de Política y Regulación Monetaria y Financiera, 2015). Por todo lo expuesto anteriormente, el análisis de los indicadores de rentabilidad es de responsabilidad de los administradores de las cooperativas de ahorro y crédito, sin existir límites fijados por los organismos de control.
Al respecto, la literatura y la evidencia empírica nos ofrece varios aportes sobre la rentabilidad, orientados principalmente al sector bancario. La investigación de Ho & Saunders (1981) ofrece un marco teórico para estudios empíricos sobre el desempeño bancario utilizando márgenes de interés. Además, para calcular el rendimiento financiero, Sun et al., (2017) se basan en el margen de interés neto y el margen de ganancia neta. En esta línea, los estudios de Trujillo-Ponce (2013), Martins et al. (2019), Athanasoglou et al. (2008) y Jara et al. (2011) utilizan el ROA y ROE como medidas de rentabilidad.
El estudio de Martins et al. (2019) mide el desempeño bancario a través del margen de interés neto, ROA y ROE utilizando un panel de datos de efectos fijos. Los determinantes fueron divididos en dos grupos: específicos del banco e industria y macroeconómicos. Los resultados indican que el riesgo de crédito y liquidez, eficiencia operativa, crecimiento de los préstamos, costo de oportunidad y PIB tienen un impacto significativo en los bancos de Estados Unidos, Reino Unido y Alemania.
Por otro lado, la investigación de Trujillo-Ponce (2013) aplicada a bancos españoles, concluye que altos ratios de capital están asociados a una alta rentabilidad, medida en términos de ROA y ROE, al igual que una alta razón de préstamos sobre activos, grandes montos de depósitos, una buena gestión de la eficiencia y el bajo riesgo de crédito. En este sentido, Athanasoglou et al. (2008), utilizando el método generalizado de momentos (GMM), concluyen que el ratio de capital, riesgo de crédito, crecimiento de la productividad y gastos operativos de gestión influyen significativamente en la rentabilidad.
En lo referente a los determinantes macroeconómicos, los estudios emplean la volatilidad de la tasa de interés, tasa de crecimiento del PIB, crisis financiera (variable dummy) e inflación. Por su parte, Jara et al. (2011) consideran medidas de diversificación a través de actividades bancarias no tradicionales, encontrando un efecto positivo sobre la rentabilidad. En esta línea, el estudio de Boudriga, et al. (2010) incorpora en el análisis, variables gubernamentales. Los resultados resaltan la importancia del ambiente institucional en la calidad de la cartera de crédito de las instituciones financieras, específicamente, las tasas de crecimiento se asocian con una aplicación efectiva de los derechos de propiedad y un adecuado sistema regulatorio.
Existen investigaciones sobre el rendimiento financiero realizadas en cooperativas de ahorro y crédito, como el estudio de Coba-Molina et al., (2019) fue realizado en las cooperativas de la zona centro del Ecuador con el fin de determinar el impacto de los principios cooperativos sobre el rendimiento financiero medido por la rentabilidad de la cartera, índice de morosidad, suficiencia patrimonial, liquidez y resultados del ejercicio sobre el patrimonio. Los resultados muestran que la rentabilidad total se ve beneficiada por el incremento de la participación económica de los socios, mientras que la autogestión y la independencia tienden a disminuir la rentabilidad de la cartera y el índice de morosidad.
Así, para las cooperativas de Antioquía-Colombia, Castaño et al. (2016) señala que, la medida de rentabilidad debe enfocarse en generar rédito económico con el único fin de favorecer el bienestar de los socios. Los autores recomiendan centrar el análisis en dos parámetros: “la generación de excedentes suficientes para crear un depósito que asegure la existencia de cada cooperativa y la maximización de beneficios” (p. 183).
Por su parte, Da Silva et al. (2017) analizaron el desempeño financiero y económico de las principales cooperativas de crédito brasileñas, basándose en los indicadores de la metodología CAMEL[1]y utilizando el análisis envolvente de datos (DEA). Para su aplicación utilizaron como salida la solvencia del capital medida como patrimonio sobre activos. Finalmente, Kumlachew (2021) muestra que los depósitos, razón préstamo – depósito, y eficiencia administrativa tienen un efecto estadísticamente significativo y positivo en la rentabilidad de las cooperativas.
Materiales y Métodos
En esta sección se describen los datos y la fuente de donde se obtuvieron las variables seleccionadas, así como la metodología utilizada para el análisis empírico.
Datos
Los datos de las cooperativas de ahorro y crédito se obtuvieron de forma digital de los boletines financieros publicados en el portal web de la Superintendencia de Economía Popular y Solidaria (SEPS), para el período 2010 - 2020. Los boletines financieros contienen información estadística mensual, en base a los estados financieros remitidos por las cooperativas al organismo de control. Se incorpora un conjunto de variables referente al ambiente macroeconómico del país, la cual fue obtenida de la base de datos del Banco Mundial. Adicionalmente, de la base Worldwide Governance Indicators, se consideran los indicadores de gobernabilidad, a fin de capturar el impacto de la gestión del gobierno en el desarrollo económico.
En relación a la información detallada en los boletines financieros sobre los estados financieros e indicadores de las cooperativas, para el análisis se consideraron las siguientes modificaciones, primero se utilizan los reportes al fin de cada año fiscal, es decir al 31 de diciembre. En segundo lugar, se homogeniza la base para dejarla en una misma unidad de medida, es decir en dólares. Finalmente, para el estudio se analizarán las cooperativas pertenecientes a los segmentos 1, 2 y 3; es decir con activos superiores a $5'000.000,00, que son las instituciones que presentan regularmente información estadística y suficiente en relación a las variables de estudio.
De acuerdo a lo comentado, se obtuvo un panel de datos desequilibrado de 997 observaciones, perteneciente a 183 cooperativas de ahorro y crédito de los segmentos 1, 2 y 3; del período 2010 – 2020. En la Tabla 1, se expone una descripción más detallada de la muestra.
| Total | Segmento 1 | Segmento 2 | Segmento 3 | |
| No. Observaciones | 997 | 258 | 304 | 435 |
| No. Cooperativas | 183 | 44 | 72 | 177 |
En relación al número de cooperativas de ahorro y crédito es importante destacar que, las instituciones se han segmentado considerando el saldo de sus activos de acuerdo a lo determinado por la Junta de Política y Regulación Monetaria y Financiera. Por lo tanto, de acuerdo a la evolución financiera de cada entidad del sector financiero popular y solidario, pueden existir cambios de segmento de un período a otro por variaciones en el monto de los activos totales, generando que una cooperativa pueda estar ubicada en dos o más segmentos a lo largo del período de estudio, tal como se detalla en la Tabla1.
Variables
El objetivo del presente estudio es identificar y analizar los determinantes del desempeño financiero en las cooperativas de ahorro y crédito del Ecuador. Se consideran para el análisis tres sets de factores que pueden incidir en el desempeño de las cooperativas de ahorro y crédito: factores específicos de las entidades financieras, variables macroeconómicas y variables gubernamentales.
Variables dependientes
El desempeño financiero de las cooperativas es representado por dos medidas alternativas: el retorno sobre activos (ROA) y retorno sobre patrimonio (ROE). Algunos estudios que utilizan estos indicadores para realizar este análisis son los de Guallpa Guamán (2018), Jara, et al. (2011), Athanasoglou, et al. (2008), entre otros.
El ROA mide la capacidad de la administración para generar rendimientos a partir de la cartera de activos, de acuerdo a lo expuesto por Sufian y Razali (2008) la ventaja en la utilización de esta razón financiera corresponde a que no está distorsionada por multiplicadores de capital elevados, es decir por estructuras de capital altamente apalancadas. Por su parte, el ROE permite evaluar el nivel de retorno generado en la inversión de un accionista o socio en la actividad financiera; sin embargo, este indicador no considera los riesgos asociados al nivel de endeudamiento. La elección de estas medidas de desempeño para el análisis se sustenta en que representan una proxy de la habilidad de las instituciones financieras para generar beneficios.
Variables específicas de las cooperativas de ahorro y crédito
Los factores internos de las cooperativas son un reflejo de las políticas y decisiones implementadas por la administración, donde su aplicación se traduce finalmente en los estados financieros. Las variables específicas incluidas en el análisis son: ratio de capital, tamaño de las instituciones financieras, riesgo de crédito, diversificación, riesgo de liquidez y eficiencia.
El ratio de capital se aproxima mediante el indicador patrimonio a activos totales. La literatura expone que el nivel de capitalización es un determinante importante de los niveles de rentabilidad de las instituciones financieras; sin embargo, el tipo de relación esperada es ambiguo. Así, de acuerdo a Sufian y Habibullah (2009), mayores niveles de capital pueden generar mayores niveles de rentabilidad, en razón de menores costos de capital esperados, por lo tanto, de acuerdo a este enfoque se espera una relación positiva. No obstante, debido al efecto del multiplicador de capital, para el indicador ROE la relación puede ser inversa (Jara, et al., 2011).
Se incluye el logaritmo natural de los activos como medida proxy del tamaño de las cooperativas. Sufian y Razali (2008) mencionan que la relación entre el tamaño y la rentabilidad no es lineal, por lo que puede existir una relación negativa derivada de incrementos en la diversificación lo que conlleva a menores niveles de concesión de créditos y, por lo tanto, menor rentabilidad; congruente a lo comentado, se expone que en organizaciones con mayor tamaño pueden incidir los aspectos burocráticos, es decir administraciones menos eficientes. En contraposición, Jara, et al. (2011) argumentan un efecto positivo con los niveles de rentabilidad, explicado por la disminución de costos que una institución puede experimentar ante mejores niveles de productividad derivados de su tamaño.
El riesgo de crédito está aproximado por el indicador de morosidad, que corresponde al cociente entre la cartera improductiva y la cartera bruta (Superintendecia de Economía Popular y Solidaria, 2017). El riesgo de crédito constituye la probabilidad de que un prestatario (socio) no pueda cumplir con sus obligaciones contractuales de capital y/o intereses para un periodo dado, ya sea de forma parcial o total (Urbina Poveda, 2019). Se espera una relación negativa, en razón que los créditos en mora requieren mayores niveles de provisión incidiendo en los niveles de rentabilidad (Athanasoglou, et al., 2008).
El riesgo de liquidez se aproxima mediante el indicador cartera bruta sobre activos totales. De acuerdo a Jara, et al. (2011) mayores niveles de liquidez permiten a las entidades cumplir sus requerimientos de capital para fines operativos. Sin embargo, esto implica mantener activos inmovilizados en las entidades, reduciendo con ello los niveles de rentabilidad; es decir se espera una relación inversa con el desempeño financiero. No obstante, cabe esperar una relación positiva, cuando la cartera de crédito concedida por las instituciones financieras se sustenta en adecuadas políticas de concesión, garantizando con ello una adecuada gestión de liquidez (Sufian y Razali, 2008).
Como medida de eficiencia, se utiliza el cociente entre ingresos no financieros y el total de activos. La literatura expone tanto una relación positiva como negativa con los niveles de desempeño. Considerando el enfoque de eficiencia y economías de escala, una mayor oferta de productos y servicios financieros puede incidir en mayores niveles de rentabilidad, generando un premio por diversificación. En contraposición, Gischer (2001) sugiere que actividades diferentes a la intermediación suelen mostrar mayores niveles de competencia en el mercado, reduciendo los beneficios de la diversificación, lo que genera una relación negativa con la rentabilidad.
La eficiencia en la administración de las entidades financieras se aproxima por la relación entre gastos no financieros y activos totales. La evidencia expone que una disminución de gastos se asocia con mejores niveles de rentabilidad, implicando por tanto una relación inversa entre estas variables.
Variables macroeconómicas
Las características macroeconómicas de un país pueden afectar a los niveles de rentabilidad de las instituciones financieras, pues operan dentro de este entorno. Los factores externos no pueden ser controlados directamente por las entidades y su impacto puede variar de una economía a otra. Las variables consideradas para el análisis son: el PIB, la inflación y el desempleo.
La tasa de crecimiento del Producto Interno Bruto (PIB) permite medir la actividad económica del país. La evidencia empírica sugiere una relación positiva con los niveles de rentabilidad de las instituciones financieras. El desempeño de las entidades está vinculado al ciclo de la economía; así en fases de recesión, las actividades de crédito se contraen y la calidad de la cartera de crédito se deteriora incrementando la probabilidad de default (Sufian y Razali, 2008). Lo contrario podría ocurrir, en fases de expansión económica, lo expuesto denota que el desempeño bancario tiende a ser procíclico con los niveles de rentabilidad (Athanasoglou, et al., 2008).
La tasa anual de inflación, mide el incremento en los precios al consumidor de todos los bienes y servicios de la economía. La literatura expone que esta variable puede estar asociada positiva o negativamente con los niveles de rentabilidad, dependiendo si esta variación puede ser anticipada. Así, si en la economía se prevé variaciones en la inflación, las instituciones financieras pueden ajustar las tasas de interés en las actividades crediticias, incrementando con ello los ingresos y los niveles de rentabilidad. Por lo contrario, si no se anticipan cambios en la inflación, las entidades no adoptarán decisiones preventivas, generando que los costos sean más altos que los ingresos (Anbar y Alper, 2011).
La evidencia sugiere un efecto negativo de la tasa de desempleo con los niveles de rentabilidad, esto es porque el desempleo afecta la capacidad de los individuos al pago de las obligaciones contractuales y a la capacidad de generar depósitos. Así, las instituciones pueden experimentar pérdidas derivadas por el default en los créditos concedidos, es decir genera impactos adversos en la calidad de la cartera de créditos (Zampara, et al., 2017).
Variables gubernamentales
La gobernanza se define como la forma en la que se ejerce autoridad en un país. Varios estudios empíricos exponen que la calidad de gobernanza incide en mayores niveles de crecimiento y desarrollo (Kraay, 2006), pues afecta a la forma en que las instituciones/empresas desarrollan sus actividades. Kaufmann, et al. (2010) establecen para el efecto, seis dimensiones de la gobernabilidad: voz y rendición de cuentas, estabilidad política y ausencia de violencia, control de la corrupción, estado de derecho, efectividad gubernamental y calidad regulatoria, mismas que se incluyen en el análisis.
De acuerdo a los argumentos detallados, existe un conjunto de factores que puede incidir en los niveles de rentabilidad de las cooperativas de ahorro y crédito de los segmentos 1, 2 y 3, las hipótesis de investigación sobre el signo esperado y significancia se resumen en la Tabla 2:

Metodología
La información utilizada para el análisis empírico se organiza en un panel de datos, en razón que las observaciones son de corte transversal (cooperativas) para una dimensión temporal (serie de tiempo); la ventaja de esta metodología de datos es que permite capturar la heterogeneidad no observable entre sujetos de estudio y el tiempo; proporcionando estimadores eficientes.
Específicamente, la investigación utiliza el método de datos de panel estático con efectos fijos, donde el efecto individual está correlacionado con las variables explicativas (Baltagi, 2005). Esta metodología considera los efectos individuales como un término constante diferente para cada individuo y estos son independientes entre sí. Adicionalmente, establece que las variables explicativas inciden por igual a cada uno de los individuos de corte transversal y éstas se diferencian por características propias medidas a través del intercepto (Baronio y Vianco, 2014).
Para la elección entre los modelos estáticos de efectos fijos o aleatorios, se realiza la prueba de especificación de Hausman, la que compara las estimaciones de los parámetros entre los efectos fijos y aleatorios; y determina si las variaciones son significativas; es decir, permite conocer si el estimador es consistente. El test de Hausman representa un contraste de robustez respecto a la eficiencia de los estimadores, así la hipótesis nula postula que los estimadores de efectos fijos y aleatorios son similares, en contraste la hipótesis alternativa compara si los coeficientes estimables de los regresores varían con el tiempo; por lo que, de encontrarse diferencias sistemáticas es preferible la especificación modelo de efectos fijos (Labra y Torrecillas, 2014).
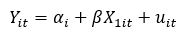
(1)Donde i se refiere a los individuos, t corresponde a la dimensión en el tiempo. X representa al conjunto de variables explicativas del modelo; corresponde a los efectos individuales (heterogeneidad inobservada en el tiempo); son los coeficientes a ser estimados a través de la metodología de datos de panel con efectos fijos. Finalmente representa el término de error.
De acuerdo a lo especificado, el análisis de los determinantes del desempeño de las cooperativas de ahorro y crédito se modela a partir de lo expuesto en la ecuación 2.
(2)Finalmente, se realiza la aplicación del test de Wooldridge para detectar la existencia de autocorrelación en el modelo. La hipótesis nula postula que no existe autocorrelación, por lo que si se rechaza se concluye que sí existe. Esta metodología utiliza los residuales de la regresión en primeras diferencias analizando si el término no esta serialmente correlacionado (Labra & Torrecillas, 2014).
Resultados y Discusión
El presente estudio utiliza un panel de datos desbalanceado de las cooperativas de ahorro y crédito del segmento 1, 2 y 3 en el período 2010 – 2020, en la Tabla 3 se detalla un resumen de la estadística descriptiva de las variables empleadas en este estudio.
| Variable | Observaciones | Media | Desviación Estándar | Mínimo | Máximo |
| Variable dependiente | |||||
| ROE | 994 | 0,037 | 0,107 | -0,938 | 0,306 |
| ROA | 994 | 0,005 | 0,023 | -0,479 | 0,044 |
| Variables específicas | |||||
| RA | 995 | 0,177 | 0,091 | -0,080 | 0,839 |
| Tam | 995 | 17,360 | 1,295 | 15,252 | 21,654 |
| RCr | 995 | 0,070 | 0,068 | 0,000 | 0,756 |
| Div | 995 | 0,007 | 0,010 | 0,000 | 0,129 |
| RL | 995 | 0,776 | 0,113 | 0,000 | 1,252 |
| Ef | 995 | 0,001 | 0,002 | 0,000 | 0,030 |
| Variables macroeconómicas | |||||
| CrPIB | 997 | 0,014 | 0,022 | -0,012 | 0,079 |
| Inf | 997 | 0,011 | 0,017 | -0,002 | 0,054 |
| Desem | 997 | 0,042 | 0,010 | 0,031 | 0,062 |
| Variables gubernamentales | |||||
| CC | 997 | -0,593 | 0,085 | -0,773 | -0,496 |
| VR | 997 | -0,099 | 0,141 | -0,296 | 0,061 |
| EP | 997 | -0,182 | 0,167 | -0,687 | -0,019 |
| EG | 997 | -0,404 | 0,101 | -0,717 | -0,261 |
| ED | 997 | -0,761 | 0,208 | -12,053 | -0,577 |
| Creg | 997 | -0,943 | 0,109 | -11,708 | -0,824 |
De las estadísticas descriptivas se puede destacar que en promedio las cooperativas tienen un ROE del 3,7% y un ROA del 0,5%; sin embargo, existe dispersión derivada de la capacidad de las instituciones financieras para generar un buen desempeño financiero. La selección de las cooperativas de los segmentos 1, 2 y 3 permite tener un análisis más consistente donde el tamaño de las cooperativas no presenta una variación significativa. Los indicadores de buen gobierno, en todas sus dimensiones denotan un promedio negativo, señalando una posición débil respecto al estado y el ejercicio de la autoridad.
| Variable | Segmento 1 | Segmento 2 | Segmento 3 |
| Media | Media | Media | |
| Variable dependiente | |||
| ROE | 0,085 | 0,041 | 0,005 |
| ROA | 0,012 | 0,006 | 0,001 |
| Variables institucionales | |||
| RA | 0,150 | 0,171 | 0,197 |
| Tam | 1,914 | 1,754 | 1,618 |
| RCr | 0,058 | 0,060 | 0,059 |
| Div | 0,006 | 0,006 | 0,009 |
| RL | 0,744 | 0,802 | 0,778 |
| Ef | 0,001 | 0,001 | 0,001 |
Adicionalmente, en la Tabla 4 se detalla un resumen de las estadísticas descriptivas de las variables específicas de las cooperativas de ahorro y crédito por segmento. Respecto a las variables de rentabilidad, se observa que para el ROA las cooperativas del segmento 1 poseen un rendimiento promedio más alto que para los segmentos 2 y 3 respectivamente; similar análisis corresponde en el ROE. En relación a los indicadores tamaño, riesgo de crédito y liquidez el segmento 1 detalla mejores indicadores financieros respecto a los segmentos 2 y 3.
El modelo econométrico base señala el impacto de los factores internos propios de las cooperativas de ahorro y crédito en la rentabilidad. A continuación, se estiman otras especificaciones incluyendo variables macroeconómicas y gubernamentales. Los resultados empíricos de las regresiones se detallan en la Tabla 5, utilizando tanto el ROA y el ROE como variable dependiente, los coeficientes estimados se realizan mediante la metodología de datos de panel con efectos fijos. La elección entre un modelo de efectos fijos y aleatorios, se sustenta mediante el Test de Hausman donde los resultados en la investigación sugieren que los efectos individuales pueden tratarse como fijos, validando la utilización de este modelo. Adicionalmente, se realiza la prueba Wooldridge con el que se rechaza la existencia de autocorrelación.
| Variable dependiente | ROE | ROA | ||||||
| (1) | (2) | (3) | (4) | (5) | (6) | |||
| RA | β1 | 0,2719 ** | 0,2974*** | 0,3185*** | -0,0693 | -0,0621 | -0,0567 | |
| [2,32] | [2,85] | [2,99] | [-0,68] | [-0,67] | [-0,64] | |||
| Tam | β2 | -0,0113* | 0,0430*** | 0,0909*** | -0,0060** | 0,0098** | 0,0207*** | |
| [-1,70] | [3,16] | [3,69] | [-1,99] | [2,30] | [2,93] | |||
| RCr | β3 | -0,4372** | -0,4594 *** | -0,4628*** | -0,1857** | -0,1969*** | -0,2003*** | |
| [-2,53] | [-2,78] | [-2,75] | [-2,58] | [-2,90] | [-2,95] | |||
| Div | β4 | 1,1554** | 1,2580** | 1,3540** | 0,3979** | 0,4311** | 0,4299*** | |
| [2,04] | [2,32] | [2,50] | [2,24] | [2,51] | [2,62] | |||
| RL | β5 | 0,0262 | -0,1174 | -0,0935 | -0,0566 | -0,0955** | -0,0904** | |
| [0,43] | [ -1,53] | [-1,30] | [-1,46] | [-2,14] | [-2,12] | |||
| Ef | β6 | 0,0653 | 0,1489 | -0,1355 | -0,7248* | -0,72211* | -0,7909** | |
| [0,03] | [0,07] | [-0,06] | [-1,79] | [-1,79] | [-2,01] | |||
| CrPIB | β7 | 0,0045 | -1,0323** | -0,0404 | -0,1760** | |||
| [0,03] | [-2,32] | [-1,16] | [-2,49] | |||||
| Inf | β8 | 1,6258 *** | -2,6154** | 0,5292*** | -0,2358 | |||
| [3,45] | [-2,34] | [2,93] | [-1,35] | |||||
| Desem | β9 | -1,4140*** | -1,4308*** | -0,3576*** | -0,3694*** | |||
| [-4,54] | [-4,21] | [-3,63] | [-3,27] | |||||
| CC | β10 | -0,1324** | -0,0041 | |||||
| [-2,25] | [-0,31] | |||||||
| VR | β11 | -0,1221** | -0,0154* | |||||
| [-2,45] | [-1,86] | |||||||
| EP | β12 | -0,0978*** | -0,0105 | |||||
| [-3,86] | [-1,59] | |||||||
| EG | β13 | 0,1501** | 0,0103 | |||||
| [2,03] | [0,87] | |||||||
| ED | β14 | -0,5436*** | -0,0939*** | |||||
| [-2,79] | [-2,62] | |||||||
| Creg | β15 | 0,3822*** | 0,0385 | |||||
| [2,74] | [1,55] | |||||||
| Constante | Α | 0,1873 | -0,6067*** | -1,5005*** | 0,1770* | -0,058 | -0,2782** | |
| [1,45] | [-2,89] | [-3,49] | [1,80] | [-0,75] | [-2,57] | |||
| Hausman | 53,72 | 66,22 | 78,79 | 76,75 | 151,62 | 144,25 | ||
| Prob>chi2 | 0,0000 | 0,0000 | 0,0000 | 0,0000 | 0,0000 | 0,0000 | ||
| Wooldridge | 0,8256 | 0,8103 | 0,6921 | 0,3154 | 0,456 | 0,6921 | ||
| No. Obs. | 993 | 993 | 993 | 993 | 993 | 993 | ||
La proporción de los fondos propios respecto a los activos totales constituye un determinante positivo en el desempeño de las cooperativas medido por el ROE. Según Hakenes y Schnabel (2011) el costo del capital es el pasivo más caro en términos de rendimiento esperado, pues el capital de los socios es riesgoso y requiere un mayor retorno, lo que implicaría una relación inversa entre ratio de capital y desempeño financiero. Sin embargo, existen varias teorías que suponen que mientras más capitalizada esté la institución, más rentable debería ser.
En primer lugar, está la hipótesis del costo de quiebra, pues los gastos por interés de la deuda no asegurada serían menores al tener una estructura de costos con mayor proporción en el capital. De esta forma, si surgieran situaciones adversas, el capital actuaría como un amortiguador financiero. A la vez, que posibilitará que las instituciones financieras accedan a un crédito a una tasa de interés más atractiva, aumentando la rentabilidad esperada y compensando el costo del capital (Athanasoglou et al., 2008). Otra hipótesis es la de señalización, que supone que si una entidad aumenta su capitalización es porque tiene perspectivas económicas favorables para su futuro. Por lo tanto, se evidencia que a mayor capital se reducen los costos de la deuda con terceros (Trujillo-Ponce, 2013).
La relación positiva y significativa entre la variable tamaño y el desempeño financiero, medido a través del ROA y ROE, es un indicativo de que las cooperativas están alcanzando la eficiencia operativa (economías de escala) y también, mayor grado de producto y diversificación de préstamos (economías de alcance). Es interesante notar que en los segmentos más grandes del sector cooperativo ecuatoriano, no se cumple el argumento de que mientras más grandes son las instituciones financieras (medido por los activos), menor será la rentabilidad debido a la burocracia y a mayores requerimientos de liquidez y capital, como medida de prudencia financiera (Athanasoglou et al., 2008; Jara et al., 2011; Pasiouras y Kosmidou, 2007). Por lo tanto, a mayor tamaño, mayor será la eficiencia operativa compensando el incremento de los costos de oportunidad por mantener las reservas.
Por otra parte, la rentabilidad de las cooperativas medida tanto por el ROA como por el ROE está indirectamente relacionada con el riesgo de crédito, es decir, un aumento de este ratio indicaría un empeoramiento de la calidad de los activos y por lo tanto una menor rentabilidad. Como es de esperar, a mayor riesgo de impago, se requiere una mayor provisión para cubrir las pérdidas esperadas, cuyos porcentajes de provisión dependen de la calificación del crédito según los días de mora (Junta de Política y Regulación Monetaria y Financiera, 2015).
Los hallazgos destacan la importancia de que las cooperativas generen políticas internas eficientes para la concesión de préstamos, la detección oportuna del riesgo de impago y seguimiento de las operaciones colocadas. Estos procesos deben estar apoyados por políticas gubernamentales que transparenten la información de los actores económicos que quieren acceder a un préstamo.
La diversificación es una de las variables con mayor impacto positivo y significativo en el ROA y ROE de las cooperativas. Según el Catálogo Único de Cuentas, dentro de otros ingresos se encuentran: la utilidad en venta de bienes, la utilidad en venta de acciones y participaciones, los arrendamientos, las recuperaciones de activos financieros, y otros (pérdidas y ganancias). En un estudio realizado por Deyoung y Roland (2001, citado en Jara et al., 2011) se concluye que las instituciones financieras que diversificaron sus actividades percibieron un incremento en la volatilidad de los ingresos, en el premio por riesgo y en el apalancamiento financiero y operativo; lo que conlleva a su vez a un aumento de la rentabilidad. En este sentido, se evidencia que las cooperativas han tenido que evolucionar y estructurar un mayor grado de diversificación de sus servicios financieros. Esta tendencia se deriva de la coyuntura del país que ha tendido a reducir los márgenes de interés.
Adicionalmente, el efecto del riesgo de liquidez sobre la rentabilidad es negativo y resultó significativo solamente en el modelo cuya variable dependiente es el ROA. Este resultado infiere que un aumento de la actividad crediticia, es decir, mayor riesgo de liquidez, conducirá a una menor rentabilidad dada la probabilidad de impago. De esta manera, al igual que los estudios de Stiroh y Rumble (2006) y Estes (2014), el coeficiente negativo del total de la cartera bruta para el total de activos indica que, la volatilidad derivada del riesgo de la cartera de crédito es mayor a las ganancias esperadas, procedentes de un alto nivel de colocación de la cartera de crédito, es decir, el riesgo de crédito es superior a las ganancias esperadas de los préstamos.
Para finalizar, con el análisis de las variables específicas de las cooperativas los resultados demuestran que la eficiencia tiene un impacto negativo y significativo sobre el ROA, lo que evidencia la importancia de la gestión de los costos sobre las economías de alcance. El autor Trujillo-Ponce (2013) sostiene que las instituciones financieras por una mala gestión, pueden tener un costo aproximado promedio veinte por ciento más alto que el mínimo de la industria para la misma escala y mezcla de productos. Por lo tanto, la gestión eficiente de los costes es un requisito previo para mejorar la rentabilidad de las cooperativas, que deben propender a vincular los efectos de la calidad con mayores beneficios financieros para los socios (Athanasoglou et al., 2008).
Con lo referente a los determinantes macroeconómicos, contrario a lo esperado, el crecimiento anual del PIB tiene un efecto negativo y significativo en la rentabilidad medida en términos del ROA y ROE. Este resultado se fundamenta en el estudio de rentabilidad bancaria realizado por Kohlscheen et al. (2018) específicamente en mercados emergentes. El autor sostiene que a medida que mejora la economía, el mercado de crédito también crece, y las instituciones financieras pueden permitirse reducir su margen de interés para obtener una participación adicional de mercado, lo que trae como consecuencia una disminución de la rentabilidad.
Por otra parte, el efecto de la inflación sobre la rentabilidad es negativo y significativo solamente para el modelo que emplea el ROE como variable dependiente. Según Perry (1992, citado por Athanasoglou et al., 2008) este resultado se debe a la incapacidad de la economía para pronosticar la inflación futura, y, por lo tanto, las instituciones financieras no pueden gestionar sus costos operativos para estos futuros escenarios, de forma que, los gastos operativos aumentan a una velocidad más rápida que la inflación. Otro criterio a tomar en cuenta es la baja inflación e incluso deflación de los últimos años, lo que supone que las tasas de interés de los depósitos aumentaron a un ritmo más rápido que las tasas de los créditos.
Como era de esperarse, el efecto del desempleo sobre la rentabilidad medida en términos del ROA y ROE resultó negativo. El impacto de la crisis financiera evidenciada en el desempleo, afecta las actividades núcleo de las cooperativas: las captaciones y colocaciones, pues la afectación en el empleo ha inducido a una disminución de la liquidez en los hogares. De forma que la capacidad de generar ahorro y cumplir con las obligaciones de pago se ve comprometida (Red de Instituciones Financieras de Desarrollo y Equifax, 2020, p. 7).
La literatura de orden empírico expone que la gobernabilidad de un país se relaciona con la capacidad de las instituciones y empresas para impulsar desarrollo económico. Considerando las dimensiones efectividad gubernamental y calidad regulatoria, los coeficientes estimados indican una relación positiva y estadísticamente significativa con la rentabilidad medida a través del ROE, es decir, que la calidad de las políticas públicas y la habilidad del gobierno para implementar regulaciones en el sector popular y solidario inciden en mejores niveles de desempeño. Los resultados sobre las variables voz y rendición de cuentas, estado de derecho, control de la corrupción y estabilidad política, indican una relación inversa y significativa. Este hallazgo es consistente con Perera, et al. (2013) que sugieren que probablemente un sistema legal débil así como la falta de controles en la corrupción, permiten que las instituciones financieras generen relaciones rentables que de otra manera no hubieran existido.
Considerando, al ROA como variable dependiente se observa que las variables efectividad gubernamental, control de la corrupción, estabilidad política y calidad regulatoria no resultaron estadísticamente significativas; sin embargo, el signo esperado de todas las variables gubernamentales concuerda con el modelamiento del ROE como variable dependiente.
Conclusiones
Las cooperativas de ahorro y crédito ecuatorianas han experimentado importantes reformas financieras y legales en los últimos años, considerando la implementación de la administración integral de riesgos dentro de los procesos de gestión. La mayor parte de estudios empíricos analizan los determinantes del desempeño para las instituciones bancarias; sin embargo, la evidencia para el sector cooperativo es escasa. La presente investigación tuvo como objetivo analizar los factores que potencialmente inciden en la rentabilidad de las cooperativas de ahorro y crédito de los segmentos 1, 2 y 3 durante el periodo 2010-2020, mediante el uso de datos de panel desequilibrado, a través del modelo de efectos fijos. Los resultados resaltan la incidencia de las dimensiones del gobierno en el desempeño de las cooperativas de ahorro y crédito, donde un buen sistema gubernamental puede favorecer el proceso de concesión de crédito y el control o recuperación de cartera coadyuvando a los niveles de rentabilidad.
Los resultados empíricos de este estudio indican que las variables específicas o factores internos de las instituciones financieras son estadísticamente significativos y tienen incidencia en los niveles de rentabilidad. Específicamente, incrementos en los indicadores de capital, tamaño y diversificación, están positivamente relacionados con el desempeño financiero. El efecto del tamaño y la diversificación, ponen en relieve las ventajas de la eficiencia y las economías de escala, derivadas de la oferta de productos y servicios financieros. En contraste, los resultados sugieren que incrementos en el riesgo de crédito reducen los niveles de rentabilidad, esto es por la necesidad de generar provisiones ante la probabilidad de default en los créditos otorgados.
En relación a los factores macroeconómicos, las variables tasa de crecimiento del PIB, inflación y desempleo inciden en el desempeño de las cooperativas de ahorro y crédito ecuatorianas. Se evidencia una relación inversamente proporcional del ciclo de la economía con la rentabilidad, explicado por la reducción de los márgenes de intermediación ante fases expansivas de la economía. Los coeficientes estimados de la tasa de inflación y desempleo, muestran una relación negativa y estadísticamente significativa con el desempeño, en razón de que afectan la capacidad de pago de los hogares y empresas incidiendo en la calidad de la cartera de las instituciones financieras.
Adicionalmente, como variables de control se incluyen seis indicadores de gobernabilidad. Los resultados de los coeficientes de las variables efectividad gubernamental y calidad regulatoria sugieren una relación positiva y significativa con la rentabilidad medida por el ROE, indicando que estas dimensiones de gobernabilidad propician un entorno favorable para el desempeño del sector cooperativo. Sin embargo, los resultados para los indicadores voz y rendición de cuentas, estado de derecho, control de la corrupción y estabilidad política, señalan una relación inversa y significativa, opuesta a lo evidenciado en la literatura; sugiriendo que la baja calidad en estos niveles de gobernabilidad, propician un entorno para crear relaciones “rentables” que de otra manera no hubieran existido. Por todo lo expuesto, se debe propiciar un adecuado funcionamiento del gobierno sustentado en un buen marco legal y judicial; estabilidad política y control de la corrupción; en razón de que una buena gobernanza se vincula con altos niveles de rentabilidad.
Los resultados de este estudio tienen una contribución significativa para los organismos de control y los responsables de la gestión de estas entidades financieras. Al haber identificado los indicadores que mayor impacto tienen sobre la rentabilidad, los organismos de control de las cooperativas podrán generar políticas y mecanismos de control interno que influyan directamente sobre el desempeño financiero, propiciando competitividad y eficiencia en el sector. Por otra parte, este estudio beneficia a quienes generen políticas internas en las cooperativas de ahorro y crédito, las que pueden estar enfocadas en las variables que mayor impacto tienen sobre el ROA y ROE.
Para futuras investigaciones se sugiere abordar el efecto de los indicadores de gobierno corporativo en los niveles de rentabilidad, pues según el Foro de Estabilidad Financiera los principios de gobierno corporativo constituyen normas para garantizar la salud financiera de un sistema económico al establecer mecanismos operativos de control. De igual forma, se recomienda ampliar la población de estudio, comparando si las medidas determinantes del desempeño para el sector cooperativo son las mismas que para el sector bancario ecuatoriano.
Referencias Bibliográficas
Agirre, A. (2001). Los principios cooperativos “atractores” de la gestión eficiente: su medición: aplicación al caso de Mondragón Corporación Cooperativa. CIRIEC - Revista de Economía Pública, Social y Cooperativa, 39, 93–114.
Athanasoglou, P. P., Brissimis, S. N., & Delis, M. D. (2008). Bank-specific, industry-specific and macroeconomic determinants of bank profitability. Journal of International Financial Markets, Institutions and Money, 18(2), 121–136. https://doi.org/10.1016/j.intfin.2006.07.001
Boudriga, A. B., Boulila, N., & Jellouli, S. (2010). Bank specific, business and institutional environmet determinants of banks nonperforming loans: Evidence from Mena countries. Economic research forum, 1-28.
Barroso, M. F. G. (2009). Distribuição de resultados e desempenho de cooperativas de crédito: estudo comparativo no Estado de São Paulo. 167.
Castaño, C., Gallego, D., Quintero, D., & Vergara, K. (2016). Evaluación del desempeño de las cooperativas de ahorro y crédito de Antioquia para el periodo 2009-2013 Performance evaluation of credit unions of antioch for the period 2009-2013. .(2), 175–210.
Coba-Molina, E., Díaz-Córdova, J., Tapia-Panchi, E., & Sepúlveda, J. M. (2019). El rendimiento financiero explicado a través de los principios cooperativos . Un estudio en las cooperativas de ahorro y crédito del Ecuador. 64(4), 1–21.
Da Ros, G. (2007). El movimiento cooperativo en el Ecuador: visión histórica, situación actual y perspectivas. CIRIEC - España. Revista de Economía Pública, Social y Cooperativa, 57, 249–284.
Da Silva, T., Leite, M., Guse, J., & Gollo, V. (2017). Financial and economic performance of major Brazilian credit cooperatives. Contaduría y Administración. https://doi.org/10.1016/j.cya.2017.05.006
Deyoung, R., & Roland, K. P. (2001). Product Mix and Earnings Volatility at Commercial Banks: Evidence from a Degree of Total Leverage Model. Journal of Financial Intermediation, 84, 54–84. https://doi.org/10.1006/jfin.2000.0305
Estes, K. (2014). Diversification and Community Bank Performance. International Journal of Finance & Banking Studies, 3(4), 1–40.
Hakenes, H., & Schnabel, I. (2011). Bank size and risk-taking under Basel II. Journal of Banking and Finance, 35(6), 1436–1449. https://doi.org/10.1016/j.jbankfin.2010.10.031
Ho, T. S. Y., & Saunders, A. (1981). The Determinants of Bank Interest Margins: Theory and Empirical Evidence. The Journal of Financial and Quantitative Analysis, 16(4), 581. https://doi.org/10.2307/2330377
Jara, M., Arias, J., & Rodriguez, A. (2011). Diversificación y determinantes del desempeño bancario : una comparación internacional. Estudios de Administración, 18(2), 1–48.
Junta de Política y Regulación Monetaria y Financiera. (2015). Resolucion 128-2015-F Administracion Integral de Riesgos Cooperativas. (p. 14). http://www.seps.gob.ec/documents/20181/25522/Resol128.pdf/5c74f247-0de4-4862-b5fb-c89ff62817d7
Junta de Política y Regulación Monetaria y Financiera. (2019). Resolución No. 521-2019-F.
Junta de Política y Regulación Monetaria y Financiera. (2015). Resolución No. 130-2015-F.
Kohlscheen, E., Murcia, A., & Contreras, J. (2018). Determinants of bank profitability in emerging markets. BIS Working Papers, 686, 1–23. https://www.bis.org/publ/work686.pdf
Kumlachew, M. (2021). Determinants of Profitability and Financial Sustainability of Saving and Credit Cooperatives in Eastern Ethiopia. International Journal of Rural Management, 1.
Martins, A. M., Serra, A. P., & Stevenson, S. (2019). Determinants of real estate bank profitability. Research in International Business and Finance, 49(July 2018), 282–300. https://doi.org/10.1016/j.ribaf.2019.04.004
Miño Grijalva, W. (2013). Historia del Cooperativismo en el Ecuador (Ministerio Coordinador de Política Económica (ed.); 1st ed.).
Pasiouras, F., & Kosmidou, K. (2007). Factors influencing the profitability of domestic and foreign commercial banks in the European Union. Research in International Business and Finance, 21(2), 222–237. https://doi.org/10.1016/j.ribaf.2006.03.007
Perry, P. (1992). Do banks gain or lose from inflation? Journal of Retail Banking, 14, 25–30.
Red de Instituciones Financieras de Desarrollo y Equifax. (2020). Covid-19 y sus implicaciones en el Sistema Financiero Nacional. Ecuador: Red de Instituciones Financieras de Desarrollo, 66.
Secretaría Nacional de Planificación y Desarrollo - SENPLADES. (2017). Plan Nacional del Buen vivir 2017-2021. Educational Research, 1, 150. http://www.planificacion.gob.ec/wp-content/uploads/downloads/2017/07/Plan-Nacional-para-el-Buen-Vivir-2017-2021.pdf
Stiroh, K. J., & Rumble, A. (2006). The dark side of diversification: The case of US financial holding companies. Journal of Banking & Finance, 30, 2131–2161. https://doi.org/10.1016/j.jbankfin.2005.04.030
Sun, P. H., Mohamad, S., & Ariff, M. (2017). Determinants driving bank performance: A comparison of two types of banks in the OIC. Pacific Basin Finance Journal, 42, 193–203. https://doi.org/10.1016/j.pacfin.2016.02.007
Trujillo-Ponce, A. (2013). What determines the profitability of banks? Evidence from Spain. Accounting and Finance, 53(2), 561–586. https://doi.org/10.1111/j.1467-629X.2011.00466.x
Westley, G., & Branch, B. (2000). Dinero Seguro: Desarrollo de Cooperativas de Ahorro y Crédito en América Latina.
Yeon, J., & Kim, D. (2013). Japan and the World Economy Bank performance and its determinants in Korea. Japan & The World Economy, 27, 83–94. https://doi.org/10.1016/j.japwor.2013.05.001
Notas